류요한
(Yo-Han Ryu)
1
김성수
(Sung-Soo Kim)
1*
-
충북대학교 신소재공학과
(Department of Advanced Materials Engineering, Chungbuk National University, Cheongju
28644, Republic of Korea)
Copyright © 2020 The Korean Institute of Metals and Materials
Key words
microwave absorbers, radio frequency identification, metamaterials
1. 서 론
RF-ID (Radio Frequency IDentification)란 전파를 이용하여 원거리에 정보를 인식하는 기술이다. RF-ID 기술은 RF-ID
태그의 집적회로에 정보를 기록하고, 안테나를 통해 RF-ID 판독기에 정보를 송신하는 방식으로 이루어진다. RF-ID 태그의 종류는 배터리의 유무에
따라 능동형 태그와 수동형 태그로 분류하며, 전파의 주파수 대역에 따라 저주파, 고주파, 초고주파, 마이크로파 대역으로 분류한다 [1,2]. RF-ID는 바코드를 대체하면서 유통/물류 업계에서 활용이 증대하고 있으며, 향후 UHF (868~960 MHz)나 마이크로파 (2.45 GHz)의
주파수를 사용한다.
이처럼 RF-ID 기술은 개별 아이템의 식별이 가능하고, 인식 거리가 길며, 다양한 태그 폼을 가질 수 있을 뿐만 아니라, 태그의 재기록이 가능하여
상당히 유용한 장점을 가지고 있다. 반면에 고가의 태그 가격과 금속 등 주변 환경에 민감하게 영향을 받는 점은 단점으로 지적되고 있다 [3,4]. Reader, writer 주변에 금속판이 있으면 그 반사로 인해 RF-ID 신호를 제대로 읽어 들이지 못하는 문제가 발생할 수 있다. RF-ID
시스템이 구축된 장소에 여러 개의 RF-ID가 있을 경우 상호 간섭으로 인한 태그 정보의 누락이 더욱 심각해질 수 있다. 또한 모바일 RF-ID가
상용화되었을 경우, 동일 공간에서 사용되는 reader의 숫자가 늘어나게 되면 reader 간 간섭이 더 심각해질 것으로 예상된다. 이 때문에 RF-ID
시스템에서 전자파 간섭을 줄이고 인식률을 높이기 위한 전자파 장해 대책 기술이 필요하다 [5-9]. 이러한 문제 해결 방안으로 전자파 흡수 sheet 또는 판넬 제품의 사용을 검토할 수 있다.
전자파 흡수재료로 사용되는 주된 소재는 페라이트 또는 철계 금속과 같은 연자성 재료이다 [10-18]. 이 중에서 전자파 흡수재료로 페라이트 자성체를 사용하는 이유는 높은 자기손실 특성에 근거하고, 재료의 화학조성을 변화시켜 사용 주파수 대역을
제어할 수 있기 때문이다. 일반적으로 스피넬계 페라이트는 1 GHz 미만의 대역에서 대부분 자연공명주파수가 나타나 0.5~2.5 GHz 대역에서 –20
dB 이하의 양호한 전파흡수특성을 나타내지만, 두께가 5 mm 이상으로 두꺼워지는 단점이 있다 [10,11]. 센더스트 분말과 같은 고투자율 철계 연자성 재료를 사용하여 1-2 GHz 대역용 노이즈 흡수 또는 전자파 흡수 sheet가 개발되었으나, 1
GHz 이하의 UHF 대역에서는 흡수 성능이 떨어지고 페라이트와 마찬가지로 두께 및 무게가 증가하는 단점이 있다 [13-16].
이러한 문제의 해결 방안으로 메타소재의 도입을 검토할 수 있다. 메타소재는 인공적인 도체 패턴의 구성 요소를 유전체 기판 위에 주기적으로 배치하여
제작된 재료를 칭하는 것으로, 단위 셀의 크기가 물질 자체의 분자 크기보다는 훨씬 커서 거시적 맥스웰 방정식의 적용이 타당하고, 전자파의 파장보다는
크기가 매우 작아 유효매질이론의 적용이 가능한 mesoscopic 스케일의 구조를 일컫는다 [19,20]. 자기적 특성을 제어하는 split ring resonator (SRR)와 전기적 특성을 조절하는 strip dipole (SD)이 대표적으로
제안된 도체 패턴이다 [21-23]. 이러한 구조를 이용한 메타소재 흡수체는 ring resonator와 금속 선의 인덕턴스 (L) 및 커패시턴스 (C), 그리고 이들 간의 커플링에
의해 투자율, 유전율을 제어하는 원리에 근거한다 [24,25]. 따라서 기판 두께에 대한 제약이 적고 (박형화), 인공적인 구조 (단위 셀의 구조 및 크기) 조절에 의해 다중밴드 흡수 특성을 얻을 수 있는
장점이 있다.
