권순철
(Suncheol Kwon)
1
주윤곤
(Yunkon Joo)
1
성창훈
(Changhoon Sung)
1
손명균
(Myunggyun Son)
1
신종호
(Jongho Shin)
2
서성문
(Seongmoon Seo)
3
이재현
(Jehyun Lee)
1*
-
창원대학교 신소재공학부
(Department of Materials Science and Engineering, Changwon National University, Changwon
51140, Republic of Korea)
-
두산중공업(주) 주단BG
(Forging and Casting BG, Doosan Heavy Industries & Construction Co. Ltd, Changwon 51711,
Republic of Korea)
-
재료연구소 내열재료연구그룹
(High Temperature Materials Lab., Korea Institute of Materials Science, Changwon 51508,
Republic of Korea)
Copyright © 2018 The Korean Institute of Metals and Materials
Key words
directional solidification, delta ferrite, austenite, segregation
1. 서 론
마르텐사이트계 스테인리스강인 10Cr1MoW 강은 발전 소용 증기터빈 내 600 °C 이상의 높은 온도와 150 bar 이상의 고압 환경에서 사용되며
우수한 크립 파단강도와 내산화성의 성질을 필요로 하는 초임계압(USC: Ultra Super Critical) 로터에 사용되는 합금으로 잘 알려져
있다. 터빈의 효율성을 증가시키기 위한 내열강의 합금 개발 연구는 고온 환경에서의 기계적 특성 향상에 집중되어 왔다. 본 연구에서 사용된 합금은 고온
강도와 부식성을 보완하기 위해 개발된 고크롬 합금강으로써 10Cr1Mo 합금강에 추가적으로 W, Nb, V이 첨가되어 각각의 원소들을 첨가함에 따라
합금은 고온강도가 크게 향상된 합금이다. 이로 인해 합금의 우수한 고온강도를 이용하여 터빈의 Rotor 뿐만 아니라 보일러용 튜브 및 파이프 재료에도
사용되고 있다. 또한 니켈기 초내열합금 및 오스테나이트계 스테인리스강과 비교하여 가격이 비교적 저렴하다는 장점을 가지고 있어 비용 절감 효율성을 위해
마르텐사이트계 합금강으로 대체하기 위한 연구가 활발히 진행되고 있다 [1-3].
고크롬 합금강의 기계적 성질은 미세조직에 의해 결정되는데 응고 조직이 후속 공정에 영향을 미치게 된다. 응고조직의 경우 고상과 액상의 고용도 차이로
인해 응고가 진행됨에 따른 구간별 용질원소의 조성차이가 발생하고 미세조직이 불균일한 편석이 발생하게 된다. 합금의 응고 조직은 평형분배계수(k)를 이용하여 편석 정도를 식 (1)로 표현할 수 있다.
여기서 CS는 고상에서 용질 원소의 농도, CL은 액상에서 용질 원소의 조성이다. 용질원소의 고용도가 고상이 액상보다 작은 경우는 k < 1로 표현될 수 있으며 이는 고상이 용질원소를 응고 계면
앞으로 배출하여 용질원소의 농도가 증가하게 되며, 용질원소의 고용도가 고상이 액상보다 큰 경우는 k > 1로 표현되며 이는 응고 계면 앞에서 용질
