The Journal of
the Korean Journal of Metals and Materials

The Journal of
the Korean Journal of Metals and Materials

Monthly
  • pISSN : 1738-8228
  • eISSN : 2288-8241

Editorial Office


  1. 서울시립대학교신소재공학과 (Department of Materials Science and Engineering, University of Seoul, Seoul 02504, Republic of Korea)



electron transport layer, ZrO2 layer, perovskite grain, perovskite solar cells

1. 서 론

페로브스카이트 태양전지(perovskite solar cells; PSC)는 2009년 3.8% 에너지변환효율(energy conversion efficiency; ECE)이 보고된 이래로 10년 만에 24.2%의 에너지변환효율 증가가 보고된 차세대 에너지원으로 주목받고 있다[1]. 이러한 PSC는 기존의 Si 계 태양전지보다 가격경쟁력이 우수하고, 비교적 간단한 공정으로 제작할 수 있기에 상용화를 위한 연구가 활발하다[2].

PSC의 상용화 연구는 전자 수명(life time)을 증가시키기 위한 페로브스카이트 층의 결점 감소 및 결정립 크기 증대 연구와 PSC 소자의 저항을 감소시켜 고효율 태양전지를 제작하기 위한 전자전달층(electron transport layer; ETL) 엔지니어링 연구가 진행되고 있다[3-7].

페로브스카이트 자체 결점을 감소시키기 위해서는, 기존의 MAPbI3 재료에서 mixed halide 물질을 이용한 (MAPbI1-xBrx)3 또는 (FAPbI3)1-x(MAPbBr3)x 물질을 이용한 페로브스카이트 연구가 보고되고 있다. J. V. Patil 등[8]은 (MAPbI1-xBrx)3을 채용하여 기존의 MAPbI3 보다 66% 증가된 결정립 크기와 핀홀 감소를 확인하였으며, 이러한 페로브스카이트 층의 변화로 인해 전기적 특성이 10% 향상되는 것을 보고한 바 있다. W. Yang 등[9]은 기존 MAPbI3 대신 새로운 페로브스카이트로 (FAPbI3)1-x(MAPbBr3)x를 제안하고, 제안한 페로브스카이트는 약 1㎛의 결정립 크기로 형성되었으며, 이는 최고 22.1% 에너지 변환효율의 우수한 광전기적 특성을 보고한 바 있다.

페로브스카이트의 결정립 증대는 결국 전자이동의 저항으로 작용하는 결정립계를 감소시키는 방안이다. H. Lee 등[10]은 TiO2에 GO를 첨가하여 상부에 형성되는 페로브스카이트의 결정립 증가를 통해 기존 소자에 비해 11% 증가한 에너지변환효율을 확인하였으며, 이는 전자이동의 저항으로 작용하는 결정립계가 감소하여 나타난 현상임을 보고한 바 있다. 이러한 페로브스카이트 층의 결점과 결정립 크기는 전자이동 특성에 영향을 미치고, 이는 전자의 수명에 직접적인 연관이 있는 것으로 보고된 바 있다[11].

또한 전자전달층 엔지니어링은 기존 구형의 TiO2 대신 nano rod 같은 형상이 다른 TiO2를 이용하거나 SnO2 또는 ZrO2와 같은 신물질을 혼합 채용한 연구가 보고되고 있다. 전자전달층 구조적 변화는 형태가 다른 TiO2로 인해 전자이동의 저항으로 작용하는 TiO2 계면이 감소하여 션트 저항 특성이 향상되어 광전기적 특성에 영향을 미치는 것이 보고된 바 있으며, SnO2와 같은 신물질은 기존의 TiO2 보다 전자이동 특성이 우수하기 때문에 광전기적 특성이 증가한 것으로 보고된 바 있다. X. Li 등[12]은 구형태의 TiO2 대신 nano rod 형태의 TiO2를 이용하여 11% 증가된 에너지변환효율을 보고한 바 있으며, Q. Jiang 등[13]은 25 nm SnO2 층을 전자전달층으로 채용하여 19.90 ± 0.62% 우수한 광전기적 특성을 보고한 바 있다.

