선주형
(Ju Hyeong Sun)
1
임영수
(Young Soo Lim)
1*
-
부경대학교신소재시스템공학과
(Department of Materials System Engineering, Pukyong National University, Busan 48547,
Republic of Korea)
Copyright © 2018 The Korean Institute of Metals and Materials
Key words
thermoelectric, Si, melt-spinning, spark plasma sintering
1. 서 론
열전기술은 고체소자 내부에서 열과 전기에너지의 변환을 구현하는 기술로, 1956년 Goldsmid에 의해 처음으로 근대적 열전기술이 실현된 이후 열전기술에
대한 관심은 지속적으로 높아져왔다 [1–3]. 열전기술을 이용한 에너지변환의 효율은 열전소자를 구성하는 열전소재의 성능에 직접 의존하며,열전소재의 성능은 무차원 열전성능지수인 ZT (= S2σT/κ, S는 Seebeck 계수,σ는 전기전도도, T는 절대 온도,그리고 κ는 열전도도)로 나타내어진다. 여러 열전소재 중에서도 특히 Bi2Te3 계와 같은 칼코게나이드 (chalcogenide)계 열전소재의 ZT 향상을 위한 연구가 가장 많은 관심을 받아왔으며,또한 비약적인 열전성능지수의 향상이 이뤄져 왔다 [4–12].
기존 칼코게나이드계 열전소재의 성능향상에 대한 연구 이외에도 값이 저렴하고 독성이 없는 열전소재에 대한 탐색 또한 지속적으로 이루어져왔는데, 이중에서
전통적인 반도체 산업에서 가장 중요한 소재인 Si을 열전소재로 활용하려는 연구 역시 관심을 받아왔다. Si는 높은 출력인자 (= S2σ)에도 불구하고 격자 열전도도 (140 Wm−1K−1 at 300 K)가 높기 때문에 [12], 나노구조화를 통해 열전도도를 감소시켜 열전성능지수를 향상시키려는 방향으로 연구가 진행되어왔다. 2007년 Boukai 등은 단결정 Si을 나노
선 (nanowire)으로 만들어 열전도도를 저감시켜 200 K에서 약 1.0의 p-형 ZT를 보고하였으며 [13], 같은 해 Hochbaum 등은 Si 나노선 표면을 에칭을 통해 거칠게 만들어 표면에서 포논산란을 증진시키는 방법으로 상온에서 약 0.6의 p-형
ZT를 보고하였다 [14]. 또한 Zhu 등은 2009년 고에너지 볼밀링 (high-energy ball-milling)을 활용하여 나노구조화 Si (nanostructured
Si)를 제작하는 방법으로 Si의 열전도도를 저감시켜 900 K에서 약 0.5의 n-형 ZT를 보고한 바 있으며 [15], 같은 해 Bux 등도 고에너지 볼밀링을 활용한 나노구조화에 의해 열전도도의 급격한 저감이 구현됨을 보고한 바 있다 [16]. 또한 나노기공 역시 Si의 열전도도 저감에 효과적이라는 연구결과가 보고되어 왔다 [17–20]. 2008년 Lee 등은 이론적으로 나노기공을 가진 Si의 기공의 배열과 크기에 따른 열전성능에 대해 계산을 하여 상온에서 약 0.4의 n-형
ZT를 가질 수 있다고 보고하였으며 [21], 2012년 de Boor 등은 실험적으로 기공을 가진 Si 제조하여 각각 상온에서 p-형 ZT>0.02, n-형 ZT=0.023을 보고하였다 [22].
한편, 용융방사법은 나노구조화를 통한 열전소재의 열전 도도 저감에 효과적인 방식으로 알려져 있다. 용융방사법은 고온에서 용융된 소재를 냉각된 구리
휠에 방사함으로써 고상화하는 급속응고법 (rapid solidification process)의 일종으로 [23], 이러한 용융방사법은 Bi2Te3계 [24–26], Skutterudite계 [27–30], Half-Heusler계 [31] 및 silicide계 [32] 등의 다양한 열전소재에 적용되어왔으며, 이를 통한 열전소재의 나노구조화에 의한 열전도도의 저감 및 열전성 능지수의 향상이 보고되어 왔다. 그러나
