이호성
(Ho Seong Lee)
{ label needed for aff-alternatives[@id='af1-kjmm-2018-56-12-893'] }
이현미
(Hyun Mi Lee)
{ label needed for aff-alternatives[@id='af1-kjmm-2018-56-12-893'] }
임형태
(Hyung-Tae Lim)
{ label needed for aff-alternatives[@id='af1-kjmm-2018-56-12-893'] }*
-
창원대학교 신소재공학부
(School of Materials Science and Engineering, Changwon National University, Changwon
51139, Republic of Korea)
Copyright © 2018 The Korean Institute of Metals and Materials
Key words
solid oxide fuel cells, degradation, alternative fuel, sulfur poisoning
1. 서 론
고체산화물연료전지 (solid oxide fuel cell) 는 프로톤 교환막 연료전지 (PEMFC), 직접 메탄올형 연료전지 (DMFC) 와 같은
저온형 연료전지에 비해 높은 에너지 효율, 연료의 다양성, 값싼 촉매 사용 가능과 같은 많은 장점을 가진다 [1,2]. 특히 Ni 음극에서 직접적인 메탄-수증기 개질이 가능하기 때문에 탄화수소 계열의 다양한 성분이 포함된 연료들을 사용할 수 있다 [3-5]. 천연가스 및 바이오 가스와 같은 탄화수소 계 연료들은 황화수소 (H2S) 불순물을 포함할 수 있으며, 수 ppm 수준의 황화수소에 의해 Ni 음극에서 심각한 황 피독 열화가 일어날 수 있다 [6,7]. 최근 몇 년간 Ni 음극의 황 피독 현상에 관한 연구가 광범위하게 진행 되었으며 [8-11], 또한 황에 대한 내성이 강할 뿐 아니라 황화수소의 연료화가 가능한 새로운 음극재 (전도성 산화물 및 금속 황화물) 개발이 활발히 이루어지고 있다
[12,13].
황 피독 현상은 황화수소의 농도, 연료이용률(전류밀도), 작동온도와 음극 구조 등 다양한 요소들에 의한 영향을 받을 수 있다 [8]. 정전류 조건에서 시간에 따른 전압 감소 현상은 크게 두 가지 영역으로 구분할 수 있는데, 급격한 초기 전압 강하현상 (1st voltage drop) 과 그 후에 이어지는 상대적으로 느린 두 번째 전압 강하 현상 (2nd voltage drop) 으로 나눌 수 있다 [14,15]. 초기 전압 강하 현상은 Ni 입자 표면에서 이루어지는 황 흡착 현상과 직접적인 관련 있으며, 이러한 흡착 현상은 실제로 전기화학 반응이 발생하는
수소 연료, 전극, 전해질이 만나는 삼상계면 (three phase boundaries) 감소로 이어져 Ni 음극의 분극 저항을 증가 시킨다 [8,16]. 초기 전압 강하가 완료되는 시간은 연료 내 황화수소 농도에 따라 다르며, 음극 지지형 연료전지의 경우 황화수소 1 ppm 조건에서는 20 시간
이상인 것으로 보고된바 있다 [17-20]. 반면 얇은 음극층으로 구성된 전해질 지지형 셀은 상대적으로 짧은 시간 내에 1차 전압 강하가 완료 된다 [20]. 즉, 1차 전압 강하에 소요되는 시간은 황화수소의 농도뿐 아니라 음극층의 구조와 두께에 크게 의존함을 알 수 있다. 황 흡착에 의해 감소한 성능은
