The Journal of
the Korean Journal of Metals and Materials

The Journal of
the Korean Journal of Metals and Materials

Monthly
  • pISSN : 1738-8228
  • eISSN : 2288-8241

Editorial Office


  1. ํ•œ๊ตญ์›์ž๋ ฅ์—ฐ๊ตฌ์›์›์ž๋ ฅ์žฌ๋ฃŒ์•ˆ์ „์—ฐ๊ตฌ๋ถ€ (Materials Safety Technology Development Division, Korea Atomic Energy Research Institute, Daejeon 34057, Republic of Korea)



Zr-2.5%Nb alloy, annealing, recrystallization, ฮฒ phase decomposition, texture variation

1. ์„œ ๋ก 

์ค‘์ˆ˜๋กœํ˜• ์›์ž๋กœ ์••๋ ฅ๊ด€์€ ๊ณ ์˜จ ๊ฐ•๋„, ์ข‹์€ ๋‚ด์‹์„ฑ, ๋‚ฎ์€ ์ค‘์„ฑ์ž ํก์ˆ˜ ๋‹จ๋ฉด์ ์˜ ํŠน์„ฑ์„ ๊ฐ€์ง„ Zr-2.5%Nb ํ•ฉ๊ธˆ์œผ๋กœ ์ œ์กฐ๋œ๋‹ค [1]. Zr-2.5%Nb ํ•ฉ๊ธˆ ์••๋ ฅ๊ด€์€ ฮฑ+ฮฒ ์˜์—ญ์ธ 817 ยฐC์—์„œ ๊ณ ์˜จ ์••์ถœ(hot extrusion)๋˜๊ณ  25% ์ •๋„ ๋ƒ‰๊ฐ„ ์ธ๋ฐœ๋œ๋‹ค. ๋ƒ‰๊ฐ„ ๊ฐ€๊ณต ํšจ๊ณผ๋ฅผ ์ œ๊ฑฐํ•˜๊ธฐ ์œ„ํ•˜์—ฌ 400 ยฐC์˜ ์ฆ๊ธฐ์—์„œ 24์‹œ๊ฐ„ ์‘๋ ฅ ์ œ๊ฑฐ ์ฒ˜๋ฆฌ ๋œ๋‹ค [2,3].

์ค‘์ˆ˜๋กœ ์••๋ ฅ๊ด€์€ ํ•ต์—ฐ๋ฃŒ๋ฅผ ๊ฐ์‹ธ๊ณ  ํ๋ฅด๋Š” ๋ƒ‰๊ฐ์ˆ˜์˜ ์œ ๋กœ๋ฅผ ํ˜•์„ฑํ•˜๋ฏ€๋กœ ํ•ต๋ถ„์—ด์— ๋”ฐ๋ฅธ ๊ณ ์† ์ค‘์„ฑ์ž ์กฐ์‚ฌ์— ๋…ธ์ถœ๋œ๋‹ค [4,5]. ์ด ํ™˜๊ฒฝ์—์„œ ์••๋ ฅ๊ด€์€ ์ค‘์„ฑ์ž ์กฐ์‚ฌ์— ์˜ํ•œ ์กฐ์‚ฌ ์ทจํ™”๋กœ ์ธ์žฅ ๊ฐ•๋„๊ฐ€ ์ฆ๊ฐ€ํ•˜๊ณ  ํŒŒ๊ดด ์ธ์„ฑ์€ ์ €ํ•˜๋œ๋‹ค. ๋˜ํ•œ, ์••๋ ฅ๊ด€์€ ์ค‘์ˆ˜(D2O) ์™€์˜ ๋ถ€์‹์— ์˜ํ•ด ํ˜•์„ฑ๋œ ์ค‘์ˆ˜์†Œ(D)๋ฅผ ๋‚ด๋ถ€๋กœ ํก์ˆ˜ํ•˜์—ฌ ์ˆ˜์†Œ ๋†๋„๊ฐ€ ๋†’์•„์ง€๋ฉฐ, ๋†๋„๊ฐ€ ๊ณ ์šฉ ํ•œ๋„๋ฅผ ๋„˜์œผ๋ฉด ์ˆ˜์†Œํ™”๋ฌผ์„ ์„์ถœํ•˜์—ฌ ์ˆ˜์†Œ ์ง€์—ฐ ํŒŒ๊ดด(delayed hydride cracking, DHC) ๊ธฐ๊ตฌ์— ์˜ํ•ด ์†์ƒ๋œ๋‹ค[4,5]. ์••๋ ฅ๊ด€์˜ DHC ํŠน์„ฑ์€ ์ˆ˜์†Œ ์ง€์—ฐ ๊ท ์—ด ์ „ํŒŒ ์†๋„(DHCV)์™€ ์ž„๊ณ„ ์‘๋ ฅ ์ง‘์ค‘ ๊ณ„์ˆ˜(critical stress intensity factor, KIH)๋กœ ํ‰๊ฐ€๋œ๋‹ค. DHC ๊ท ์—ด์€ ์ค‘์ˆ˜๋กœ ์••๋ ฅ๊ด€์˜ ํšก๋ฐฉํ–ฅ์— ์ˆ˜์งํ•œ ๊ธธ์ด-๋ฐ˜๊ฒฝ ๋ฉด์„ ๋”ฐ๋ผ ์„ฑ์žฅํ•  ๋•Œ ๊ฐ€์žฅ ๋น ๋ฅด๋ฉฐ ๋งค์šฐ ๋†’์€ ์ง‘ํ•ฉ์กฐ์ง ์˜์กด์„ฑ์„ ๊ฐ€์ง„๋‹ค [6,7].

