장재철
(Jae-Cheol Jang)
1
신광선
(Kwang Seon Shin)
1*
-
서울대학교 재료공학부 신소재공동연구소
(Research Institute of Advanced Materials, School of Materials Science and Engineering,
Seoul National University, Seoul 08826, Republic of Korea)
Copyright © 2020 The Korean Institute of Metals and Materials
Key words
aluminum, high pressure die casting, thermal conductivity, thermodynamic calculation, alloy design
1. 서 론
알루미늄은 높은 비강도와 열전도도, 우수한 내식성을 가지고 있어 경량금속 중 가장 널리 사용되고 있다. 하지만 전통 소재인 철에 비해 강도와 주조성이
상대적으로 낮기 때문에 높은 기계적 특성과 열전도성이 요구되는 부품에는 그 사용이 제한적이다[1]. Al-Si 합금은 알루미늄 합금 중 비교적 우수한 강도와 주조성, 열전도도, 유동성 등을 가지고 있고 다이캐스팅 시 주조 결함이 적을 뿐만 아니라
Si 정출상의 우수한 기계적 성질과 열전도성에 의해 고강도와 고열전도성의 동시 구현이 가능하므로 이러한 특성이 요구되는 부품 제조에 주로 사용되고
있다[2,3]. 상용 Al-Si 합금에서 Si의 첨가량은 8 ~ 12wt% 범위 내에서 선정하는 것이 일반적이며, Si의 첨가 분율이 상용 합금 범위에 비해
낮은 경우 주조성 감소와 용탕 미충진에 따른 기공의 발생으로 열전도성이 감소한다. 상용 Al-Si 합금보다 높은 기계적 특성과 열전도성을 얻기 위해서는
첨가원소의 분율과 응고 시 정출되는 상이 기계적 특성에 미치는 영향에 대한 연구가 필요하다[4,5]. 그 결과 알루미늄합금의 열전도성 향상을 위한 저 Si 합금계에 대한 연구[6,7], Si상 접종에 대한 연구[8], 제3 및 4 합금원소의 영향에 대한 연구[9-13] 등 활발한 연구가 진행되어 왔다. 그러나 열역학적 계산을 통한 정출상의 분율 제어와 각 정출상의 물리적 특성 예측에 기반한 고강도 고열전도성 알루미늄합금
개발에 대한 연구는 아직 이루어진 바가 미미하다. 따라서 본 연구에서는 다이캐스팅용 Al-Si 합금에 대한 열역학적 계산 결과를 바탕으로 α-Al
상에 고용이 가능하여 고용강화 효과를 얻을 수 있는 합금원소인 Cu와 α-Al 상에 고용되지 않고 입계에 강화상을 생성하는 합금원소인 Ni을 선정하여
열역학 전산모사를 이용하여 상 분율을 제어한 합금을 설계하였으며, 고압 다이캐스팅 공정으로 합금 시편을 제조한 뒤 기계적 특성 및 열전도성을 평가하여
고강도와 고열전도성의 동시 구현이 가능한 합금을 개발하고자 하였다.
2. 실험 과정
본 연구에서는 Al-6.0at%Si 합금에 대한 Ni, Cu 첨가효과를 알아보기 위해 Ni과 Cu 첨가량을 달리 하여 합금을 설계하였으며, ICP
분석을 통해 확인한 합금의 화학적 조성을 표 1에 나타내었다. 합금의 온도별 정출거동과 최종상 계산하기 위해 열역학 전산모사(JMatPro v.10)를 활용하여 상 정출거동을 조사하고 정출상 분율과
합금의 물리적 특성을 예측하였다. 각 합금의 실측 물성을 확인하기 위해 모든 합금의 다이캐스팅 시편을 제조하여 예측 결과와 비교하였다. 각 합금은
700 °C의 온도에서 용해한 뒤 그림 1에 나타낸 125톤 규격의 다이캐스팅 장비(BD-125V5 EX, TOYO)를 이용하여 고압 다이캐스팅(HPDC)공정을 통해 그림 2와 같은 ASTM-E8 규격의 시편을 제조하였다. 다이캐스팅 시편 제조 시의 금형 예열 온도는 200 °C, 슬리브 내부 직경은 40 mm, 플런저
