탁장렬
(Jang-Yeul Tak)
1
임영수
(Young Soo Lim)
2*
-
한국세라믹기술원 에너지환경소재본부
(Energy and Environmetal Division, Korea Insitutute of Ceramic Engineering and Technology,
Jinju 52851, Republic of Korea)
-
부경대학교 신소재시스템공학과
(Department of Materials System Engineering, Pukyong National University, Busan 48547,
Republic of Korea)
Copyright © 2018 The Korean Institute of Metals and Materials
Key words
thermoelectric, Cu2Se, melt-spinning, hot pressing
1. 서 론
열전기술은 열과 전기에너지간의 변환을 고체상태에서 구현하는 기술로, 폐열을 활용한 열전발전부터 전자냉각에 이르기까지 다양한 응용 분야로 인하여 이에
대한 관심이 고조되고 있다. 이러한 열전현상을 통한 에너지변환의 효율은 열전소자를 구성하는 열전소재의 성능에 직접 의존한다. 열전소재의 성능은 무차원
열전성능지수인 ZT (= S2σT/κ, S는 Seebeck 계수, σ는 전기전도도, T는 절대온도, 그리고 κ는 열전도도)로 나타내어지며, 따라서 높은 ZT를 가지는 열전소재에 대한 탐구가 진행되어 왔다 [1-4]. 많은 열전소재 중에서도 Cu2Se에 대한 연구가 최근 들어 매우 활발한데, Cu2Se는 비교적 풍부한 원소로 구성되어 있으며, 무독성일 뿐만 아니라 매우 높은 ZT를 가지기 때문이다 [5-9].
Cu2Se는 상대적으로 저온에서는 단사정계(monoclinic)의 결정구조를 가지는 α-Cu2Se 상을 지니고, p-type으로 축퇴 도핑된 외인성반도체(degenerately doped p-type semiconductor)의 전하수송특성을 나타낸다 [10-14]. 한편 410 K 이상의 온도에서는 α-Cu2Se가 β-Cu2Se로 상변이를 하게 되는데, 이러한 β-상에서는 체심입방구조(face-centered cubic)로 부격자(sublattice)를 이루는 Se 사이에 Cu ion이동역학적으로 무질서하게
(kinetetically disordered) 존재하고 있으며, 이러한 Cu ion들은 마치 액체와 같은 거동(liquid-like behavior)을
하므로 매우 높은 초이온전도성(superionic conduction)을 나타낸다. Cu2Se는 원래 1960년대에 우주탐사선용 열전발전 소재로 연구가 되었는데[15], 2013년 Liu 등이 β-Cu2Se의 매우 우수한 열전성능(ZT = 1.5 at 1000 K)을 발표하고 또한 이러한 우수한 열전성능의 원인이 액체와 같은 포논 거동 때문에 급격하게 낮아진 격자 열전도도에 기인한다는