M. Che 등[14]은 TiO2-ZrO2가 혼합된 파티클을 제작하여 전자전달층으로 채용하고, PbI2를 먼저 코팅하고, MAI를 코팅하는 2-step 방법으로 PSC를 제작하여 기존의 TiO2 만을 채용한 소자보다 15% 증가된 11.41%의 에너지 변환효율을 보고한 바 있다. 그러나 이 연구의 경우, TiO2와 ZrO2를 완전 혼합하여 전자전달층으로 채용하였기 때문에 효율의 증가가 과연 ZrO2의 효과인지 명확하지 않은 문제가 있었다.

ZrO2는 기존의 TiO2 보다 자체 저항이 낮아 전자전달효율이 우수할 것으로 예상되어 전체 소자의 에너지변환효율 증가가 예상되나 이에 대한 정량적인 물성 연구는 아직 보고된 바 없다.

따라서, 본 연구에서는 이중층으로 형성되는 TiO2/ZrO2 전자전달층에 ZrO2 층을 두께별로 삽입하고, ZrO2 두께 증가에 따른 PSC 소자의 광전기적 특성을 확인하고자 하였다.

2. 실험방법

본 연구에서는 ZrO2 층의 두께에 따른 PSC의 광전기적 특성을 확인하기 위해 그림 1 (a)에 나타낸 바와 같이 glass/FTO/BL-TiO2/(Meso-TiO2/ZrO2)/perovskite/HTL/Au electrode 구조의 소자를 제작하였으며, (b)에 최종적으로 제작한 소자의 실제 모습을 나타내었다.

이러한 소자를 구현하기 위해 세척된 glass/FTO 기판 위에 compact TiO2(SC-BT060, Sharechem Co) 용액을 이용하여 blocking layer(BL)를 제작하였으며, meso-TiO2 용액은 propyl alcohol, terpineol을 혼합한 용액에 TiO2 페이스트(Sharechem Co)를 혼합하여 제작하였다[15].

ZrO2 용액은 1g ZrO2 페이스트를 4 g 에탄올에 혼합하여 준비하였다. 이때 준비한 TiO2 용액을 glass/FTO/BLTiO2까지 코팅된 기판에 스핀코팅하고 150 oC - 10 min 열처리하였으며, 연속적으로 ZrO2 용액으로 코팅하였다. 이후 500 oC - 30 min 조건으로 소결하여 meso-TiO2/ZrO2층을 제작하였다.

페로브스카이트 용액은 MAI(CH3NH3I, 99%, Dyesol), PbI2(99.99%, Alfa Aesar), DMSO(Dimethyl sulfoxide, sigma aldrich)를 DMF(dimethyl formamide, Alfa Aesar)에 혼합 후 스핀코팅 방법으로 페로브스카이트 박막을 형성하였다.

정공전달층은 spiro-MeOTAD(Sigma aldrich), Li-TFSI solution(520 mg Li-TSFI(Sigma aldrich) in 1 ml acetonitrile(Sigma aldrich)), 4-tert-buthyl pyridine(Sigma aldrich)를 클로로벤젠에 혼합하고 스핀코팅 방법으로 제작하였다.

이후 진공 증착기(DKOS-M2, 대기 하이텍 Co)를 이용하여, 최종적으로 glass/FTO/BL-TiO2/Meso-TiO2/ZrO2/perovskite/HTL/Au electrode 구조의 PSC를 제작하였다[15].

제작된 ZrO2층의 두께를 확인하기 위해 field emission electron probe microanalyzer(EPMA, JXA-8530F, JEOL)를 이용하였으며, 15kV 가속전압으로 시편의 단면을 분석하였다. 이때 glass/FTO/BL-TiO2/TiO2/ZrO2/perovskite 구조의 시편에 대해 Sn, Ti, Zr, Pb를 선택하여 분석하였으며, 최고점의 65% 지점을 기준으로 각 층의 두께를 확인하였다.