원소의 농도가 감소하는 것을 의미한다. k가 1에 가까울수록 편석의 정도는 적어지는 것을 뜻하며 1보다 작거나 클수록 그 편석의 정도는 증가하는 것을
뜻한다. 편석이 발생하게 되면 국부적으로 원소들의 불균일성으로 인해 미세조직과 기계적 특성이 변화될 수 있다. 따라서 응고 조직의 편석 제어 및 미세조직
균질화는 기계적 물성의 신뢰성을 결정하는 중요한 요소이다 [4,5].
10Cr1MoW 합금강은 높은 경도값을 가지는 마르텐사이트 조직으로 이루어져 있으며 상변태 과정을 예측하기 위해 그림 1에 10Cr1MoW의 상태도를 나타내었다 [6,7]. 0.13 wt%C의 합금 조성에 의해 약 1500 °C에서 액상으로부터 δ상이 핵생성 되어 성장하며, 1450 °C 부근에서는 포정 반응에 의해
δ상으로 상변태 된다. 마르텐사이트 변태를 위해서는 모상인 δ상으로의 상변태가 필요로 하지만, 변태가 충분히 이루어지지 않는다면 기지 내 δ상이 잔류하게
되고 급냉 이후 마르텐사이트 조직과 δ상이 공존하게 된다. δ상은 전반적인 기지의 연성과 인성을 증가시키는 장점이 있지만, 그 분율이 증가하게 되면
균열 발생시 δ상과 마르텐사이트 조직 사이에서 균열이 쉽게 진행되고 합금 성분들의 편석으로 인해 내부식성을 저하시키며 내열강으로서 가장 중요한 고온에서의
크립 파단 특성에 악영향을 미치는 것으로 알려져 있다 [1,8]. 결과적으로 고온 환경에서 필요한 우수한 기계적 특성을 가지기 위해서는 δ상의 크기와 분율을 감소시키는 것이 필수적으로 요구된다.
일방향 응고 실험을 통하여 합금성분에 따라 응고속도, 온도구배를 조절하여 초정 수지상의 크기와 수지상 사이에서 편성된 상의 분율을 제어할 수 있다
[9-11]. 따라서 본 연구에서는 마르텐사이트계 10Cr1MoW 합금강을 일방향 응고하여 δ상의 형성 거동을 연구하기 위하여 수행되었으며 응고 속도와 δ상의
크기 및 분율의 상관관계에 대해 고찰하였다.
2. 실험방법
본 연구에 사용된 10Cr1MoW 의 조성을 표 1에 나타내었다.
그림 2와 같이 일방향 응고 장비는 개량형 Bridgman 방식의 일방향 응고장치를 사용하였으며 이 장치는 상부에 가열로와 열을 차단시키는 절연부, 양의
온도구배를 효과적으로 형성시키는 노 하부의 냉각부로 구성되어 있다 [12,13]. 방전 가공을 이용하여 잉곳을 봉상 형태의 시편(∅: 4.7 mm, L: 90 mm)으로 가공하여 표면의 산화피막을 제거한 후 알루미나 튜브(OD:
8 mm, ID: 5 mm, L: 700 mm)에 시편을 장입하여 일방향 노의 상부에 고정하였다. 로터리 펌프를 이용하여 고정된 알루미나 튜브 내부를
진공 상태로 만든 다음 불활성 가스인 Ar을 주입하는 과정을 3회 반복하여 10 psi 압력의 불활성 분위기를 조성한 후 1600 °C까지 승온시켰다.
이 온도에서 30분간 유지하여 고상/액상 계면을 안정화시킨 다음, 로를 위쪽 방향으로 성장속도를 제어하면서 50 mm 성장시켰다. 5, 20, 50,
100 μm/s의 속도에서 결정을 성장시켰으며, 일방향응고시 온도구배는 20 K/mm로 확인하였다. 고상/액상의 계면 형상을 보존하기 위하여 일방향
응고 중에 물에 급냉하였다. 수냉된 시편을 길이방향과 고상/액상 계면으로부터 각각 5, 15, 25, 35 mm 아래 위치에서 성장방향의 수직으로
