(Minh Nhan Le)
1
(Seong Ho Son)
2
(Man Seung Lee)
1*
Copyright © The Korean Institute of Metals and Materials
Key words(Korean)
solvent extraction, hydrogen ion, ionic liquids, aliquat 336, cyanex 272.
1. INTRODUCTION
Inorganic acids such as hydrochloric, nitric, and sulfuric acid have been widely used
in hydrometallurgical processes for the dissolution of desired valuable metals from
ores or secondary resources. The nature of these inorganic acids affects the subsequent
processes used to separate the metal ions from the leaching solution. And because
the effluents from these separation steps contain these inorganic acids, their disposal
is of environmental concern [1,2]. A number of methods are available to treat effluents containing inorganic acids,
including neutralization, diffusion dialysis, membrane process, precipitation, solvent
extraction, and ion exchange processes [3-5].
Among these methods, solvent extraction is considered to be one of the most effective
for extracting inorganic acids from effluents. During solvent extraction, the reaction
between the extractants and the protons (hydrogen ions) of the acid might be responsible
for the extraction of these acids. Tertiary amines such as Alamine 308 (tri-isooctyl
amine), Alamine 336 (tri-C8-10 alkyl amines), TDA (tri-ndodecyl amine), TEHA (tris
2-ethylhexyl amine), TIOA (triisooctyl amine), and TOA (trioctylamine) are generally
used for the selective extraction of hydrogen ions. Most of the extraction reactions
follow the protonation mechanism [6-8]. In another approach, neutral extractants such as TBP (tributyl phosphate), MDP
(methyl diphenyl phosphate), and Cyanex 923 (a mixture of four trialkylphosphine oxides)
can also extract hydrogen ions efficiently via the solvating mechanism [9,10]. While ammonium salts like Aliquat 336 or cationic extractants like Cyanex 272 cannot
by themselves extract inorganic acids, binary mixtures consisting of Aliquat 336 and
Cyanex 272 or their mixtures with other extractants has a significant effect on the
extraction of hydrogen ions in inorganic acids [11,12]. It has also been reported that some mixtures fail to enhance the extraction of
hydrogen ions [6,13]. Therefore, the hydrogen ion extraction behavior of binary mixed systems deserves
investigation.
Ionic liquids, known as green chemicals, have been extensively employed in many fields
and in many processes, including catalysis, electrochemistry, organic synthesis, and
the separation and recovery of metals [14-16]. One of the common ionic liquids can be prepared in the laboratory by mixing Aliquat
336 and organophosphorus acids like Cyanex 272. Many studies have demonstrated the
excellent efficiency of ionic liquids derived from Aliquat 336 and Cyanex 272 in solvent
extraction systems [17-19]. However, very little research has investigated the use of ionic liquids to extract
hydrogen ions. It has been observed that during the extraction of metal ions by ionic
liquids, the equilibrium pH of the aqueous phase can be higher than the initial pH
in the range from 3 to 6 [17,18,20]. Since metal ions can be precipitated when the solution pH is higher than a certain
threshold, control of solution pH is very important in the continuous operation of
solvent extraction.
In synergistic solvent extraction, the distribution ratios of the mixtures are higher
than the sum of the distribution ratios of the individual components in the mixtures
[21]. To the best of our knowledge, the mechanism of hydrogen ion extraction by ionic
liquids has not yet been identified. Therefore, in this study, ionic liquids consisting
of a mixture of Aliquat 336 and Cyanex 272 were employed to investigate the extraction
of hydrogen ions. The mechanism of hydrogen ion extraction by ionic liquids was identified
using the slope analysis method, and varying some parameters including solution pH,
the concentration of the ionic liquid and chloride ions. The motivation of this work
was to identify the change in solution pH during extraction by ionic liquid. Our results
can explain the change in solution pH during the extraction of metal ions from a weak
acidic solution by an ionic liquid prepared from Aliquat 336 and Cyanex 272. This
result also shows that the ionic liquid R4NA has the potential to extract acids from aqueous solutions, and thus this work can
be applied to recover inorganic acids by extraction with R4NA.
2. EXPERIMENTAL
The acidity of the solution was adjusted by adding doubly distilled water to concentrated
HCl (Daejung Co., 35%). NaCl (Tedia Company, Inc., 99%) was employed to fix the ionic
strength of the solution at a constant value. The extractants Alamine 336 (BASF Co.,
95%), Aliquat 336 (NMethyl-N, N, N-trioctylammonium chloride, BASF Co., 93%), Cyanex
272 (bis(2,4,4-trimethylpentyl)phosphinic acid, Cytec Inc., 85%) were used without
employing any purification. The structures and properties of these extractants are
shown in Table 1. An ionic liquid (R4NA) was prepared by mixing an equimolar concentration of Aliquat 336 (R4NCl) and Cyanex