불순물이 포함되지 않은 수소 연료를 공급하면 Ni 입자 표면에 흡착된 황이 탈착됨으로써 부분적으로 혹은 완전히 회복할 수 있는데, 그 회복율은 작동
조건에 따라 다를 수 있다 [14,21,22]. 2차 전압 강하율은 작동 조건에 따라 미미할 수도 있고, 매우 클 수도 있다. 장기적으로 천천히 이루어지는 2차 전압 강하 현상은 연료전지 작동
조건 및 환경과 매우 복잡하게 얽혀 있기 때문에 이에 대한 해석은 연구자들에 따라 다양하다. 특히, 2차 전압 강하는 전류밀도와 비례하는 것으로 알려져
있으나 [15,23], 저농도의 황화수소 (~ 0.5 ppm) 조건에서는 전류밀도가 증가할수록 피독율은 감소한다고 보고된바 있기 때문에 [24,25], 전류밀도 효과는 농도 조건에 따라 크게 달라질 수 있다.
본 논문에서는 연료전지 작동 조건과 음극 지지형 고체 산화물 연료전지의 황 피독 열화율 간의 상관관계에 대한 연구를 진행하였으며, 특히 전류밀도 및
연료 내 수증기 분압을 실험 변수로 하여 황 피독 열화를 관찰함으로써 황 피독 방지를 위한 작동 조건을 도출하고자 하였다. 또한 XRD (x-ray
diffraction) 와 EDS (Energy dispersive xray spectroscopy)를 이용하여 실험 전과 후 음극 기능층의 상 변화
및 미세구조를 분석함으로써 2차 전압 강하 현상 원인을 분석하고자 하였다.
2. 실험방법
황 피독 테스트를 위하여 음극 지지형의 고체 산화물 연료전지를 제조하였다. 총 6 층으로 구성된 음극 지지형 셀의 구조와 구성 물질을 그림 1에 나타내었다. 제조 공정에 대한 자세한 내용은 참고문헌 [26]을 통해 확인 할 수 있다. 음극 지지층과 기능층은 NiO과 YSZ (yttria stabilized zirconia) 의 혼합물로 이루어져 있고
테이프 캐스팅 공정을 통해 제작되었다. YSZ 전해질 슬러리 코팅 후 음극과 함께 1400 ℃ 에서 3 시간동안 동시 소결을 진행하였다. 구성 층
가운데 가장 두꺼운 음극 지지층은 셀의 기계적 강도를 잡아주는 역할을 하는 반면, 음극 기능층은 수소 연료의 산화 반응이 발생하는 실제 음극 역할을
한다. 전해질과 양극 사이에 GDC (Gd doped Ceria) buffer layer 층을 도입하여 전해질과 양극 사이의 반응을 방지하였다. GDC
층 위에는 LSCF (La-Sr-Co-Fe oxide)와 GDC의 복합층으로 구성된 양극 기능층과 LSCF 양극 집전층을 차례대로 코팅하여 1000
℃에서 열처리 하였다. 양극 기능층은 실제 산소의 환원 반응이 일어나는 구성 요소라 할 수 있으며, 양극 집전층은 높은 전자 전도성을 지니고 있어
음극에서 발생한 전자를 양극 기능층에 효율적으로 전달하는 역할을 한다.
황 피독 열화 테스트를 위해 다음과 같은 구성 요소로 이루어진 test fixture를 자체 제작하였다: 1) cathode and anode end
plates (alumina 소재, 각각 9개의 가스 채널로 구성); 2) cathode current collector (Ag mesh) 및 anode
current collector (Pt mesh); 3) ceramic sealant (Aremco, Cerama Bond 571). 수소 연료 및
