정동명
(Dongmyung Jung)
1
권용우
(Yongwoo Kwon)
1*
-
홍익대학교 신소재공학과
(Department of Materials Science and Engineering, Hongik University, Seoul 04066, Republic of Korea)
Copyright © 2019 The Korean Institute of Metals and Materials
Key words
porous material, pore structure, effective property, finite element simulation
1. 서 론
다공 금속은 충분한 강도를 가지면서도 낮은 밀도, 높은 비표면적, 에너지 흡수에 의한 흡음성 및 진동 흡수성 등을 함께 갖기 때문에 많은 산업 분야에서
관심을 받고 있다. 주로 자동차나 로봇 산업, 건축 재료 산업, 생체 재료산업, 화학 반응의 촉매재료와 배터리 전극 재료로 연구가 진행 중이나, 더
넓은 범위의 산업에 적용될 수 있을 것으로 예상된다 [1-5]. 다공 금속은 제조 방법에 따라 기공구조를 다양하게 조절 가능하며, 개방형(Open), 폐쇄형(Closed), 로터스형(Lotus) 등의 기공을
가질 수 있다. 개방형 구조는 기공들이 서로 연결되어 있어 재료 내에 유체의 흐름이 가능한 구조이고 폐쇄형 구조는 기공이 금속에 의해 서로 격리된
형상이며 로터스형 구조는 원통형의 기공이 일정한 방향으로 존재하는 형상이다 [1-3,6,7].
이론적으로 다공성 금속은 두 가지 상 (two phases), 즉, 기공 상과 고체 상이 존재하는 복합 재료로 간주될 수 있으며, 전체적으로 균질하고(homogeneous)
등방성(isotropic) 재료라는 가정 하에 기계적(mechanical), 열적(thermal) 유효 물성(effective properties)을
기공률(porosity)의 함수로 나타낼 수 있다. 하지만, 유효 물성은 기공률만의 함수가 아니라, 기공 구조에 따라서도 달라진다. 두 가지 상으로
이루어진 복합체(composite)가 있고, 각 상의 부피 분율(volume fraction)을 각각 φ1, φ2 (φ1 + φ2 = 1), 각 상의 열 또는 전기 전도도(conductivity)을 K1, K2이라 하자. 혼합물 법칙(rule of mixture)에 따르면, 같은 부피 분율을 갖는 복합체의 유효 전도도(effective conductivity)
Keff는 그림 1과 같이 외부 에너지 흐름(flow)에 대해 수평인 층상 구조로 배치될 경우 식 1에 따라 최대 경계 값(upper bound)을, 수직인 층상 구조로 배치될 경우 식 2에 따라 최소 경계 값(lower bound)를 갖게 된다 [8-10].
모든 유효 전도도 값은 이 최대, 최소 경계값의 사이를 가지며, 이는 열, 전기 전도도 뿐 아니라 고체의 탄성계수(elastic modulus)에
대해서도 적용된다.
무작위 위치의 구형(spherical) 혼합물에 의한 유효 물성은 Maxwell-Eucken의 이론에 의해 다음과 같이 식 3을 따르며,
유효 매질 이론(effective medium theory)에 의하면 다음과 같이 식 4를 따라 유효 물성을 계산한다.
또한, 여러 연구자들이 다공 구조의 경우 기공의 물성값은 0에 근사하는 것에서 식 5와 같은 멱법칙(power-law)의 유효 물성 예측 방식을 설명하였으며 [2,11-15], 이는 응력이나 열에 의한 에너지 집중 이론에서 파생되었다. 지수 값인 n은 기계적 특성인 탄성계수와 극한 인장강도(ultimate tensile
strength)의 경우 3, 열전도도의 경우 1.5로 결정된다.