사실을 규명하였다. 액체와 같은 Cu 이온의 거동은 열전도도의 저감이라는 측면에서는 매우 긍정적이지만[9], 한편 이는 Se의 우선 휘발 (preferred evaporation)이라는 문제와 더불어 Cu2Se의 화학적 불안정성을 일으키는데, 이는 Cu2Se의 상용화를 위하여 반드시 극복해야 할 대상이기도 하다. Liu 등의 보고 이래로 Cu2Se의 열전성능을 증진하기 위한 다양한 시도가 이어졌으며, 주로 Cu2Se의 결정립을 나노화하여 열전도도 저감을 시도한다거나 또는 이종원소의 도핑을 통한 출력인자의 증진이 시도됐다. 특히, 도핑의 경우에는 격자 뒤틀림을
유발하여 Cu 이온의 이동을 방해할 수 있어서 Cu2Se의 화학적 불안정성을 일부 완화할 수 있다고 알려져 있다. 최근 들어서는 탄소 나노튜브와의 복합화를 통한 포논 산란으로 격자 열전도도를 더욱더
저감시켜 1000 K의 온도에서 ZT가 2.4에 이른 결과가 보고된 바 있다 [15-18].
한편, 용융방사법은 열전소재의 나노구조화를 통한 열전도도 저감에 효율적인 방식으로 알려져 있다. 용융방사법은 고온으로 소재를 용융시켜 냉각된 Cu
wheel에 방사함으로써 고상화하는 급속응고법(rapid solidification process)의 일종으로[19], 이러한 용융방사법은 Bi2Te3, CoSb3, PbTe 등 다양한 소재에 적용되어 이를 통한 열전성능지수의 향상이 보고됐다 [20-23]. 그러나 아직 Cu2Se에는 이러한 용융방사법이 적용된 바 없으며, 본 연구에서는 이를 통해 Cu2Se 리본을 제작하고 이를 열간 가압법(hot pressing)을 통하여 소결한 후 열전성능을 평가하였다. 용융방사 공정에서 Cu wheel의 회전수를
조절함으로써 Cu2Se의 미세구조를 제어할 수 있었으며, 또한 냉각속도가 전하수송에 미치는 효과를 파악할 수 있었다. 한편, 전하수송과는 달리 결정립 크기의 감소에
따른 격자 열전도도의 저감효과가 거의 관찰되지 않았는데, 이는 액체와 같은 거동에 의한 열전도도 효과에 비해 미세구조의 효과가 매우 무시할 수 있는
수준이기 때문으로 여겨진다. 이상과 같은 미세구조 제어를 통해 출력인자의 감소 없이 전기전도도를 낮추어 전체 열전도도의 저감을 이끌어내었으며, 결국
ZT의 향상을 가져올 수 있었다.
2. 실험 방법
본 실험에서는 먼저 고상합성법을 이용해 Cu1.98Se 모재를 제작하였으며, 출발 원료는 Cu (99.999%, Alfa Aesar) and Se (99.999%, 5N Plus)를 사용하였다. 조성에
맞게 칭량한 Cu와 Se를 quartz ampoule에 넣은 후 약 1.5 × 10-2 Torr 정도의 진공도를 유지하면서 밀봉하였다. 밀봉된 quartz ampoule은 전기로에서 823 K의 온도로 24시간 유지하여 ingot을