공기의 유량은 MFC (mass flow controller) 를 이용하여 각각 300 및 800 cc/min 로 고정하였으며, 700 ℃ 온도에서
전기화학 테스트 및 황 피독 열화 실험을 진행하였다. 초기 NiO 환원 과정에서는 10% 수소 (질소 balance) 혼합 가스를 공급하였으며 그
후 고순도 (99.999%) 수소를 공급하여 전압이 1.1 V 이상 안정되었을 때 초기 성능 (impedance 및 power density) 및
장기 정전류 테스트를 진행하였다. 본 연구에서의 모든 전기화학테스트는 Bio-Logic, SP-240 (galvanostat/potentiostat
with impedance analyzer) 장비를 이용하여 실시하였다. 가스 공급 및 전기화학 테스트에 대한 구성도를 그림 2 에 나타내었다.
황 피독 열화에 대한 전류 밀도의 영향을 알아보기 위해 100 ppm 황화수소가 포함된 수소 연료를 공급하여 다양한 전류밀도 (357 ~ 714 mA/cm2) 에서 전압 강하율,
V
황
피
독
후
-
V
초
기
V
초
기
×
100
[
%
]
을 비교하였다. 황 피독 테스트 후에는 고순도 (99.999%) 수소를 이용하여 성능 회복을 시도하였다. 또한 불활성 (Ar) 가스 분위기에서 냉각을
실시함으로써 황 피독 테스트 동안 발생한 음극 변화를 보존하고자 하였으며, XRD (x-ray diffraction) 와 EDS (Energy dispersive
x-ray spectroscopy) 분석을 통해 음극 기능층의 상 변화 및 미세구조를 관찰하였다. 연료 내 수증기 분압의 영향을 알아보기 위해 10
ppm 황화수소가 포함된 dry 수소 연료 및 10 ppm 황화수소가 포함된 10% wet 수소 연료를 각각 사용하여 황 피독에 의한 전압 강하율을
500 mA/cm2 조건에서 비교하였다. 수증기 공급은 별도로 제작한 가습기 (injection type) 를 통해 이루어졌으며 가스 inlet 부분의 수증기 응축을
막기 위해 heater를 별도로 설치하였다.
3. 결과 및 고찰
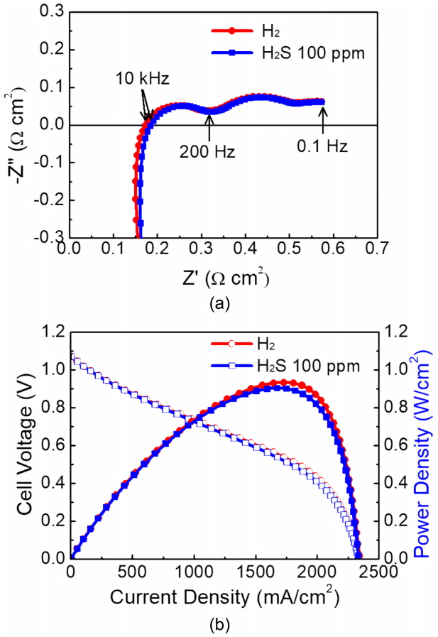
정전류 테스트에 앞 서 impedance 측정을 실시하였으며, 분석 결과 100 ppm 황화수소가 포함된 수소 연료 공급 전과 후 저항의 차이는 거의
없는 것으로 나타났다 (그림 3(a)). Impedance 후 측정 한 power density 결과를 그림 3(b) 에 나타내었는데, 고순도 (99.999%) 수소 및 100 ppm 황화수소가 포함된 수소 연료 공급 시 각각 peak power density 가
~ 0.933 및 ~ 0.901 W/cm2 로 기록되어, 초기 특성만을 고려한다면 황화수소에 의한 성능 감소는 미미하다는 것을 알 수 있다. 초기 성능 평가 완료 후 그림 4(a) 과 같이 100 ppm 황화수소가 포함된 수소 연료 조건에서 정전류 테스트 ((1) 714 mA/cm2, (2) 389 mA/cm2, (3) 357 mA/cm2) 를 단계적으로 실시하였다. 그림 4(b) 는 그림 4(a) 의 초기 구간을 확대한 것으로서 1차 전압 강하가 마무리되기 위해서는 일정 시간 (최소 30분 이상) 이 소요되는 것을 볼 수 있다. 참고 문헌에