HCP ๊ฒฐ์ • ๊ตฌ์กฐ๋ฅผ ๊ฐ€์ง„ ฮฑ-Zr์€ ๊ฒฐ์ • ๋ฐฉํ–ฅ์— ๋”ฐ๋ผ ์ด๋ฐฉ์„ฑ์„ ๊ฐ€์ง€๋ฏ€๋กœ, ฮฑ-Zr์ƒ์œผ๋กœ ๊ตฌ์„ฑ๋˜์–ด ์žˆ๋Š” ๋ชจ๋“  Zr ํ•ฉ๊ธˆ์—์„œ ๋‚˜ํƒ€๋‚˜๋Š” ๋ฌผ๋ฆฌ์  [8], ๊ธฐ๊ณ„์  [9,10] ์ด๋ฐฉ์„ฑ์€ ์ง‘ํ•ฉ์กฐ์ง ๋•Œ๋ฌธ์ด๋ผ๊ณ  ํ•  ์ˆ˜ ์žˆ๋‹ค. ๋”ฐ๋ผ์„œ Zr ํ•ฉ๊ธˆ์—์„œ ๋ณ€ํ˜•์ด๋‚˜ ์žฌ๊ฒฐ์ • ์—ด์ฒ˜๋ฆฌ ๊ณผ์ •์—์„œ ์ˆ˜๋ฐ˜๋˜๋Š” ์ง‘ํ•ฉ์กฐ์ง์˜ ๋ณ€ํ™”๋ฅผ ์ดํ•ดํ•˜๋Š” ๊ฒƒ์€ ๋งค์šฐ ์ค‘์š”ํ•˜๋‹ค. ๊ทธ๋Ÿฌ๋‚˜ ๋‹ค๊ฒฐ์ • Zr ํ•ฉ๊ธˆ์˜ ์žฌ๊ฒฐ์ • ๊ณผ์ •์—์„œ ์ผ์–ด๋‚˜๋Š” ์ง‘ํ•ฉ์กฐ์ง์˜ ๋ณ€ํ™” ๊ณผ์ •์„ ์ฒด๊ณ„์ ์œผ๋กœ ์กฐ์‚ฌํ•˜๋Š” ๊ฒƒ์€ ํ•œ๊ณ„๊ฐ€ ์žˆ์—ˆ๋‹ค [11].

ํ•œํŽธ Zr-2.5%Nb ์••๋ ฅ๊ด€์€ ๊ทธ๋ฆผ 1์˜ ์—ญ ๊ทน์ ๋„(inverse pole figure, IPF)์— ๋ณด์ธ ๋ฐ”์™€ ๊ฐ™์ด ๋งค์šฐ ์ž˜ ๋ฐœ๋‹ฌํ•œ ์ง‘ํ•ฉ ์กฐ์ง์˜ ๊ฐ€์ง€๊ณ  ์žˆ๋‹ค. ์ด ์ง‘ํ•ฉ์กฐ์ง์€ ์••๋ ฅ๊ด€์˜ ํšก ๋ฐฉํ–ฅ์œผ๋กœ๋Š” (0002) pole์ด, ๊ธธ์ด ๋ฐฉํ–ฅ์œผ๋กœ๋Š” (1010) pole์ด, ๋ฐ˜๊ฒฝ ๋ฐฉํ–ฅ์œผ๋กœ๋Š” (1120) pole์ด ์ง‘์ค‘๋˜์–ด ์žˆ์ง€๋งŒ [1124] pole ๊นŒ์ง€ ๋ถ„์‚ฐ๋˜์–ด ์žˆ๋‹ค [12-14].

๋”ฐ๋ผ์„œ ๋ณธ ์—ฐ๊ตฌ๋Š” ์ง‘ํ•ฉ์กฐ์ง์ด ๋งค์šฐ ๋ฐœ๋‹ฌํ•œ ์••๋ ฅ๊ด€ ์žฌ๋ฃŒ๋ฅผ ฮฑ-Zr ์˜์—ญ์ธ 550 ยฐC ์ดํ•˜์—์„œ ์—ด์ฒ˜๋ฆฌํ•˜์—ฌ ฮฑ-Zr ์žฌ๊ฒฐ์ •์ด ์ผ์–ด๋‚˜๋Š” ์˜จ๋„ ๊ตฌ๊ฐ„์—์„œ ฮฒ-์ƒ ๋ถ„ํ•ด ๊ณผ์ •์„ ์กฐ์‚ฌํ•˜๊ณ  ๊ทธ๊ฒƒ์ด ์žฌ๊ฒฐ์ •๊ณผ ์ง‘ํ•ฉ์กฐ์ง ๋ณ€ํ™”์— ๋ฏธ์น˜๋Š” ์˜ํ–ฅ์„ ์กฐ์‚ฌํ•˜์˜€๋‹ค. ๋˜ํ•œ, ์†Œ๋‘”์— ๋”ฐ๋ฅธ ฮฒ-์ƒ ๋ถ„ํ•ด ๊ณผ์ •์—์„œ ๋‚˜ํƒ€๋‚˜๋Š” ๊ฒฉ์ž ๋ณ€ํ™”์™€ ๋ถ€ํ”ผ ๋ถ„์œจ์˜ ๋ณ€ํ™”๊ฐ€ ์žฌ๊ฒฐ์ • ๊ณผ์ •์— ๋ฏธ์น˜๋Š” ์˜ํ–ฅ์— ๋Œ€ํ•˜์—ฌ ๋…ผ์˜ํ•˜์˜€๋‹ค.

2. ์‹ค ํ—˜

์‹คํ—˜์— ์‚ฌ์šฉํ•œ Zr-2.5%Nb ํ•ฉ๊ธˆ์˜ ํ™”ํ•™ ์กฐ์„ฑ์€ ํ‘œ 1์— ๋ณด์˜€๋‹ค. ์†Œ๋‘” ์‹คํ—˜์— ์‚ฌ์šฉํ•œ ์‹œํŽธ๋“ค์€ Pyrex๋‚˜ quartz์— vacuum sealing ํ›„ 350-550 ยฐC์˜ ์ „๊ธฐ๋กœ์—์„œ 240์‹œ๊ฐ„ ๋“ฑ์‹œ(isochronal) ์†Œ๋‘”๊ณผ 500 ยฐC์—์„œ 240, 1,000, 3,000์‹œ๊ฐ„ ๋“ฑ์˜จ(isothermal) ์†Œ๋‘”ํ•˜์˜€๋‹ค. ๋“ฑ์‹œ ์†Œ๋‘”์€ ๋™์ผํ•œ ์‹œ๊ฐ„ ๋™์•ˆ ์˜จ๋„๋ฅผ ๋‹ฌ๋ฆฌํ•˜์—ฌ ์—ด์ฒ˜๋ฆฌํ•˜๋Š” ๊ฒƒ์ด๋ฉฐ, ๋“ฑ์˜จ ์†Œ๋‘”์€ ์ผ์ •ํ•œ ์˜จ๋„์—์„œ ๋‹ค๋ฅธ ์‹œ๊ฐ„ ๋™์•ˆ ์—ด์ฒ˜๋ฆฌํ•˜๋Š” ๊ฒƒ์ด๋‹ค. ๋ณธ ์—ฐ๊ตฌ์—์„œ ๋“ฑ์˜จ ์†Œ๋‘” ์˜จ๋„๋กœ 500 ยฐC๋ฅผ ์„ ํƒํ•œ ์ด์œ ๋Š” 550 ยฐC์—์„œ 240์‹œ๊ฐ„ ๋™์•ˆ ์—ด์ฒ˜๋ฆฌํ•˜๋ฉด ๊ฒฐ์ •์˜ ์„ฑ์žฅ์ด ์™„์„ฑ๋˜๊ธฐ ๋•Œ๋ฌธ์— ์ด ๋ณ€ํ™”๋ฅผ ๋А๋ฆฌ๊ฒŒ ๊ด€์ฐฐํ•˜๊ธฐ ์œ„ํ•ด ์กฐ๊ธˆ ๋‚ฎ์€ ์˜จ๋„์ธ 500 ยฐC์—์„œ 3,000์‹œ๊ฐ„๊นŒ์ง€์˜ ์˜ํ–ฅ์„ ๊ด€์ฐฐํ•œ ๊ฒƒ์ด๋‹ค.