절단하였다. 각 응고 속도에서 응고된 시편은 길이방향과 수직방향으로 연마하여 애칭액 Vilella’s Reagent (10 g Picric, 10
ml HCl, 100 ml Ethanol)) 용액으로 부식시켜 광학현미경으로 미세조직을 관찰하였다. 각 응고 속도 조건에서 일차 수지상 간격(PDAS:
Primary Dendrite Arm Spacing)을 화상분석 프로그램을 이용하여 측정하였다. 화학 조성 분석은 주사전자현미경(SEM: Scanning
Electron Microscopy)과 EDS(Energy Dispersive Spectroscopy)를 이용하여 분석하였고 상(Phase) 분석을
위해 전계방사형 주사전자현미경(FE-SEM: Field Emission Scanning Electron Microscope)을 사용하였다.
가열 및 냉각 과정에서 발생하는 상변태 온도를 측정하기 위하여 시차주사열량측정법(DSC: Differential Scanning Calorimetry)으로
열분석 시험을 실시하였고 이 때 승온 및 냉각 속도는 10 K/min으로 설정하였다.
3. 결과 및 고찰
3.1 응고속도에 따른 수지상 형상 변화
일정한 온도구배에서 일방향 응고시 수지상 간격은 응고 속도가 증가할수록 감소하게 된다. 고상/액상 계면이 수지상으로 성장할 때 일차 수지상 간격(PDAS:
Primary Dendrite Arm Spacing)은 다음 식으로 나타낼 수 있다.
여기서 K는 일차 수지상 간격 상수이며 일차 수지상 간격은 온도구배와 응고속도에 반비례한다.
실험을 통해 측정한 응고 속도에 따른 일차 수지상 간격 변화를 그림 3에 나타내었고 표 2에 정리하였다. 본 실험의 경우 일차 수지상 간격은 일정한 온도구배에서 응고속도가 증가함에 따라 V−0.282으로 직선적으로 감소하는 경향이 관찰되었다. 이 결과는 일차 수지상 간격과 응고 속도의 상관 관계에 대해 Trivedi [14], Hunt [15], Kurz [16]가 제시한 식 (1)과 거의 유사한 것을 확인할 수 있었다.
그러나 그림 3에서 기울기가 -0.282인 점선과 5 μm/s 응고 속도에서의 일차 수지상 간격은 다소 차이가 있는 것을 확인할 수 있었다. 원인을 살펴보기 위하여
5, 20, 50 μm/s에서 일방향 응고 도중 수냉하여 응고속도에 따른 고상/액상 계면 형상을 관찰하였다(그림 4). 5 μm/s으로 일방향 성장 시, 이차 수지상(SPDA: Secondary Dendrite Arm Spacing)이 생기기 시작하는 셀-수지상
공존 형태(그림 4(a), (d))로 성장하는 셀/수지상형 계면을 보이고 있었다. 반면에 20 μm/s와 50 μm/s에서는 응고 속도가 증가함에 따라 비교적 미세한 일차 수지상으로
성장하는 것을 보여주고 있으며(그림 4(b), (c)) 응고 속도가 증가함에 따라 이차 수지상이 잘 발달되어(그림 4(e), (f)) 미세한 수지상의 형상으로 성장하는 것을 확인할 수 있었다. 그림 4에서 응고 속도가 비교적 느린 5 μm/s 성장 속도에서는 계면 형상이 셀-수지상 천이 영역에서 셀/수지상으로 성장하게 되기 때문에 응고 속도에 따른
일차 수지상 간격 변화의 경향성과 차이가 발생하는 것으로 판단된다.