의하면 황화수소의 농도가 낮을수록 더 오랜 시간이 소요되는 것으로 알려져 있다 [8,17,23]. 고순도 (99.999%) 수소 연료에서 황화수소가 포함된 수소 연료로 전환한 뒤 10 분의 purging 시간을 가진 후 impedance 와
power density 의 측정을 실시하였다 (그림 3). 하지만 앞서 언급하였듯이 1차 전압 강하 소요 시간은 30분 이상이므로 그림 3 측정 시점에서는 Ni 입자 표면에 황 흡착은 거의 일어나지 않았던 것으로 추측된다. 따라서 황화수소 흡착에 의한 성능 감소를 정확히 확인하기 위해서는
충분한 흡착 시간을 소요한 뒤 impedance 와 power density 와 같은 성능 테스트를 실시하는 것이 바람직하다고 할 수 있다.
전류 밀도의 영향을 알아보기 위해 그림 4(a) 와 같이 100 ppm 황화수소가 포함된 수소 연료 조건에서 전류 값을 단계적으로 낮춰가며 테스트를 진행하였다. 상대적으로 고전류밀도인 ~ 714mA/cm2 의 경우 30 분 동안 0.806에서 0.679 V로 매우 큰 1차 전압 강하가 일어났으며 뒤이어 0.638 V로 감소하며 2차 전압 강하가 일어났다.
2차 전압 강하는 약 2 시간의 고전류밀도 테스트 구간 (1)에서는 안정되지 않는 양상을 나타내었다. 상대적으로 낮은 전류 밀도 (~ 389 mA/cm2)의 경우 전압 강하 현상은 다소 완화 되었으나, 9 시간 동안 0.813 V 에서 0.780 V로 감소하며 느리지만 여전히 전압 강하 현상은 진행되고
있음이 확인되었다. 그 후 고순도 (99.999%) 수소 연료 조건으로 전환하여 ~ 357mA/cm2 조건에서 회복 단계를 실시하였다. 고순도 (99.999%) 수소를 이용한 회복 단계는 Ni 입자 표면에 흡착된 황을 탈착시키는 과정이라 할 수 있다.
회복 구간에서는 전압 떨림 현상은 있으나 황화 수소조건에서 관찰되었던 전압 강하 현상은 나타나지 않았다. 정전류 테스트 초기 ~ 714 mA/cm2 조건에서 0.8 V 전압을 나타냈지만, 실험 종료 직전 (회복 단계를 거친 후) 에는 357 mA/cm2 조건에서 0.8 V 전압을 나타냈으므로 결과적으로 성능 회복은 미미한 것으로 판단된다. 정전류 테스트 종료 후에는 성능 감소의 원인 분석을 위해서
impedance 분석을 실시하였으며, 그 결과를 그림 5(a) 와 그림 5(b)에 각각 Nyquist plot 과 Bode plot 으로 나타내었다. 테스트 후 고주파 영역 (200 ~ 1000 Hz) 의 non-ohmic 성분의
저항이 두드러지게 증가한 것을 볼 수 있는데, 해당 주파수 영역은 anode charge transfer resistance (전하이동저항) 와 밀접한
관련이 있는 것으로 알려져 있다 [27]. 음극에서의 non-ohmic resistance (비옴성 저항) 증가 원인은 크게 두 가지로 나누어서 생각할 수 있다. 서론에서 언급하였듯이
황 피독에 의한 전압 강하는 짧은 시간에 이루어지는 1차 단계 (황 흡착과 관련) 와 상대적으로 느린 2차 단계로 나누어지는데, 고전류밀도 (714
mA/cm2) 조건에서는 1차, 2차 전압 강하 모두 일어난 것으로 나타났다 (그림 4(a)). 흡착 현상 (1차 전압 강하 단계) 을 넘어서 영구적인 변화 (2차 전압 강하 단계) 가 발생하였기 때문에 고순도 (99.999%) 수소를 이용한
성능 회복은 거의 일어나지 않은 것으로 판단된다.