합성하였다. 이와 같은 공정을 통해 제조한 ingot을 Ar 분위기의 글로브박스 내에서 유발을 사용해 분말로 분쇄한 후 200 mesh (≤75,
μm)로 체가름 하였다.
이와 같은 방법으로 제작한 Cu1.98Se 분말을 150MPa의 압력으로 냉간압축(cold pressing)을 통해 지름 12.5 mm의 펠렛으로 제작하였으며, 이를 9 kW의 출력으로
유도용해를 수행하여 용융체로 만든 후 Cu wheel에 분사하는 용융방사법으로 Cu1.98Se 분말을 제작하였다. 이때 Cu wheel의 회전수는 1000과 4000 rpm으로 제어하였다. 비교를 위하여 모재를 유발로 분쇄하여 제작한 분말과
용융방사하여 제작한 분말을 각각 열간가압법(hot pressing)으로 823 K에서 60 MPa의 압력으로 1 시간 동안 소결하였다.
소결체의 밀도는 Archimedes 법으로 측정하였으며 상분석은 상온에서 Cu Kα 방사를 사용하여 X-ray diffraction (XRD, Ultima 4, Rigaku)을 활용하여 수행하였다. 전기전도도와 Seebeck 계수는
4 point probe 법 (ZEM-3, ULVAC-RIKO)을 사용하여 측정하였으며, 상온에서의 이동도와 전하농도는 Hall 계수측정법(ResiTest
8300, Toyo Corporation)으로 측정하였다. 열전도도는 laser flash 법(LFA, DLF-1300, TA Instruments)을
활용하여 측정하였다.
3. 결과 및 고찰
그림 1은 이상과 같은 용융방사법으로 제작된 Cu1.98Se 분말의 XRD 패턴을 나타낸다. 1000 rpm의 wheel speed로 냉각된 시료는 단사정계 α-Cu2Se의 단일상을 나타내지만, 한편 4000 rpm의 회전속도로 급속응고된 시료에서는 단사정계와 입방정계 (cubic) Cu2Se의 상이 혼재하여 존재하였다. 문헌에 따르면, 화학양론적 조성에 가까울 경우 Cu2Se는 단사정계와 입방정계의 상들이 혼재하는 형태로 합성되지만, Cu의 농도가 증가할 경우 단사정계의 단일상이 합성되는 것이 보고된 바 있다 [24]. 따라서 본 실험에서 4000 rpm의 빠른 냉각속도로 응고된 시료에서는 Se의 우선 휘발이 상대적으로 억제되어 혼합상이 합성되었으며, 1000
rpm의 느린 속도로 응고된 시료에서는 Se의 우선 휘발이 비교적 활발하여 조성이 Cu 과잉에 가까워지게 되어 단사정계 단일상이 합성된 것으로 보인다.
따라서 이러한 XRD 결과는 냉각속도에 따른 Se의 상대적 휘발 정도가 상 형성에 미치는 효과를 잘 보여준다.
그림 2(a)와 (b)는 각각 1000 및 4000 rpm의 냉각속도에서 용융방사법으로 제작된 Cu1.98Se 분말의 wheel 접촉면의 주사전자현미경(SEM) 상을 보여준다. 1000 rpm의 wheel 회전속도에서 상대적으로 천천히 냉각된 시료의 접촉면에서는