멱법칙은 다공구조의 응력 또는 열 유속의 계산 식에서 재료 면적 대비 다공 구조의 면적의 비율을 평균 기공률의 함수로 변환한 식에서 유도된 공식이며,
이 때 기공률에 의한 경계조건을 만족시키는 실험 결과로부터 얻어낸 경험적인 근사식이 멱함수가 된다 [11-15]. 실제 다공 금속은 동일한 기공률에서도 기공의 형상에 따라 다른 유효 물성값을 나타내므로 해석적으로 다루기에 한계가 있다. 특히 기공 형상이 불규칙한
경우에 대하여 순차적 박리법(serial sectioning), 마이크로 단층 촬영 기법(micro-computed tomography, micro-CT)을
이용하여 3차원 이미지를 구성하고, 이에 대한 유한요소(finite element, FE) 시뮬레이션을 진행하여 측정값과 비교하는 연구가 활발하게
진행되고 있다 [6,7,11,16-28]. 본 연구에서는 폐쇄형 구형 기공 및 로터스형 원통형 기공을 갖는 다공성 금속에 대하여 기공들의 배치 형태에 따른 열전도도 및 탄성계수의 변화를
FE 시뮬레이션으로 해석한 결과를 보이고자 한다.
2. 실험 방법
2.1 다공구조 모델 및 물질 특성 설정
본 연구에서는 COMSOL Multiphysics를 이용하여 FE 해석을 진행하였다. 그림 2에 해석을 위한 다공성 금속 계산구조 모델(이후 “계산구조”로 명명함)을 나타내었다. 그림 2a, b의 계산구조들에서는 격리된 구형 기공들이 FCC와 HCP 형태로 배열되어 있다. 실제 다공 금속은 이 계산구조들이 반복된 것으로 간주될 수 있으며,
이 계산구조에 대해서만 해석하면 전체 구조에 대한 유효 물성을 계산할 수 있다. 그림 2c, 2d는 로터스형 기공 구조로 원통형 기공 모양을 평행하게 배열한 구조(이하 평행 배열)와 기공 층 사이를 교차적으로 배열한 구조(이하 교차 배열)로 각각
모델링 하였다. 사실 더 엄격히 말하면, 그림 2의 계산구조들은 더 작은 단위포(unit cell)들이 여러 개 모여있다. 단위포의 수를 줄이면 계산량이 적어지며 수치적으로 더 쉽게 계산 가능하다.
그러나, 이 경우 경계면 효과가 크게 작용하게 된다. 단위포의 수를 늘리면 경계면 효과가 감소하여 더 정확한 값을 얻을 수 있다. 그러나, 수치적으로
계산이 더 어려워진다. 우리 계산구조들은 경계효과를 줄이는 것과 수치적인 효율성 사이에서 적절한 것으로 판단되었다. 이러한 계산구조들은 기공들이 서로
겹치지 않는 선에서 기공 반지름의 크기를 증가시키면, 기공률을 최대 약 0.6까지 만들 수 있다. 기공 부분의 탄성계수와 열전도도는 0으로 지정하였고,
기체의 유동에 의한 열 전달 효과는 고려하지 않았다. 고체상은 니켈(nickel)로 간주하였고, 그에 해당되는 물성 값들로 탄성계수, 항복강도(yield
strength), 포와송 비(Poisson’s ratio), 열전도도(thermal conductivity)에 대하여 각각 205 GPa, 150
MPa, 0.29, 91W/m·K을 적용하였으며, 모든 물성 및 해석은 등방성(isotropy)으로 취급하였다.
2.2 기계적 물성 계산 방법
일반적인 선형 탄성 재료의 응력-변형률 그래프를 그림 3에 나타내었다. 탄성계수는 그림 3에서 매우 작은 응력과 변형률 범위 이내에서 응력과 변형률이 선형 관계를 나타내는 부분에서 직선의 기울기로 정의되며 이는 가해진 응력과 그로 인한
변형률의 비율이다. 다공성 구조는 일반적으로 인장 응력보다는 압축 응력 환경에서 주로 사용되기 때문에 기계적 특성 시험은 1축 압축 응력 시험(uniaxial