2차 전압 강하의 원인 분석을 위해 새로운 셀을 이용하여 동일한 조건 (~ 714 mA/cm2)에서 다시 한 번 황 피독 테스트를 실시하였다. 황 피독 테스트 동안 발생한 음극 변화를 보존하기 위해 회복 과정을 거치지 않고 정전류 테스트 후
곧 바로 Ar 가스를 이용하여 냉각시켰다. 음극 기능층 XRD 분석을 실시하여 2차 전압 강하 원인을 규명하고자 하였으며, 그 결과를 NiO 환원
전과 후에 측정한 음극 기능층의 XRD pattern 과 비교하였다 (그림 6). 음극 기능층 환원 후에는 NiO 에 해당되는 peak 는 사라졌으나, 황화수소 테스트 후에는 다시 NiO peak 가 검출된 것을 볼 수 있다.
즉, 그림 4 테스트를 진행하는 동안 Ni 입자가 다시 산화되었음을 알 수 있다. 이러한 Ni 입자 산화현상을 좀 더 자세히 알아보고자 그림 7 과 같이 Ni, Zr, O 원소 별로 EDS mapping을 실시하였다. Zr 영역 (blue) 에만 존재해야 하는 O 의 영역 (red) 이 Ni
영역 (green)의 가장 자리에서 일부 관찰되었으며, 이는 Ni 입자 표면에서 부분적으로 산화가 진행되었음을 의미한다. NiO 형성 메커니즘은 다음과
같이 설명 될 수 있다. 고농도 (~ 100 ppm) 황화수소에 의한 높은 황 흡착률로 인해 양극-전해질로부터 공급되는 산소이온과 수소연료가 반응할
수 있는 면적 (삼상계면) 이 감소하게 되고 [28], 결국 수소 대신 Ni 이 산소이온과 반응하여 Ni 산화물을 형성한 것으로 이해할 수 있다. 전류밀도가 높을수록 Ni 산화물 형성이 더욱 촉진
될 것이며 이는 곧 2차 전압 강하율 증가로 이어진다고 할 수 있다. 고농도 (~ 100 ppm) 의 황화수소가 포함된 수소 연료 및 고전류밀도 (~
714 mA/cm2)와 같은 운전 조건은 흡착 현상을 넘어서 영구적인 열화 (Ni 산화)를 일으킬 수 있기 때문에 연료전지 장기 안정성 면에서 적합하지 않다고 할 수
있다. 고농도 황화수소 및 고농도 작동 조건에서도 장기 내구성을 확보하기 위해서는 황 흡착 방지를 위한 별도의 촉매를 사용하거나 황화수소의 농도를
100 ppm 이하로 감소시킬 수 있는 강화된 전처리 공정 기술을 확보해야 할 것이다.
연료 가습에 의한 황 흡착 방지 (탈착) 효과를 확인하고자 10 ppm 황화수소가 포함된 수소 연료 (dry) 와 10 ppm 황화수소가 포함된 10%
가습된 수소 연료 (wet) 조건에서 각각 정전류 (500 mA/cm2) 테스트를 실시하였다. 2차 전압 강하를 방지하고자 상대적으로 낮은 황화수소 농도와 전류밀도 조건에서 실험을 진행하였으며, 그림 8 에 dry와 wet 조건에서의 황 피독에 의한 전압 변화를 비교하였다. 초기 전압 강하 구간에서는 dry 조건의 경우 0.903 V에서 0.807
V로 변화한 반면 (0.096 V 감소), wet 조건의 경우 0.835 V에서 0.812 V로 변화하였다 (0.023 V 감소). 이러한 완화 효과는
수증기를 추가적으로 공급함으로써 Ni 입자 표면에 흡착되어 있는 황을 이산화 황 형태로 산화하여 황 탈착을 유도한 결과로 볼 수 있다. 수증기에 의한