아직 순수 Si에서는 용융방사법이 적용된 바 없으며, 본 연구에서는 Si의 열전성능 향상을 위해 용융방사법을 적용하여 나노구조를 갖는 다결정 Si
리본 제조를 시도하였다. 그러나, 본 실험 에서 용융방사 공정 시 냉각능의 한계로 인하여 나노구조가 아닌 마이크로미터 단위의 결정립을 갖는 다결정
Si 리본이 형성되었으며, 이를 방전 플라즈마 소결 (spark plasma sintering)하여 열전특성을 평가하였다. 101 μm 수 준의 비교적 큰 결정립을 지니는 소결체 내부에는 수백 nm 크기의 미세한 기공이 균일하게 분포하고 있었으며, 이러한 미세구조로 인하여 단결정과
유사한 이동도 (mobility) 를 나타내는 소결체의 격자 열전도도(lattice thermal conductivity)를 단결정 대비 1/4 수준으로
감소시킬 수 있었다. 이러한 연구를 통하여 용융방사법을 활용하여 제작한 다결정 Si에서 phonon-glass electron-crystal (PGEC)
효과를 관찰하였으며, 이를 통한 열전성능의 향상이 구현 될 수 있음을 확인하였다.
2. 실험 방법
본 실험은 B-doped p-type Si 웨이퍼 (polished wafer, <0.005 Ω·, QL Electronics)를 원재료로 하여 그림 1과 같이 진행되었다. 먼저 Si 웨이퍼를 유발을 이용하여 분쇄 하였으며, 분쇄한 분말을 SUS (steel use stainless) 몰드에 장입하고
핸드 프레스를 이용하여 80 MPa의 압력으로 성형체를 제작하였다. 이러한 성형체를 Ar 분위기의 용융 방사장치 내부 유도로에 설치된 흑연 노즐 (nozzle)에
장 입한 후, 용융된 용탕을 1000 rpm의 회전속도로 회전하는 구리 휠에 분사하여 리본형의 다결정 Si 리본을 제작하였다. 용융방사법으로 제작된
리본형 리본을 spex-mill (8000M mixer/mill, Spex Certiprep)을 이용하여 10분간 분쇄하였으며, 분쇄된 Si 분말을
진공분위기에서 1593 K의 온도와 90 MPa의 압력 하에서 30분간 방전 플라즈마 소결법 (spark plasma sintering, SPS)을
통해 소결하였다. 소결체의 상대 밀도는 95%였으며, 아르키메데스법 (Archimedes method)으로 즉정하였다.
Fig. 1.
Schematic of the experimental procedure for the polycrystalline Si composite prepared
by melt-spinning and spark-plasma sintering.
용융방사법을 통해 제작된 Si 리본 및 방전 플라즈마소 결법으로 제작된 소결체의 미세구조분석은 전계방사 주사 전자현미경 (field-emission
scanning electron microscope, FESEM, Verios 460 L, FEI)을 활용하여 수행하였으며, 상분석은 X-선 회절법
(x-ray diffraction, XRD, DMAX-3C, Rigaku)을 활용하여 수행하였다. 소결체의 결정립 관 찰을 위하여 폴리싱 후에 불산,
질산과 증류수의 혼합용액 으로 에칭을 수행하였다. 소결체의 전기전도도 및 Seebeck 계수는 4단자법 (four-point probe method,
ZEM-3, ULVAC)으로 측정하였으며, 전하농도와 이동도는 Hall 계 수 즉정 법 (Hall measurement, ResiTest 8400,
Toyo Co.)올 활용하여 측정하였다. 열전도도는 레이저 플래쉬법 (laser flash method, DLF-1300, TA Instruement)을
활용 하여 측정하였다.
3. 결과 및 고찰
그림 2는 용융방사법으로 제작된 Si 리본의 XRD 회절 상을 보여준다. 측정된 XRD 회절상은 보고된 Si의 분말 XRD 패턴 (JCPDD #27-1402)과
피크의 위치와 상대강도 가 매우 잘 일치하였으며, 또한 구리 휠에 용융방사된 Si 용탕이 급속응고되는 동안 어떠한 이차상도 형성되지 않았음을 확인하였다.