제작한 PSC 소자의 광전기적 특성을 확인하기 위해 solar simulator(PEC-L11, Peccell)와 potentiostat(compactStat.h, Ivium)을 이용하여 I-V(current-voltage)와 impedance (Nyquist plot)을 측정하였다. 이때 광원은 100W Xenon lamp를 이용하고, 1 sun(100mW/cm2) 조건으로 분석하였다. I-V 분석을 통해 단락전류밀도(short circuit current density; Jsc), 개방전압(open circuit voltage; Voc), 필팩터(fill factor; FF), 에너지변환효율을 확인하였고, impedance 분석을 통해 계면 저항을 확인하였다. 또한 제작한 소자의 양자효율을 확인하기 위해 incident photon to converted electron(IPCE, PEC-S20, Peccell)를 사용하였으며, 파장 범위는 300 nm ~ 800 nm로 설정하였다.

Glass/FTO/BL-TiO2/Meso-TiO2/ZrO2 구조 시편의 투과도를 확인하기 위해 Ultra Violet-visble near-infrared(UVVIS-NIR, UV-3101PC), Shimadzu Co)를 이용하였으며, 이때 350 nm ~ 800 nm의 가시광선 파장대의 범위로 지정하였으며, 슬릿 값 0.8, 스캔 속도는 medium으로 설정하여 분석을 진행하였다.

페로브스카이트와 전자전달층의 표면과 단면 미세구조를 분석하기 위해 field emission scanning electron microscopy(FE-SEM, S-4300, SU-8000, Hitachi Co)을 이용하여, 가속전압은 5kV로 분석하였고, 각층의 표면조도와 골 간격(valley spacing)을 분석하기 위해 atomic force microscopy(AFM, XE-100, PSIA)를 이용하였다.

3. 실험결과

그림 2에는 EPMA를 이용하여 glass/FTO/BL-TiO2/TiO2/ZrO2/perovskite 구조 시편의 RPM 조건에 따른 ZrO2 층 두께 분석 결과를 나타내었다. 이때 8000, 6000, 4000, 2000 RPM 조건으로 ZrO2 층을 제작하였으며, 각 층에 대하여 Sn, Ti, Zr, Pb를 선택하여 분석하였다.

그림 2 (a)에는 8000 rpm으로 제작한 ZrO2 층을 채용한 시편의 EPMA 분석 결과를 나타내었다. FTO/TiO2/ZrO2/perovskite의 두께는 각각 550 nm, 228 nm, 168 nm, 474 nm로 확인되었다. 또한 Zr 영역과 Pb 영역이 중첩된 부분이 많은 것으로 확인되었으며, 이는 ZrO2 층이 페로브스카이트의 지지대(scaffold) 역할을 하는 것을 확인하였다.

그림 2 (b)에는 6000 rpm으로 ZrO2 층을 채용한 시편의 EPMA 분석 결과를 나타내었으며, TiO2/ZrO2/perovskite의 두께는 228 nm, 204 nm, 531 nm로 형성되었으며, RPM이 감소함에 따라 ZrO2 층과 페로브스카이트 층의 두께가 증가하는 것을 확인하였다.

그림 2 (c)에는 4000 rpm으로 ZrO2 층을 채용한 시편의 EPMA 분석 결과로 TiO2/ZrO2/perovskite의 두께는 각각 270 nm, 242 nm, 492 nm로 확인되었다. 이는 앞서 확인한 (b)와 동일하게 RPM이 감소함에 따라 TiO2/ZrO2 층의 두께가 모두 증가하는 것을 확인하였다. 페로브스카이트의 두께의 경우 (b)보다 감소한 것을 확인하였다.

그림 2 (d)에는 2000 rpm으로 ZrO2 층을 채용한 시편의 EPMA 분석 결과로 TiO2/ZrO2/perovskite의 두께는 각각 282 nm, 288 nm, 438 nm로 확인되었다. RPM이 감소함에 따라 역시 TiO2/ZrO2 층의 두께가 증가하는 것을 확인하였다. 페로브스카이트의 경우,

(c)보다 감소한 것을 확인하였다.

그림 2 (e)에는 4000 rpm으로 제작한 TiO2만 코팅한 시편의 EPMA 분석 결과를 나타내었다. FTO/TiO2/ZrO2/perovskite의 두께는 각각 550 nm, 264 nm, 0 nm, 486 nm로 확인되었으며, ZrO2 층을 코팅하지 않아 Zr 원소가 존재하지 않은 것을 확인하였다. 페로브스카이트 층의 경우, (c)와 유사한 두께를 확인할 수 있었다.