272 (HA) according to the method reported in the literature [11]. Kerosene (Samchun Pure Chemical Co.) was used as a diluent and all the other chemicals
used were of analytical grade.
The extraction experiments were conducted by mixing equal volumes of aqueous and organic
phases in a screwed cap bottle for 30 min using a Burrell wrist action shaker (model
75, USA) at ambient temperature. The aqueous phase was separated using a separation
funnel after mixing the two phases for 30 min. The initial and equilibrium pH values
of the aqueous solution were measured three times using an Orion Star thermal scientific
pH meter (model A221, USA). Additionally, the concentration of hydrogen ions in the
aqueous phase was also measured before and after extraction by volumetric titration
method [22]. When the solution pH was higher than 4, it was difficult to determine the concentration
of hydrogen ions by titration method, owing to the negligible concentration of hydrogen
ions. Since the ionic strength of the solution was controlled to 0.1 M, the change
in the concentration of hydrogen ions during the extraction was determined from the
solution pH values when the solution pH was higher than 4. The concentration of hydrogen
ions in the organic phase was calculated by mass balance. The distribution ratio (D) was calculated as the concentration of hydrogen ions in the organic phase to that
in the aqueous phase at equilibrium. An ultraviolet visible (UV-1800, Shimadzu, Japan)
and Fourier transform infrared (FTIR-Vertex 80 V, Bruker, Germany) spectrometers were
employed to analyze the spectra of reagents before and after extraction.
3. RESULTS AND DISCUSSION
3.1. Effect of pH on the extraction of hydrogen ions
Five kinds of extractants (single Alamine 336 and Aliquat 336, the mixture of Alamine
336 and Aliquat 336 with Cyanex 272 and ionic liquid R4NA) were employed to investigate their hydrogen ion extraction behavior from chloride
solutions with an initial pH range of 0.05 to 5. In these experiments, the concentration
of each extractant was kept at 0.5 M and the phase ratio of O/A was fixed at unity.
Among the 5 kinds of extractants, single Aliquat 336 and its mixture with Cyanex 272
did not extract any hydrogen ions in the experimental range (see Figure 1). The extraction percentage of hydrogen ions by Aliquat 336 and the mixture of Aliquat
336 and Cyanex 272 was nil due to their natural structural properties, that is, Aliquat
336 is an ammonium salt and Cyanex 272 is an acidic extractant.
The extraction percentage of hydrogen ions by Alamine 336 and R4NA were similar to each other. Both increased as the initial pH was increased from
0.05 to 0.5, and then remained almost constant with further increase up to 5. A small
decrease in the extraction percentage of hydrogen ions by Alamine 336 was observed
when the initial pH was higher than 4, which might be ascribed to the protonation
reaction of Alamine 336 [12,23]. The extraction reaction of hydrogen ions by Alamine 336 (R3N) and R4NA from chloride solution can be represented as Eqs. (1) and (2-3), respectively [11,24].
In the mixture of Alamine 336 and Cyanex 272, hydrogen ion extraction efficiency increased
as the initial pH increased up to 2, and then decreased with a further increase in
initial pH of the solution. At an initial pH of 5, hydrogen ions cannot be extracted
by the binary mixture because some competitive reactions occur during the extraction.
Before the extraction of hydrogen ions, an amine salt (R3NHA) may form through the ion-pair formation reaction when Alamine 336 is mixed with
Cyanex 272, as represented by Eq. (4). Then, hydrogen ions can be extracted by the displacement reaction of the amine salt,
as represented in Eq. (5). The other displacement reaction can occur between the anionic species in the organic
mixture and chloride ions (Eq. (6)) [12,23]. Eq. (7) indicates that the interaction reaction between Cyanex 272 and the protonated amine
results in the release of free acid from the organic phase and thus reduces the extraction
of hydrogen ions. Therefore, the extraction percentage of hydrogen ions by the mixture
of Alamine 336 and Cyanex 272 was negligible when the initial pH was 5.
The results indicate that ion-pair formation, the protonation of amine, anion exchange,
and displacement reactions can occur when an amine interacts with an organophosphorus
acid [23]. Moreover, the extraction behavior of hydrogen ions by the above-mentioned extractants
depends on the solution pH. Table 2 shows the equilibrium pH values of the solution with these extractants. The equilibrium
pH increased as the initial pH increased. This implies that hydrogen ions were well
extracted into the organic phase by employing Alamine 336, the mixture of Alamine
336 and Cyanex 272, and R4NA. Comparing these three types of extractants, the extraction efficiency and the
variation in the equilibrium pH by R4NA was higher than that of Alamine 336 and its mixture with Cyanex 272. Therefore,
the R4NA extractant was chosen for further experiments.