์••๋ ฅ๊ด€ ์žฌ๋ฃŒ์˜ ์ง‘ํ•ฉ์กฐ์ง ๋ฐ ๋ฏธ์„ธ์กฐ์ง ๋ณ€ํ™”๋Š” ์••๋ ฅ๊ด€ ๊ธธ์ด ๋ฐฉํ–ฅ์— ์ˆ˜์งํ•œ ๋ฉด์—์„œ ๊ด€์ฐฐํ•˜์˜€๋‹ค. ์†Œ๋‘”์— ๋”ฐ๋ฅธ ๋ฏธ์„ธ์กฐ์ง ๋ณ€ํ™”๋Š” ํˆฌ๊ณผ์ „์žํ˜„๋ฏธ๊ฒฝ์„ ์ด์šฉํ•˜์—ฌ ๊ด€์ฐฐํ•˜์˜€์œผ๋ฉฐ, TEM ๊ด€์ฐฐ์šฉ thin foil์€ 100 ฮผm ์ •๋„๊นŒ์ง€ ์—ฐ๋งˆํ•œ ํ›„ 10% perchloric acid + methanol ์šฉ์•ก์„ ์‚ฌ์šฉํ•˜์—ฌ โ€“30 ยฐC์—์„œ ์ „ํ•ด ์—ฐ๋งˆํ•˜์˜€๋‹ค.

ํ›„๋ฐฉ ์‚ฐ๋ž€ ํšŒ์ ˆ(electron back scattered diffraction, EBSD) ๋ถ„์„ ์‹œํŽธ์˜ ํ‘œ๋ฉด์€ TEM ๋ถ„์„ ์‹œํŽธ ์ค€๋น„ ๊ณผ์ •๊ณผ ๋™์ผํ•˜๊ฒŒ ์ค€๋น„ํ•˜์˜€๋‹ค. ์ด ์‹คํ—˜์„ ํ†ตํ•˜์—ฌ ์–ป์€ orientation image map (OIM) ๊ด€์ฐฐ์„ ํ†ตํ•˜์—ฌ ์žฌ๊ฒฐ์ • ๋ฐ ๊ฒฐ์ • ์„ฑ์žฅ ๊ณผ์ •์„ ๋ถ„์„ํ•˜์˜€๋‹ค.

IPF๋ฅผ ์ด์šฉํ•œ ์ง‘ํ•ฉ์กฐ์ง ๋ณ€ํ™” ๊ด€์ฐฐ์„ ์œ„ํ•˜์—ฌ Cu Kฮฑ X-ray๋ฅผ ์‚ฌ์šฉํ•˜์—ฌ XRD ๋ถ„์„ํ•˜์˜€๋‹ค. X-ray ํšŒ์ ˆ ์‹œํ—˜์— ์•ž์„œ ์‹œํ—˜ํŽธ์„ ์—ฐ๋งˆํ•œ ํ›„ ํ‘œ๋ฉด์˜ ๋ณ€ํ˜• ์ธต์„ ์ œ๊ฑฐํ•˜๊ธฐ ์œ„ํ•˜์—ฌ HF-8v% + HNO3-45v% + H2O ์šฉ์•ก์œผ๋กœ 30์ดˆ ์ •๋„ swabbing ๋ฐฉ๋ฒ•์œผ๋กœ chemical etching ํ•˜์˜€๋‹ค.

์ง‘ํ•ฉ์กฐ์ง ๋ณ€ํ™”๋Š” XRD ํšŒ์ ˆ ๊ฒฐ๊ณผ๋ฅผ ๋ฐ”ํƒ•์œผ๋กœ IPF ๋ณ€ํ™”๋กœ ๊ด€์ฐฐํ•˜์˜€๋‹ค. XRD๋ฅผ ์ด์šฉํ•œ ฮธ-2ฮธ ์Šค์บ”์„ ์ด์šฉํ•œ IPF ๋ถ„์„์€ 30-130ยฐ์—์„œ ๋‚˜ํƒ€๋‚˜๋Š” 17๊ฐœ์˜ ํšŒ์ ˆ ๋ฉด์— ๋Œ€ํ•œ ์ง‘ํ•ฉ์กฐ์ง ๊ณ„์ˆ˜(texture coefficient, TC)๋ฅผ ๊ตฌํ•˜๊ณ  ์ด ๊ฐ’์„ ์Šคํ…Œ๋ ˆ์˜ค ํˆฌ์˜๋„์˜ 1/12 (30ยฐ)์— ๋‚˜ํƒ€๋‚ด๋Š” ๊ฒƒ์ด๋‹ค. TC๋Š” ๊ฒฐ์ •์ด ๋ฌด์ž‘์œ„๋กœ ๋ฐฐ์—ด๋œ ๊ฒฝ์šฐ TC๋Š” 1์ด ๋œ๋‹ค.