Fig. 2.
XRD pattern of melt-spun Si ribbon
그림 3(a)은 용융방사법으로 제작된 리본형 Si 리본에서 자유면 (free surface)의 주사전자현미경상을 보여준다. 용 융방사된 Si 리본은 다결정을 이루고
있으며, 결정립의 크 기는 약 11 μm였다. 본 연구에서는 원래 문헌에 보고된 다른 여러 열전소재와 같이 용융방사법을 통해 나노결정립을 가지는 분말의
제작을 시도하였으나, 높은 융점 (1687 K)을 가지는 Si의 특성으로 인하여 구리 휠에서 급속응고 되는 동안에도 결정립의 성장이 일어난 것으로
여겨진다. 그림 3(b)는 이러한 Si 리본을 분쇄하여 제작한 분말을 스파크 플라즈마 소결법을 통해 제작한 소결체의 주사전자현 미경상을 보여준다. 소결 후 결정립의 크기
역시 수 ∼ 수십 μm의 범위로 관찰되었다. 아르키메데스법으로 측정한 소결체의 상대밀도는 95% 였으나, 소결체 내부에 많은 미세 기공(sub-micron
size)이 관찰되었다. 따라서 비록 용융 방사법이 적용된 Si에서 나노구조화된 결정립을 얻지는 못하였으나, 본 연구에서 적용한 공정을 통해 비교적
치밀하게 소결된 다결정 Si 내부에 균일하게 분산된 미세기공을 구현할 수 있었다.
Fig. 3.
SEM micrographs of (a) melt-spun Si ribbon (free surface) and (b) sintered body of
the melt-spun Si ribbon.
우선 Hall 계수 측정법을 활용하여 상온에서의 소결체의 전하수송 특성을 평가하였으며, 이를 본 연구에 사용한 B-doped Si 웨이퍼의 특성과
비교하여 표 1에 나타내었다. 용융방사법을 적용한 소결체의 상온 전기전도도가 단결정인 Si 웨이퍼 보다 더 높았는데, 이는 소결체의 전하농도 가 웨이퍼 대비 약
60% 이상 증가하였기 때문이다. 이러 한 정공 농도의 증가는 고온의 Si 용탕이 구리 휠에서 급 속 응고되는 용융방사 공정 중에 Cu와 관련된 이차상이
생성되지는 않았지만 의도하지 않은 Cu 도핑이 발생했음을 보여준다 [33].
Table 1.
Hall measurements of sintered Si and B-doped Si wafer at room-temperature.
|
Sample
|
σ [Scm−1]
|
Hole conc., p [cm−3]
|
Mobility, μ [cm2V−1s−1]
|
|
Sintered Si
|
588
|
1.08 × 1020 |
34.0
|
|
|
Si wafer
|
421
|
6.62 × 1019 |
39.8
|
한편 소결체에서 이동도는 단결정 웨이퍼 대비 약간 감소하였는데, 이는 다결정화에 따른 입계산란 (grain boundary scattering)에
의해 감소될 수 있으며 또한 정공 농도 증가에 따른 이온화 불순물산란 (ionized impurity scattering)에 의해서도 감소될 수 있다
[34]. 이를 보다 명확히 이해하기 위하여 식 (1)과 같이 표현되는 Masseti 등 이 제안한 실험식 (empirical formula)을 이용하여
정공 농도에 따른 단결정 B-doped Si의 이동도를 계산하였으며 [35,36], 이를 그림 4에 나타내었다.
Fig. 4.
Calculated single crystalline mobility of B-doped Si based on Masseti formula and
experimental results in B-doped Si wafer and sintered body of melt-spun Si.
여기서 μmax는 격자 이동도 (lattice mobility), μmin은 이 온화 불순물 이동도 (ionized impurity mobility), μmin-μ1 은 클러스터링 이동도 (clustering mobility), 그리고 α1과 α2는 무차원이며 prefl 과 pref2는 전하농도 차원을 지니는 계 산인자 (fitting parameter)들로서 참고문헌에 제시된 값을 계산에 적용하였다 [35,36].