본 연구에서는 메타소재를 이용하여 RF-ID의 전자파 간섭 대책용 전파흡수체를 설계하였다. 배면이 금속으로 단락된 유전체 기판 위에 그리드 패턴의
도체를 배열하여 0.8 GHz 대와 2.4 GHz 대의 이중 주파수 대역에서 –10 dB 이하의 반사손실을 보이며, 두께가 3-4 mm 수준인 박형의
전파흡수체를 제안하였다.
2. 시뮬레이션 모델
그림 1은 그리드 패턴의 메타소재 흡수체 (grid-pattern metamaterial absorbers: GPMA)의 단위 셀 구조도이다. GPMA는
그림 1(a)에서와 같이 배면이 도체로 단락된 유전체 기판 위에 그리드 형태의 도체 패치가 주기적으로 배열된 구조를 취한다. 단위 셀 및 그리드 도체의 크기는
그림 1(b)에서와 같이 주어진다. 단위 셀의 주기 (p = 95 ~ 100 mm), 도체의 길이 (l = 65 ~ 73 mm) 및 폭 (w1 = 8.8 ~ 9.0 mm, w2 = 4.5 ~ 5.0 mm), 그리고 도체의 두께(tm = 0.015 ~ 0.02 mm)를 변화시키면서 반사손실을 시뮬레이션하였다. 상용의 시뮬레이션 툴인 Ansoft 사의 HFSS 13.0을 사용하였다.
사용한 유전체 기판은 FR4로 복소유전율은 εr = 4.1 + j0.03으로 주어지고, 두께는 ts = 3.25 ~ 3.75 mm이다. 금속 도체는 구리 (전기전도도 = 5.8 × 107 S/m)이다.
3. 결과 및 고찰
3.1. 반사손실
RF-ID의 동작 주파수인 0.8 GHz 대와 2.4 GHz 대에서 모두 사용 가능한 GPMA의 최적 설계를 HFSS 시뮬레이션을 통하여 도출하였다.
단위 셀 및 그리드 도체의 크기를 표 1에서와 같이 변화시켰을 때, 치수 D (p = 100 mm, l = 73 mm, w1 = 9.0 mm, w2 = 4.5 mm, ts = 3.75 mm, tm = 0.015 mm)에서 가장 좋은 결과를 얻을 수 있었고, 그 결과를 그림 2에 나타내었다. f1= 0.88 GHz에서 –12 dB, f2 = 2.48 GHz에서 –15 dB의 반사손실을 보인다. 단위 셀의 크기를 p = 95mm로 줄였을 경우 (치수 A), 주파수 대역이 각각 f1 = 1.0 GHz, f2 = 2.78 GHz로 증가하여 목표 주파수 대역에서 벗어난다. 기판의 두께가 ts= 3.25 ~ 3.50 mm로 작은 경우 (치수 B, C), 반사손실이
약간 증가하여 최적 설계에서 벗어난다. 그리드 도체의 두께를 tm = 0.02 mm로 증가시켰을 경우에도 (치수 E), 반사손실이 증가하는 경향을 보인다.
상기 최적 설계치 (그림 2)는 GPMA 파라미터 각각에 대해 치수 변화에 따른 반사손실을 시뮬레이션 하여 얻어진 결과이다. 일례로 그림 3은 GPMA의 치수가 다음과 같이 주어지고 (p = 86.5 mm, l = 70 mm, tm = 0.02 mm, w1 = 4.4 mm, w2 = 8.8 mm), 유전체 기판의 두께를 ts = 2.75, 3.25, 3.75 mm로 변화시켰을 때, HFSS 상용 툴을 이용하여 시뮬레이션한 반사손실 그래프이다. 0.91 GHz 와 2.64
GHz에서 반사손실이 최소가 되는 이중밴드 흡수특성을 보인다. 유전층의 두께가 증가하면서 0.91 GHz에서는 반사손실 양이 점차 증가하였고, 2.64
GHz에서는 두께가 증가할수록 반사손실 양이 점차 감소하였다 (표 2 참조). 반사손실 –10 dB를 기준하였을 때, 유전체의 두께가 3.25 mm일 때 이 조건에 가장 만족하는 것을 확인할 수 있다. 다른 파라미터에
대해서도 이와 같은 최적화 시뮬레이션을 수행하였다.
3.2. 전류밀도 분포
그림 4는 최대 흡수 주파수 (0.88 GHz, 2.48 GHz)에서 그리드 도체와 배면 접지 도체에 유기된 전류밀도 분포를 보여준다. 첫째 피크가 나타나는
0.88 GHz에서는 그리드 도체의 중앙에서 전류가 강하게 흐르고 있고, 배면 접지면에서는 전면 그리드 도체 흐르는 전류의 방향과 반대 방향의 전류가
분포되어 외부 자계에 대한 자기 반응을 보인다. 따라서 0.88 GHz에서의 공진은 자기 공진이며, 공진주파수에서 Lorentz 형의 투자율 스펙트럼을
보인다. 따라서 그리드 도체−배면 접지 도체 쌍은 하나의 자기공진기로 취급될 수 있다(그림 4(a)). 둘째 흡수 피크가 나타나는 2.48 GHz에서는 그리드 도체의 상, 중, 하에서 서로 반대 방향의 전류가 흐르고 있다 (그림 4(b)). 배면의 접지면에서는 상, 중, 하 부분에서 그리드 도체와는 서로 반대 방향으로 전류가 흘러 외부 자계에 대한 자기공진 반응을 보인다. 따라서