그림 2 (f)에는 앞서 확인한 바와 같이 RPM에 따른 ZrO2 층 두께를 그래프로 나타내었으며, RPM이 증가함에 따라 ZrO2 층 두께는 약 290 nm에서 170 nm로 형성되는 것을 확인하였다. 이는 RPM이 증가하면서 원심력이 증가하게 되어 나타난 현상으로 Li 등[16]이 RPM이 증가함에 따라 ZrO2 층 두께가 선형적으로 감소함을 보고한 바와 일치하는 것을 확인하였다.

따라서 EPMA 분석을 통해 ZrO2 층 두께를 명확하게 확인하였으며, RPM이 증가함에 따라 ZrO2층의 두께가 감소하는 것을 확인할 수 있었다.

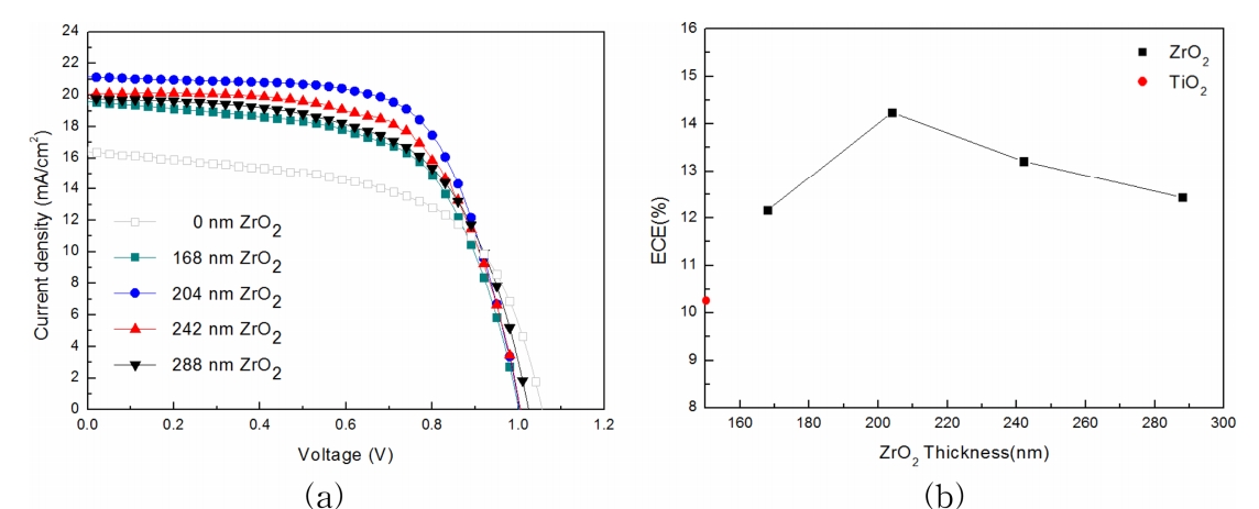
그림 3에는 ZrO2 층 두께에 따른 PSC 소자의 I-V 그래프와 에너지변환효율 변화 그래프를 나타내었다. 그림 3 (a)에는 ZrO2 층 두께에 따른 PSC 소자의 인가전압에 따른 전류밀도를 나타내었다. 각 측정 그래프를 통해 주어진 조건에서의 단락전류밀도(Jsc), 개방전압(Voc), 필팩터(FF), 에너지변환효율까지 확인할 수 있었으며, 전반적으로 0 nm ZrO2 층이 채용된 PSC 소자보다 향상된 광전기적 특성을 확인할 수 있었다. 특히 204 nm ZrO2 층을 채용한 소자의 단락전류밀도가 가장 우수하고, 이에 따라 에너지변환효율이 우수하게 나타난 것을 확인할 수 있었다.