The formation of an emulsion and difficulty in phase separation were observed when
the solution pH was higher than 0.5 while employing 0.5 M of each extractant. To circumvent
these phenomena, sodium chloride was added to the solution. In addition, the solubility
of some extractants in water implies that there is an interaction between the extractants
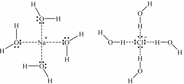
and water molecules that may interfere the extraction of hydrogen ions (see Table 1). Figure 2 shows that the solvation of cations (Na+) and anions (Cl−) by water molecules leads to aqueous stability. That is, the cations and anions can
interact with water molecules by electrostatic interactions or the formation of hydrogen
bonding, which improves phase separation [25].
3.2. Mechanism of hydrogen ion extraction
Since few studies have been conducted to analyze the hydrogen ion extraction behavior
of the ionic liquid R4NA, the extraction reaction of hydrogen ions by R4NA was investigated here by employing the slope analysis method. In order to examine
the effect of solution pH on the extraction of hydrogen ions, 0.1 M NaCl was added
to the solution and the initial pH was varied from 0.05 to 2. The concentration of
R4NA was fixed at 1 M. In all the experiments, solvent extraction was carried out at
an O/A phase ratio of unity. The plot of log D versus equilibrium pH for hydrogen
ion extraction is shown in Figure 3. The slope value of the straight line was 0.83, indicating that one mole of hydrogen
ions takes part in the extraction. The results agree well with Eqs (2) and (3).
In order to investigate the effect of extractant concentration on the extraction of
hydrogen ions from chloride solution, the concentration of R4NA was varied from 0.1 to 0.5 M. In these experiments, the initial pH of the solution
was fixed at 2 and sodium chloride concentration was controlled at 0.1 M. Figure 4 shows the plot of log D versus log[R4NA] for the extraction data. The value of the slope was 1.96, indicating that two
moles of R4NA were associated with one mole of hydrogen ions in the reaction.
Generally, the molar ratio of hydrogen to chloride ions might be equal for reactions
occurring in the aqueous solution. Since one mole of hydrogen ions is extracted by
two moles of R4NA, it can be predicted that one mole of chloride ions will be associated with one
mole of hydrogen ions during the extraction. In order to verify this, the effect of
chloride ion concentration on the extraction of hydrogen ions with R4NA was investigated, by controlling the concentration of sodium chloride from 0.01
to 0.5 M.
In these experiments, the concentration of R4NA was kept at 0.1 M and the initial pH of the aqueous solution was adjusted to 2.
The plot of log D versus log[Cl−] in Figure 5 gives a straight line with a slope value lower than one, implying that the chloride
ions take part in the reaction. Since one mole of hydrogen ions was extracted into
the organic phase, it should be accompanied by one mole of chloride ions. Among the
added chloride salts, some of the sodium chloride can interact with water molecules
(see Fig 2), while the rest participates during the extraction by R4NA.
Considering the dependence of log D on the equilibrium pH, the concentration of sodium
chloride and R4NA, the overall extraction reaction of hydrogen ions in chloride solution with ionic
liquid (R4NA) can be described by Eq. (8). Eq. (8) shows that the extraction of hydrogen and chloride ions with R4NA is similar to that of neutral extractants. Therefore, some further experiments
should be performed to verify the species extracted by R4NA ionic liquid.
3.3. Analysis of the species extracted by ionic liquids (R4NA)
To investigate the species extracted by R4NA after the extraction of hydrogen ions in chloride solution, UV-Vis absorption and
FT-IR spectra of the extractant were recorded. The samples were prepared by fixing
the concentration of sodium chloride at 0.1 M and adjusting the initial pH of chloride
solution at 2. The aqueous phase was contacted with the organic phase at an O/A phase
ratio of unity. The concentration of R4NA was 1 M and a mixture of 0.5 M Aliquat 336 and 0.5 M Cyanex 272 in kerosene was
also prepared for comparison with R4NA before extraction. The obtained results are shown in Figure 6. R4NA before extraction showed lower intensity than the mixture of Aliquat 336 and Cyanex
272, indicating that the ionic liquid was successfully prepared. Based on the results,
ionic liquid R4NA after extraction had the strongest intensity, and the intensity was nearly two
times as strong as the intensity of R4NA before extraction. It can be said that hydrogen and chloride ions were transferred
from the aqueous to the organic phase.
Figure 7 presents the FT-IR spectra of the extractants before and after the extraction of
hydrogen ions. Most of the significant changes occurred in the range of 650-1700 cm-1. The spectra in Fig 7 showed the frequencies at 723, 955, 1172, 1236, 1365-1378, and 1465 cm-1, corresponding to the stretching of P-C, P-O-H, P=O, C-N, C-H, and (CH3)N+ groups, respectively, which is considered to be an important vibrational characteristic