compression test)을 통해 측정한다 [2,3,6]. 이에 해당되는 경계 조건으로 모델링 된 형상의 x-y 평면 바닥 경계면은 고정시키고, 상부 경계면에는 항복강도에 비해 매우 작은 응력인 0.2MPa의
압력을 가하고, 옆면인 x-z, y-z 경계면에는 자유 변위를 적용하였다. 이와 같이 1축 압축 시험에 대한 시뮬레이션을 진행하여 그림 2a-d의 모델에 대하여 각각 유효 탄성계수를 계산하였다. 기계적 물성에 대해 모든 구조 내에서 균일(homogeneous)하고 등방적(isotropic)인
물성 조건에서는 응력과 변형률 텐서에 대하여 각 변수들을 평균값으로 적용하는 것이 가능하다 [8]. 따라서, 구조에 가해진 응력(
σ
¯
app
)과 변형률 (
ε
¯
app
)의 값은 평균값으로 간주되어, 유효 탄성계수(Eeff)는 이 값들로부터 결정된다.
이론적으로 그림 3에서 나타낸 것처럼 응력과 변형률이 비선형 거동을 시작하는 부분을 항복강도로 정의하나 선형을 이루는 구역이 매우 짧거나 비선형 관계를 정의하기 어려울
경우 직선의 기울기를 따라 변형률이 0.2%인 점까지 평행 이동하여 계산하는 방법을 사용한다. 하지만 본 해석은 0.2 MPa의 작은 응력만 가하여
탄성 영역에서만 해석을 진행하고 있고, 또한 소성(plasticity) 모델을 적용하고 있지 않아 항복 현상은 예측할 수 없다. 하지만, 실제 다공구조에서는
단면이 좁아지는 부분에서의 버클링(Buckling) 현상이 일어나 실제 항복강도보다 더 낮은 응력에서 항복이 일어난다. 최대 응력은 버클링이 일어나는
부분에서 발생한다. 이에 따라 유효항복강도는 가해준 응력에 대한 다공 구조 내 응력의 최대값(σmax)의 비에 치밀소재 항복강도(
σ
y
m
)의 곱으로 결정된다 [12,13,29].
2.3 열 물성 계산 방법
다공 구조의 열전도도 계산은 경계 조건으로 x-y 평면의 상부는 350 K, 하부는 300 K의 고정된 온도를 갖고, 고체/기공 경계면과 구조의 x-z,
y-z 경계면들은 단열 조건하에서 Fourier의 정상상태(steady-state) 열 전도 법칙을 적용하여 계산하였다. 본 시뮬레이션에서는 기계적
해석과 마찬가지로 등방성 물질을 가정하여 열전도도를 스칼라 값으로 취급하였으며, 열전도도의 온도 의존성은 무시하였다. 유효 열전도도(keff)는 식 8에 의해 계산된다.
평균 열 유속(average heat flux,
q
¯
)은 계산구조의 윗면 또는 아래면에서 열 유속(
q
¯
)을 면적분(기공부분 제외)하여 계산구조 바닥면의 전체면적(기공부분 포함)으로 나눈 값이다.
여기서 전체 면적 A는 계산구조의 윗면 또는 아래면의 면적이며 고체상뿐 아니라 빈 공간의 면적까지 다 포함한다. 온도 구배(temperature gradient, ∇T)는
윗면과 아래면의 온도차인 50 K를 계산구조의 높이로 나눈 값이다. 일반적으로 원통형 기공이나 개방형 기공 물질은 물질 내부의 유체의 유동을 이용한
열 교환 용도로 사용되나 [1,2,29], 본 연구에서는 주어진 계산구조의 수직 방향 열전도에 관심이 있기 때문에 유체의 흐름은 고려하지 않았다.
3. 결과 및 고찰
3.1 기공 반지름 영향에 의한 유효 특성 계산 결과
구형 기공과 원통형 기공 구조들에 대한 폰 미세스(von Mises) 응력 분포를 그림 4에 나타내었다. 구형 기공모델은 가장 얇은 부분인 측면 벽에 가까운 기공에서 응력집중이 크게 나타났으나, 원통형 기공 모델에서는 바닥면에서 나타났다.
2.1의 초반부에서 언급한 것과 같이 바닥면이 고정되고 옆면이 자유변위인 경계조건으로 인하여 계산구조의 표면 부분에 최대, 최소 응력이 나타났다.