그림 3 (b)에는 (a)의 에너지변환효율 변화를 나타내었다. 에너지변환효율의 경우, 그래프의 검은 사각형으로 표시하여 나타내었으며, ZrO2 층의 두께가 증가함에 따라 에너지 변환효율이 증가하다가 감소하는 것을 확인할 수 있었다. 또한 TiO2만을 전자전달층으로 채용하여 제작한 PSC 소자는 빨간 원으로 표시하여 나타내었다. 이때 204 nm ZrO2 층을 채용한 PSC 소자에서 가장 우수한 에너지변환효율 값을 확인할 수 있었다.

표 1에는 그림 2에서 확인된 ZrO2 층 두께와 그림 3의 광전기적 특성을 자세히 나타내었다. 단락전류밀도의 경우, ZrO2 층 두께가 168, 204, 242, 288 nm로 증가함에 따라 각각 19.56, 21.15, 20.07, 19.75 mA/cm2로 변화하는 것을 확인하였으며, 이는 앞서 확인한 에너지변환효율 변화와 일치하는 결과였다. 개방전압의 경우, 각각 1.00, 1.00, 1.00, 1.02 V로 확인되었으며, 필팩터의 경우, 각각 0.62, 0.68, 0.66, 0.62로 확인되어, 개방전압과 필팩터는 ZrO2 층의 두께와 상관없이 모두 유사한 값을 확인할 수 있었다. 에너지변환효율의 경우, 단락전류밀도의 영향으로 각각 12.16, 14.24, 13.21, 12.43%의 값을 확인할 수 있었다.

따라서, 204 nm ZrO2 층을 채용한 PSC 소자에서 우수한 단락전류밀도가 나타나 에너지변환효율이 가장 우수하게 나타난 것을 확인하였다. 이는 기존의 TiO2만 첨가된 소자에 비해 약 38% 에너지변환효율이 증가된 결과였다.

그림 4에는 ZrO2 층 두께에 따른 PSC 소자의 Nyquist plot을 나타내었으며, 그래프에 화살표로 나타낸 바와 같이 ZrO2 층이 감소함에 따라 저항이 감소하는 것으로 확인되었다. 이러한 결과는 전자전달층의 전체 두께가 감소함에 따라 전체 저항이 감소하여 나타난 것으로 판단하였다. 또한 264 nm TiO2 층만 채용한 소자와 비교하여도 ZrO2 층을 채용한 소자의 계면 저항 특성이 우수하게 나타난 것을 확인할 수 있었다. 이는 ZrO2의 전도율(electrical conductivity)이 1.1 × 10-2 S/m이며, TiO2의 전도율이 1.19 × 10-9 S/m으로, ZrO2의 전도율이 우수하여 계면 저항이 감소하는 것으로 판단하였다 [17,18].

따라서, 상대적으로 전도율이 우수한 ZrO2 층의 채용은 에너지변환효율이 향상되는 원인이 될 수 있었다.

그림 5에는 제작한 PSC 소자의 투과도 분석 그래프와 IPCE 결과를 나타내었다. 그림 5 (a)에는 제작한 PSC 소자에 채용된 ZrO2 층 두께에 대한 투과도 결과를 나타내었다. 이때 투과도는 350 nm ~ 800 nm 가시광선 영역에서 glass/FTO/TiO2/ZrO2 시편을 제작하여 비교하였다. 그래프에 화살표로 나타낸 바와 같이 ZrO2 층 두께가 증가할수록 투과도가 점차 감소하는 것을 확인할 수 있었고, 특히 400 nm 파장대에서 가시적인 차이를 확인할 수 있었다. 따라서 새로이 채용된 ZrO2 층은 두께가 얇을수록 더 많은 빛을 투과시켜 최종적으로 페로브스카이트 층에 도달하는 광원이 손실을 초래할 수 있다고 판단하였다. 즉, 투과도 측면에서는 전자전달층의 두께가 얇을수록 페로브스카이트 층에 더 많은 빛이 도달할 수 있는 것을 확인하였다.