이와 같이 전하농도의 함수로 계산된 B-doped Si의 단 결정 이동도를 그림에서 녹색선으로 나타내었으며, 표 1에 있는 Si 웨이퍼와 용융방사법이 적용된 소결체에서의 결과를 각각 검정색과 빨간색의 도형으로 나타내었다. Si 웨이 퍼에서의 이동도는 정확하게 단결정
이동도를 나타내는 선 위에 존재하였으며, 따라서 본 연구에서 측정된 결과가 Masseti formula를 통해 계산된 결과와 잘 일치함을 알 수 있다.
한편, 다결정을 이루는 소결체에서도 해당 전하 농도에서의 이동도는 단결정의 이동도의 약 90% 수준이었으며, 이는 그림 3에서 관찰된 것과 같이 결정립의 크기가 수십 μm으로 비교적 크기 때문에 입계산란의 영향이 비교적 적으며 또한 상대밀도가 양호하기 때문에 얻어진 결과로
여겨진다. 따라서 본 연구에서 용융방사법을 적용한 Si 분말을 소결하여 제작한 소결체는 내부에 미세기공이 있음 에도 불구하고 단결정에 준하는 전하수송
특성을 나타내고 있음을 규명하였다.
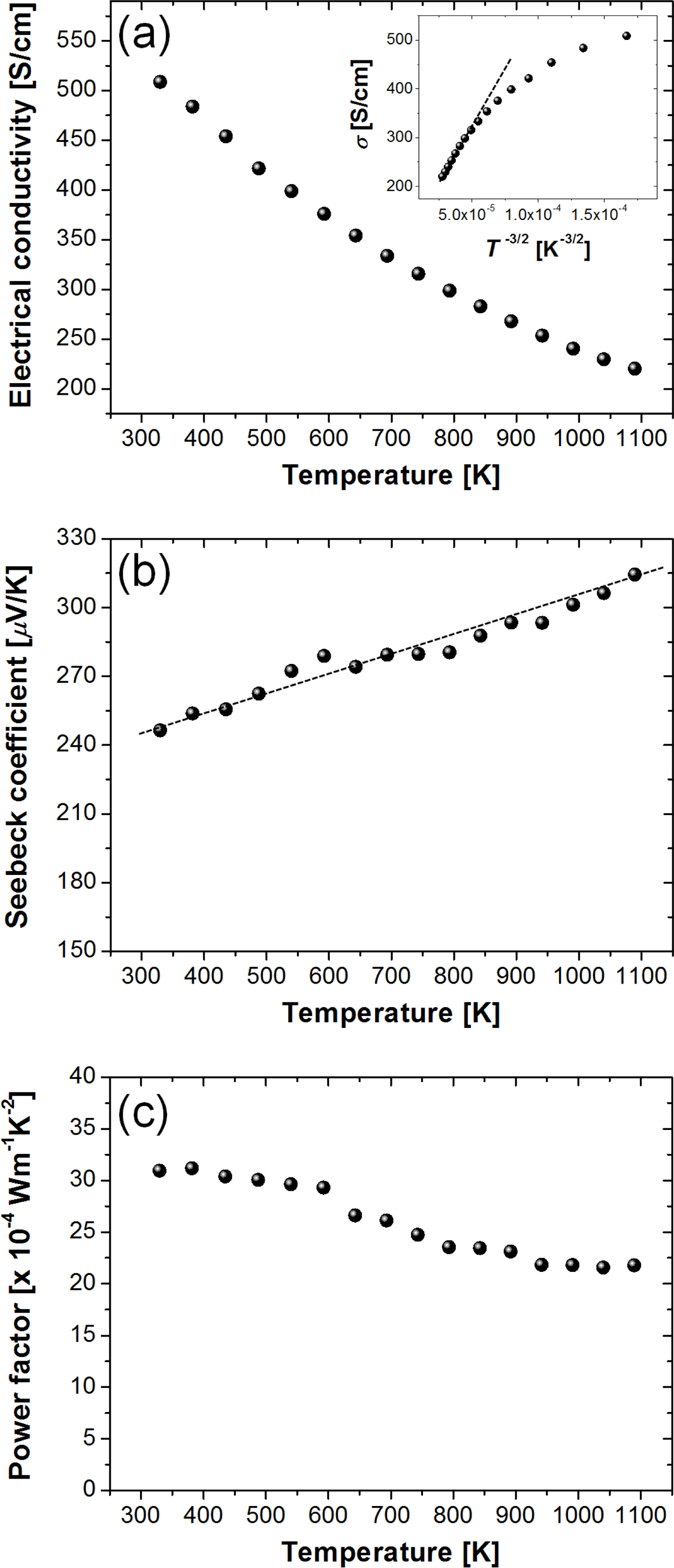
그림 5(a)는 용융방사법으로 제작된 Si 분말의 소결체에서 온도에 따른 전기전도도를 보여준다. 온도증가에 따라 전기전도도가 지속적으로 감소하는 축퇴 반도체 (degenerate
semiconductor)의 특성이 관찰된다 [34]. 특히 inset에서 나타내었듯이 800 K 이상의 온도에서 전기전도도는 T −3/2 에 선형적으로 비례하며 따라서 음향 포논 산란 (acoustic phonon scattering)에 의해 전하수송이 지배되고 있음을 알 수 있다
[37]. 그림 5(b)는 소결체의 온도에 따른 Seebecek 계수를 보여준다. Seebeck계수는 점선으로 나타낸 것과 같이 온도 증가에 따라 선형성을 띄며 증가하였다.
단일 포물 선형 밴드 (single parabolic band)를 가지는 Seebeck 계수를 식 (2)와 같이 Pisarenko relation으로
나타낼 수 있다 [38].
Fig. 5.
Temperature-dependent (a) electrical conductivity, (b) Seebeck coefficient, and (c)
power factors of sintered body of melt-spun Si.
여기에서 kB는 Boltzmann 상수, q는 전하수송자의 전하량, h는 Planck 상수, md*는 상태밀도 유효질량,그리고 p 는 정공 농도를 나타낸다. 따라서, 그림 5(b)에서와 같이 Seebeck계수가 온도에 따라 선형적으로 증가하는 것은 용 융방사법으로 제작된 분말을 소결하여 제작한 소결체가 축 퇴반도체임을 나타내며,이는
그림 5(a)의 결과와 잘 일치 한다. 그림 5(c)는 소결체의 온도에 따른 출력인자를 나타낸다. 소결체는 상온부근에서 30 × 10−4 Wm−1K−2 이상을 나타내었는데,이는 문헌에 보고된 단결정에서의 출력인자와 유사한 수준이며 이는 소결체에서의 이동도가 단결정에서의 이동도와 유사한 수준의 값을
가지기 때문이다 [14]. 한편,온도증가에 따른 전기전도도의 감소로 인하여 지속적으로 감소하며 본 실험에서 가장 높은 온도인 1089 K 에서 21.8 × 10−4 Wm−1K−2의 가장 낮은 값을 나타내었다. 그림 6(a)는 용융방사법으로 제작된 Si 분말의 소결체에서 온도에 따른 열전도도를 보여준다. 축퇴반도체의 열전도도는 격자 열전도도 (lattice thermal
conductivity, Klat)와 전자 열전도도(electronic thermal conductivity, Kel)로 구성되며,전자 열전도도는 Wiedemann-Franz 법칙 (Kel = LσT, 여기에서 L은 Lorentz 상수)로 계산할 수 있다. Lorentz 상수 (L = 2.44 × 10−8 WΩK−2)를 사용하여 계산된 전자 열전도도를 그림의 inset에 나타내었으며, 전체 열전도도에 대한 전자 열전도도의 기여는 상온에서 1% 미만,고온에 서도