속도는 저속 구간에서 0.2 m/s, 고속 구간 2.0 m/s이며, 해당 다이캐스팅 공정을 통해 인장 시편을 제조하였다. 인장시편의 중심부를 절단한
후 광학현미경을 이용하여 미세조직과 주조 결함을 관찰하였으며, 다이캐스팅 시편의 기계적 특성을 평가하기 위해 만능재료시험기(Instron 5584,
Instron)를 이용하여 ASTM E8 규격에 따라 2 × 10-4s-1의 초기변형률 속도로 인장시험을 행하였다. 열확산도의 측정은 각 합금 다이캐스팅 시편의 비스켓 부분을 직경 17.5 mm, 두께 2.0 mm의 디스크
형태로 전기방전가공한 뒤 열확산도 측정기(LFA-447, NETZSCH)에 장입 후 측정한 상온에서의 열확산도 값을 바탕으로 열전도도를 산출하였다.
3. 결 과
3.1. 상 정출거동 및 물리적 특성 예측
본 연구에서는 열역학 전산모사 프로그램을 이용하여 각 합금에 대한 상 정출거동을 예측하였으며, 상 정출거동 예측 결과를 그림 3에 나타내었다. Al-6.0Si 합금에 Ni을 1.0~3.0 at% 첨가한 SN61 ~ SN63 합금의 상 정출거동(그림 3(a)~(c))을 보면, 초정 α-Al 상 정출 이후 Al9M2 상과 Al3Ni 상이 차례로 정출되며 최종 정출상은 Si였다. Ni 첨가 분율이 증가함에 따라 Al3Ni 상의 분율이 약 1% 부터 3%까지 Ni의 첨가량에 비례하여 증가할 것으로 예상되며 Al9M2상과 Al3Ni 상의 정출 시작 온도는 Ni 첨가분율에 따라 공정온도인 555.49 °C부터 α-Al 상 정출온도인 609 °C까지 증가할 것으로 보인다. Ni은
α-Al 상에 대한 고용한이 극히 제한적이므로 Ni 첨가량에 따른 α-Al 상의 정출 온도는 변화가 없을 것으로 예상된다. Al9M2 상은 Al에 Ni과 Fe이 4.5:1로 결합하며 β-AlFeSi 상의 생성을 억제하는 화합물로, 본 합금계의 조성 범위에서는 정출 분율이 2% 수준이었다.
SN61~63 합금에 Cu를 1.0, 1.5, 2.0 at% 첨가한 SNC6110~6320 합금의 상 정출거동을 전체적으로 비교하면, Cu 첨가 분율이
증가함에 따라 공통적으로 Al3Ni 상 분율이 감소하고 Al3Ni2 상의 분율이 증가할 것으로 예상되었으며, Cu 첨가 분율이 Ni의 첨가 분율을 초과한 경우에는 Al7Cu4Ni, Al2Cu의 상으로 정출될 것으로 예상되었다. 고온 안정상인 Al3Ni2 상은 Ni과 결합하는 Al의 원자비가 Al3Ni 상에 비해 적기 때문에 상대적으로 많은 α-Al 상의 정출이 가능하므로 열전도성의 개선에 효과가 있을 것으로 예상된다. Al-4.5%Cu-2.0Ni
합금에 대한 응고 경로에 관한 Flemings와 Mehrabian의 연구에 따르면[14], Ni과 Cu의 분율에 의해 Al-rich 구역에서 고온 안정상인 Al3Ni2 상의 정출이 가능하며, 최종 응고구간에서 Al/Al2Cu/Al7Cu4Ni 공정 조성이 생성을 언급한 내용과 잘 일치한다. 또한 Al-Ni-Cu 열역학 계산을 통한 상태도 작성에 대해 조사한 Alan Prince의 연구
결과에서도 이와 같은 금속간화합물의 정출이 가능함을 보고한바 있다[15].
본 연구에서는 본 합금계에서 생성될 것으로 예측된 정출상의 물리적 특성을 JMatPro Software를 사용하여 예측하였으며, 이를 표 2에 나타내었다. 본 물리적 특성은 식 1에 나타낸 것과 같이 JMatPro의 물리적 성질 예측 알고리즘을 이용해 산출한 결과로, 열역학 계산을 통해 예측되는 상 분율과 JMatPro 비공개