of Cyanex 272 and Aliquat 336.
There were some changes in the vibration frequency between R4NA and a mixture of Aliquat 336 and 272 Cyanex. Namely, the medium frequencies at
955 cm-1 of PO-H group and 1172 cm-1 of P=O group in the mixture shifted to low-intensity bands at 911 cm-1 and a strong frequency at 1136 cm-1 in R4NA, respectively. This showed that the prepared ionic liquid R4NA had different characteristics than the original precursors. Comparing the FT-IR
spectra of R4NA before and after hydrogen ion extraction, no new peaks appeared in the experimental
ranges. These results indicate that the ingredient R4NA participated in the extraction of hydrogen ions. Especially at frequencies of 1025
and 1136 cm-1, the intensity of R4NA after extraction was reduced to almost half compared to that before extraction,
indicating the strong interaction between hydrogen ions and R4NA.
These obtained results suggest that the hydrogen ions extraction reaction by R4NA in chloride solution followed Eq. (8). It might be said that a solvation reaction
was responsible for the extraction. The equilibrium constant (Ke) of Eq. (8) can be given as Eq. (9). Taking the logarithm of Eq. (9) and rearranging, leads to Eq. (11), indicating the dependence of the distribution ratio on the equilibrium constant,
the concentration of the ionic liquid and chloride ions.
3.4. Comparison of the extraction of hydrogen ions by mixture extractants
As seen in Fig 1, the combination of Alamine 336 and Cyanex 272 exhibited a synergistic effect on
the extraction of hydrogen ions in the initial pH range from 0.5 to 3, which agrees
well with the previous work [12]. Meanwhile, the nature of the interaction between Aliquat 336 and Cyanex 272 does
not affect the synergism in the extraction reaction. Since the ionic liquid R4NA was prepared by mixing Aliquat 336 and Cyanex 272, the hydrogen ions extraction
behavior of R4NA is of great significance. A comparison of the extraction of hydrogen ions by several
binary mixtures is given in Table 3. Based on Table 3, there were some differences between this work and previous work in the results for
equilibrium pH and the percentages of hydrogen ion extraction by the mixture of Alamine
336 and Cyanex 272 [12]. For instance, the extraction percentage of hydrogen ions by the mixture of Alamine
336 and Cyanex 272 in this system (98.5%) was higher than that in the previous work
(92.8%). This may be attributed to the presence of sodium chloride in the solution,
which affects the extraction.
Moreover, the ionic liquid R4NA prepared from Cyanex 272 and Aliquat 336 showed better efficiency at extracting
hydrogen ions. The change in equilibrium pH value after hydrogen ion extraction by
R4NA was three times higher than by the mixture of Alamine 336 and Cyanex 272 in the
previous work. R4NA exhibited superior extraction characteristics compared to the other mixture extractants
in terms of a change in solution pH.
It can be said that the selective extraction of hydrogen ions by this kind of ionic
liquid greatly affects the control of solution pH during the extraction of metals
from weak acidic solution. The formation of precipitates can result in crud formation
which militates against a continuous solvent extraction operation. Therefore, the
selection of an appropriate concentration of ionic liquid is very important, to control
solution pH within the stable region of the target metal ions. In order to accomplish
this, it is necessary to develop a thermodynamic model of the solvent extraction of
metals from weak acidic solution by an ionic liquid.
4. CONCLUSIONS
The solvent extraction of hydrogen ions from chloride solution was investigated using
Alamine 336, Aliquat 336 and its mixture with Cyanex 272, and ionic liquids (R4NA). The extractants’ hydrogen ion extraction behavior was found to depend strongly
on the solution pH. When the initial pH was increased, the equilibrium pH increased
when using Alamine 336, the mixture of Alamine 336 and Cyanex 272, and R4NA. Among these three extractants, R4NA showed the best performance for the extraction of hydrogen ions when the initial
pH range was from 0.05 to 5. The formation of an emulsion and difficulty in phase
separation were observed, and suppressed by adding sodium chloride. UV-Vis and FTIR
spectra analyses verified the extracted species after hydrogen ion extraction by R4NA. The solvent extraction reaction of hydrogen ions by R4NA was determined by applying a slope analysis method to the extraction data. Further
work is necessary to develop a thermodynamic model which considers the change in solution
pH during the extraction of metal ions in weak acidic solution by an ionic liquid.
Acknowledgements
This study was supported by a grant from the Korean Research Foundation (2018R1D1A1BO7044951).
We express sincere thanks to the Korea Basic Science Institute (KBSI), Gwangju branch
for providing FT-IR data.
REFERENCES
Mohammadpour Z., Zare H. R., Met. Mater. Int,24, 761 (2018)