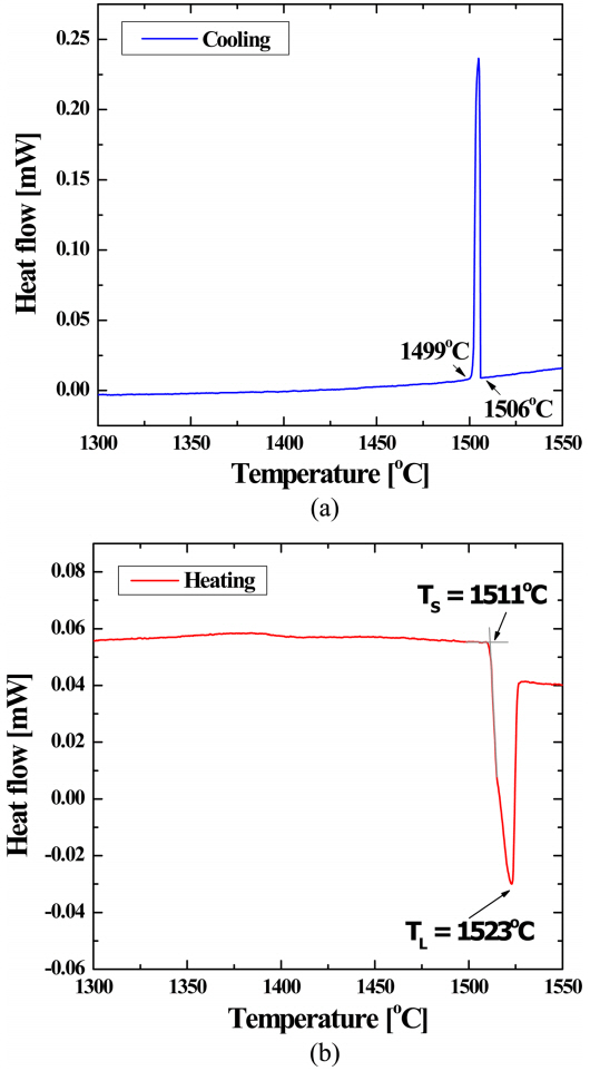
3.2 DSC 열분석
본 연구에서 사용된 마르텐사이트계 스테인리스강의 일방향 응고 과정에서 발생하는 상변태의 온도를 확인하기 위해 DSC 열분석을 실시하여 냉각 곡선과
승온 곡선의 결과를 그림 4에 나타내었다. 냉각 곡선(그림 5(a))에 나타난 액상선 온도는 1506 °C이고 고상선 온도는 1499 °C이며 승온 곡선(그림 5(b))에 나타난 액상선 온도(TL)는 1523 °C, 고상선 온도(TS)는 1511 °C로 나타났으며 고상/액상 공존 구역은 액상선의 온도와 고상선의 온도의 차이인 12 °C로 확인할 수 있었다.
그림 1을 통하여 본 연구에서 사용되는 합금의 응고 과정에서 발생하는 상변태 과정은 액상으로부터 초정 δ상이 형성되고 이후 포정 응고 반응에 초정 δ수지상
주위에 γ상이 형성되는 것을 확인하였다. 그러나 냉각 곡선에서 δ상으로 예상되는 피크는 발견되었지만 γ상의 피크는 발견되지 않았으며, 응고 시작 온도와
완료 온도의 차이는 7 °C로 짧은 구간 내 응고가 완료되는 것으로 보여진다. 5 μm/s 응고 속도에서 수지상 팁(Tip)을 살펴보면(그림 5(a)), 초정 δ상 주위에 마르텐사이트 조직이 형성되어 있는 것을 확인할 수 있다. 이는 액상으로부터 δ상이 형성된 후 상변태에 의해서 γ상이 형성되는
것을 의미하며 냉각 곡선에서 짧은 응고 구간으로 인해 γ상의 피크가 δ상의 피크 내 중첩되었거나, 빠른 냉각속도에 의해서 과냉도가 증가되어 피크가
발견되지 않은 것으로 보여진다.
3.3 δ-페라이트의 형성 거동
그림 6에서는 5 μm/s의 일방향 응고 속도로 성장한 후 고상/액상 공존 구간인 응고 계면으로부터 5 mm 아래의 수직 방향으로 절단하여 액상으로부터 성장하는
초정 δ상의 상변태 거동을 살펴보았다. 그 결과 조대한 수지상의 형상에서 δ상은 수지상 중심부에 형성되었으며(그림 6(a)) 그 주위에는 수냉으로 인해 δ상으로부터 상변태 된 마르텐사이트 조직이 관찰되었고 마르텐사이트 조직 주위에는 액상이 급냉된 조직이 관찰되었다(그림 6(b)). 초정 δ상의 수지상 사이에서 성분 편석에 의해 γ상은 액상으로 안정적인 성장을 할 수 있으며, 온도 감소에 의해서 γ상은 수지상 중심부로 성장하게
되어 δ상의 면적이 감소하면서 수지상의 중심에 잔존하게 되는 것으로 판단된다 [10,11].
수지상 중심부에서 마르텐사이트 조직으로 변태하지 않은 부분의 정확한 상분석을 위해서 Electron Back-Scatter Diffraction (EBSD)를
이용하였다. 성장 방향의 수직면을 관찰하였을 때, BCC 조직의 Kikuchi 패턴이 관찰되었으며 유사 조직의 Kikuchi 패턴은 모두 동일하게
관찰되었다(그림 6(c)) [17]. 이 결과는 일차 수지상의 중심부에서 관찰되는 BCC 조직은 액상에서 고상으로 변태한 초정 δ상임을 알수 있다. 초정 δ상은 일방향 응고에 의해
[001] 방향으로 성장하므로 다른 위치에서 수지상 중심부에 잔류하고 있는 δ상은 동일한 방향으로 성장하여 (001)면의 동일한 Kikuchi 패턴이
나타나는 것으로 판단되며 상온까지 상변태 없이 고상/액상 계면에 존재하게 되는 것을 확인할 수 있었다.