TC๋Š” ฮฑ-Zr 17๊ฐœ ํšŒ์ ˆ ๋ฉด์˜ ํšŒ์ ˆ ๊ฐ•๋„๋ฅผ random ๊ฐ’์œผ๋กœ ๋‚˜๋ˆ„์–ด TCi๋ฅผ ๊ตฌํ•˜๊ณ  ์ด๋ฅผ ํ•ฉํ•˜์—ฌ TCsum์„ ๊ตฌํ•œ๋‹ค. 17๊ฐœ ํšŒ์ ˆ ๋ฉด์— ๋Œ€ํ•œ TCi๋ฅผ TCsum์„ ๋‚˜๋ˆ„๊ณ , ์—ฌ๊ธฐ์— 17์„ ๊ณฑํ•˜์—ฌ TC๋ฅผ ์ •๊ทœํ™”(normalization) ํ•œ๋‹ค. ์ •๊ทœํ™”๋œ TCi๋ฅผ IPF์— ํ‘œ์‹œํ•˜๊ณ  ๋ฌด์ž‘์œ„ ๋ฐฐ์œจ์— ๋Œ€ํ•œ contour๋กœ ๋‚˜ํƒ€๋‚ธ๋‹ค. XRD ๋ถ„์„์œผ๋กœ ์–ป์€ IPF ๊ฒฐ๊ณผ๋Š” EBSD๋กœ ์–ป์€ IPF์™€ ๋น„๊ต ๋ถ„์„ํ•˜์˜€๋‹ค. ์žฌ๊ฒฐ์ • ๊ณผ์ •์—์„œ ๋‚˜ํƒ€๋‚˜๋Š” ๊ฒฐ์ • ๋ฐฉ์œ„ ํšŒ์ „๊ด€๊ณ„๋Š” XRD๋กœ ์ธก์ •ํ•œ ์—ญ ๊ทน์ ๋„์™€ EBSD ๋ถ„์„ ๊ฒฐ๊ณผ๋ฅผ Wullf net์— ๊ฒฐํ•ฉํ•˜์—ฌ ๋ถ„์„ํ•˜์˜€๋‹ค.

XRD ๋ถ„์„์œผ๋กœ ฮฑ-Zr์˜ ์ตœ๋Œ€ ๋ฐ˜๊ฐ’ ํญ(full width half maximum, FWHM)์˜ ๋ณ€ํ™”๋ฅผ ์กฐ์‚ฌํ•˜์˜€๋‹ค. ์ด์™€ ํ•จ๊ป˜ ๋“ฑ์‹œ ์†Œ๋‘” ์ฒ˜๋ฆฌํ•œ ์žฌ๋ฃŒ์— ๋Œ€ํ•˜์—ฌ ๋‚˜๋…ธ ๊ฒฝ๋„ (nano indentation) ์‹คํ—˜์„ ํ†ตํ•˜์—ฌ ๋“ฑ์‹œ ์†Œ๋‘”์— ๋”ฐ๋ฅธ ๊ฒฝ๋„์˜ ๋ณ€ํ™”๋ฅผ ๊ด€์ฐฐํ•˜์˜€๋‹ค. ๋˜ํ•œ ฮฑ-Zr ๋ฟ๋งŒ ์•„๋‹ˆ๋ผ ์ œ2์ƒ์ธ ฮฒ-Zr ์ƒ์ด HCP ๊ตฌ์กฐ์˜ ฯ‰์ƒ์„ ๊ฑฐ์ณ์„œ ๊ถ๊ทน์ ์œผ๋กœ BCC ๊ตฌ์กฐ์˜ ฮฒ-Nb ์ƒ์œผ๋กœ ๋ณ€ํ™”ํ•˜๋ฉด์„œ ๋‚˜ํƒ€๋‚˜๋Š” ๊ฒฉ์ž์˜ ๋ณ€ํ™”๋ฅผ ๊ด€์ฐฐํ•˜์˜€๋‹ค.

3. ๊ฒฐ ๊ณผ

์••๋ ฅ๊ด€์˜ as received, 400, 475, 550 ยฐC์—์„œ 240์‹œ๊ฐ„ ๋“ฑ์‹œ ์†Œ๋‘” ์ฒ˜๋ฆฌ ์‹œํŽธ์˜ TEM ๋ฏธ์„ธ์กฐ์ง์€ ๊ทธ๋ฆผ 2 (a)-(d)์— ํ•จ๊ป˜ ๋น„๊ตํ•˜์—ฌ ๋‚˜ํƒ€๋‚ด์—ˆ๋‹ค. ๊ทธ๋ฆผ 2 (a)์— ๋ณด์ธ ๋ฐ”์™€ ๊ฐ™์ด as received ์••๋ ฅ๊ด€์˜ ฮฑ-Zr ๊ฒฐ์ •๋ฆฝ์€ ๋‘๊ป˜ ๋ฐฉํ–ฅ์œผ๋กœ ๋‚ฉ์ž‘ํ•˜๊ณ  ํšก ๋ฐฉํ–ฅ์œผ๋กœ๋Š” ๊ธธ์ญ‰ํ•˜๋ฉฐ, ์ž…๊ณ„๋Š” ฮฒ-Zr์œผ๋กœ ๋ฎ์—ฌ ์žˆ๋‹ค. ์†Œ๋‘” ์˜จ๋„๊ฐ€ 475 ยฐC ์ด์ƒ์œผ๋กœ ๋†’์•„์ง€๋ฉด ฮฑ-Zr ๊ฒฐ์ •๋ฆฝ์€ ๊ธ‰๊ฒฉํžˆ ์ปค์ง€๋ฉฐ, ฮฑ-Zr ์ž…๊ณ„์— ์žˆ๋˜ ฮฒ-Zr์€ ๊ตฌ์ƒํ™”๋˜์–ด ฮฒ-Nb ์ƒ์œผ๋กœ ์„์ถœ๋œ๋‹ค [12-14]. 550 ยฐC์—์„œ 240์‹œ๊ฐ„ ์†Œ๋‘”ํ•˜๋ฉด ฮฑ-Zr ๊ฒฐ์ •๋ฆฝ์€ ์ˆ˜์‹ญ ฮผm๋กœ ์„ฑ์žฅํ•œ๋‹ค.

๊ทธ๋ฆผ 3์€ EBSD๋กœ ์ธก์ •ํ•œ OIM ๊ฒฐ๊ณผ์ด๋‹ค. As received ์‹œํŽธ์˜ ฮฑ-Zr์˜ ๊ฒฐ์ •๋ฆฝ์€ 1 ฮผm ์ดํ•˜์ธ๋ฐ, 550 ยฐC์—์„œ 240 ์‹œ๊ฐ„ ์ฒ˜๋ฆฌํ•˜๋ฉด 20 ฮผm ์ •๋„๋กœ ์ˆ˜์‹ญ ๋ฐฐ ์ปค์ง„๋‹ค. ์ด ๊ฒฐ๊ณผ๋Š” ๊ทธ๋ฆผ 2์˜ (d)์˜ TEM ๊ด€์ฐฐ ๊ฒฐ๊ณผ์™€ ์ž˜ ์ผ์น˜ํ•œ๋‹ค. ๊ทธ๋ฆผ 3์˜ ์ด๋ฏธ์ง€ ๋ณ€ํ™”๋Š” ๊ฒฐ์ •์˜ ์„ฑ์žฅ๊ณผ ํ•จ๊ป˜ ๊ฒฐ์ •์˜ ๋ฐฉ์œ„๊ฐ€ ๋ณ€ํ™”๋˜์–ด ์ง‘ํ•ฉ์กฐ์ง์ด ๋ฐ”๋€Œ์—ˆ๋‹ค๋Š” ์˜๋ฏธ์ด๋‹ค.