2.48 GHz에서는 3개의 자기공진기가 존재한다고 볼 수 있다. 공진기의 크기가 대략 1/3로 줄기 때문에, 공진주파수는 약 3배로 증가한다. 금속
구조물에서 나타나는 1차 공진 모드와 3차 공진 모드를 이용한 이중 대역 전파흡수체에 대한 결과와 동일하다 [26-28].
3.3. 시편 제작 및 실측
GPMA의 전파흡수특성을 확인하기 위해 PCB 제조 공법에 의해 그리드 도체/FR4/배면 도체 판넬을 제작하고, 자유공간법에 의해 반사손실을 실측하였다.
시험시편 제작(외부 업체에 의뢰) 과정은 다음과 같다: (a) auto CAD에 의한 패턴 설계, (b) 레이저 프린터를 이용한 layout sheet
인쇄, (c) 필름 위에 패턴 layout 복사 및 현상, (d) positive photoresist로 도포된 PCB 박판 위에 필름을 정렬하고
자외선에 노광, (e) 부식성 소다 (NaOH) 용액 속에서 PCB 박판의 현상 및 세정, (e) 약 40 oC에서 10% 과산화 황산 암모늄을 사용하여
박판을 에칭하고 세정. 그림 5(a)는 측정 시편의 사진이다. 시편의 크기는 50 × 50 cm이고, 5 × 5 개의 단위 셀을 포함한다.
그림 5(b)는 전파암실 안에 구성된 측정 시스템을 보여준다. 두 개의 혼 안테나, 회로망 분석기 (Agilent E8364B), 그리고 측정 시편으로 구성된다.
완전 반사체인 구리판으로 보정한 다음, 측정 시편의 전력반사율을 측정하였다. 혼 안테나는 Schwarzbeck 사의 BBHA 9120E 모델로, 측정
주파수 대역은 0.5 GHz −6 GHz이고, 폭 = 424 mm, 높이 = 314 mm, 길이 = 820 mm의 치수를 가진다. 방사 패턴은 30°
기준, 1 GHz에서 –10 dB, 2.5 GHz에서 –20 dB의 높은 지향성을 보인다. 안테나의 방사 방향성에 따른 오차는 경사입사 측정에서 큰
문제가 없을 것으로 판단된다.
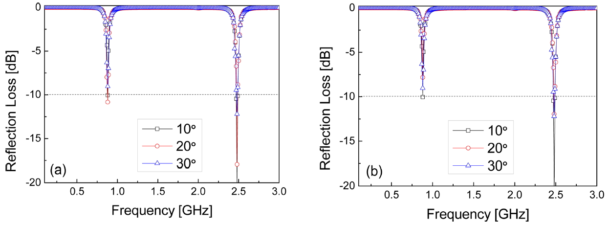
그림 6은 GPMA 판넬의 반사손실 측정결과이다. 입사각이 증가함에 따라 반사손실이 약간 증가하는 경향을 보이나, TE, TM 편파 모두에서 입사각 30°까지
f1 = 0.88 GHz에서 –10 dB 수준, f2 = 2.48 GHz에서 –12 dB의 이하의 반사손실을 보인다. 그림 2의 시뮬레이션 결과와 잘 일치함을 볼 수 있고, 경사입사 특성 또한 우수함을 보여준다.
메타소재의 공진특성에 의해 흡수 대역폭이 좁은 것이 본 설계의 단점이다. 대역폭을 확대할 수 있는 방안으로는 크기가 다른 그리드 패턴 도체의 다중공진을
이용하는 것을 고려할 수 있다. 이는 단위 셀 주기 또는 구성 도체의 적절한 크기 배합에 의해 흡수대역폭을 확장시킨 연구 사례에 근거한다 [29-31].
4. 결 론
RF-ID의 동작 주파수인 0.8 GHz 대와 2.4 GHz 대에서 모두 사용 가능한 그리드 패턴의 메타소재 흡수체를 HFSS 시뮬레이션을 통하여
도출하였다. 시뮬레이션 결과 0.88 GHz와 2.48 GHz 모두에서 –10 dB 이하의 반사손실을 얻을 수 있었다. 통상적인 PCB 제조 공법에
의해 그리드 도체/FR4/배면 도체 판넬을 제작하고, 자유공간법에 의해 반사손실을 실측한 결과, 시뮬레이션 결과와 잘 일치함을 확인하였다. TE 편파와
TM 편파 모두 약 30°까지의 경사입사에 대해서도 10 dB 수준의 흡수능을 유지하였다. 기존의 UHF 대역용 흡수체에 비해 박형화 및 경사입사
특성이 크게 개선된 결과이다. 본 논문의 결과는 grid pattern 메타소재만의 dual band 흡수성능이다. 이를 RFID 시스템 근처에 설치하였을
때 전자파 간섭 문제 해소 방안의 하나로 활용할 수 있다는 결과 제시이다. 실제 RFID 시스템, 또는 주변에 이를 적용했을 때 전자파 효과 측정은
시스템 차원에서 또 다른 연구를 요한다.
Acknowledgements
이 논문은 2019년도 정부(미래창조과학부)의 재원으로 한국연구재단의 지원을 받아 수행된 기초연구사업임 (과제번호: 2019R1H1A2101121).
REFERENCES
Rao K. V. S., 1999 Asia Pacific Microwave Conference,3, 746 (1999)