흡착 방지 (탈착) 메커니즘은 다음과 같은 반응식으로 설명될 수 있다: (SNi+ 2H2O→ SO2+ 2H2). dry 와 wet 조건에서 초기 전압 값의 차이를 보였는데, 이는 수증기 공급으로 발생한 Nernst loss 에 의한 것으로 판단된다 [1]. 본 실험에서는 완화된 실험 조건으로 인해 2차 전압 강하 현상은 미미하였지만, 고농도 (~ 100 ppm) 의 황화수소가 포함된 수소 연료 및
고전류밀도 (~ 714 mA/cm2) 에서는 2차 전압 강하 현상이 지배적으로 작용할 것이므로 [15,23,24,29], 수증기 공급에 의한 열화 방지 효과는 약화될 것으로 예상된다. 따라서 수증기 공급 황 탈착 효과는 2차 전압 강하 현상이 나타나지 않는 저농도
황화수소 및 저전류밀도 운전 조건에서만 유효할 것임을 알 수 있다.
4. 결 론
황 피독 열화율과 연료전지 작동 조건 간의 상관관계를 알아보기 위해 전류밀도와 연료 가습도를 변수로 하여 테스트를 실시하였다. 100 ppm 황화수소가
포함된 수소 연료를 주입한 직후의 성능 감소는 매우 미미하였으나, 장기 정전류 (~ 714 mA/cm2) 테스트를 진행함에 따라 큰 폭의 전압강하 (- 0.127 V) 가 일어났으며 뒤 이어 2차 전압 강하 (- 0.041 V) 가 상대적으로 느린
속도로 이루어졌다. 반면 전류 밀도를 ~ 389mA/cm2 수준으로 감소하였을 때는 전압 강하율은 크게 완화되었다. 이러한 결과를 통해 황 피독 열화율은 저농도 조건과는 달리 고농도 (~ 100 ppm)의
황화수소 조건에서는 전류밀도에 비례함을 확인 할 수 있었고, 열화율과 전류밀도간의 비례/반비례 관계는 황화수소 농도에 따라 달라 질 수 있음을 알
수 있었다. 또한 고순도 (99.999%) 수소 연료를 이용한 성능 회복은 미미하였기에 영구적인 성능 열화가 음극에서 진행되었음을 알 수 있었다.
테스트 후 XRD 분석을 통해 Ni 음극의 산화 (NiO)를 확인하였으며 이는 황 흡착에 의해 삼상계면이 감소함으로써 형성된 Ni 입자와 산소이온
간의 반응물로 여겨진다. 이와 같이 고농도 (~ 100 ppm) 의 황화수소가 포함된 수소 연료 및 고전류밀도 (~ 714 mA/cm2) 조건은 흡착 현상을 넘어서 영구적인 열화 (Ni 산화)를 발생시킬 수 있기 때문에 연료전지 장기 안정성 면에서 적합하지 않다고 할 수 있다. 연료
가습 효과를 알아보기 위해 10 ppm 황화수소가 포함된 10% wet 수소 연료를 이용하여 정전류 (500 mA/cm2) 테스트를 실시하였다. 수증기를 추가적으로 공급함으로써 이산화 황 형태로의 탈착 현상이 촉진됨으로써 1차 전압 강하율이 감소하였다. 이러한 수증기
공급 효과는 2차 전압 강하현상이 억제될 수 있는 저농도 (< 100 ppm) 의 황화수소가 포함된 수소 연료와 저전류밀도 (< 714 mA/cm2) 조건에서 유효할 것으로 생각된다. 본 연구를 통해서 전류밀도 및 가습도와 같은 구체적인 운전조건이 천연 가스 및 바이오 가스를 연료로 사용하는
연료전지의 장기 수명을 결정짓는 중요한 인자임을 확인 할 수 있었다.
Acknowledgements
논문은 2017~2018년도 창원대학교 자율연구과제 연구비 지원으로 수행된 연구결과임.
REFERENCES
Singhal S. C., Kendall K, High Temperature Solid Oxide Fuel Cells: Fundamentals, Design
and Applications,Elsevier (2003)