약 3.8 μm의 입경을 지니고 있지만, 4000 rpm으로 빠르게 응고된 시료에서의 입경은 약 0.9 μm로 급속응고에 따라 입성장이 억제된 것이
명확하게 관찰된다. 한편, 이는 200 mesh로 체가름을 할 때의 입경인 75 μm에 비해 현저하게 낮은 값으로 용융방사법을 통해 Cu2Se 결정립의 크기를 제어할 수 있음을 잘 보여준다. 따라서 그림 1의 XRD 패턴과 그림 2의 주사전자현미경 상은 용융방사법으로 Cu2Se 상을 형성 시, 냉각속도가 Se의 우선 휘발에 따른 조성 및 상형성에 미치는 효과 및 응고 시 결정의 성장 속도에 따른 미세구조 변화를 잘 보여준다.
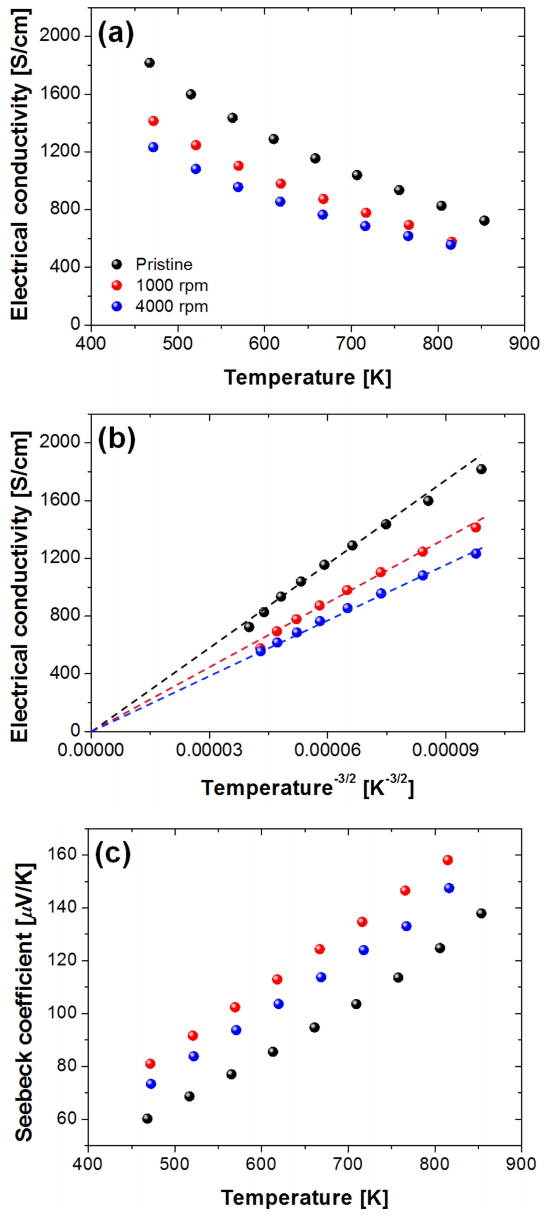
이상과 같이 용융방사법으로 제작된 분말을 열간가압법으로 소결하였으며, 비교를 위하여 모재를 유발로 분쇄하여 제작한 분말(pristine)을 같은 조건에서
소결하여 고온 열전특성을 ~473에서 ~823 K의 온도구간에서 평가하였다. 그림 3(a)는 이러한 소결체의 온도에 따른 전기전도도를 보여준다. 모재를 분쇄하여 소결한 소결체의 전기전도도가 가장 높았으며, 1000 rpm에서 용융방사법으로
제작한 소결체가 다음으로 높은 전기전도도를 나타내었고 4000 rpm의 경우가 가장 낮은 값을 나타내었다. 이는 Se의 선택적 휘발에 따른 조성의
변화 및 미세구조의 차이에 기인할 수 있으며, 전하수송을 보다 자세하게 이해하기 위하여 상온 Hall 측정을 수행하였다.
표 1에서 보이듯, 모재를 분말화하여 소결한 경우에 가장 높은 전하농도를 나타내며, 용융방사법 적용 시에는 이보다 낮은 전하농도를 가진다. 이는 용융방사
공정 중에 Se의 우선 휘발이 나타나서 Cu의 상대적 농도가 높아지게 되며, 이는 Cu2Se에서 정공의 주된 원인인 Cu 공공의 생성을 억제하기 때문이다. 또한 상대적으로 느린 냉각속도인 1000 rpm으로 제작된 시료에서는 Se의 휘발이
보다 더 활발하게 일어나 전하농도가 4000 rpm의 냉각속도로 제작된 시료에 비해 더 낮은 값을 나타낸 다는 것을 알 수 있다. 한편, 이동도의
경우 모재로부터 제작된 시료에서 가장 높은 값을 나타내며, 용융방사법으로 제작된 시료의 경우 rpm이 증가함에 따라 감소하는 경향이 확인되는데 이는
그림 2에서 관찰된 입경의 감소에 의해 전하의 입계 산란이 증가된 것으로 여겨진다. 이로부터 용융방사 공정에서 wheel 회전속도는 제작된 시료의 조성과
미세구조에 영향을 미치며, 이를 통해 전하수송특성의 변화를 유발한다는 사실을 확인하였다. 따라서 고온에서 관찰된 전기전도도 역시 이러한 조성과 미세구조의
복합적 효과에 기인한 것으로 여겨진다.