그림 5 (b)에는 IPCE 그래프를 나타내었으며, 300 ~ 800 nm의 파장에서 각 파장에 대한 양자효율을 의미한다. 이때 그래프의 면적은 앞서 확인한 단락전류밀도와 일치하는 것을 확인하였다. 특히 350 nm ~ 400 nm 영역에서 ZrO2 층 두께가 168 nm에서 204 nm로 증가함에 따라 양자효율이 증가하는 것을 확인하였으며, 242 nm, 288 nm로 더욱 증가하게 되면 양자효율이 감소한 것을 확인할 수 있었다. 이러한 결과는 ZrO2 층의 두께가 증가됨에 따라 양자효율이 단락전류밀도의 경향과 동일하게 증가하다 감소하는 것을 확인한 결과였다. 이는 (a)에서 확인한 투과도 감소의 영향으로 나타난 결과였다.

따라서, ZrO2 층의 두께가 과도하게 증가하면 투과도 특성이 감소하여 에너지변환효율에 부정적인 영향을 미치고, 결국 앞서 보인 ZrO2 층의 전도도 향상에 의한 긍정적인 특성을 고려한 204 nm ZrO2 층이 채용되었을 때, 가장 우수한 에너지변환효율을 나타내는 것으로 판단하였다.

그림 6에 좌측에는 ZrO2 층 두께에 따른 페로브스카이트 표면 미세구조를 나타내었으며, 우측에는 PSC 소자의 단면 미세구조를 나타내었다. (a)에는 168 nm ZrO2 층 위에 형성된 페로브스카이트 표면 미세구조 이미지를 나타내었으며, 약 226 nm 결정립 크기를 확인할 수 있었다. 우측에는 제작한 PSC 소자의 단면 이미지로, 페로브스카이트/스파이로 층의 두께는 약 532 nm로 확인되었다.

(b)는 204 nm ZrO2층을 채용한 경우를 나타내었고, 약 351 nm 결정립 크기가 확인되어 (a)보다 55% 증가된 결정립 크기를 보였으며, 페로브스카이트/스파이로 층의 두께는 약 626 nm로 (a)에 비해 17% 증가된 것을 확인할 수 있었다.

(c)는 242 nm ZrO2 층을 채용한 경우를 나타내었고, 약 278 nm의 결정립 크기를 확인하였으며, 이는 (a)보다 23% 증가되었지만 (b)보다는 21% 감소하였다. 페로브스카이트/스파이로 층 두께는 약 560 nm로 (a)에 비해 5% 증가되었지만 (b)보다는 11% 감소하여, ZrO2 층의 두께가 증가함에 따라 결정립 크기와 페로브스카이트 층 두께가 감소한 것을 확인할 수 있었다.

(d)는 288 nm ZrO2 층을 채용한 경우를 나타내었고, 페로브스키아트 결정립은 약 215 nm로 (a)보다 5% 감소된 것을 확인하였다. 페로브스카이트/스파이로 층의 두께는 약 457 nm로 (a)에 비해 15% 감소된 것을 확인할 수 있었다. 이는 과도한 ZrO2 층 채용에 따라 페로브스카이트 결정성장을 방해하여 나타난 결과로 판단하였다.

이와 같이 ZrO2 층 두께가 증가할수록 상부 페로브스카이트 층 두께가 두껍게 형성되고 이에 따라, 페로브스카이트 결정립 또한 증가하는 효과를 가져왔다. 이는 Li 등[19]이 페로브스카이트 두께가 증가할수록 결정립 크기가 증가한다는 보고와 일치하는 결과였다.

따라서 하부 ZrO2 층의 두께에 따라 페로브스카이트 층 두께에 영향을 미치며, 페로브스카이트 층의 두께가 증가하면 결정립이 증가하는 것을 확인할 수 있었다.

표 2에는 그림 6에서 확인한 PSC 소자의 미세구조 결과와 AFM 분석을 통해 ZrO2 층 표면의 골 간격(valley spacing) 측정 결과를 나타내었다.

ZrO2 층의 두께가 증가함에 따라 표면에 형성된 골 간격은 증가하다가 감소하는 것을 확인하였으며, 이에 따라 페로브스카이트의 결정립 크기와 페로브스카이트/스파이로 층 두께도 동일하게 증가하다가 감소하는 것을 확인하였다. 이때 (b) 204 nm ZrO2에서 가장 골 간격이 크게 확인되었고, 이에 따라 페로브스카이트의 결정립 크기와 페로브스카이트/스파이로 층 두께도 크게 나타나 가장 우수한 에너지변환효율을 확인할 수 있었다.

