The Journal of
the Korean Journal of Metals and Materials

The Journal of
the Korean Journal of Metals and Materials

Monthly
  • pISSN : 1738-8228
  • eISSN : 2288-8241

Editorial Office


  1. 부경대학교 신소재시스템공학과 (Dept. of Materials System Eng., Pukyong National University, Busan 48547, Republic of Korea)
  2. 포스코 기술연구원 (Technical Research Laboratories, POSCO, Pohang 37859, Republic of Korea)



alloys, welding, toughness, impact test, niobium

1. 서 론

선박의 대형화 추세에 따라 현재 두께가 70 mm 이상인 항복강도 360 MPa급 고강도 강이 선박 건조에 사용되고 있다. 이런 강은 통상 고강도 및 인성 확보를 위하여 엄격한 압연 관리와 가속냉각을 행하는 소위 가공열처리법 (thermo mechanically controlled process, TMCP)에 의하여 제조되며, 용접 시에는 생산성 향상을 위하여 일렉트로 가스용접 (electro gas welding, EGW) 등 대입열용접법을 사용한다 [1-3]. 하지만 용접 후 과도한 입열량으로 열영향부 (heat affected zone, HAZ)에서 기계적성질, 특히 충격 인성이나 강도가 저하하여 문제가 된다. 즉 과도한 입열량으로 인하여 용융선 (fusion line, FL)에 인접한 HAZ에서는 결정립이 크게 성장하고 베이나이트 등 취약한 조직이 형성하여 인성이 열악하게 되며, FL에서 상대적으로 떨어진 곳에서는 가공열처리된 원래의 조직이 소실되어 강도가 저하하는 연화현상이 나타난다.

선박용 강의 고강도화는 더욱 확대되어 최근에는 Nb 등 미량합금원소가 첨가된 항복강도 390 MPa급 강의 사용도 보고되고 있다 [4]. Nb는 탄질화물을 형성하여 강도 증가에 기여하나 용접 후에는 HAZ 인성에 다양하게 영향을 미친다고 알려져 있다. Hannerz 등은 [5] Nb 첨가강을 용접열싸이클 모사시험한 결과, 냉각시간이 짧은 경우에는 Nb 탄질화물이 고용되지 않고 남아 결정립 성장을 억제하여 인성 증가에 기여하나, 냉각시간이 길어지면 대부분 고용되어 재석출하거나 고용상태로 존재하여 인성을 저하시킨다고 하였다. 이런 점에서 Nb가 첨가된 항복강도 390 MPa급 강을 EGW하는 경우 HAZ 인성에 미치는 Nb의 영향을 확인할 필요가 있다. 한편 두꺼운 강 HAZ의 경우 시험편 채취위치에 따라 충격인성에 편차를 나타내며, 동일한 위치에서 채취한 시편 사이에서도 편차를 나타내는 경우가 많다 [6-8]. 일반적으로 충격인성이 편차를 나타내는 원인은 비금속개재물, 결정입도 등 강재의 요인, 입열량, 조직 등 용접의 요인, 그리고 시편 채취, 가공 등 시험 자체의 요인 등 매우 다양하다 [9]. Graham은 [10] 인성의 편차는 취성균열의 발생장소인 입자들의 크기와 분포를 통계적으로 해석하여 설명할 수 있다고 하였으며, Bailey는 [11] 인성의 편차는 충격시편 노치 앞에서 어느 정도의 취성조직이 존재하는가라는 확률적인 문제와 관련이 있다고 하였다. 한편 입열량이 증가하면 고강도 TMCP 강 HAZ에서 연화영역이 더욱 확대된다는 보고도 있다 [12-14]. 본 실험에서는 두께 80 mm의 항복강도 390 MPa급 고강도 TMCP 강을 EGW 대입열용접하여 Nb 첨가, 시험편 채취위치 등이 충격인성에 미치는 영향을 조사하고, HAZ 연화의 정도가 용접이음부 강도저하에 미치는 영향을 검토하였다.