3% 미만임을 알 수 있다.
Fig. 6.
(a) Temperature-dependent thermal conductivities, (b) temperature(T−1)-dependent lattice thermal conductivities and (c) temperature-dependent ZT of sintered body of melt-spun Si.
이와 같이 계산된 소결체의 격자 열전도도를 그림 6(b) 에 나타내었으며, B-doped Si 단결정의 격자 열전도도와 함께 비교하였다 [39,40]. 소결체의 격자 열전도도는 T−1에 선형적으로 비례하며,따라서 온도증가에 따라 Umklapp 산란에 의해 격자 열전도도가 감소함을 잘 보여준다. 소결체의 격자 열전도도는 문헌에 보고된
단결정 격자 열전도도 대비 약 1/4의 값으로,다결정화에 의해 급격하게 감소하였다. 포논의 입계산란 (grain-boundary scattering)에
의한 격자 열전도도 감소는 나노결정립을 가지는 다결정 Si에서 는 많이 관찰되어 왔으나,결정립의 크기가 200 nm 이상 일 경우에는 그 효과가 미미하다고
알려져 있다 [41]. 본 연구에서는 결정립의 크기가 수 ∼ 수십 μm 수준으로,그림 6(b)의 격자 열전도도 감소가 포논의 입계산란에만 기인하였다고 보기는 어렵다. 한편, 기공의 경우 micron-size 의 경우에도 효과적으로 격자 열전도도의
감소를 유도할 수 있다고 보고된 바 있으며 [19], 따라서 그림 3(b)에 보 이듯 본 연구를 통해 제작된 소결체 내부에 균일하게 분포 하고 있는 미세기공이 격자 열전도도의 급격한 감소의 원인일 수 있다.
이상과 같이 용융방사법을 적용한 Si 분말 소결체의 무 차원 열전성능지수인 ZT를 그림 6(c)가 보여준다. B-doped Si 단결정 대비 우수한 열전성능지수가 본 연구를 통해 구 현되었으며, 이는 그림 4에서 관찰된 단결정에 준하는 높 은 전기전도도와 함께 그림 6(b)와 같은 격자 열전도도의 저감이 동시에 구현되었기 때문이다 [39,40]. 따라서 비록 초기의 연구 아이디어인 용융 방사법을 통한 나노 결정립화를 구현하지는 못하였으나, 결정립의 크기가 수십 μm 수준이더라도 내부에
미세기공이 균일하게 분포할 경우 phonon-glass electron-crystal (PGEC) 효과를 통해 열전성 능의 향상이 구현될 수 있음을
본 연구가 보여준다.
결 론
4
본 연구에서는 용융방사법으로 제작된 다결정 Si의 열전 특성에 대해 보고한다. 용융방사법을 통해 마이크로미터 크기의 결정립을 가진 다결정 Si을 제조
할 수 있었으며, 이는 고융점을 가지는 Si의 특성으로 인해 급속응고가 진행 되는 동안에도 결정립의 성장이 일어났기 때문이다. 제조된 샘플은 소결
후 미세 기공이 균일하게 분포하는 것을 확인 할 수 있었다. 소결체의 전기적 특성은 다결정화와 미세기공이 분포함에도 불구하고 여러 문헌상에서 보고된
단결정 Si의 전기적 특성과 유사하였으며, 용융방사공정 중 Si 용탕이 구리 휠에 접촉하면서 Cu의 도핑이 발생한 것을 정공 농도 증가로써 확인 할
수 있었다. 열전도도 측면 에서는 다결정화와 더불어 소결체 내부에 균일하게 분포한 미세기공의 영향으로 열전도도의 급격한 저감이 유도되었다. 이는 결과적으로
PGEC 효과를 나타내어 용융방사법으로 제조된 샘플은 단결정 Si에 비하여 열전성능지수가 크게 향상되었다. 추후 미세기공의 형성의 메커니즘을 규명함으로써
다결정 벌크 Si 열전소재의 연구에 또 다른 전략으로 사용될 수 있을 것으로 기대된다.
감사의 글
본 연구는 한국연구재단 중견연구자지원사업 후속연구지원(2018R1A2A2A05020902)을 통해 수행되었습니다.
REFERENCES
Bell L. E., Science,321, 1457 (2008)