모든 시료에서 전기전도도는 온도증가에 따라 감소하는 경향을 보이며, 이러한 전기전도도는 포논의 산란으로 보인다. 이를 확인하기 위하여 그림 3(a)의 전기전도도를 T-3/2의 함수로 다시 나타내었으며, 그림 3(b)에 나타내었다. 그림에 점선으로 나타내었듯이 모든 시료에서 전기전도도가 T-3/2을 따라 감소하였으며, 이는 음향 포논 산란(acoustic phonon scattering)에 의해 전하수송이 지배되고 있다는 것을 명확하게 보여준다.
그림 3(c)의 Seebeck 계수는 모든 온도에서 모재를 분쇄하여 소결한 시료가 가장 낮은 값을 나타내고, 1000 rpm에서 소결한 시료가 가장 큰 값을 나타내었다.
Seebeck계수는 아래의 식 (1)에 나타낸 바와 같이 전하농도와 역의 상관관계를 나타낸다 [25].
여기에서 kB는 Boltzmann 상수, q는 전하수송자의 전하량, h는 Planck 상수, md*는 상태밀도 유효질량, 그리고 p는 정공 농도를 나타낸다. 따라서, 본 결과는 용융방사법으로 제작된 시료에서 정공의 농도가 상대적으로 낮은 것을 나타내는데 이는 앞서 고찰한 Se의
우선 휘발 효과와 완전히 일치하는 경향을 보인다. 한편, 모든 시료에서 Seebeck계수는 온도 증가에 따라 선형적으로 증가하는데, 이는 정공의 농도가
온도에 따라 변화하지 않음을 나타낸다. 따라서, 이 결과로부터 본 실험에서의 모든 시료는 축퇴반도체(degenerate semiconductor)임을
알 수 있다.
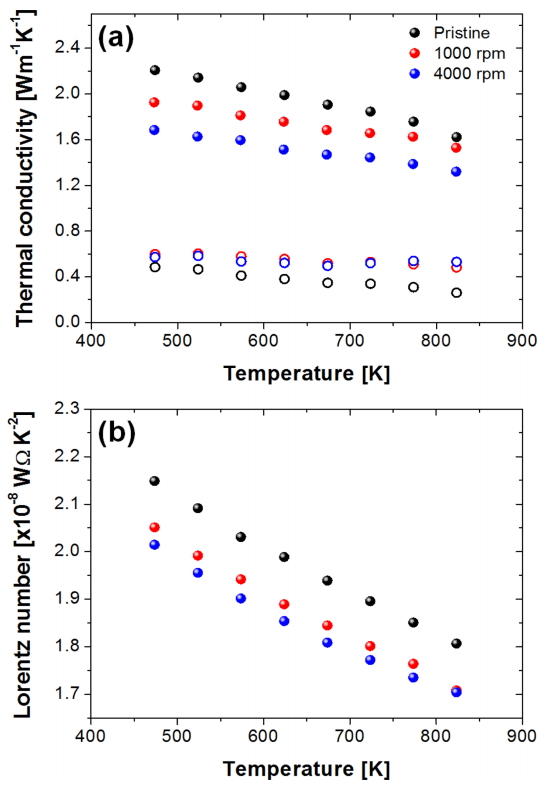
그림 4(a)는 각 시료의 온도에 따른 열전도도를 나타내며, pristine 시료에서 가장 열전도도가 높고, 4000 rpm의 wheel 회전속도로 용융방사된
시료에서 가장 낮은 값이 관찰되었다. 열전도도는 격자 열전도도와 전기적 열전도도의 합(κtotal = κlat + κel)으로 나타낼 수 있으며, 전기적 열전도도는 Wiedemann-Franz 법칙(κel = LσT, 여기서 L은 Lorentz number)으로 계산할 수 있다. 앞서 살펴본 바와 같이 pristine 시료에서 전기전도도가 가장 높으며, 용융방사법으로 제작된
시료에서도 wheel 회전수에 따른 냉각속도에 의존하여 전기전도도가 변화하는 것을 확인하였다. 따라서 용융방사법으로 제작된 시료에서의 열전도도 감소는
전기적 열전도도의 감소에 의한 효과가 가장 클 것으로 예상된다. 공정에 따른 격자 열전도도를 구하기 위하여 먼저 Lorentz number에 대한
근사적 계산을 다음의 식 (2)를 활용하여 수행하였다 [26].
여기에서 r은 전하수송기구에 따라 결정되는 산란인자(scattering parameter)로 본 연구에서처럼 음향포논산란이 지배적인 전하수송기구일 때에는 -1/2의
값을 가지며, η은 reduced Fermi energy (=EF/kBT, 여기에서 EF는 Fermi energy)이고, Fj(η)는 Fermi 적분(Fermi integration)으로 아래의 식 (3)과 같이 나타내어 진다.