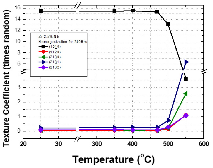
๊ทธ๋ฆผ 4๋Š” ์†Œ๋‘” ์‹œ๊ฐ„์„ 240์‹œ๊ฐ„์œผ๋กœ ์ผ์ •ํ•˜๊ฒŒ ์œ ์ง€ํ•œ ๋“ฑ์‹œ ์†Œ๋‘”์—์„œ TC์˜ ๋ณ€ํ™”๋ฅผ ๋„์‹œํ•œ ๊ฒƒ์ด๋‹ค. As received ์žฌ๋ฃŒ๋Š” ๊ทธ๋ฆผ 1 (c)์— ๋ณด์ธ ๋ฐ”์™€ ๊ฐ™์ด ๊ธธ์ด ๋ฐฉํ–ฅ์—๋Š” (1010) pole์ด ๋งค์šฐ ์ง‘์ค‘๋˜์–ด ์žˆ์œผ๋ฉฐ TC๋Š” 15 ์ •๋„์ด๋‹ค. ์†Œ๋‘” ์˜จ๋„๊ฐ€ 500 ยฐC ์ด์ƒ์œผ๋กœ ์ฆ๊ฐ€ํ•˜๋ฉด (1010) TC๋Š” ๊ธ‰๊ฒฉํžˆ ๊ฐ์†Œํ•˜๊ธฐ ์‹œ์ž‘ํ•˜๊ณ , ๋™์‹œ์— (2130) ๋ฐ (2131)์˜ TC๋Š” ๊ธ‰๊ฒฉํžˆ ์ฆ๊ฐ€ํ•œ๋‹ค. ์ด๊ฒƒ์€ 500 ยฐC ์ด์ƒ์—์„œ์˜ ์†Œ๋‘”์€ ์žฌ๊ฒฐ์ •๊ณผ ํ•จ๊ป˜ ์ง‘ํ•ฉ์กฐ์ง ๋ณ€ํ™”๊ฐ€ ์ผ์–ด๋‚œ๋‹ค๋Š” ๊ฒƒ์„ ๋ณด์ด๋Š” ๊ฒƒ์ด๋‹ค.

๊ทธ๋ฆผ 5๋Š” as received์™€ ํ•จ๊ป˜ 475, 500, 550 ยฐC์—์„œ์˜ ์†Œ๋‘”์— ๋”ฐ๋ฅธ IPF์˜ ๋ณ€ํ™”๋ฅผ ๋น„๊ตํ•œ ๊ฒƒ์ด๋‹ค. ์ด ๋„ํ‘œ์—์„œ ๊ฒ€์€ ์„ ์€ TC๊ฐ€ ๋ฌด์ž‘์œ„(random)๋ณด๋‹ค ํฐ ๊ฒƒ์ด๋ฉฐ, ๊ทธ ์ฒ™๋„๋Š” ๋„ํ‘œ ํ•˜๋‹จ์— ๋‚˜ํƒ€๋‚ด์—ˆ๋‹ค. ๊ทธ๋ฆผ 5 (b)์— ๋‚˜ํƒ€๋‚ธ ๋ฐ”์™€ ๊ฐ™์ด 475 ยฐC 240์‹œ๊ฐ„ ์ฒ˜๋ฆฌํ•˜๋ฉด TC>1 ์˜์—ญ์ด (2021) pole๊นŒ์ง€ ํ™•๋Œ€๋œ๋‹ค. 550 ยฐC 240์‹œ๊ฐ„ ์ฒ˜๋ฆฌํ•˜๋ฉด (1010) ์˜์—ญ์€ ๊ธ‰๊ฒฉํžˆ ๊ฐ์†Œํ•˜๊ณ  ๋™์‹œ์— (2131) ์˜์—ญ์˜ TC๋Š” 7 ์ •๋„๋กœ ๊ฐ•ํ™”๋œ๋‹ค. ์ด ์ง‘ํ•ฉ์กฐ์ง์˜ ๋ณ€ํ™”๋Š” (1010) pole์ด [1120] ๋ฐฉํ–ฅ์„ ๋”ฐ๋ผ์„œ๋Š” ์•ฝ 15ยฐ ํšŒ์ „ํ•˜๊ณ , [2131] ๋ฐฉํ–ฅ์œผ๋กœ๋Š” ์•ฝ 22ยฐ ์ •๋„ ํšŒ์ „ํ•œ ๊ฒฐ๊ณผ์ด๋‹ค.

๊ทธ๋ฆผ 6์€ 500 ยฐC์—์„œ์˜ ๋“ฑ์˜จ ์†Œ๋‘” ์‹œ๊ฐ„์— ๋”ฐ๋ฅธ OIM ์ด๋ฏธ์ง€๋ฅผ ๋น„๊ตํ•˜์—ฌ ๋‚˜ํƒ€๋‚ธ ๊ฒƒ์ด๋‹ค. ๊ทธ๋ฆผ 6 (a)๋Š” 500 ยฐC-240์‹œ๊ฐ„ ์†Œ๋‘”ํ•˜๋ฉด ๊ฒฐ์ • ์„ฑ์žฅ๊ณผ ํ•จ๊ป˜ ๊ฒฐ์ • ๋ฐฉ์œ„ ๋ณ€ํ™”๋ฅผ ๋‚˜ํƒ€๋‚ธ๋‹ค. ๊ทธ๋ฆผ 6 (b)์— ๋ณด์ธ ๋ฐ”์™€ ๊ฐ™์ด 1,000์‹œ๊ฐ„ ์†Œ๋‘”์€ ์•ฝ 50% ์ •๋„์˜ ์žฌ๊ฒฐ์ •์„ ์ผ์œผํ‚จ๋‹ค. ๊ทธ๋ฆผ 6 (c)์— ๋ณด์ธ ๋ฐ”์™€ ๊ฐ™์ด 3,000์‹œ๊ฐ„ ์†Œ๋‘”์€ 95%์˜ ์˜์—ญ์—์„œ ์žฌ๊ฒฐ์ • ๋ฐ ์„ฑ์žฅ์„ ์ผ์œผํ‚จ๋‹ค. 500 ยฐC์—์„œ์˜ ์†Œ๋‘”์€ 550 ยฐC์—์„œ 240์‹œ๊ฐ„์— ์ผ์–ด๋‚  ์žฌ๊ฒฐ์ •๊ณผ ์ง‘ํ•ฉ์กฐ์ง์˜ ๋ณ€ํ™”๋ฅผ ์ผ์œผํ‚ค๋Š”๋ฐ 3,000 ์‹œ๊ฐ„์ด ๊ฑธ๋ฆฌ๋ฉฐ, ์ด๊ฒƒ์€ 500 ยฐC์—์„œ์˜ ์›์ž ํ™•์‚ฐ ์†๋„๊ฐ€ 550 ยฐC๋ณด๋‹ค ๋А๋ฆฌ๊ธฐ ๋•Œ๋ฌธ์ด๋‹ค.