경계 부분이 아닌 구조의 안쪽 부분들을 보면 기공의 주기적 분포에 따라 응력도 주기적으로 분포되어 있는 것을 볼 수 있다. 현재 우리 계산구조는 경계
효과의 영향이 유의미하지 않을 정도로 충분히 많은 수의 기공을 포함하고 있다.
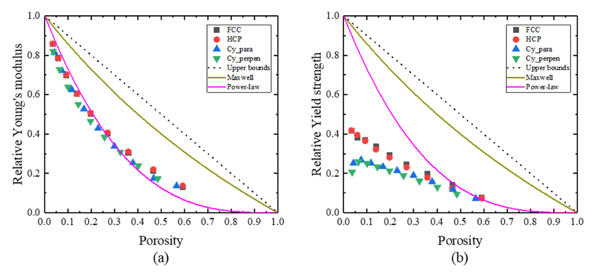
z-방향 1축 압축 하중(uniaxial compressive loading)에 대한 해석 결과로부터 유효 탄성계수 및 유효 항복강도를 구한 결과를
그림 5에 나타내었다. 여기서 기공률은 각 구조에서 기공 반지름을 변화시켜 조절하였다. y-축 데이터는 해석적 이론(analytic theory)과의 비교를
위하여 치밀소재의 값에 대한 상대적인 값(relative value)으로 표시하였다. 유효 탄성계수의 경우 원통형 기공을 갖는 구조가 약 8% 더
낮은 값을 갖는다. 그러나, 같은 기공 형상에서 배치 형태만 바뀔 경우에 대해서는 유의미한 차이가 없는 것으로 나타났다. 즉, 구형 기공의 FCC,
HCP 배열의 결과는 비슷하며, 원통형 기공의 평행 배열과 교차 배열 사이도 비슷한 값이 나왔다.
유효 항복강도도 구형 기공 모델보다 원통형 기공 모델이 더 낮은 값을 갖는 것으로 나타났다. 응력은 재료 내에서 금속의 면적 비율이 작은 부분에서
집중하게 된다. 같은 기공률을 갖는 원통형 기공이 구형 기공보다 가장 좁은 면적을 갖는 단면의 면적이 더 작기 때문에 더 큰 응력이 집중되는 것으로
해석할 수 있다 [13,29]. 다른 예측 모델과 비교하였을 때 유효 탄성계수는 멱법칙(power law)에 유사한 거동을 나타내는 것을 볼 수 있으며, 유효 항복강도는 모든
예측 모델에서 벗어나고 있다. 본 해석에서는 조밀한 구조에 비해서 기공이 존재하는 것으로 인해 유효지지 면적이 매우 작아 지기 때문에 버클링 현상의
영향으로 항복강도는 멱법칙에 의한 유효 항복강도 값보다 낮게 나타났으며, 실제 실험에 의한 항복강도는 본 결과와 유사한 값을 가진다 [30-32].
그림 6에 동일한 기공 반지름을 갖는 구조의 열 해석 결과에 대하여 온도 분포와 열 유속 분포 결과를 나타내었다. 열 유속의 방향, 즉, 수직 방향으로의
온도 분포는 대체로 비슷하다. 이는 등방적인 열 전도율의 해석이 충분히 가능하다는 것을 나타내며 식 8과 같이 열전도도의 계산 및 온도 구배 계산을 단순화할 수 있는 것을 의미한다. 열 유속 분포 그림을 보면 기계적 해석과 마찬가지로 기공과 접하는
표면 근처에 열 유속이 집중되는 것을 알 수 있다. 구형 기공 모델이 더 큰 국부적 열 유속(local heat flux) 최대값을 갖지만 좁은 범위에
집중되었고, 반면에 원통 기공 모델은 구형 기공 모델에 비해 최대 열 유속 값이 절반 정도이지만 좀 더 넓게 분포되어 있다.
그림 7에 기공률에 따른 유효 열전도도의 계산 결과를 나타냈다. 이론적인 예측 모델 중 멱법칙을 가장 잘 따르고 있는 것으로 보이지만, 원통형 기공 구조들은
구형 기공의 경우보다 멱법칙에서 더 많이 벗어나며, 더 작은 값을 갖는다. 이는 다음과 같이 설명할 수 있다. 어떤 특정 단면에서 금속 면적 비율이
작으면 그 단면을 통과하는 열유속은 더 큰 저항을 느끼게 된다. 우리 계산에 사용된 다공 구조 모델에 대하여 고찰해보자. 공통적으로 기공률 0.47을
갖는 원통 기공 모델과 구형 기공 모델에서 금속의 면적이 최소가 되는 단면에서의 금속 면적 비율은 각각 0.286, 0.334이다. 따라서, 열 유속은
원통형 기공 모델에서 더 큰 저항을 느끼게 된다. 다시 말해, 원통 구형 기공구조에서의 열의 흐름이 더 원활하지 않기 때문에 더 작은 유효 열전도도를
갖게 된다.