Disalro F. J., Science,285, 703 (1999)

Goldsmid H. J., Materials,7, 2577 (2014)

Xie W., Hithchcock D. A., Kang H. J., He J., Tang X., Laver M., Hammouda B., Appl.
Phys. Lett.,101, 113902 (2012)

Bhame S. D., Pravathana D., Prellier W., Noudem J. G., Appl. Phys. Lett.,102, 211901
(2013)

Shin W. H., Ahn K., Jeong M., Yoon J. S., Song J. M., Lee S., Seo W. S., Lim Y. S.,
J. Alloy. Comp.,718, 342 (2017)

Ma Y., Hao Q., Poudel B., Lan Y., Yu B., Wang D., Chen G., Ren Z., Nano Lett.,8, 2580
(2008)

Poudel B., Hao Q., Ma Y., Lan Y., Minnich A., Yu B., Yan X., Wang D., Muto A., Vashaee
D., Chen X., Liu J., Dresselhaus M. S., Chen G., Ren Z., Science,320, 634 (2008)

Kim S. I., Lee K. H., Mun H. A., Kim H. S., Hwang S. W., Roh J. W., Yang D. J., Shin
W. H., Li X. S., Lee Y. H., Snyder G. J., Kim S. W., Science,348, 109 (2015)

Lim Y. S., Song M., Lee S., Seo W.-S., Korean J. Met. Mater.,55, 427 (2017)