데이터베이스에 등록된 실험적 반응계수를 토대로 첨가원소의 종류와 분율에 따른 상의 특성을 혼합법칙을 통해 예측하는 방법이다.
여기서 P=합금의 물리적 특성, Pi=순기지금속의 물리적 특성, xi, j=몰 분율, Ωi j=합금상의 반응계수(binary interaction parameter)이다.
표 2에서 기지상인 α-Al 상의 열전도도는 164.10 ~ 201.71W/mK 가량이며 이는 합금원소의 고용 정도에 따라 차이를 보일 것으로 예상된다.
2차 상의 경우 Si 상이 155.10 W/mK, Al3Ni 상이 55.81W/mK, Al3Ni2 상이 61.82 W/mK, Al9M2 상이 59.01 W/mK, β-AlFeSi 상이 52.95 W/mK, Al7Cu4Ni 상이 70.62 W/mK, Al7Cu2M 상이 66.28W/mK, Al2Cu 상이 73.61W/mK로, Si 상이 높은 열전도 특성을 가지며 그 외 정출상은 금속간 화합물의 고유한 특성에 의해 α-Al 상이나 Si 상에
비해 비교적 낮은 열전도성을 나타낼 것으로 예측되었다. Mathiesson에 따르면, 결정 금속은 원자핵의 열적 진동에 의한 격자 진동이 결정을 왜곡시켜
자유전자의 이동을 방해하는 것과 격자의 공공, 불순물, 입계나 전위 등에 의해 자유전자의 평균자유행로가 감소하여 금속의 전기저항이 증가한다고 하였으며,
널리 알려진 Wiedermann-Franz 법칙에 의하면 일반적인 금속의 전기전도도는 열전도도와 반비례하는 특성을 갖는다[16]. 또한 고용한 이내의 합금원소 첨가에 따른 열전도도 변화에 대한 연구[17-18]와 열처리에 의한 석출물 생성과 기지조직의 고용원소 분율 감소에 따른 연구들이 보고된 바 있다[19]. 본 연구에서도 초정 α-Al 상의 열전도도는 기존 보고된 바와 같이 기지조직에 고용되는 Cu 분율이 증가함에 따라 201.71 W/mK부터 164.10
W/mK까지 큰 차이를 보일 것으로 예상되었다.
표 2에서 합금의 기계적 특성에 큰 영향을 미치는 탄성계수를 정출상의 종류별로 살펴보면, Al3Ni 상이 252.7 0GPa로 가장 높았고 Al3Ni2(265.40 GPa), Al7Cu4Ni(245.97 GPa), Al7Cu2M(238.40GPa), Al9M2(229.29GPa), Al2Cu(208.96GPa), β-AlFeSi(195.15 GPa) 순이었으며 Si가 162.00 GPa로 강화상 중에서는 가장 낮았다. 이는 열역학
전산모사를 통해 합금 조성을 설계하여 높은 탄성계수를 갖는 AlaXb 정수비 화합물의 분율을 제어할 경우 우수한 기계적 특성을 갖는 합금의 제조가 가능함을 의미한다. 본 연구에서는 종래의 Si에 비해 우수한 탄성계수를
갖는 Al3Ni2, Al2Cu, Al3Ni 상을 정출시킴으로써 더욱 우수한 기계적 특성을 갖는 합금의 설계와 제조가 가능하였다. 이와 같은 고탄성계수 화합물은 식 2와 같이 강화재에 의한 강화기구와 동일한 강화효과를 가지므로 각 상의 물리적 특성과 분율을 이용하여 합금의 물리적 특성 예측이 가능하다.
본 연구에서의 정출상의 종류가 4개로 단순한 SN61 합금과 8개로 복잡한 SNC6115 합금에 대해 이론적 계산 결과와 실측 인장 시험 결과를 비교하였다.
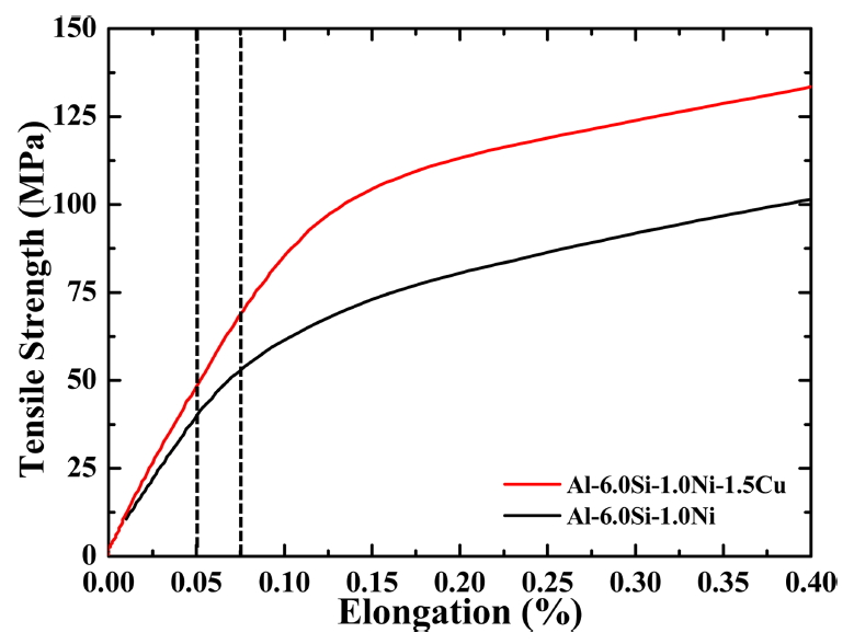
그림 4는 SN61 합금과 SNC6115 합금 다이캐스트재의 초기 인장 곡선으로, 두 합금 모두 탄성 구간에 해당하는 e = 0.49% 지점과 두 합금이