๊ทธ๋ฆผ 7์€ 500 ยฐC์—์„œ ๋“ฑ์˜จ ์†Œ๋‘” ์‹œ๊ฐ„์— ๋”ฐ๋ฅธ ์ง‘ํ•ฉ์กฐ์ง ๋ณ€ํ™”๋ฅผ XRD๋กœ ๋ถ„์„ํ•˜์—ฌ TC๋ณ€ํ™”๋กœ ๋‚˜ํƒ€๋‚ธ ๊ฒƒ์ด๋‹ค. ์†Œ๋‘” ์‹œ๊ฐ„์˜ ์ฆ๊ฐ€์— ๋”ฐ๋ผ (1010) pole์˜ TC๋Š” ๊ฐ์†Œํ•˜๋Š” ๋ฐ˜๋ฉด (2131) ๋ฐ (2130) TC๋Š” ์ฆ๊ฐ€ํ•œ๋‹ค. 500 ยฐC์—์„œ์˜ ์†Œ๋‘”์— ์˜ํ•œ ์ง‘ํ•ฉ์กฐ์ง ๋ณ€ํ™”๋Š” 1,000์‹œ๊ฐ„๊นŒ์ง€๋Š” ์ƒ๋Œ€์ ์œผ๋กœ ๋น ๋ฅด๊ณ , 1,000์‹œ๊ฐ„ ์ดํ›„ ๋ณ€ํ™”์œจ์€ ๋‘”ํ™”๋œ๋‹ค. ๊ทธ๋ฆผ 4๋Š” 350-550 ยฐC ์‚ฌ์ด์—์„œ์˜ ๋“ฑ์‹œ ์˜จ๋„ ํšจ๊ณผ๋ฅผ ๋‚˜ํƒ€๋‚ด๋Š” ๋ฐ˜๋ฉด ๊ทธ๋ฆผ 7์€ 500 ยฐC์—์„œ์˜ ๋“ฑ์˜จ ์‹œ๊ฐ„ ํšจ๊ณผ๋ฅผ ๋‚˜ํƒ€๋‚ธ๋‹ค.

๊ทธ๋ฆผ 8์€ ๋“ฑ์˜จ ์†Œ๋‘”์— ๋”ฐ๋ฅธ ์ง‘ํ•ฉ์กฐ์ง์˜ ๋ณ€ํ™”๋ฅผ XRD๋กœ ๋ถ„์„ํ•˜์—ฌ IPF๋กœ ๋‚˜ํƒ€๋‚ธ ๊ฒƒ์ด๋‹ค. ๊ทธ๋ฆผ 8 (d)์— ๋ณด์ธ ๋ฐ”์™€ ๊ฐ™์ด 500 ยฐC์—์„œ 3,000์‹œ๊ฐ„ ์†Œ๋‘”ํ•˜๋ฉด 550 ยฐC์—์„œ 240์‹œ๊ฐ„ ์ฒ˜๋ฆฌํ•œ ์‹œํŽธ๊ณผ ์œ ์‚ฌํ•˜๊ฒŒ (2131) pole์˜ ์ง‘์ค‘๋„๊ฐ€ ๊ฐ€์žฅ ๋†’์•„์ง„๋‹ค. ์ฆ‰, 500 ยฐC 3,000์‹œ๊ฐ„ ๋“ฑ์˜จ ์†Œ๋‘”์—์„œ ๋‚˜ํƒ€๋‚˜๋Š” ์ง‘ํ•ฉ์กฐ์ง์˜ ๋ณ€ํ™”๋Š” 550 ยฐC์—์„œ์˜ ๋“ฑ์‹œ ์†Œ๋‘” ๊ฒฐ๊ณผ์™€ ์œ ์‚ฌํ•˜๋ฏ€๋กœ ์žฌ๊ฒฐ์ •๊ณผ ์ง‘ํ•ฉ์กฐ์ง์˜ ๋ณ€ํ™” ์›์ธ์€ ๋™์ผํ•œ ๊ฒƒ์œผ๋กœ ๋ณผ ์ˆ˜ ์žˆ๋‹ค.

๊ทธ๋ฆผ 9๋Š” EBSD๋ฅผ ์‚ฌ์šฉํ•˜์—ฌ ์ธก์ •ํ•œ IPF๋ฅผ ๋น„๊ตํ•˜์—ฌ ๋‚˜ํƒ€๋‚ธ ๊ฒƒ์ด๋‹ค. ๊ทธ๋ฆผ 9 (c)๋Š” ๊ทธ๋ฆผ 8 (c)์™€ ๊ฐ™์€ ์‹œํŽธ์ด๊ณ , ๊ทธ๋ฆผ 9 (d)๋Š” ๊ทธ๋ฆผ 8 (d)์™€ ๊ฐ™์€ ์‹œํŽธ์˜ ๊ฒฐ๊ณผ์ด๋‹ค. ๊ฐ™์€ ์กฐ๊ฑด์˜ ์‹œํŽธ์— ๋Œ€ํ•œ IPF๊ฐ€ ์•ฝ๊ฐ„ ๋‹ค๋ฅด๊ฒŒ ๋ณด์ด๋Š” ๊ฒƒ์€ ๋ถ„์„์— ์‚ฌ์šฉ๋œ ์‹œํŽธ์˜ ๋ฉด์  ์ฐจ์ด์— ๊ธฐ์ธํ•œ ๊ฒƒ์ผ ์ˆ˜ ์žˆ๋‹ค. XRD ๋ถ„์„์— ์‚ฌ์šฉ๋œ ๋ถ„์„๋ฉด์˜ ๋ฉด์ ์€ ์ ์–ด๋„ ์ˆ˜์‹ญ mm2 ์ •๋„์ธ ๋ฐ˜๋ฉด, EBSD๋Š” 0.03 mm2 (=200 ยตm ร— 150 ยตm) ์ •๋„์ด๊ธฐ ๋•Œ๋ฌธ์ด๋‹ค. ์ด๋Ÿฐ ์ด์œ  ๋•Œ๋ฌธ์— ๊ฒฐ์ •๋ฆฝ์ด ํฐ ์žฌ๋ฃŒ์—์„œ๋Š” EBSD ๋ถ„์„์— ์˜ํ•œ ์ง‘ํ•ฉ์กฐ์ง ๋ถ„์„ ๊ฒฐ๊ณผ๊ฐ€ ์žฌ๋ฃŒ๋ฅผ ๋Œ€ํ‘œํ•˜์ง€ ๋ชป ํ•  ์ˆ˜๋„ ์žˆ๋‹ค.