Lim Y. S., Lee S., Korean J. Met. Mater.,55, 651 (2017)

Shanks H. R., Maycock P. D., Sidles P. H., Danielson G. C., Phys. Rev.,130, 1743 (1963)

Boukai A. I., Bunimovich Y., Tahir-Kheli J., Yu J. K., Goddard W. A., Heath J. R.,
Nature,51, 168 (2008)

Hochbaum A. I., Chen R., Delgado R. D., Liang W., Garnett E. C., Nagarian M., Majumdar
A., Yang P., Nature,451, 163 (2008)

Zhu G. H., Lee H., Lan Y. C., Wang X. W., Joshi G., Wang D. Z., Yang J., Vashaee D.,
Guilbert H., Pillitteri A., Dresselhaus M. S., Chen G., Ren Z. F., Phys. Rev Lett.,102,
196803 (2009)

Bux S. K., Blair R. G., Gogan P. K., Lee H., Chen G., Dresselhaus M. S., Kaner R.
B., Fleurial J. P., Adv. Funct. Mater.,19, 2445 (2009)

Gesele G., Linsmeier J., Drach V., Fricke J., Arens-Fischer R., J. Phys. D: Appl.
Phys.,30, 2911 (1997)

Yamamoto A., Takazawa H., Ohta T., Proc. 8th Int. Conf. Thermoelectr.,428, (1999)

Song D., Chen G., Appl. Phys. Lett.,84, 687 (2004)

Lee J. H., Grossman J. C., Reed J., Galli G., Appl. Phys. Lett.,91, 223110 (2007)

Lee J. H., Galli G. A., Grossman J. C., Nano Lett.,8, 3750 (2008)

Boor J. de, Kim D. S., Ao X., Becker M., Hinsche N. F., Mertig I., Zahn P., Schmidt
V., Appl. Phys. A.,107, 789 (2012)

Jun W. K., Willens R., Duwez P., Nature,187, 869 (1960)

Xie W., Tang X., Yan Y., Zhang Q., Tritt T. M., Appl. Phys. Lett.,94, 102111 (2009)

Xie W., He J., Kang H. J., Tang X., Zhu S., Laver M., Wang S., Copley J. R. D., Brown
C. M., Zhang Q., Tritt T. M., Nano Lett.,10, 3283 (2010)

Kim T. S., Kim I. S., Kim T. K., Hong S. J., Chun B. S., Mater. Sci. Eng. B,90, 42
(2002)

Li H., Tang X., Su X., Zhang Q., Appl. Phys. Lett.,92, 202114 (2008)

Li H., Tang X., Zhang Q., Uher C., Appl. Phys. Lett.,93, 252109 (2008)

Son G., Lee K. H., Choi S. M., J. Electron. Mater.,46, 2839 (2017)

Tan G., Liu W., Wang S., Yan Y., Li H., Tang X., Uher C., J. Mater. Chem. A.,1, 12657
(2013)

Yu C., Zhu T. J., Xiao K., Shen J. J., Yang S. H., Zhao X. B., J. Electron. Mater.,39,
2008 (2010)

Luo W., Li H., Yan Y., Lin Z., Tang X., Zhang Q., Uher C., Intermetallics,19, 404
(2011)

Collins C. B., Carlson R. O., Phys. Rev.,180, 1409 (1957)

Streetman B. G., Solid State Electronic Devices,Prentice Hall (1980)

Masetti G., Severi M., Solmi S., IEEE Trans. Electron Dev.,ED 30, 764 (1983)

Ellmer K., J. Phys. D Appl. Phys.,34, 3097 (2001)

Nag B. R., Electron Transport in Compound Semiconductors,Springer-Verlag (1980)

Ioffe A. F., Physics of Semiconductors,Academic Press (1960)

Stranz A., Kahler J., Waag A., Peiner E., J. Electron. Mater.,42, 2381 (2013)

Ohishi Y., Xie J., Miyazaki Y., Aikebaier Y., Muta H., Kurosaki K., Yamanaka S., Uchida
N., Tada T., Jpn. J. Appl. Phys.,54, 071301 (2015)

Hao Q., Zhu G., Joshi G., Wang X., Minnich A., Ren Z., Chen G., Appl. Phys. Lett.,97,
063109 (2010)