다른 변형거동을 보이는 e = 0.74% 지점의 응력을 구하고 이를 이론적 계산 값과 비교하여 표 3에 나타내었다. 두 합금이 모두 탄성변형을 하는 e = 0.49 지점에서의 각 상별 예측 값을 합금 별로 더했을 때 SN61 합금의 이론적 응력은
39.916 MPa, SNC6115 합금은 41.555 MPa로 각각의 실측 응력인 40.564 MPa, 42.168 MPa와 유사하였다. 두 합금이
다른 변형거동을 보이는 e = 0.74에서의 기계적 특성 예측 결과와 실측 결과를 살펴보면, SN61 합금은 소성 변형 구간에 해당하므로 이론적 실측값과
7.5MPa의 큰 차이를 보였으며 SNC6115 합금은 탄성 변형에 해당하므로 이론적 예측 값과 1.5 MPa가량의 근소한 차이를 보였다. 본 결과는
특정 합금 상의 물리적 특성을 알고 있을 경우, 상의 종류와 분율을 제어하여 합금의 강화 효과를 조절할 수 있음을 의미한다.
3.2. 미세조직 관찰
SN61~SNC6320 합금에 대한 미세조직 관찰 결과를 그림 5에 나타내었다. 우선 Ni의 첨가 효과에 대해 살펴보면 Ni 첨가 분율이 증가함에 따라 Al9M2 상과 Al3Ni 상의 분율이 증가하며, Ni을 3.0 at% 첨가한 경우에는 과공정 조성에서 나타나는 Al3Ni 상이 정출되는 것을 확인하였다. SN61 합금에 Cu를 첨가한 경우, 입계에서 Al/Al9M2, Al/Al3Ni2, Al/Al2Cu 공정조직이 혼재하여 발달하였으며 공정조직의 분율이 증가하였다. 그러나 Ni 첨가 분율이 2.0 at% 이상인 SN62와 SN63 합금에서는 Cu
첨가 시에도 Al2Cu와 같은 Al-Cu 화합물은 관찰되지 않았으며 입계에는 흑색의 Al/Al3Ni 공정조직(화살표로 표시)이 관찰되었다. 본 연구의 모든 합금에 대한 미세조직 관찰 결과는 열역학 전산모사를 통한 상 정출거동 예측 결과와 같이
최종 응고지점에서 다양한 종류의 공정조직이 관찰되었다.
3.3 결함 분석
우선 본 합금에서 관찰한 결함의 종류를 그림 6에 나타내었다. 그림 6(a)의 1과 2는 모두 수축에 의한 결함으로, 1은 완전한 수축공, 2는 수축과 내부가스가 동시에 발생한 형태의 결함이다. 그림 6(b)를 보면, 돌출된 수지상 사이로 공정조직의 성장이 중단된 모습을 보이는데 이를 통해 수축공이 발생하는 근본적인 원인은 최종 응고 과정에서 잔류 액상이
공정조직을 생성하며 생기는 체적 감소에 의해 수축이 발생하는 것임을 알 수 있다. 이러한 수축공은 가스와는 무관한 결함으로, 수지상의 성장 이후 발생하는
결함이므로 수지상은 원형 그대로를 유지하여 비교적 가늘고 복잡한 형상의 결함이 된다. 2번의 경우에도 마찬가지로 수축에 의한 결함이지만 응고 중 액상으로부터
방출되어 생성되는 가스가 수지상 사이의 Cell 내부에 갇힌 상태로 응고가 진행되면 가스 분압에 의해 수지상이 더 이상 성장하지 못하므로 단면을 관찰할
때 일반적인 가스공과 같은 구형 결함으로 존재하게 된다.
다이캐스팅을 통해 제조한 합금 인장시편의 절단면을 관찰한 결함 분석 결과를 그림 7과 표 4에 나타내었다. 그림 7을 보면 기공은 응고가 최종적으로 완료되는 중심부 지점에 주로 분포하였고 분포나 크기는 합금의 정출상 분율과 응고거동에 따라 차이를 보였다. 특히
Cu를 1.0 at% 첨가한 SNC6110, SNC6210, SNC6310 합금의 경우 비교적 조대한 기공이 관찰되었는데 이는 Ravi가 보고한 바와
같이 합금원소를 소량 첨가한 경우 또는 합금의 조성이 공정조성에서 멀어지는 경우 주조성이 크게 저하되는 현상인 것으로 생각된다[20]. 표 4에 이미지 분석장치를 이용하여 모든 합금의 전 면적에 대한 기공율, 기공의 최장·최단길이를 측정하였다. 이는 그림 7에서 확인한 바와 같이 기공은 다양한 형태와 발생 원인에 의해 여러 종류의 기공이 발생하므로 기공의 분율을 종류와 무관하게 정량화했을 때 정확히 합금