멱법칙은 물질 특성 계산 방정식의 면적에 대한 미분식에서 유도되어 실험을 통하여 지수 값을 경험적으로 유도된 법칙이며, 일반적으로 낮은 기공률에서
매우 정확하다고 알려져 있다 [11-15,33]. 특히 다공 구조가 등방적인 경우 이러한 근사식이 만족하는 경우가 많으며 특히 기계적 해석에서 구형 기공을 갖는 다공 구조의 경우 가장 근사하는
것으로 알려져 있다 [12,13]. 기계적 유효 물성 예측에서 멱함수의 지수 값은 물질이나 시험 결과에 의해 달라지며 예측 모델이기 때문에 연구자에 따라 다른 값을 주장한다 [2,12-15]. 본 논문의 그림 5의 탄성계수와 항복강도에는 지수 값 3을 적용하였고 이는 응력집중 모델에 해당되며 [13], 그림 7의 기공률에 따른 열 전도도는 멱함수의 지수 값 1.5를 적용하였다 [11,14].
3.2 기공 개수 변화에 따른 유효 특성 계산 결과
그림 8에 원통형 기공 구조에서 기공률 변화를 위해 일정한 기공 반지름에서 기공 개수를 변경하여 형성한 모델을 나타내었다. 그림 9에 해석 결과를 나타내었고, 기존의 그림 5, 7에 나타낸 기공 반지름으로 기공률을 조절한 경우와 큰 차이를 나타내지 않고 있다. 기공 크기나 개수를 조절하는 두 가지 경우의 근본적인 차이는 비표면적이다.
즉, 같은 기공률에서 다른 비표면적을 갖는다. 우리의 해석에서는 기공/고체상의 표면 효과를 포함하지 않았다. 따라서, 이 두 경우의 차이가 해석 결과로
나타나지 않았고, 오직 기공률에만 의존하는 것으로 결과가 나왔다. 기공이 나노스케일이 될 경우에는 비표면적이 매우 커지므로 표면효과를 반드시 포함시켜야
하며, 또한, 고체 상의 크기, 즉, 열 유속이 통과하는 채널의 폭이 매우 좁아질 것이므로 양자 효과까지 포함시켜야할 것으로 예상된다.
4. 결 론
규칙적인 위치에 있는 기공 구조의 다공성 금속에 대하여 시험 조건에 의한 경계 조건을 이용하여 전산상에 계산을 진행하였다. 물리적 특성 중 항복강도를
제외하면 진행되어 왔던 기공률에 따른 유효 물성 예측 방법인 멱법칙에 근사한 결과였으며 항복강도 또한 이전의 실험 결과에 있어서 큰 차이가 없기 때문에
이는 본 전산모사에 의한 해석결과가 맞게 적용되었음을 나타냈다. 원통형 기공에 대하여 구조적 변수인 기공의 수량에 대한 유효 물성 거동을 해석하였을
때 구조 변수에 인한 차이가 나타나지 않았으며 단순하게 기공률에 의한 경향을 나타나는 것을 확인하였다.
추가적인 연구 주제로 개방형 및 로터스형 기공 구조에서 유체 유동에 대한 해석이 필요하다. 본 연구 결과에는 이론적인 물성 계산만을 다뤘지만 실제로
많이 적용되는 분야가 기공을 따라 움직이는 유체 유동에 의한 열전달 및 이온 교환이기 때문이다. 또한 기공의 부분적인 불규칙 또는 무작위 위치에 대한
해석 조건 설립이 필요하다. 불규칙적인 기공 구조를 가졌을 때에는 구조적으로 균일하지 않기 때문에 새로운 물성 해석 방법이 필요할 것으로 예상된다.
부분적 또는 완전 불규칙 구조에서 기공간의 간섭효과를 해석에 추가하는 것이 필요하며, 더 큰 기공률에 대한 해석 또한 필요하다. 유효 물성 거동을
해석하는데 있어서 같은 기공률에서 다른 물성 값을 나타낼 것으로 예상되기 때문에 기공률이 아닌 다른 변수에 따른 해석이 필요할 것이다.
Acknowledgements
본 연구는 국가과학기술연구회(NST) 창의형융합연구사업(과제번호 CAP-16-10-KIMS), 교육과학기술부 기본연구사업(과제번호 NRF-2018R1D1A1B05050256),
홍익대학교 학술연구진흥비의 지원을 받아 수행되었습니다.
REFERENCES
Liu P. S., Liang K. M., J. Mater. Sci,36, 5059 (2001)