3.4 일방향 응고 속도에 따른 δ-페라이트의 거동
일방향 응고 속도와 고상/액상 계면으로부터의 거리에 따른 δ상의 크기와 분율 변화를 그림 7에 나타내었다. 모든 일방향 응고 속도에서 고상/액상 계면으로부터의 거리가 증가할수록 δ상의 크기(그림 7(a))와 분율(그림 7(b))이 감소하는 경향을 확인할 수 있었으며, 비교적 빠른 일방향 응고 속도에서 고상/액상 계면으로부터 거리가 증가할수록 δ상의 크기와 분율이 감소하였다.
먼저 모든 응고 속도에서 고상/액상 계면으로부터 거리가 증가할수록 δ상의 크기와 분율이 감소하는 경향을 확인하기 위하여 20 μm/s 성장 속도로
일방향 응고 후 고상/액상 계면으로부터 15, 25, 35 mm 직하에서 수직으로 절단하여 살펴보았다(그림 8). 고상/액상 계면에 거리가 증가할수록 δ상의 크기와 분율이 감소하는 경향을 조직 관찰을 통해 확인할 수 있었으며, δ상의 경우 성장 이후 수냉을
하였기 때문에 모든 구간에서 마르텐사이트 조직으로 변태된 것을 확인할 수 있었다. 고상/액상 계면으로부터 35 mm 직하에서 δ상이 일차 수지상 중심부에서
성장하는 δ상 영역으로 성장할 시간이 충분하여 δ상의 분율과 크기는 감소한 것으로 판단된다(그림 8(c)). 그에 반해 고상/액상 계면으로부터 15 mm 에서는 δ상이 조대한 형상으로 형성되어 있는 것을 확인할 수 있었다(그림 8(a)). 계면으로부터 거리가 증가할수록 δ상이 지속적으로 성장할 수 있는 시간이 비교적 충분하여 크기와 분율이 감소하는 것으로 판단된다.
수지상 팁에서 δ상이 성장하고 그 주위에서 δ상이 성장하면서 δ상의 크기와 부피가 감소하게 되는데 δ상이 δ상 방향으로 성장하면서 조성의 재분배를
발생시킬 수 있다. 표 3은 20 μm/s의 성장 속도에서 고상/액상 계면으로부터 15, 25, 35 mm 직하에서 존재하는 δ상의 성분 변화를 나타내었다. EDS를 통한
조성 분석 결과, 기지 내 FCC 구조를 가지는 δ상의 분율이 증가하게 되면 BCC 안정화 원소인 Cr, Mo, V, W은 δ상으로 이동하게 되어
고상/액상 계면으로부터 거리가 증가할수록 δ상 내 BCC 안정화 원소들의 농도가 증가하게 된다. 그에 반해 FCC 안정화 원소인 Mn, Nb은 고상/액상
계면으로부터 거리가 증가할수록 δ상 내에 고갈되는 것을 확인하였다. 결과적으로 δ상의 분율이 상대적으로 적은 35 mm 직하에서는 BCC 안정화 원소들이
δ상에 편석된 것을 확인할 수 있었다. 이러한 경향성은 모든 일방향 성장 속도에서 나타났다.
본 연구에서 수행된 일정한 온도구배에서 응고속도에 따른 δ상의 거동을 비교적으로 살펴보기 위해 5 μm/s와 50 μm/s의 성장 속도에서 위치별
광학사진을 비교하여 그림 8에 나타내었다. 고상/액상 계면으로부터 35 mm에서는 δ상의 크기와 분율은 차이를 보이지 않지만(그림 9(e), (f)), 고상/액상 계면에 가까워질수록 응고속도가 증가함에 따라 비교적 미세하고 적은 분율의 δ상을 관찰할 수 있었다.
응고 속도에 따른 위치별 δ상의 크기 변화(그림 7(a))와 분율 변화(그림 7(b))를 살펴보면, 35 mm 직하에서는 응고 속도 변화에 관계없이 비슷한 δ상의 크기와 분율을 나타내고 있지만, 고상/액상 계면에 가까워질수록 응고