Ward M., Kranenburg R Van, Backhouse G., JISC Technology and Standards Watch,1-36,
(2006)

Lazaro A., Girbau D., Villarino R., Progress In Electromagnetics Research,98, 425
(2009)

Braaten B. D., Scheeler R. P., Reich M., Nelson R. M., Bauer-Reich C., Glower J.,
Owen G. J., ACES J,25, 529 (2010)

Okano Y., Ogino S., Ishikawa K., IEEE Trans. Microw. Theory Tech,60, 2456 (2012)

Araneo R., Lovat G., Celozzi S., Progress In Electromagnetics Research,143, 67 (2013)

Yoo Y. J., Zheng H. Y., Kim Y. J., Rhee J. Y., Kang J.-H., Kim K. W., Cheong H., Kim
Y. H., Lee Y. P., Appl. Phys. Lett,105, 041902 (2014)

Costa F., Genovesi S., Monorchio A., Manara G., IEEE Antenn. Wirel. Propag. Lett,13,
27 (2014)

Khuyen B. X., Tung B. S., Dung N. Van, Yoo Y. J., Kim Y. J., Kim W., Lam V. D., Yang
J. G., Lee Y. P., J. Appl. Phys,117, 243105 (2015)

Musal H. M., Hahn H. T., IEEE Trans. Magn,25, 3851 (1989)

Kim S.-S., Han D.-H., Jo S. B., IEEE Trans. Magn,30, 4554 (1994)

Maeda T., Sugimoto S., Kagotani T., Tezuka N., Inomata K., J. Magn. Magn. Mater,281,
195 (2004)

Kim S.-S., Kim S.-T., Yoon Y.-C., Lee K.-S., J. Appl. Phys,97, 10F905 (2005)

Cho H.-S., Kim S.-S., Korean J. Met. Mater,57, 741 (2019)

Li W., Wu T., Wang W., Zhai P., Guan J., J. Appl. Phys,116, 044110 (2014)

Song Z., Xie J., Zhou P., Wang X., Liu T., Deng L., J. Alloy. Compd,551, 677 (2013)

Liu Y., Feng Y., Wu X., Han X., J. Alloy. Compd,520, 441 (2009)

Shen X., Wang Y., Yang X., Lu L., Huang L., J. Mater. Sci. Mater. Elect,21, 630 (2010)