2. 시험재 및 실험방법

시험에 사용한 강은 C가 0.05~0.10%, Si가 0.10~0.25%, Mn이 1.45~1.60%범위에서 TMCP로 제조된 두께 80 mm의 항복강도 390 MPa급 고강도강이다. 본 조성범위에서 동일한 조성으로 세 종류의 강을 제조하였다. 두 종류 (이하 397, 903강)는 미량의 Nb가 첨가된 강이며, 한 종류 (이하 852강)는 첨가되지 않은 강이다. Nb가 첨가된 397과 903강은 동일한 조성이나 압연조건이 다르다. 즉 397강이 903강 보다 압연 시 최종압연온도와 냉각종료온도가 낮다. 이들을 tandem EGW로 입열량 600 ~ 620 kJ/cm로 대입열 용접하였다. 자세한 용접이음부 형상 및 용접조건을 표 1에 나타내었다. 용접 후 표면에서 2 mm 아래 (이하 face 시편), 판 두께 중앙 (center 시편), 그리고 이면에서 2 mm 아래 (root 시편)에서 각각 표준 샤르피 충격시편을 채취한 후 FL 및 FL에서 모재쪽으로 1 mm 떨어진 곳 (FL+1)에서 V노치를 가공하였다. 충격시험은 각 조건에서 세 개씩 -20 ℃에서 행하였다. 충격시험 후 파단된 한쪽 파면을 니켈도금한 다음 그림 1에 나타낸 것처럼 시편 폭 10 mm의 1/4, 1/2, 3/4 위치에서 절단하여 노치 앞에서의 조직을 관찰하였다. 충격시험 후 몇몇 시편에 대해서는 주사식전자현미경 (SEM)을 사용하여 파면 및 개재물 관찰을 행하였다.

HAZ에서 연화현상은 노치를 가공하지 않은 충격시편을 사용하여 연속경도를 측정하여 조사하였다. FL로부터 모재 쪽으로 하중 1 kg, 1 mm 간격으로 마이크로 비커스 경도를 측정하였다.

3. 실험결과 및 고찰

3.1 HAZ 충격인성

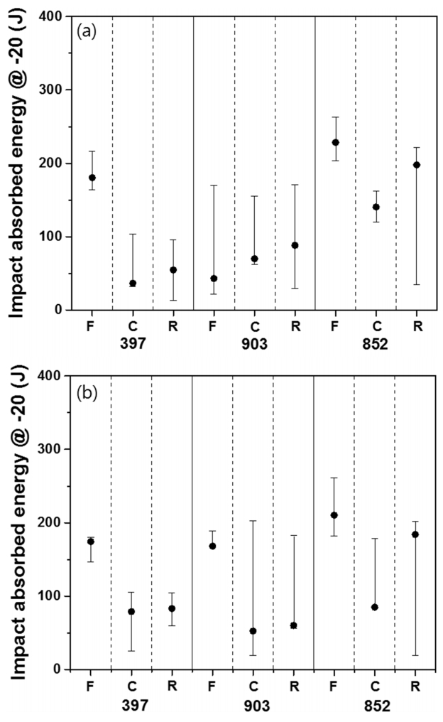
그림 2에 각 강들의 face, center, root 위치에서 채취한 시편들의 충격시험 결과를 나타내었다. 그림 (a)는 노치위치가 FL, 그림 (b)는 FL+1의 경우이다. 동일한 강, 동일한 위치에서 채취한 세 시편 사이에서도 흡수에너지에 큰 편차를 나타내는 경우도 있으나, 노치위치에 상관 없이 전반적으로 Nb가 첨가된 397과 903강이 첨가되지 않은 852강 보다 인성이 낮으며, center나 root에서 채취한 시편이 face에서 채취한 시편보다 인성이 낮은 경향을 보인다. 이러한 원인을 조사하기 위하여 먼저 광학현미경 조직관찰을 행하였다. 그림 3에 대표적으로 Nb 첨가강인 397강과 Nb 무첨가강인 852강을 대상으로 face와 root에서 채취한 시편의 FL과 FL+1에서의 조직을 비교하였다. 903강은 압연 조건의 차이에도 불구하고 397강과 유사하여 비교에서 제외하였다. 두 강 모두 입계에서 입계페라이트 (그림 중 A 표시)와 입내에서 사이드 플레이트 페라이트와 베이나이트의 혼합조직 (그림 중 B 표시)을 나타내나 강종과 채취위치에 따라 각 조직의 형성량과 결정립 크기에 차이가 있다.