속도가 증가하게 되면 δ상은 미세해지고 적은 δ상의 분율을 가지는 경향을 나타내었다. 특히 δ상의 크기의 경우 50 μm/s 성장 시 고상/액상 계면으로부터
15 mm 직하에서의 δ상의 크기(그림 8(a))는 5 μm/s 성장시 25 mm 구간(그림 8(c))보다 더 미세한 것이 관찰되었다.
응고 속도가 증가할수록 δ상은 미세한 수지상으로 성장하게 되고 그 주위에서 성장하는 δ상의 부피는 조대한 수지상의 δ상 주위에서 형성되는 것에 비해
증가하게 된다. 액상과 미세한 수지상 사이의 계면에서 형성된 비교적 높은 부피의 δ상은 비교적 적은 거리를 성장하여도 δ상의 부피 감소는 크기 때문에
응고 속도가 증가할수록 δ상의 부피는 그림 7에 나타난 것처럼 감소하게 된다. 고상에서의 확산 속도는 액상에서의 확산속도보다 느리기 때문에 δ상의 크기와 분율은 응고 속도와 관계없이 비슷한 속도로
수지상 중심 방향으로 성장하는 δ상이 형성되는 정도에 의해서 결정되는 것으로 예상된다. 조대한 수지상으로 초정 δ상이 성장하는 5 μm/s의 응고
속도에서는 비교적 적은 부피의 δ상이 형성된 후 성장하기 때문에 고상/액상 계면으로부터의 거리에 따른 δ상의 크기와 분율의 변화 정도가 비교적 큰
것이라고 사료된다. 결과적으로 δ상의 성장 시간이 충분하다면 응고 속도에 상관없이 기지 내 δ상 크기와 분율은 일정하지만 초기 응고 과정에서의 δ상의
크기와 분율은 포정 반응에 의해 δ상과 액상의 계면으로부터 δ상으로의 형성 정도에 의해 영향을 받기 때문에 수지상 형상에 의존하는 것을 확인할 수
있었으며 고상/액상 계면으로부터 거리가 가까워질수록 응고 속도가 증가하게 되면 δ상은 미세해지고 적은 분율을 가지는 것을 관찰할 수 있었다.
4. 결 론
본 연구에서 사용 된 10Cr1MoW 합금강을 다양한 응고 속도로 일방향 응고하여 δ상의 형성 거동에 대해 연구하였다. 응고 속도의 변화에 따른 δ상의
특징을 분석한 결과 그 결론은 다음과 같다.
일방향 응고 시 초정 δ상은 수지상의 형태로 성장하였다. 응고속도가 증가함에 따라 수지상은 미세해지는데, 일차 수지상 간격(PDAS)은 응고속도가
증가할수록 감소하였으며 V−0.282와 직선적인 관계임을 확인하였다.
초정 δ상이 성장하면서 성분의 편석에 의해 δ상은 수지상 사이에서 액상으로 성장하고 온도가 감소하면서 δ상은 수지상 중심부로 성장하여 수지상 중심부에
δ상이 잔존하게 되고 온도가 감소할수록 δ상의 분율과 크기는 감소하게 된다. δ상이 δ상 영역으로 성장할수록 δ상 안정화 원소를 배출하여 최종 δ상에는
δ상 안정화 원소가 증가하였다.
δ상은 수지상 바깥쪽에서 우선적으로 형성되기 때문에 수지상이 미세할수록 더 많은 δ상이 형성된 후 성장하게 된다. 결과적으로 응고 속도가 증가할수록
수지상은 미세해지기 때문에 δ상의 분율과 크기는 감소하며, 고상/액상 계면으로부터 가까울수록 응고 속도에 따른 δ상의 크기와 분율 차이는 증가하였다.
Acknowledgements
이 논문은 두산중공업(주)의 연구비 지원과, 2018년도 정부(교육과학기술부)의 재원으로 한국연구재단의 지원을 받아 수행된 연구임 (No. 2011-0030058).
REFERENCES
Abe F., Engineering,1, 211 (2015)