이러한 결과는 Li 등[19]이 요철 모양의 하부층에서 골에 핵생성 사이트가 생기기 쉬우며 이 핵생성 사이트 간격에 따라 페로브스카이트 결정립 크기와 두께가 증가한다고 보고한 바와 일치하였다.

따라서, 하부 ZrO2 층 두께에 따라 표면에 형성되는 골 간격의 변화를 확인할 수 있었고, 이는 페로브스카이트의 결정립 미세구조에 영향을 미쳐 결과적으로 PSC 소자의 에너지변환효율에 영향을 미치는 것을 확인하였다.

4. 결 론

기존 TiO2에 ZrO2 층을 포함한 새로운 이중 전자전달층을 채용하여 에너지변환효율이 향상된 PSC를 성공적으로 제작하였다. ZrO2층의 두께가 증가함에 따라 204 nm에서 가장 우수한 14.24%의 에너지변환효율을 확인하였으며, ZrO2 층의 두께가 더 두꺼워지면 에너지변환효율이 감소하는 것을 확인하였다. 이러한 에너지변환효율 증가는 기존 TiO2층 보다 전도율이 우수한 ZrO2 층을 페로브스카이트 하부에 채용함에 따라 계면 저항이 감소한 효과로 인한 결과였고, 감소는 ZrO2 층의 두께가 증가함에 따라 투과도 감소로 페로브스카이트에 입사되는 빛의 총량이 감소하여 나타난 결과였다. 또한 에너지변환효율의 변화는 ZrO2 층 두께 변화에 따른 표면 미세구조 변화의 영향도 확인되었으며, 특히 ZrO2 층 표면의 골 간격이 증가함에 따라 페로브스카이트의 결정립 크기와 페로브스카이트/스파이로 층 두께가 증가하여 광전효과가 증가하는 것을 확인하였다. 따라서, PSC의 전자전달층으로 새로이 제안한 TiO2/ZrO2 층 채용 시, 광전기적 특성, 계면 저항, 투과도, 표면 형상에 따른 결정립 크기와 두께를 고려한 적절한 ZrO2 층 채용이 필요하였다.

Acknowledgements

This work was supported by the Basic Study and Interdisciplinary R&D Foundation Fund of the University of Seoul (2019).

REFERENCES

1 
Castro E., Artigas A., Pla-Quintana A., Roglans A., Liu F., Perez F., Lledó A., Zhu X. Y., Echegoyen L., Mater,12, 1314 (2019)Google Search
2 
Cai C., Zhou K., Guo H., Pei Y., Hu Z., Zhang J., Zhu Y., Electrochimi. Acta,312, 100 (2019)Google Search
3 
Cai Q., Zhang Y., Liang C., Li P., Gu H., Liu X., Wang J., Shentu Z., Fan J., Shao G., Electrochim. Acta,261, 227 (2018)Google Search
4 
Hsieh C. M., Liao Y. S., Lin Y. R., Chen C. P., Tsai C. M., Diaua E. W. G., Chuang S. C., RSC Adv,8, 19610 (2018)Google Search
5 
Liu Q., Qin M. C., Ke W. J., Zheng X. L., Chen Z., Qin P. L., Xiong L. B., Lei H. W., Wan J. W., Wen J., Yang G., Ma J. J., Zhang Z. Y., Fang G. J., Adv. Funct. Mater,26, 6069 (2016)Google Search
6 
Bati A. S. R., Yu L. P., Tawfik S. A., Spencer M. J. S., Shaw P. E., Batmunkh M., Shapter J. G., iScience,14, 100 (2019)Google Search
7 
Han G. S., Song Y. H., Jin Y. U., Lee J. W., Park N. G., Kang B. K., Lee J. K., Cho I. S., Yoon D. H., Jung H. S., ACS Appl. Mater. Inter,7, 23521 (2015)Google Search
8 
Patil J. V., Mali S. S., Shaikh J. S., Patil A. P., Patil P. S., Hong C. K., Dyes Pigments,168, 311 (2019)Google Search
9 
Yang W., Park B., Jung E., Jeon N., Kim Y., Lee D., Shin S., Seo J., Kim E., Noh J., Seok S., Nano Lett,13, 1764 (2013)Google Search
10 
Lee H., Kim K., Song S., Korean J. Met. Mater,57, 456 (2019)Google Search
11 
Chu Z., Yang M., Schulz P., Wu D., Na X., Seifert E., Sun L., Li X., Zhu K., Lai K., Nat. Commun,8, 2230 (2017)Google Search
12 
Li X., Dai S. M., Zhu P., Deng L. L., Xie S. Y., Cui Q., Chen H., Wang N., Lin H., ACS Appl. Mater. Inter,8, 21358 (2016)Google Search
13 
Jiang Q., Zhang L., Wang H., Yang X., Meng J., Liu H., Yin Z., Wu J., Zhang X., You J., Nature,2, 16177 (2017)Google Search
14 
Che M., Zhu L., Zhao Y. L., X. Q. Gu, D. S. Yao,J. Song (2016)Google Search
15 
Kim K., Park T., Song O., Korean J. Met. Mater,56, 321 (2018)Google Search
16 
Li Y., Zhao L., Wei S., Xiao M., Dong B., Wan L., Wang S., Appl. Surf. Sci,439, 506 (2018)Google Search
17 
Kwon O., Jang C., Lee J., Jeong H., Kwon Y., Joo J., Kim H., Ceram. Int,43, 8236 (2017)Google Search
18 
Pomoni K., Sofianou M.V., Georgakopoulos T., Boukos N., Trapalis C., J. Alloy. Compd,548, 194 (2013)Google Search
19 
Li Y., Ding B., Chu Q. Q., Yang G. J., Wang M., Li C. X., Li C. J., Sci. Rep,7, 46141 (2017)Google Search