Nakajima H., Prog. Mater. Sci,52, 1091 (2007)

Ashby M. F., Medalist R. F. M., Metall. Trans. A,14, 1755 (1983)

Mercadelli E., Gondolini A., Pinasco P., Sanson A., Met. Mater. Int,23, 184 (2017)

Cho Y.-S., Korean J. Met. Mater,55, 264 (2017)

Hyun S. K., Nakajima H., Mater. Sci. Eng. A,340, 258 (2003)

Shim J. D., Byun J. Y., Korean J. Mater. Res,25, 155 (2015)

Hill R., J. Mech. Phys. Solids,11, 357 (1963)

Hashin Z., J. Appl. Mech,50, 481 (1983)

Hashin Z., Shtrikman S., J. Mech. Phys. Solids,11, 127 (1963)

Pabst W., Uhlířová T., Gregorová E., Wiegmann A., J. Eur. Ceram. Soc,38, 2694 (2018)

Arnold M., Boccaccini A. R., Ondracek G., J. Mater. Sci,31, 1643 (1996)

Boccaccini A., Ondracek G., Mombello E., J. Mater. Sci. Lett,14, 534 (1996)

Pabst W., Gregorová E., Tichá G., J. Eur. Ceram. Soc,27, 479 (2007)

Phani K. K., Niyogi S. K., J. Mater. Sci,22, 257 (1987)

Bilger N., Auslender F., Bornert M., Michel J.-C., Moulinec H., Suquet P., Zaoui A.,
Int. J. Solids Struct,42, 517 (2005)

Kushch V. I., Podoba Y. O., Shtern M. B., Comput. Mater. Sci,42, 113 (2008)

Torquato S., Int. J. Solids Struct,37, 411 (2000)

Shen H., Brinson L. C., Int. J. Solids Struct,44, 320 (2007)

Wulfinghoff S., Cavaliere F., Reese S., Comput. Methods Appl. Mech. Eng,330, 149 (2018)

Zhu X., Ai S., Lu X., Ling X., Zhu L., Liu B., Int. J. Heat Mass Transf,72, 242 (2014)

Wang M., Pan N., Mater. Sci. Eng. R: Reports,63, 1 (2008)

Hollister S. J., Kikuchi N., Comput. Mech,10, 73 (1992)

Gong L., Wang Y., Cheng X., Zhang R., Zhang H., Int. J. Heat Mass Transf,68, 295 (2014)

Amani Y., Takahashi A., Chantrenne P., Maruyama S., Dancette S., Maire E., Int. J.
Heat Mass Transf,122, 1 (2018)

Al-Athel K. S., Aly S. P., Arif A. F. M., Mostaghimi J., Int. J. Therm. Sci,116, 199
(2017)

Sevostianov I., Kachanov M., Mater. Sci. Eng. A,313, 1 (2001)

Carson J. K., Lovatt S. J., Tanner D. J., Cleland A. C., Int. J. Refrig,26, 873 (2003)

Hanus J. B., Burger C. P., Exp. Mech,21, 336 (1981)

Wang J., Carson J. K., North M. F., Cleland D. J., Int. J. Heat Mass Transf,49, 3075
(2006)

Sliney H. E., ASLE Trans,9, 336 (1966)

Simone A. E., Gibson L. J., J. Mater. Sci,32, 451 (1997)

Kováčik J., Acta Mater,46, 5413 (1998)

Figures
Fig. 1.
Composite structures with (a) upper and (b) lower bounds in thermal conductivity
Fig. 2.
Structures for calculation of effective properties: (a) FCC and (b) HCP arrangements
of spherical pores, (c) parallel and (d) perpendicular arrangements of cylindrical
pores
Fig. 3.
Stress-strain curve of general linear elastic materials
Fig. 4.
Von Mises stress distributions in (a) an FCC arrangement of spherical pores, σmax = 2.47×106Pa, σmin = 8.22×103Pa and (b) a parallel arrangement of cylindrical pores, σmax = 1.92×106Pa, σmin = 1.95×105Pa
Fig. 5.
Relative mechanical properties: (a) elastic modulus and (b) yield strength
Fig. 6.
Simulation results of steady-state heat conduction: (a) temperature, (b) heat flux
distributions in an FCC arrangement of spherical pores where qmax = 9.55×108W⁄m2 and qmin = 3.84×106W/m2, (c) temperature, and (d) heat flux distributions in a parallel arrangement of cylindrical
pores where qmax = 5.29×108W/m2 and qmin = 1.63×106W/m2
Fig. 7.
Relative thermal conductivity graph depending on the porosity
Fig. 8.
Structures for effective properties calculation with varying porosity by the number
of pores (a) N = 6 (φ = 0.029) (b) N = 24 (φ = 0.117), (c) N = 54 (φ = 0.263), (d)
N = 96 (φ = 0.468)
Fig. 9.
Relative properties according to the number of pores: (a) Young’s modulus, (b) yield
strength, and (c) thermal conductivity