먼저 강종 별 차이를 살펴보면 Nb가 첨가된 397강이 첨가되지 않은 852강 보다 고온 변태조직인 입계페라이트는 적고 사이드 플레이트 페라이트나 베이나이트 등 저온 변태조직이 많다. FL의 경우 200배 사진을 사용하여 영상분석장치 (image analyzer)로 입계페라이트 분율을 측정하면 397강은 face가 43%, root가 29%인 반면, 852강은 face가 63%, root가 47%이다. 이런 점은 Nb 첨가가 용접 냉각과정 중 HAZ 경화능을 증가시킴을 나타낸다. 강도 향상을 위하여 첨가된 Nb는 Nb(CN) 탄질화물을 형성하나 용접 가열과정 중 고온에서 용해되어 고용될 가능성이 있다. 397강에서 Nb(CN)과 Ti(CN)이 독립적으로 형성한다고 가정하여 용접 시 가열온도에 따른 Nb(CN)의 용해량을 Thermo-Calc 프로그램을 사용하여 계산하였다. 그림 4에 결과를 나타내었다. FL 인근에 해당하는 1350℃ 이상에서 95% 이상의 용해량을 나타내어 대부분의 Nb가 고용 상태로 존재함을 알 수 있다. 용접이 비평형적인 급속가열임을 고려하더라도 첨가된 Nb 중 대부분이 고용상태로 존재할 것으로 예측된다. 이런 고용 Nb는 용접냉각과정 중 탄질화물로 다시 재석출하든지 아니면 계속해서 고용상태로 존재한다. 어떤 상태로 존재하는지를 간접적으로 확인하기 위하여 용접한 그대로 (as-welded) 상태와 650 ℃에서 1시간 용접후열처리 (post weld heat treatment, PWHT)한 상태의 경도 차이를 확인하였다. 일반적으로 용접 후 PWHT를 행하면 결정립이 조대화하고 전위가 재배열하여 경도가 저하한다. 따라서 PWHT 후 오히려 경도가 증가한다면 고용상태로 존재하던 Nb가 PWHT과정 중 석출하여 경도를 증가시킨 것으로 고용 Nb가 존재한다는 간접적인 증거가 될 것이다. 노치를 가공하지 않은 충격시편을 사용하여 용접한 그대로 상태 및 PWHT한 상태에서 FL로부터 하중 1 kg을 사용하여 1 mm 간격으로 비커스 연속경도를 측정하였다. 그림 5에 face에서 채취한 시편을 측정한 결과를 나타내었다. Nb를 첨가하지 않은 852강은 (그림 a) 용접한 그대로 상태보다 PWHT한 상태에서 전체 HAZ에서 경도가 저하하고 있으나, Nb를 첨가한 397강은 (그림 b) FL로부터 약 5~6 mm 떨어진 곳까지 PWHT한 상태에서 경도가 오히려 증가하고 있다. 이러한 경향은 root에서 채취한 시편에서도 동일하였다. 따라서 Nb가 첨가된 397강의 경우 FL에 가까운 고온으로 가열되는 곳에서는 고용 Nb가 존재하며, 이것이 냉각과정 중 경화능을 증가시킨 결과 저온변태 조직의 증가로 인성이 저하하는 것으로 판단된다.