이와 같은 방법으로 계산된 격자 열전도도를 그림 4(a)에서 open symbol로 나타내었다. 격자 열전도도는 특별한 경향성이 관찰되지 않았으며, 따라서 공정에 따른 미세구조의 변화가 Cu2Se의 격자 열전도도에 큰 영향을 미치지 못한다는 것을 확인하였다. 이는 문헌상에 보고된 나노구조화에 따른 격자 열전도도의 저감과는 달리, 본 연구에서는
Cu2Se 입경이 μm의 영역에 있기 때문에 미세구조에 따른 효과가 미미한 것으로 여겨진다.
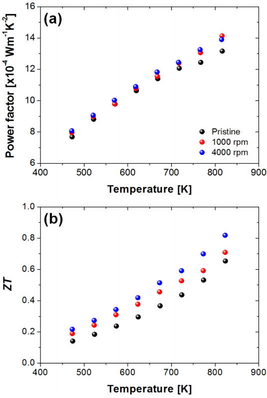
그림 5(a)와 (b)는 각각 제작 공정별 Cu1.98Se의 출력인자 (power factor = S2σ)와 ZT를 나타낸다. 용융방사된 시료의 경우, pristine 시료에 비하여 상대적으로 높은 출력인자를 나타낸다. 이는 용융방사공정 시 Se의 우선 휘발에
따라 Cu의 상대적 과잉이 발생하여 Cu 공공의 형성이 억제되면서 전하농도의 감소가 발생하여 출력인자의 향상이 가능해진 것으로 보인다. 그러나 냉각속도
차이에 따른 출력인자의 차이는 크지 않으며, 이는 식 (1)에 나타낸 전하농도와 Seebeck 계수와의 상관관계에 의한 결과로 여겨진다. 그리고 그림 4에 보이듯, 용융방사법으로 제작된 시료의 경우 전기적 열전도도의 저감으로 인한 전체 열전도도의 감소가 구현되었으며, 이로 인하여 가장 낮은 열전도도를
가지는 4000 rpm의 wheel 회전수로 제작된 시료에서 가장 높은 ZT (0.82 at 823 K)를 얻을 수 있었다.
4. 결 론
본 연구에서는 용융방사법으로 제작된 Cu1.98Se의 열전특성에 대해 보고한다. 용융방사공정 시 wheel 회전수에 따라 용융체의 응고속도를 변화시킴으로써, Se의 우선 휘발에 따른 전하농도와
함께 결정립의 미세구조를 제어할 수 있었다. 이에 따른 구조적 효과는 XRD 및 SEM을 통해서 확인하였으며, 또한 전기적 효과를 전하수송특성 및
Seebeck 계수로 규명하였다. 뿐만 아니라 Se의 우선 휘발에 따른 전하농도의 저감은 출력인자의 향상을 이끌어내었을 뿐만 아니라 열전도도의 저감을
동시에 구현하여 ZT의 향상을 이끌어내었다. 본 연구 결과는 용융방사법을 통한 Cu2Se의 열전성능지수의 향상이 가능하다는 것을 보였을 뿐만 아니라, Cu2Se의 전하수송기구 및 Se의 우선 휘발이 열전성능에 미치는 효과를 규명함으로써 향후 보다 높은 열전성능지수를 구현하는데 도움이 될 것으로 기대된다.
Acknowledgements
본 연구는 부경대학교 자율창의연구비(2017년 하반기)의 지원으로 수행되었습니다.
REFERENCES
Snyder G. J., Toberer E. S., Nat. Mater,7, 105 (2008)