Bae S. Y., Park M. Y., Lee J. G., Lim H.-T., Korean J. Met. Mater,55, 335 (2017)

Lin Y., Zhan Z., Liu J., Barnett S. A., Solid State Ionics,176, 1827 (2005)

Grgicak C. M., Pakulska M. M., O'Brien J. S., Giorgi J. B., J. Power Sources,183,
26 (2008)

Jang J. W., Lee Y.-J., Kim J.-H., Jeon D.-W., Lee J.-H., Lee H.-J., Hwang H.-J., Lee
M.-J., Met. Mater. Int,23, 1227 (2017)

Hagen A., Rasmussen J. F., Thydn K., J. Power Sources,196, 7271 (2011)

Haga K., Adachi S., Shiratori Y., Itoh K., Sasaki K., Solid State Ionics,179, 1427
(2008)

Cheng Z., Wang J., Choi Y., Yang M., Lin M., Liu M., Energ. Environ. Sci,4, 4380 (2011)

Riegraf M., Zekri A., Knipper M., Costa R., Schiller G., Friedrich K. A., J. Power
Sources,380, 26 (2018)

Riegraf M., Costa R., Schiller G., Friedrich K. A., ECS Transactions,78, 1285 (2017)

Madi H., Diethelm S., Ludwig C., Herle J. Van, Int. J. Hydrogen Energy,41, 12231 (2016)

Niu B., Jin F., Yang X., Feng T., He T., Int. J. Hydrogen Energy,43, 3280 (2018)

Zhang Y., Shao J., Tao Y., Wang S., J. Alloy. Compd,737, 477 (2018)

Rasmussen J. F., Hagen A., J. Power Sources,191, 534 (2009)

Yoshizumi T., Taniguchi S., Shiratori Y., Sasaki K., J. Electrochem. Soc,159, F693
(2012)

Lussier A., Sofie S., Dvorak J., Idzerda Y., Int. J. Hydrogen Energy,33, 3945 (2008)

Cheng Z., Ph.D. Thesis, Investigations into the interactions between sulfur and anodes
for solid oxide fuel cells,Georgia Tech, Atlanta (2008)

Waldbillig D., Ivey D. G., Wood A., Fuel Cell and Hydrogen Technologies –Proceedings
of the International Symposium on Fuel Celland Hydrogen Technologies,237Canadian Institute
of Mining, Metallurgyand Petroleum, Montreal (2005)

Ishikura A., Sakuno S., Komiyama N., Sasatsu H., Masuyama N., Itoh H., Yasumoto K.,
ECS Transactions,7, 845 (2007)

Yang L., Cheng Z., Liu M., Wilson L., Energ. Environ. Sci,3, 1804 (2010)

Cheng Z., Liu M., Solid State Ionics,178, 925 (2007)

Papurello D., Lanzini A., Fiorilli S., Smeacetto F., Singh R., Santarelli M., Chem.
Eng. J,283, 1224 (2016)

Hauch A., Hagen A., Hjelm J., Ramos T., J. Electrochem. Soc,161, F734 (2014)

Khan M. S., Lee S., Song R., Lee J., Lim T., Park S., Ceram. Int,42, 35 (2016)

Brightman E., Ivey D. G., Brett D. J. L., Brandon N. P., J. Power Sources,196, 7182
(2011)

Lim H.-T., Yang C., Hwang S. C., Choi Y. J., Fuel Cells,15, 555 (2015)

Lim H. T., Hwang S. C., Park Y. M., Lee I. S., Solid State Ionics,225, 124 (2012)

Hansen J. B., B178, Electrochem. Solid St. 11, (2008)

Mukerjee S., Haltiner K., Kerr R., Chick L., Sprenkle V., Meinhardt K., Lu C., Kim
J. Y., Weil K. S., ECS Transactions,7, 59 (2007)

Figures
Fig. 1.
Schematic diagram of anode supported cells tested in the present study
Fig. 2.
Schematic of the test setup
Fig. 3.
Impedance spectra (a) and I-V curves (b) measured using pure hydrogen fuel and hydrogen
fuel containing 100 ppm H2S.
Fig. 4.
(a) A plot of the cell voltage as a function of time, for fuels containing 100 ppm
H2S, at 714, 389 and 357 mA/cm2 ; (b) A plot of the cell voltage change during the initial drop, at 714 mA/cm2.
Fig. 5.
Nyquist plots (a) and Bode plots (b) of impedance spectra measured before and after
the H2S 100 ppm test in Fig. 4.
Fig. 6.
XRD patterns of the anode functional layers before and after reducing NiO to Ni, and
after the H2S 100 ppm tests.
Fig. 7.
EDS mapping of Ni, Zr and O on the anode functional layers after the H2S 100 ppm tests.
Fig. 8.
A plot of the cell voltage as a function of time, for dry and 10% wet hydrogen fuel
containing 10 ppm H2S, at 500 mA/cm2.