다음 앞서 그림 3의 시편채취 위치에 따른 광학현미경 조직 차이를 보면 두 강 모두 root가 face에 비하여 결정립 크기가 크고 입내에서 사이드플레이트 페라이트나 베이나이트 등 낮은 인성을 나타내는 저온 변태조직이 많다. 이런 차이는 EGW의 특성에 기인하는 것이다. EGW는 편면 1 패스의 입향상진 용접법으로 표면에서는 수냉되는 동당금 (cupper shoe)이 용접의 진행과 함께 같이 움직이나 이면에서는 세라믹 백킹재 (ceramic backing materials)가 고정되어 있다. 따라서 이면이 표면보다 냉각속도가 느려 결정립이 더욱 성장하고 그에 따라 경화능 증대로 더 많은 저온변태 조직이 형성되어 root에서 채취한 시편의 인성이 저하하는 것으로 판단된다.

한편 동일한 강종과 시편채취 위치에서도 세 개의 시편 사이에 100 J 이상의 큰 흡수에너지 차이를 나타내는 경우가 있다. 예를 들어 그림 2에서 보는 바와 같이 FL 시편의 경우 903강 face에서 채취한 세 시편은 170 J, 43 J, 22 J을, 852강 root에서 채취한 시편은 222 J, 198 J, 34 J을 나타낸다. FL+1 시편에서도 903강 center에서 채취한 세 시편은 203 J, 52 J, 19 J을, 852강 root에서 채취한 시편은 202 J, 184 J, 19 J을 나타내었다. 앞에서 언급한 것처럼 충격시험 시 천이영역에서 나타나는 이러한 흡수에너지 편차의 원인은 매우 다양하다. 특히 서론에서 설명한 것처럼 천이영역에서의 충격인성은 노치 앞에서 어떠한 조직이 얼마나 존재하는 가에 따라서도 달라진다 [11]. 하지만 노치 앞에서의 조직을 직접적으로 관찰한 실험결과는 보이지 않는다. 따라서 본 실험에서는 노치 앞에서의 조직을 직접 관찰하여 이러한 편차와의 관련성을 확인하였다.

앞서 그림 1에 나타낸 것처럼 파단된 반쪽의 충격시편을 니켈도금한 다음 폭의 1/4, 1/2, 3/4 위치에서 절단하여 각 위치에서의 노치 앞 조직을 관찰하였다. 먼저 FL 시편의 경우 903강 face에서 채취한 세 시편 중 170 J의 높은 흡수에너지를 나타내는 시편과 43 J의 낮은 흡수에너지를 나타내는 경우를 비교하였다. 그림 6에 결과를 나타내었다. 흡수에너지가 170 J로 높은 경우 (그림 a, b, c), 세 위치 모두에서 FL에 설치되어 있는 노치 끝에서부터 연성적인 균열이 전파하고 있음을 보여준다. 이때 세 위치 모두에서 FL 인근에서 조직은 입계페라이트가 형성된 베이나이트와의 혼합조직을 나타내고 있다. 한편 흡수에너지가 40 J로 낮은 경우에는 (그림 d, e, f) 노치 끝에서부터 소성변형 없는 취성균열 전파를 확인할 수 있다. 이때 특히 FL 인근에서의 조직은 흡수에너지가 높은 경우와 달리 입계페라이트가 없는 베이나이트만의 조직을 나타내고 있다. 그림 7에는 852강 root에서 채취한 세 시편 중 222 J의 높은 흡수에너지를 나타내는 것과 34 J의 낮은 흡수에너지를 나타내는 것을 비교하였다. 위의 경우와 동일하게 222 J로 높은 경우에는 (그림 a, b, c) 세 위치 모두에서 연성적인 균열전파와 FL 인근에서 페라이트가 포함된 혼합조직을 나타내나, 34 J로 낮은 경우에는 (그림 d, e, f) 세 위치 모두에서 취성균열 전파와 FL 인근에서 베이나이트만의 조직을 나타낸다. 이러한 경향은 FL+1 시편에서도 동일하였다. 903강 center에서 채취한 세 시편 중 203 J의 높은 흡수에너지와 52 J의 낮은 흡수에너지를 나타내는 시편을 비교한 결과, 높은 흡수에너지를 나타내는 시편은 세 위치 모두에서 페라이트가 포함된 혼합조직을 나타내나, 흡수에너지가 낮은 시편은 두께 3/4 위치에서 베이나이트만의 조직을 나타내었다. FL 시편과 달리 세 위치 모두에서 베이나이트만의 조직을 나타내지 않는 이유는 그림 3에서 보는 바와 같이 FL+1에서는 FL과 달리 베이나이트 형성량이 상대적으로 작기 때문이다.