성분에 따른 경향을 보이지 않을 수 있다. 상용합금과의 비교를 위해 조사한 ADC12 합금의 경우에는 형상비 1.6 ~ 1.7 정도의 비교적 작고
균일한 크기의 기공이 넓은 범위에 분포하였고 기공율은 0.88%였다. 본 합금의 경우에는 모든 조성에서 기공율은 0.18 ~ 0.99% 였으며 Ni를
단독으로 첨가하였을 때보다 Cu를 함께 첨가하였을 때 기공율이 더 크게 감소하였다. 이는 Cu를 첨가한 경우 Al3Ni나 Al9M2 상의 공정온도보다 낮은 온도를 갖는 Al2Cu 상과 Al7Cu4Ni 상이 Al-Ni 화합물의 응고 단계에서도 여전히 액상으로 존재하며 발생하는 수축을 완화하기 때문으로 생각된다. 합금 단면의 전 범위에 대한 기공
형상 분석 결과, 기공의 길이가 긴 방향과 짧은 방향의 형상비인 Aspect Ratio는 SN61계 합금과 SN62계 합금에서 1.7 ~ 2.0 수준의
값을 보였지만 SN63계 합금에서는 1.6 ~ 1.7 수준으로 감소하였다. 이는 Anson이 보고한 Clusters(Shrinkage) 기공과 Nonclusters(Gas)
기공의 평균 형상비는 수축공이 1.84, 가스공이 1.67의 결과와 유사하였다. 평균 형상비의 감소는 결정립 미세화에 의해 기공 주위의 결정립 길이가
감소하기 때문으로 생각되며, 결함의 비표면적을 줄이기 위해서는 결정립이 구형에 가까운 것이 유리하고 결정립 미세화를 통해 불가피하게 생성되는 기공의
Aspect Ratio를 줄일 수 있을 것으로 생각된다. 본 합금들은 우수한 주조성을 갖는 ADC12 합금과 유사하거나 또는 우수한 수준의 주조성을
나타내는 것을 알 수 있다.
3.4. 기계적 특성 평가
Al-6.0Si-1.0 ~ 3.0Ni-1.0 ~ 2.0Cu 합금의 기계적 특성을 평가하기 위하여 인장시험을 수행하였으며 그 결과를 그림 8의 (a) ~ (c)와 표 5에 나타내었다. 각 합금에서 Cu 첨가분율을 0 ~ 2.0까지 달리하였을 때, SN61계 합금(Al-6.0Si-1.0Ni)의 경우(그림 8(a)) 항복강도는 약 5 MPa, 인장강도는 30 MPa 증가하고 연신율은 4% 감소하였으며, SN62 합금(Al-6.0Si-2.0Ni)의 경우 항복강도는
약 10 MPa, 인장강도는 40 MPa 증가하고 연신율은 2% 감소하였으며, SN63 합금의 경우(Al-6.0Si-3.0Ni)의 경우 항복강도는
약 15 MPa, 인장강도는 43 MPa 증가하고 연신율은 1% 가량 감소하였다. 표 5에 나타낸 바와 같이, SNC6315, SNC6320 합금은 낮은 주조성을 갖는 Si 조성 범위에서도 다양한 강화상과 고용강화 효과에 의해 상용 합금인
ADC12 합금과 유사한 수준의 기계적 특성을 보였다. 본 연구에서의 모든 합금은 공통적으로 Ni과 Cu의 첨가 분율이 증가함에 따라 인장강도는 증가하며
연신율은 감소하는 경향을 보였다. 이는 Ni첨가 시 Al3Ni, Al3Ni2와 같은 고탄성계수 강화상의 생성에 의한 입자강화효과와 α-Al 상에 고용된 Cu에 의해 왜곡된 격자가 전위의 이동에 필요한 전단응력을 증가시키는
고용강화효과에 의한 것으로 생각된다. 여기서 주목할 점은 Ni과 Cu의 분율에 따른 인장강도와 연신율의 변화이며 이를 그림 9에 나타내었다. Al-6.0Si-1.0 ~ 3.0Ni 합금에서 Ni과 Cu 첨가 분율이 증가함에 따라 공통적으로 연신율은 감소하며 인장강도가 증가하는