Zeiler G., Bauer R., Putschoegl A., La Metallurgia Italiana,6, 33 (2010)

Shang Z., Shen Y., Ji B., Zhang L., Met. Mater. Int,22, 171 (2016)

Davis J. R., ASM Handbook: Casting,338-345, ASM International (2008)

Porter D. A., Easterling K. E., Phase Transformations in Metals an Alloys,233-239,
Van Nostrand Reinhold Co. Ltd. (1981)

Park K. M., Gu J. H., Seo S. M., Jeong H. W., Shin J. H., Sim K. B., Lee J. H., Korean
J. Met. Mater,51, 211 (2012)

Davis J. R., ASM Handbook: Casting,331-336, ASM International (2008)

Anderko K., Shäfer L., Materna-Morris E., J. Nucl. Mater,179, 492 (1991)

Woodruff D. P., The Solid-Liquid Interface,115-123, William Clowes & Sons (1973)

Kurz W., Fisher D. J., Fundamental of Solidification,111Trans Tech Publications (1989)

Flemings M. C., Solidification Processing,177-180, McGraw-Hill Book Company (1974)

Lee J. S., Gu J. H., Jung H. M., Kim E. H., Jung Y. G., Lee J. H., Mater. Today Proc,1,
3 (2014)

Gu J. H., Sung C. H., Shin J. H., Seo S. M, Lee J. H., Korean J. Met. Mater,54, 261
(2016)

Trivedi R., Metall. Trans. A,15, 977 (1984)

Hunt J. D., Lu S. Z., Metall. Mater. Trans. A,27, 611 (1996)

Kurz W., Fisher D. J., Acta Metall,29, 11 (1981)

Okamoto P. R., Levine E., Thomas G., J. Appl. Phys,38, 289 (1967)

Figures and Tables
Fig. 1.
The phase diagram with C in 10Cr1MoW alloy system. The dashed line represents the
composition of 10Cr1MoW-0.13%C.
Fig. 2.
Schematic drawing of the modified Bridgman type directional solidification setup.
Fig. 3.
Primary dendrite arm spacings (PDAS) with solidification rates under 20 K/mm thermal
gradient. The spacing (black dot) at the low solidification rate (5 μm/s) is expected
to be the spacing of cellular/dendritic interface morphology.
Fig. 4.
(a)~(c) show solid/liquid interface morphologies at solidification rates of 5 μm/s,
20 μm/s, and 50 μm/s respectively in 10Cr1MoW alloy. (d)~(f) show microstructures
at 5 mm below the solid/liquid interface.
Fig. 5.
DSC curves under heating and cooling rates of 10 K/min: (a) The cooling curve and
(b) heating curve.
Fig. 6.
Cross microstructures of (a) optical image (b) SEM image 5mm below the solid/liquid
interface of directionally solidified specimen at 5 μm/s. (c) Kikuchi patterns of
ferrites (black phases, ①, ②, and ③) in (a).
Fig. 7.
The average size (a) and volume% (b) of the delta ferrite at 15, 25, 35 mm below the
solid/liquid interface in the directionally solidified specimens with various solidification
rates.
Fig. 8.
SEM images showing the size and morphology of the delta ferrite (a) below 15 mm, (b)
25 mm and (c) 35 mm from the solid/liquid interface in the directionally solidified
specimen at 20 μm/s.
Fig. 9.
Morphology change of the delta ferrite with distances, (a) and (b) 15 mm, (c) and
(d) 25 mm, (e) and (f) 35 mm, below the solid/liquid interface in the directionally
solidified specimen at 5 μm/s (a, c, e) and 50 μm/s (b, d, f), respectively. White
arrows are delta ferrites.
Table 1.
Chemical compositions of the 10Cr1MoW alloy. (unit: wt%)
|
Composition
|
C
|
Si
|
Mn
|
Cr
|
Ni
|
Mo
|
V
|
Nb
|
W
|
Fe
|
|
wt%
|
0.13
|
0.10
|
0.45
|
10.30
|
0.75
|
1.05
|
0.18
|
0.05
|
0.90
|
Bal.
|
Table 2.
The PDAS with directional solidification rates in the 10Cr1MoW alloy.
|
|
V(μm/s)
|
Solid/Liquid Interface Morphology
|
PDAS (μm)
|
|
10Cr1MoW
|
5
|
Cell/Dendrite
|
579 ± 32.6
|
|
20
|
Dendrite
|
463 ± 18.7
|
|
50
|
Dendrite
|
328 ± 20.6
|
|
100
|
Dendrite
|
297 ± 14.7
|
Table 3.
Chemical compositions of the delta ferrite with increasing distance from the solid/liquid
interface in the directionally solidified sample at 20 μm/s. (unit: wt%)
|
|
Cr
|
Mo
|
V
|
W
|
Mn
|
Nb
|
|
15 mm
|
11.12
|
1.13
|
0.24
|
0.96
|
0.43
|
0.24
|
|
25 mm
|
11.97
|
1.51
|
0.29
|
1.59
|
0.38
|
0.14
|
|
35 mm
|
12.17
|
2.13
|
0.39
|
2.19
|
0.30
|
0.12
|