충격시편에서 폭 길이에 해당하는 전체 노치길이는 10 mm로 노치 앞의 조직과 충격인성과의 상관성을 확인하기 위해서는 노치 길이 전체에 걸친 조직을 관찰하여야 한다. 따라서 세 위치에서만의 결과는 전체 노치 길이 중 일부에 지나지 않는다. 하지만 주목할 점은 낮은 인성을 나타내는 시편들은 공통적으로 적어도 한 곳 이상에서 낮은 인성의 베이나이트만의 조직을 나타낸다는 점이다. 이런 사실은 앞서 언급한 노치 앞에서 취약한 조직 분율이 커질수록 인성이 저하한다는 연구결과와 일치한다. 즉 본 실험에서처럼 HAZ가 페라이트와 베이나이트 등의 혼합조직을 나타내는 경우 국부적으로 설정되는 노치 앞에서 우연히 베이나이트가 많아지면 상대적으로 취성이 증가하여 흡수에너지가 낮아지는 것이다. 이런 점에서 face에서 채취한 시편보다 center나 root에서 채취한 시편에서 커다란 편차를 나타내는 경우가 더 많은 것은 face보다 center나 root에서 채취한 시편이 상대적으로 베이나이트가 더 많아 노치 앞에서의 조직에 베이나이트만을 나타낼 확률이 높기 때문인 것으로 판단된다.

한편 이런 조직적인 요인 이외에 취성파괴의 발생장소가 되는 비금속개재물의 존재도 인성 편차의 또 다른 요인이 된다. 그림 8에는 FL+1 시편에서 903강 root에서 채취한 시편 중 60 J의 낮은 흡수에너지를 나타내는 시편의 파면을 SEM으로 관찰한 결과를 나타내었다. 노치 앞 약 0.9 mm 위치에서 취성균열을 일으키는 산화물 개재물을 확인할 수 있다.

3.2. HAZ 연화

HAZ에서 연화현상을 확인하기 위하여 노치를 가공하지 않은 397과 852강의 face와 root에서 채취한 시편을 대상으로 하중 1 kg을 사용하여 1 mm 간격으로 FL에서부터 모재 쪽으로 비커스 연속경도를 측정하였다. 각 위치에서의 측정치를 모재경도 (397강 191 Hv, 852강 173 Hv)로 나누어 그 비를 그림 9에 나타내었다. 비가 1 이하인 영역은 모재보다 경도가 저하된 소위 연화영역이다. Face에서 채취한 시편의 경우 (그림 a) 두 강 모두 FL에서 1 이상을 나타내다가 점점 저하하여 약 10 mm에서 0.8의 최저치를 나타낸 다음 다시 증가하여 15 mm에서 1을 회복하여 연화영역은 약 15 mm이다. Root에서 채취한 시편은 (그림 b) 15 mm에서 약 0.8을 나타낸 후 약 20 mm에서 1을 나타내어 연화영역이 약 20 mm이다. 따라서 연화영역은 고온에서 장시간 가열되는 root가 face보다 큼을 알 수 있다.

이러한 연화영역의 존재는 용접이음부 강도저하를 나타내어 구조물의 안전성에 영향을 미칠 수 있다. 하지만 Sato 등은 [14,15] 연화영역이 존재하는 용접이음부가 하중을 받으면 연화영역이 먼저 변형되나, 강도가 높은 주변부가 변형을 구속하여 이음부 강도는 연화영역 고유의 강도보다 증가한다고 하였다. 따라서 두께나 폭이 큰 평판을 사용하는 실 구조물에서는 연화영역의 존재가 큰 문제가 되지 않는다고 하였다. 본 실험에서도 약 15 mm의 연화영역을 나타내는 397강을 대상으로 실제 판 두께가 어느 정도 이상이면 이음부 강도 저하가 억제되는지를 검토하였다. Sato의 해석에 따르면 강도가 낮은 연화부가 강도가 높은 주위에 끼어져 인장변형될 때 연화부의 응력 σ와 변형 ε 사이에는 다음과 같은 관계가 성립한다고 하였다.