Padilla W. J., Basov D. N., Smith D. R., Mater. Today,9, 27 (2006)

Liu Y., Zhang X., Chem. Soc. Rev,40, 2494 (2011)

Pendry J. B., Holden A. J., Stewart W. J., Youngs I., Phy. Rev. Lett,76, 4773 (1996)

Pendry J. B., Holden A. J., Robbins D. J., Stewart W. J., IEEE Trans. Microw. Theory
Tech,47, 2075 (1999)

Smith D. R., Padilla W. J., Vier D. C., Nemat-Nasser S. C., Schultz S., Phy. Rev.
Lett,84, 4184 (2000)

Hu C., Li X., Feng Q., Chen X., Luo X., Opt. Express,18, 6598 (2010)

Huang R. F., Li Z. W., Kong L. B., Liu L., Matitsine S., Progress In Electromagnetics
Research B,14, 407 (2009)

Li H., Yuan L. H., Zhou B., Shen X. P., Cheng Q., J. Appl. Phys,110, 014909 (2011)

Tung N. T., Thuy V. T. T., Park J. W., Rhee J. Y., Lee Y., J. Appl. Phys,107, 023530
(2010)

Zou Y., Jiang L., Wen S., Shu W., Qing Y., Tang Z., Luo H., Fan D., Appl. Phys. Lett,93,
261115 (2008)

Wakatsuchi H., Greedy S., Christopoulos C., Paul J., Opt. Express,18, 22187 (2010)

Ghosh S., Bhattacharyya S., Kaiprath Y., Srivastva K. V., J. Appl. Phys,115, 104503
(2014)

Viet D. T., Hien N. T., Tuong P. V., Minh N. Q., Trang P. T., Le L. N., Lee Y. P.,
Lam V. D., Opt. Commun,322, 209 (2014)

Figures and Tables
Fig. 1.
Schematic description of (a) metamaterial absorber of grid conductor on grounded dielectric
substrate (FR4) and (b) unit cell geometry.
Fig. 2.
Simulation result of reflection loss for RF-ID metamaterial absorbers with a dimension
indicated by D in Table 1.
Fig. 3.
Simulation results of reflection loss for grid-pattern metamaterial absorber with
variation of substrate thickness.
Fig. 4.
Current density distribution at grid conductor and ground plane of GPMA absorbers
at the resonance frequencies: (a) 0.88 GHz and (b) 2.48 GHz.
Fig. 5.
(a) Test sample of GPMA (50 cm × 50 cm size) and (b) measurement system for reflection
loss in anechoic chamber, composed of horn antennas, network analyzer, and test sample.
Fig. 6.
Reflection loss measured by free space test for the GPMA absorber with an oblique
incidence angle of 10~30°: (a) TE and (b) TM polarization.
Table 1.
Optimized dimensions and reflection loss (RL) for grid-pattern metamaterial absorbers
for RF-ID application.
|
|
p (mm)
|
l (mm)
|
w1 (mm)
|
w2 (mm)
|
ts (mm)
|
tm (mm)
|
f1 (GHz)
|
RL at f1 (dB)
|
f2 (GHz)
|
RL at f2 (dB)
|
|
A
|
95
|
65
|
8.8
|
5.0
|
3.25
|
0.015
|
1.00
|
-16.661
|
2.78
|
-16.0323
|
|
B
|
100
|
73
|
9.0
|
4.5
|
3.25
|
0.015
|
0.89
|
-11.4577
|
2.51
|
-11.4109
|
|
C
|
100
|
73
|
9.0
|
4.5
|
3.50
|
0.015
|
0.88
|
-11.7029
|
2.49
|
-12.6572
|
|
D
|
100
|
73
|
9.0
|
4.5
|
3.75
|
0.015
|
0.88
|
-12.0366
|
2.48
|
-15.1958
|
|
E
|
100
|
73
|
9.0
|
4.5
|
3.75
|
0.02
|
0.88
|
-11.3293
|
2.49
|
-9.9150
|
Table 2.
Dual-band reflection loss for grid-pattern metamaterial absorber with variation of
substrate thickness.
|
Substrate thickness (mm)
|
f1 (GHz)
|
Reflection loss at f1 (dB)
|
f2 (GHz)
|
Reflection loss at f2 (dB)
|
|
2.75
|
0.92
|
-14.8522
|
2.64
|
-7.4392
|
|
3.25
|
0.91
|
-10.6912
|
2.64
|
-10.4524
|
|
3.75
|
0.91
|
-8.6644
|
2.63
|
-15.5285
|