경향을 보였다. 이는 변형에 취약하나 높은 탄성계수를 갖는 AlaXb 금속간 화합물의 분율이 증가하기 때문으로 생각된다. 인장 강도는 Cu첨가 분율이 Ni의 첨가 분율을 초과하는 경우 오히려 감소하는 것을 확인하였다.
이는 앞서 열역학 전산모사 결과에서 나타낸 바와 같이 취약한 Al7Cu4Ni, Al7Cu2M, Al2Cu 상이 최종응고단계에서 입계에 집중되어 공정상으로 정출된 결과로 생각된다(그림 10 참조). 그러나 Ni 첨가 분율이 3.0 at%인 SN63 합금에서는 2.0 at%의 Cu 첨가 시에는 공정상이 연신율 감소에 미치는 영향이 크지
않은 결과 강화상 정출에 의한 강화효과를 얻을 수 있었다. 따라서 본 합금에서와 같은 비열처리형 합금에서 정출상을 이용하여 강화효과를 얻고자 할 경우에는
강화상의 분포와 분율을 반드시 고려하여야 할 것으로 생각된다.
3.5. 열전도도 분석
그림 11은 전산모사를 이용해 계산한 열전도도와 Laser Flash Analysis법을 이용하여 실측한 다이캐스재의 열전도도를 비교한 결과이다. 열전도도의
예측은 기계적 특성과 동일한 방식으로 각 상의 상온 열전도도 예측 값을 합금별로 혼합법칙을 이용해 전체 체적에 대한 예측 값을 계산한 것이다. 합금의
열전도도 계산 값은 합금원소가 첨가분율이 증가함에 따라 고용되는 합금원소의 분율 증가, 가장 높은 열전도도를 갖는 α-Al 상의 분율 감소에 의해
열전도도가 감소하는 경향을 보였다. 실측한 열전도도를 계산 결과와 비교해 보면, 고용 합금원소 Cu의 첨가량이 없거나 상대적으로 적은 합금에서 차이가
컸고 Cu 첨가 분율이 증가함에 따라 계산 값과 실측값의 차이가 감소하였다. 이는 합금원소를 소량 첨가한 경우 낮은 주조성에 의해 기공율이 증가한
결과이며 기공율과 합금원소 Ni의 첨가 분율이 1.0 at%에서 3.0 at%로 증가할수록 실측 결과와 계산 결과의 차이가 감소하였는데 이는 결함
분석에서 확인한 바와 같이 결함의 평균 aspect ratio가 감소하여 결함의 비표면적이 감소한 결과 열에너지를 전달하는 자유전자의 이동 가능 경로가
증가하였기 때문으로 생각된다. 본 연구에서 합금들의 열전도도는 100 ~ 140 W/mK 수준으로, 대표적 상용 고강도 고열전도성 합금인 ADC12
합금의 96W/mK에 비해 우수한 결과를 얻었다.
4. 결 론
합금원소 Ni, Cu을 첨가한 다이캐스팅용 Al-6.0Si계 합금의 기계적 특성 및 열전도성 평가를 통해 다음과 같은 결론을 얻었다.
열역학 전산모사 결과 합금 원소 Ni과 Cu 첨가 분율을 달리 함에 따른 다양한 정출상의 종류와 분율 및 물리적특성을 예측하였으며 미세조직 관찰을
통해 정출상의 정출 온도와 위치의 영향을 확인하였다. 기계적 특성은 입계에 정출되는 강화상의 분율과 α-Al 상에 고용된 합금원소의 분율에 의해 결정되었으며,
합금원소의 첨가량이 증가함에 따라 강화상의 분율이 증가하여 인장강도는 증가하는 경향을 보였다. 열전도도는 기지조직에 고용된 합금원소의 분율 뿐만 아니라
결함의 분율과 형상비에 관계가 있으므로 결함을 줄이고 그 형상을 제어하기 위한 합금 설계가 요구되며, 본 연구에서 나타낸 바와 같이 합금 첨가원소를
통해 결정립을 미세화 할 경우 열전도성을 높이는 데 효과가 있는 것으로 판단된다.
Acknowledgements
본 연구는 중소기업청의 월드클래스 300 R&D 기술지원과제(S2404600)와 서울대학교 신소재공동연구소의 지원(0417-20170037)을 통해
수행되었고 JMatPro 활용에 도움을 주신 ㈜솔루션랩에 감사드립니다.
REFERENCES
Alan DeRoss, B., Aluminum Casting Technology,31American Foundry men’s Society (1986)