Tritt T. M., Subramanian M., MRS Bull,31, 188 (2006)

Lim Y. S., Song M., Lee S., Seo W.-S., Korean J. Met. Mater,55, 427 (2017)

Bae S., Lee S., Sohn H. -S., Lee H. S., Met. Mater. Int,23, 1056 (2017)

Tan G., Zhao L.-D., Kanatzidis M. G., Chem. Rev,116, 12123 (2016)

Ge Z.-H., Zhao L.-D., Wu D., Liu X., Zhang B.-P., Li J.-F., He J., Mater. Today,19,
227 (2016)

He Y., Day T., Zhang T., Liu H., Shi X., Chen L., Snyder G. J., Adv. Mater,26, 3974
(2014)

Yu B., Liu W., Chen S., Wang H., Wang H., Chen G., Ren Z., Nano Energy,1, 472 (2012)

Liu H., Shi X., Xu F., Zhang L., Zhang W., Chen L., Li Q., Uher C., Day T., Snyder
G. J., Nat. Mater,11, 422 (2012)

Ballikaya S., Chi H., Salvador J. R., Uher C., J. Mater. Chem. A,1, 12478 (2013)

Lu P., Liu H., Yuan X., Xu F., Shi X., Zhao K., Qiu W., Zhang W., Chen L., J. Mater.
Chem. A,3, 6901 (2015)

Chi H., Kim H., Thomas J. C., Shi G., Sun K., Abeykoon M., Bozin E. S., Shi X., Li
Q., Shi X., Phys. Rev. B,89, 195209 (2014)

Gulay L., Daszkiewicz M., Strok O., Pietraszko A., 200, Chem. Met. Alloys, (2011)

Milat O., Vučić Z., Ruščić B., Solid State Ionics,23, 37 (1987)

Brown D. R., Day T., Caillat T., Snyder G. J., J. Electron. Mater,42, 2014 (2013)

Olvera A., Moroz N., Sahoo P., Ren P., Bailey T., Page A., Uher C., Poudeu P., Energy
Environ. Sci,10, 1668 (2017)

Nunna R., Qiu P., Yin M., Chen H., Hanus R., Song Q., Zhang T., Chou M.-Y., Agne M.
T., He J., Energy Environ. Sci,10, 1928 (2017)

Bailey T. P., Hui S., Xie H., Olvera A., Poudeu P. F., Tang X., Uher C., J. Mater.
Chem. A,4, 17225 (2016)

Jun W. K., Willens R., Duwez P., Nature,187, 869 (1960)

Li H., Tang X., Su X., Zhang Q., Appl. Phys. Lett,92, 202114 (2008)

Li H., Tang X., Su X., Zhang Q., Uher C., J. Phys. D: Appl. Phys,42, 145409 (2009)

Su X., Li H., Yan Y., Wang G., Chi H., Zhou X., Tang X., Zhang Q., Uher C., Acta Mater,60,
3536 (2012)

Ding G., Si J., Yang S., Wang G., Wu H., Scripta Mater,122, 1 (2016)

Day T. W., Weldert K. S., Zeier W. G., Chen B.-R., Moffitt S. L., Weis U., Jochum
K. P., Panthöfer M., Bedzyk M. J., Snyder G. J., Chem. Mater,27, 7018 (2015)

Ioffe A. F., Infosearch, Physics of semiconductors, (1960)

Kim J. H., Song Y. J., Rhyee J.-S., Kim B.-S., Park S.-D., Lee H. J., Shin J.-W.,
Phys. Rev. B,87, 224305 (2013)

Figures and Tables
Fig. 1.
XRD patterns of the melt-spun Cu1.98Se powders prepared with the wheel speeds of 1000 and 4000 rpm.
Fig. 2.
SEM micrographs of contact surfaces of melt-spun Cu2Se powders prepared with the wheel speeds of (a) 1000 and (b) 4000 rpm.
Fig. 3.
Temperature-dependent electrical conductivities of Cu1.98Se samples as a function of (a) T and (b) T-3/2. (c) Temperature-dependent Seebeck coefficients.
Fig. 4.
(a) Temperature-dependent thermal conductivities (solid symbol: κtotal, open symbol: κlat) and (b) Lorentz numbers of Cu1.98Se samples.
Fig. 5.
(a) Temperature-dependent power factors and (b) temperature-dependent ZT of Cu1.98Se samples.
Table 1.
Hall measurements of Cu1.98Se samples prepared by different conditions.
|
Sample
|
Electrical conductivity [Scm-1]
|
Carrier conc, [cm-3]
|
Mobility [cm2V-1s-1]
|
|
Pristine
|
2436
|
8.1 × 1020 |
18.8
|
|
1000 rpm
|
1788
|
6.9 × 1020 |
16.2
|
|
4000 rpm
|
1764
|
7.5 × 1020 |
14.7
|