(1)
σ = K [ l n 1 + ε ] n 1 + Y 1 + ε

여기서 k, n은 각각 연화부의 강도계수와 가공경화지수, Y는 판 두께 t에 대한 연화부의 폭 Ho의 비, 소위 상대두께 X에 의존하는 값이다. HAZ에서 연화영역의 경도는 그림 9에서 보는 것과 같이 연속적으로 변하여 일정한 값이 아니나 본 검토에서는 편의를 위하여 평균경도 152 Hv에 해당하는 인장강도 480 MPa의 균일한 영역이라고 가정하였다. 그리고 이러한 연화영역이 양쪽에서 인장강도 550 MPa의 모재에 끼어져 있다고 가정하였다. 연화영역에 해당하는 인장강도 480 MPa강의 강도계수와 가공경화계수는 각각 880 MPa, 0.2로 가정하였다 [12].

그림 10에 이러한 가정으로 계산한 σ−ε 곡선을 몇몇 상대두께 X에 대하여 나타내었다. 각 X에서 최대인장강도를 그림 11에 나타내었다. X가 약 1 이하에서 연화영역의 최대인장강도는 증가하기 시작하여 약 0.5에서 모재 강도인 550 MPa에 도달한다. 따라서 약 15 mm 연화영역의 경우 판의 두께가 약 30 mm 이상이면 모재에 필적하는 강도를 나타낼 것으로 예상되어 두께가 80 mm인 본 강에서 연화영역의 존재에 의한 용접이음부 강도저하의 염려는 없을 것으로 판단된다.

4. 결 론

TMCP로 제조된 두께 80 mm의 항복강도 390 MPa급 고강도강을 EGW 대입열용접하여 HAZ 충격인성 및 연화 현상에 대하여 조사한 결과, 다음과 같은 결론을 얻었다.

(1) Nb 첨가강의 경우 무첨가강에 비하여 인성이 저하하였다. 이는 FL 인근에서 Nb 탄질화물의 용해로 형성된 고용 Nb가 용접냉각과정 중 재석출하지 않고 고용상태로 존재하여 HAZ 경화능을 증가시킨 결과, 낮은 인성의 베이나이트조직이 증가하기 때문이다.

(2) 충격시편 노치 앞에서 조직을 직접 관찰한 결과, 충격인성은 국부적으로 설정되는 노치 앞에서의 조직에 의존하였다. 페라이트와 베이나이트 혼합조직을 나타내는 FL에서 베이나이트 조직만을 나타내는 곳이 세 곳 이상인 시편에서는 모두 낮은 인성을 나타내었다.

(3) HAZ에는 모재 보다 경도가 최대 20% 저하하는 연화영역이 face부에서 약 15 mm, root부에서는 약 20 mm 존재하였다. 하지만 연화영역을 인장강도 480 MPa의 균일한 영역으로 가정하여 해석한 결과, 두께가 80 mm인 본 시험재에서는 용접이음부 강도저하는 없을 것으로 판단된다.