Warmuzek M., Aluminum-Silicon Casting Alloys: Atlas of Microfractographs,1ASM International
(2004)

Shabestari S., Moemeni H., J. Mater. Process. Technol,153, 193 (2004)

Rooy E. L., Metals Handbook,15, 743ASM International (1988)

Mondolfo L. F., Aluminum Alloys: Structure and Properties,759Butterworths (2013)

Cho Y. H., Kim H. W., Kim W., Jo D. A., Lee J. M., Mater. Today: Proceedings,2, 4924
(2015)

Kim C. W., Kim Y. C., Kim J. H., Cho J. I., Oh M. S., Korean J. Met. Mater,56, 805
(2018)

Zamani M. R., Licentiate Thesis,37Jönköping University (2015)

Caceres C. H., Svensson I. L., Taylor J. A., Int. J. Cast. Metal Res,15, 531 (2003)

Muzaffer Z., J. Mater. Process. Technol,169, 292 (2005)

Okayasu M., Yoshie S., Mater. Sci. Eng. A,527, 3120 (2010)

Park M. K., Cho J. I., Lee S. H., Kim C. W., J. Kor. Foundry Soc,36, 147 (2016)

Hekimoğlu A. P., Çalış M., Ayata G., Met. Mater. Int,25, 1488 (2019)

Flemings M. C., Mehrabian R., Solidification American Society of Metals,Metal Park
(1971)

Prince A., Kumar K. C. H., Ternary Alloy Systems: Phase Diagrams, Crystallographic
and Thermodynamic Data·Critically Evaluated by MSIT(R)*Light Metal Systems(Part 2:Al-Cu-Ni(Aluminum-Copper-Nickel),104MSI
Publishing (2005)

Wert C. A., Thomson R. M., Physics of Solids,233McGraw-Hill Book Co. (1970)

Wang T., Chi H., Zheng M., Li Z., Uher C., Acta Mater,80, 288 (2014)

Fickett F. R., Cryogenics,11, 349 (1971)

Vandersluis E., Lombardi A., Ravindran C., Bois-Brochu A., Chiesa F., Mackay R., Mater.
Sci. Eng. A,648, 401 (2015)

Ravi K. R., Pillai R. M., Amaranthan K. R., Pai B. C., J. Alloy. Compd,456, 201 (2008)