Figures and Tables

Fig. 1.

(a) Cross-sectional structure of the proposed perovskite solar cell, and (b) optical image of a perovskite solar cell.

../../Resources/kim/KJMM.2020.58/kjmm-2020-58-1-59f1.jpg
Fig. 2.

EPMA data according to ZrO2 layer thickness; (a) 168 nm ZrO2(8000 rpm), (b) 204 nm ZrO2(6000 rpm), (c) 242 nm ZrO2(4000 rpm), (d) 288 nm ZrO2(2000 rpm), (e) 0 nm ZrO2/TiO2, (f) change with RPM.

../../Resources/kim/KJMM.2020.58/kjmm-2020-58-1-59f2.jpg
Fig. 3.

(a) Current density–voltage graph and (b) ECE change with layer thickness.

../../Resources/kim/KJMM.2020.58/kjmm-2020-58-1-59f3.jpg
Fig. 4.

Nyquist plot of ZrO2 layer thickness.

../../Resources/kim/KJMM.2020.58/kjmm-2020-58-1-59f4.jpg
Fig. 5.

(a) Transmittance data and (b) image of IPCE graph of perovskite solar cell according to ZrO2 layer thickness.

../../Resources/kim/KJMM.2020.58/kjmm-2020-58-1-59f5.jpg
Fig. 6.

FE-SEM surface image (left) and cross-sectional image (right) of perovskite grain size according to ZrO2 layer thickness; (a) 168 nm ZrO2, (b) 204 nm ZrO2, (c) 242 nm ZrO2, (d) 288 nm ZrO2.

../../Resources/kim/KJMM.2020.58/kjmm-2020-58-1-59f6.jpg
Table 1.

Photovoltaic properties of PSCs with ZrO2 layer thickness

ZrO2 thickness (nm) Jsc (mA/cm2) Voc (V) FF ECE (%)
0 16.38 1.05 0.60 10.30
168 19.56 1.00 0.62 12.16
204 21.15 1.00 0.68 14.24
242 20.07 1.00 0.66 13.21
288 19.75 1.02 0.62 12.43
Table 2.

AFM result of ZrO2 layer thickness, perovskite grain size, perovskite/spiro layer thickness, and valley spacing [nm]

Sample (a) (b) (c) (d)
ZrO2 thickness 168 204 242 288
perovskite grain size 226 351 278 215
perovskite/spiro layer thickness 532 626 560 457
valley spacing 138 203 178 115