4. ๋…ผ ์˜

Zr-2.5%Nb ํ•ฉ๊ธˆ ์••๋ ฅ๊ด€ ์žฌ๋ฃŒ์—์„œ ฮฑ-Zr์˜ ๊ฒฐ์ •๋ฆฝ ํฌ๊ธฐ๋ฅผ ๋ณ€ํ™”์‹œํ‚จ ๋ช‡๋ช‡ ์—ฐ๊ตฌ๊ฐ€ ์žˆ์—ˆ๋‹ค [15-17]. ์••๋ ฅ๊ด€ ์žฌ๋ฃŒ์˜ ๊ฐ•๋„์— ๋ฏธ์น˜๋Š” ์ง‘ํ•ฉ์กฐ์ง์˜ ์˜ํ–ฅ์„ ๋ถ„์„ํ•œ ์—ฐ๊ตฌ์—์„œ ฮฑ+ฮฒ ์˜์—ญ์ธ 750 ยฐC์—์„œ 2์‹œ๊ฐ„ ์ฒ˜๋ฆฌํ•˜๋ฉด ๊ฒฐ์ •๋ฆฝ์ด ์ˆ˜ ฮผm ์ •๋„๋กœ ์„ฑ์žฅํ•ด๋„ ์ง‘ํ•ฉ์กฐ์ง์€ ๋ณ€ํ™”๋˜์ง€ ์•Š์•˜๋‹ค [15]. ๋˜ํ•œ, ฮฑ+ฮฒ ์˜์—ญ์ธ 830 ยฐC์—์„œ 24์‹œ๊ฐ„์„ ์œ ์ง€ํ•˜์—ฌ ๊ฒฐ์ •๋ฆฝ์„ 10 ฮผm ์ด์ƒ์œผ๋กœ ์„ฑ์žฅ์‹œํ‚ค๊ณ , ์ด ์‹œํŽธ์„ 550 ยฐC-120์‹œ๊ฐ„ ๋™์•ˆ ์—ด์ฒ˜๋ฆฌํ•˜์—ฌ ฮฒ-Zr์„ ฮฒ-Nb๋กœ ๋ณ€ํ™”์‹œํ‚จ ๊ฒฝ์šฐ์—๋„ ์ง‘ํ•ฉ์กฐ์ง ๋ณ€ํ™”๋Š” ๋‚˜ํƒ€๋‚˜์ง€ ์•Š์•˜๋‹ค [16,17]. ์ด ์ด์œ ๋Š” ฮฑ+ฮฒ ์˜์—ญ์—์„œ ์œ ์ง€๋˜๋ฉด ฮฒ-์ƒ ๋ถ„์œจ์ด ์ฆ๊ฐ€ํ•˜๋ฉด์„œ ๊ฒฐ์ •๋ฆฝ์˜ ํฌ๊ธฐ๋Š” ์ฆ๊ฐ€ํ•˜์ง€๋งŒ, ๋ƒ‰๊ฐ๋˜๋ฉด์„œ ฮฒ-์ƒ์€ ๊ธฐ์กด์˜ ฮฑ-Zr ์ƒ์„ ๋”ฐ๋ผ ์„ฑ์žฅํ•˜๊ธฐ ๋•Œ๋ฌธ์œผ๋กœ ํ•ด์„๋œ๋‹ค [18].

As received ์••๋ ฅ๊ด€ ์žฌ๋ฃŒ๋Š” ์—ด๊ฐ„ ์••์ถœ ๋ฐ ๋ƒ‰๊ฐ„ ์ธ๋ฐœ ํ›„ 400 ยฐC์—์„œ ์‘๋ ฅ ์ œ๊ฑฐ ์ฒ˜๋ฆฌ๋œ ์ƒํƒœ์ด๋‹ค. ๋ณธ ์—ฐ๊ตฌ๋Š” 550 ยฐC ์ดํ•˜ ฮฑ-Zr ์˜์—ญ์—์„œ ์†Œ๋‘”ํ•˜๋ฉด ์žฌ๊ฒฐ์ •๊ณผ ์ง‘ํ•ฉ์กฐ์ง์˜ ๋ณ€ํ™”๊ฐ€ ๋™์‹œ์— ์ผ์–ด๋‚œ๋‹ค๋Š” ๊ฒƒ์„ ๋ณด์˜€๋‹ค. ์ฆ‰, 610 ยฐC ์ด์ƒ์˜ ฮฑ+ฮฒ ์˜์—ญ์—์„œ์˜ ์—ด์ฒ˜๋ฆฌ๋Š” ์ง‘ํ•ฉ์กฐ์ง ๋ณ€ํ™”๋ฅผ ์ผ์œผํ‚ค์ง€ ์•Š๊ณ , ฮฑ-Zr ์˜์—ญ์ธ 610 ยฐC ์ดํ•˜์—์„œ๋งŒ ์žฌ๊ฒฐ์ • ๋ฐ ์ง‘ํ•ฉ์กฐ์ง ๋ณ€ํ™”๊ฐ€ ์ผ์–ด๋‚œ๋‹ค. ์ด ์ด์œ ๋Š” ฮฒ-Zr ์ƒ์˜ ๋ถ„ํ•ด์™€ ๊ด€๋ จ๋˜์–ด ์žˆ๋‹ค๊ณ  ๋ณผ ์ˆ˜ ์žˆ๋‹ค.