Figures and Tables
Fig. 1.
High pressure die-casting machine(top), As-casted specimen (bottom)
Fig. 2.
Schemetic diagram of subsized ASTM E8 tensile specimen.
Fig. 3.
Solidification behavior of SN61~SNC6320 alloys.
Fig. 4.
Experimental tensile curves of SN61 and SNC6115 alloys.
Fig. 5.
Micrographs of SN61~SNC6320 alloys.
Fig. 6.
SEM micrographs of different shrinkage pores.
Fig. 7.
Photos of cross-sectional plane for tensile test specimen.
Fig. 8.
Tensile properties of SN61~SNC6320 alloys.
Fig. 9.
Change in Tensile Strength of SN61~63 Alloys with 1.0 ~ 2.0 at% Cu Addition.
Fig. 10.
Change in microstructures of SNC6120 and SNC6220 alloys with different Ni:Cu ratio.
Fig. 11.
Comparison of thermal conductivity expectation and measured value.
Table 1.
Chemical compositions of SN61~SNC6320 alloys [at%(wt%)]
|
|
Si
|
Ni
|
Cu
|
Fe
|
Al
|
|
SN61
|
6.04 (6.20)
|
1.03 (2.20)
|
0.01 (0.02)
|
0.06 (0.12)
|
bal.
|
|
SNC6110
|
6.01 (6.17)
|
1.02 (2.19)
|
1.14 (2.65)
|
0.05 (0.11)
|
|
SNC6115
|
5.88 (6.03)
|
0.92 (1.97)
|
1.54 (3.57)
|
0.09 (0.18)
|
|
SNC6120
|
5.62 (5.77)
|
0.97 (2.07)
|
2.04 (4.73)
|
0.10 (0.21)
|
|
SN62
|
5.96 (6.12)
|
1.90 (4.08)
|
0.01 (0.02)
|
0.06 (0.12)
|
|
SNC6210
|
5.63 (5.78)
|
1.81 (3.88)
|
1.04 (2.42)
|
0.06 (0.12)
|
|
SNC6215
|
5.72 (5.87)
|
1.85 (3.96)
|
1.49 (3.46)
|
0.08 (0.16)
|
|
SNC6220
|
5.67 (5.82)
|
1.79 (3.83)
|
1.94 (4.51)
|
0.08 (0.16)
|
|
SN63
|
5.82 (5.97)
|
2.81 (6.02)
|
0.00 (0.01)
|
0.09 (0.19)
|
|
SNC6310
|
5.87 (6.02)
|
2.81 (6.02)
|
0.99 (2.30)
|
0.10 (0.21)
|
|
SNC6315
|
5.68 (5.83)
|
2.77 (5.94)
|
1.47 (3.41)
|
0.06 (0.12)
|
|
SNC6320
|
5.67 (5.82)
|
2.76 (5.92)
|
1.96 (4.54)
|
0.06 (0.13)
|
Table 2.
Physical properties of each phase in SN61~SNC6320 alloys.
|
Physical Properties
|
Phases
|
|
α-Al
|
Si
|
Al3Ni
|
Al3Ni2 |
Al9M2 |
β-AlFeSi
|
Al7Cu4Ni
|
Al7Cu2M
|
Al2Cu
|
|
Density(g/cm3)
|
2.70
|
2.33
|
3.92
|
4.66
|
3.55
|
3.55
|
4.83
|
4.14
|
4.20
|
|
Thermal Conductivity (W/m*K), @RT
|
164.1~201.71
|
155.10~155.15
|
55.81
|
61.82
|
59.01
|
52.95
|
70.62
|
66.28
|
73.61
|
|
Elastic Modulus (GPa)
|
66.18~66.58
|
162.00
|
252.70
|
265.40
|
229.29
|
195.15
|
245.97
|
238.40
|
208.96
|
|
Bulk Modulus (GPa)
|
69.08~69.22
|
96.43~96.44
|
131.60
|
138.20
|
119.42
|
101.64
|
128.11
|
125.58
|
108.80
|
Table 3.
Comparison of physical predictions and experimental results for elastic properties.
|
Phases
|
Young’s Modulus (A)
|
Mole Fraction (B)
|
(A*B)
|
e=0.49
|
e=0.74
|
|
Cal.
|
Exp.
|
Cal.
|
Exp.
|
|
Al-6.0Si-1.0Ni
|
|
Al
|
66.363
|
0.900
|
59.746
|
29.873
|
|
44.810
|
|
|
Si
|
162.019
|
0.051
|
8.247
|
4.123
|
|
6.185
|
(Plastic Region) ↓
|
|
Al9M2 |
229.246
|
0.020
|
4.585
|
2.293
|
|
3.439
|
|
Al3Ni
|
252.722
|
0.029
|
7.253
|
3.627
|
|
5.440
|
|
Total
|
39.916
|
40.564
|
59.873
|
52.366
|
|
Al-6.0Si-1.0Ni-1.5Cu
|
|
Al
|
66.684
|
0.885
|
59.015
|
29.508
|
|
43.671
|
|
|
Si
|
162.019
|
0.051
|
8.263
|
4.131
|
|
6.115
|
|
|
Al9M2 |
229.334
|
0.018
|
4.128
|
2.064
|
|
3.055
|
|
|
Al3Ni2 |
264.707
|
0.033
|
8.735
|
4.368
|
|
6.464
|
|
|
β-AlFeSi
|
195.140
|
4.878x10-4 |
0.095
|
0.048
|
|
0.070
|
|
|
Al7Cu4Ni
|
245.970
|
4.459x10-4 |
1.097
|
0.548
|
|
0.812
|
(Elastic Region) ↓
|
|
Al7Cu2M
|
238.401
|
4.380x10-4 |
0.104
|
0.052
|
|
0.077
|
|
Al2Cu
|
209.045
|
0.008
|
1.672
|
0.836
|
|
1.238
|
|
Total
|
41.555
|
42.168
|
61.502
|
59.976
|
Table 4.
Porosity and aspect ratio of pores.
|
Alloys
|
Porosity (%)
|
Aspect Ratio
|
|
ADC12
|
0.88
|
1.68
|
|
SN61
|
0.83
|
1.72
|
|
SNC6110
|
0.66
|
1.82
|
|
SNC6115
|
0.45
|
1.97
|
|
SNC6120
|
0.18
|
1.77
|
|
SN62
|
0.56
|
1.85
|
|
SNC6210
|
0.70
|
1.78
|
|
SNC6215
|
0.40
|
1.85
|
|
SNC6220
|
0.56
|
1.67
|
|
SN63
|
0.65
|
1.67
|
|
SNC6310
|
0.99
|
1.70
|
|
SNC6315
|
0.19
|
1.62
|
|
SNC6320
|
0.46
|
1.66
|
Table 5.
Tensile Properties of SN61~SNC6320 Alloys.
|
Alloys
|
Yield Strength (MPa)
|
Ultimate Tensile Strength (MPa)
|
Elongation (%)
|
|
ADC12
|
150
|
310
|
3.5
|
|
SN61
|
148.28
|
250.82
|
5.44
|
|
SNC6110
|
146.04
|
275.90
|
3.82
|
|
SNC6115
|
143.26
|
283.88
|
2.96
|
|
SNC6120
|
155.16
|
275.32
|
1.70
|
|
SN62
|
151.50
|
261.54
|
3.79
|
|
SNC6210
|
152.82
|
303.48
|
4.03
|
|
SNC6215
|
155.16
|
303.12
|
2.44
|
|
SNC6220
|
160.80
|
294.88
|
1.84
|
|
SN63
|
157.47
|
274.42
|
2.60
|
|
SNC6310
|
157.63
|
301.23
|
2.00
|
|
SNC6315
|
164.30
|
304.64
|
1.78
|
|
SNC6320
|
173.98
|
317.26
|
1.78
|