REFERENCES

1 
Choi W.-H., Cho S.-K., Choi W.-K., Ko S.-G., Han J.-M., J. Kor. Weld. Join. Soc,30, 64 (2012)Google Search
2 
Jeong H.-D., Park Y.-H., Ahn Y.-H., Lee J.-B., J. Kor. Weld. Join. Soc,25, 57 (2007)Google Search
3 
Sasaki K., Suda K., Hashiba Y., Ohkita S., Imai S., Nippon Steel Tech. Rep,90, 67 (2004)Google Search
4 
Nakashima K., Hase K., Eto T., JFE Tech. Rep,20, 8 (2015)Google Search
5 
Hannerz N., 162-s, Weld. J. 54, (1975)Google Search
6 
Song H., Evans G., Babu S., Sci. Tech.Weld. Join,19, 376 (2014)Google Search
7 
Bhadeshia H., Sugden A., Proc. Int. Conf. on Recent Trends in Weld. Sci. Tech,745ASM Int (1989)Google Search
8 
Matsuda S., Sekiguchi S., Kageyama H., Tetsu-to-Hagane,64, 1209 (1978)Google Search
9 
JPVRC Rep, Sept, MPS-3, (1983)Google Search
10 
Graham S., J. Test. Eval,33, 550 (2005)Google Search
11 
Bailey N., Proc. 2nd Int. Conf. on Trends in Weld. Res,110ASM Int (1991)Google Search
12 
Bang K.-S., Jung S.-W., J. Kor. Weld. Join. Soc,18, 83 (2000)Google Search
13 
Akselsen O., Rorvik G., Onsoien M., Grong O., Weld. J,68, 356-S, (1989)Google Search
14 
Nitoh H., Sakai D., Yajima H., Inoue Y., Sogo Y., Satoh K., Toyoda M., J. Soc. Naval Arch. Jap,157, 304 (1988)Google Search
15 
Satoh K., Toyoda M., J. Jap. Weld. Soc,40, 885 (1971)Google Search
16 
Satoh K., Doi T., Toyoda M., J. Jap. Weld. Soc,37, 1214 (1968)Google Search

Figures and Table

Fig. 1.

Schematic diagram showing cutting locations and microstructural observation direction using broken impact test specimen.

../../Resources/kim/KJMM.2018.56/kjmm-2018-56-11-796f1.jpg
Fig. 2.

Impact test results. (a) Specimen with FL notch location. (b) Specimen with FL+1 notch location.

../../Resources/kim/KJMM.2018.56/kjmm-2018-56-11-796f2.jpg
Fig. 3.

Comparison of microstructures between 397 and 852 steels.

../../Resources/kim/KJMM.2018.56/kjmm-2018-56-11-796f3.jpg
Fig. 4.

Variation of dissolution fraction of Nb(CN) as a function of temperature.

../../Resources/kim/KJMM.2018.56/kjmm-2018-56-11-796f4.jpg
Fig. 5.

Variation of HAZ hardness as a function of distance from fusion line. (a) 852 steel. (b) 397 steel.

../../Resources/kim/KJMM.2018.56/kjmm-2018-56-11-796f5.jpg
Fig. 6.

Comparison of microstructure of 903 steel near notch root at three locations. (a), (b), (c) Specimen having high impact toughness. (d), (e), (f) Specimen having low impact toughness.

../../Resources/kim/KJMM.2018.56/kjmm-2018-56-11-796f6.jpg
Fig. 7.

Comparison of microstructure of 852 steel near notch root at three locations. (a), (b), (c) Specimen having high impact toughness. (d), (e), (f) Specimen having low impact toughness.

../../Resources/kim/KJMM.2018.56/kjmm-2018-56-11-796f7.jpg
Fig. 8.

SEM micrograph of 903 steel showing non-metallic inclusion near notch root.

../../Resources/kim/KJMM.2018.56/kjmm-2018-56-11-796f8.jpg
Fig. 9.

Comparison of variation of HAZ hardness as a function of distance from fusion line. (a) Face specimen. (b) Root specimen.

../../Resources/kim/KJMM.2018.56/kjmm-2018-56-11-796f9.jpg
Fig. 10.

Examples of stress – strain curve of softened zone with different X values.

../../Resources/kim/KJMM.2018.56/kjmm-2018-56-11-796f10.jpg
Fig. 11.

Variation of ultimate tensile strength of softened zone as a function of X value.

../../Resources/kim/KJMM.2018.56/kjmm-2018-56-11-796f11.jpg
Table 1.

Welding conditions and joint geometry for EGW.

Welding Consumable -Wire: DWS-50GTF/GTR(1.6Φ) ../../Resources/kim/KJMM.2018.56/kjmm-2018-56-11-796i1.jpg
-Ceramic backing
-Shielding gas: CO2 100%, 45l/min
Groove shape 16°, 12 mm gap
Welding condition 420A-42V/380-42V, HI 600~620 kJ/cm