Nguyen M. T., Kim J. H., Lee J. G., Kim J. C., Met. Mater. Int,24, 821 (2018)

Haghshenas D. F., Darvishi D., Rafieipour H., Salardini E. K. Alamdari A. A., Hydrometallurgy,97,
173 (2009)

Rudolfs W., Ind. Eng. Chem,35, 227 (1943)

Shin C. H., Kim J. Y., Kim J. Y., Kim H. S., Lee H. S., Mohapatra D., Ahn J. W., Ahn
J. G., Bae W., J. Hazard. Mater,163, 729 (2009)

Banda R., Nguyen T. H., Lee M. S., Chem. Process Eng.- Inz,34, 153 (2013)

Stas J., Alsawaf H., Period. Polytech. Chem. Eng,60, 130 (2016)

Vieux A. S., Rutagengwa N., J. Phys. Chem,80, 1283 (1976)

Alguacil F. J., López F. A., Hydrometallurgy,42, 245 (1996)

Apelblat A., J. Chem. Soc. Dalt. Trans,0, 1198 (1973)

Fortuny A., Coll M. T., Sastre A. M., Sep. Purif. Technol,97, 137 (2012)

Liu Y., Jeon H. S., Lee M. S., Hydrometallurgy,155, 44 (2015)

Le M. N., Nguyen T. H., Lee M. S., In press, Geosystem Eng, (2018)

Plechkova N. V., Seddon K. R., Chem. Soc. Rev,37, 123 (2008)

Sun X., Ji Y., Liu Y., Chen J., Li D., AIChE J,56, 989 (2009)

Park C., Yoo B., Lee J., Korean J. Met. Mater,56, 645 (2018)

Devi N., Sukla L. B., Miner. Process. Extr. Metall. Rev,7508, 1 (2018)

Castillo J., Coll M. T., Fortuny A., Donoso P. Navarro, Sepúlveda R., Sastre A. M.,
Hydrometallurgy,141, 89 (2014)

Oh C. G., Lee M. S., Korean J. Met. Mater,56, 870 (2018)

Rout A., Venkatesan K. A., Srinivasan T. G., Rao P. R. Vasudeva, Sep. Purif. Technol,95,
26 (2012)

Sun X., Ji Y., Zhang L., Chen J., Li D., J. Hazard. Mater,182, 447 (2010)

Vogel A. I., Textbook of Quantitative Chemical Analysis,295-296, Longman Scientific
& Technical (1989)

Eyal A. M., Canari R., Ind. Eng. Chem. Res,34, 1789 (1995)

Sarangi K., Padhan E., Sarma P. V. R. B., Park K. H., Das R. P., Hydrometallurgy,84,
125 (2006)

Okuyama H., Maskill T., Organic Chemistry: a mechanistic approach,67-68, Oxford University
Press (2013)

Figures and Tables
Fig. 1.
Effect of solution pH on the extraction of hydrogen ion by the extractants.
Fig. 2.
The interaction of Na+ and Cl− ions by water in solution [25].
Fig. 3.
Plot of log D vs equilibrium pH. Experimental condition: [NaCl] = 0.1 M, O:A = 1:1,
[R4NA] = 1 M.
Fig. 4.
Plot of log D vs log[R4NA]. Experimental condition: pHinitial = 2.0, [NaCl] = 0.1 M, O:A = 1:1.
Fig. 5.
Plot of log D vs log[Cl−]. Experimental condition: pHinitial = 2.0, O:A = 1:1, [R4NA] = 0.1 M.
Fig. 6.
UV-visible spectra of reagents before and after extraction of hydrogen ion. Experimental
condition: pHinitial = 2.0, [NaCl] = 0.1 M, [R4NA] = 1 M, [Aliquat 336] = [Cyanex 272] = 0.5 M, O:A = 1:1.
Fig. 7.
FT-IR spectra of reagents before and after extraction of hydrogen ion. Experimental
condition: pHinitial = 2.0, [NaCl] = 0.1 M, [R4NA] = 1 M, [Aliquat 336] = [Cyanex 272] = 0.5 M, O:A = 1:1
Table 1.
Properties and chemical structures of the extractants.
|
Extractant
|
Chemical formula/Molar mass (g·mol-1)
|
Density (g·cm-3)
|
Viscosity (mPa·s)
|
Solubility in water (mg·L-1)
|
Structure
|
|
Alamine 336
|
C27H57N
|
0.818
|
10.4
|
0.05
|
|
|
pKb = 3.5
|
395.29
|
at 25oC
|
at 25oC
|
at 25oC
|
|
Aliquat 336
|
C25H54ClN
|
0.884
|
1500
|
0.12
|
|
|
404.16
|
at 25oC
|
at 30oC
|
at 30oC
|
|
Cyanex 272
|
C16H35O2P
|
0.920
|
14.2
|
38
|
|
|
pKa = 6.37
|
290.43
|
at 24oC
|
at 25oC
|
at 25oC
|
Table 2.
The values of pH before and after the extraction of hydrogen ion by the extractants.
|
Initial pH
|
0.05
|
0.50
|
1.00
|
2.00
|
3.00
|
4.00
|
5.00
|
|
Equilibrium pHA336+C272 |
0.24
|
1.79
|
2.82
|
3.83
|
4.47
|
4.83
|
4.86
|
|
Equilibrium pHA336 |
0.26
|
2.30
|
2.80
|
4.48
|
5.57
|
6.31
|
6.42
|
|
Equilibrium pHR4NA |
0.31
|
3.19
|
6.52
|
8.34
|
8.43
|
8.63
|
8.71
|
Table 3.
Change in the values of pH before and after extraction by the extractants.
|
Extractants
|
Aliquat 336 + Cyanex 272
|
Alamine 336 + Cyanex 272*
|
Alamine 336 + Cyanex 272
|
R4NA
|
|
Initial pH
|
1.0
|
1.0
|
1.0
|
1.0
|
|
Equilibrium pH
|
0.98
|
2.14
|
2.82
|
6.52
|
|
Extraction percentage, %
|
0.00
|
92.8
|
98.5
|
99.9
|