๊ทธ๋ฆผ 10์€ ๋‚˜๋…ธ ์ธ๋ดํ…Œ์ด์…˜ (nano indentation) ๋ฐฉ๋ฒ•์œผ๋กœ ์ธก์ •ํ•œ ๊ฒฝ๋„ ๋ณ€ํ™”์œจ๊ณผ (2131) ๋ฉด์˜ FWHM ๋ณ€ํ™”์œจ์„ ๋น„๊ตํ•˜์—ฌ ๋‚˜ํƒ€๋‚ธ ๊ฒƒ์ด๋‹ค. XRD ๋ถ„์„์—์„œ FWHM์€ ๊ฒฐ์ • ๋‚ด๋ถ€์— ๋‚จ์•„ ์žˆ๋Š” ํƒ„์„ฑ ๋ณ€ํ˜• ์—๋„ˆ์ง€์˜ ์ •๋ณด๋ฅผ ๋‹ด๊ณ  ์žˆ๋‹ค. ๋‚˜๋…ธ ๊ฒฝ๋„๋Š” 500 ยฐC๊นŒ์ง€ ์ ์ง„์ ์œผ๋กœ ๊ฐ์†Œํ•˜๋‹ค๊ฐ€ 550 ยฐC์—์„œ๋Š” ์•ฝ 30%์ •๋„ ๊ฐ์†Œํ•œ๋‹ค. ๋ฐ˜๋ฉด, (2131) ๋ฉด์˜ FWHM์€ 350 ยฐC ์ด์ƒ์—์„œ ์ง์„ ์ ์œผ๋กœ ๊ฐ์†Œํ•˜์—ฌ 550 ยฐC์—์„œ ์•ฝ 70% ์ •๋„ ๊ฐ์†Œํ•œ๋‹ค. ์†Œ๋‘” ์˜จ๋„์— ๋”ฐ๋ผ ๊ฒฝ๋„์™€ FWHM์ด ๊ฐ์†Œํ•˜๋Š” ๊ฒƒ์€ ๋ƒ‰๊ฐ„ ๊ฐ€๊ณต์˜ ํšจ๊ณผ๊ฐ€ ๊ฐ์†Œํ•˜๊ธฐ ๋•Œ๋ฌธ์ด๋‹ค.

์†Œ๋‘”์— ์˜ํ•œ ๋ƒ‰๊ฐ„ ๊ฐ€๊ณต์˜ ํšจ๊ณผ๋Š” ฮฑ+ฮฒ ์˜์—ญ์ธ 750 ยฐC ๋ฐ 830 ยฐC์—์„œ ์—ด์ฒ˜๋ฆฌํ•œ ๊ฒฝ์šฐ์—๋„ ๋™์ผํ•  ๊ฒƒ์ด๋‹ค [15-17]. ๊ทธ๋Ÿฌ๋‚˜ 610 ยฐC ์ดํ•˜์˜ ฮฑ-Zr ์˜์—ญ์—์„œ ์—ด์ฒ˜๋ฆฌํ•œ ๋ณธ ์—ฐ๊ตฌ์—์„œ๋งŒ ์žฌ๊ฒฐ์ •๊ณผ ๋™์‹œ์— ์ง‘ํ•ฉ์กฐ์ง์˜ ๋ณ€ํ™”๊ฐ€ ๋‚˜ํƒ€๋‚ฌ๋‹ค. ๋”ฐ๋ผ์„œ ฮฑ-Zr ์˜์—ญ์—์„œ์˜ ์†Œ๋‘”์— ์˜ํ•œ ฮฒ-์ƒ์˜ ๋ถ„ํ•ด ๊ณผ์ •์ด Zr-2.5Nb ์••๋ ฅ๊ด€ ์žฌ๋ฃŒ์˜ ์žฌ๊ฒฐ์ •๊ณผ ์ง‘ํ•ฉ์กฐ์ง ๋ณ€ํ™”์˜ ์›์ธ์„ ์ œ๊ณตํ•˜๋Š” ๊ฒƒ์œผ๋กœ ์ถ”์ธก๋œ๋‹ค.

์ž…๊ณ„์˜ ์ด๋™์ด๋‚˜ ๊ฒฐ์ •์˜ ์„ฑ์žฅ์€ ๊ธฐ๋ณธ์ ์œผ๋กœ ์›์ž์˜ ํ™•์‚ฐ์— ์˜ํ•˜์—ฌ ์ง€๋ฐฐ๋˜๋ฏ€๋กœ Arrhenius ๊ด€๊ณ„๋ฅผ ๋”ฐ๋ฅด๊ณ , ๊ฒฐ์ •๋ฆฝ์˜ ์„ฑ์žฅ ์†๋„๋Š” ์ž…๊ณ„ ์ด๋™๋„์™€ ์ด๋™๋„์— ๋Œ€ํ•œ ๊ตฌ๋™๋ ฅ์— ์˜์กดํ•œ๋‹ค๊ณ  ์•Œ๋ ค์ ธ ์žˆ๋‹ค [19]. Zr-2.5%Nb ํ•ฉ๊ธˆ ์••๋ ฅ๊ด€ ์žฌ๋ฃŒ๋Š” as received ์ƒํƒœ์—์„œ 90% ์ •๋„์˜ ฮฑ-Zr๊ณผ ์•ฝ 10% ์ •๋„์˜ ฮฒ-Zr์œผ๋กœ ๊ตฌ์„ฑ๋˜์–ด ์žˆ๋‹ค [12-14]. ๋”ฐ๋ผ์„œ ์••๋ ฅ๊ด€ ์žฌ๋ฃŒ๋Š” 2์ƒ ํ•ฉ๊ธˆ์ด๋ผ๊ณ  ํ•  ์ˆ˜ ์žˆ์œผ๋ฉฐ, ์†Œ๋‘” ๊ณผ์ •์—์„œ ์ œ2์ƒ์€ ๋ณ€ํ™”ํ•˜๋ฉฐ ์žฌ๊ฒฐ์ • ๊ฑฐ๋™์— ์˜ํ–ฅ์„ ๋ฏธ์น  ์ˆ˜ ์žˆ๋‹ค.

๊ทธ๋ฆผ 11์€ XRD๋ฅผ ์ด์šฉํ•˜์—ฌ ฮฑ-Zr ์˜์—ญ์—์„œ์˜ ๋“ฑ์‹œ ์†Œ๋‘” ์‹œํŽธ์— ์˜ํ•˜์—ฌ ฮฒ ์ƒ์˜ ๋ณ€ํ™”๋ฅผ ํšŒ์ ˆ ๊ฐ•๋„์™€ ๋ฉด๊ฐ„ ๊ฑฐ๋ฆฌ๋กœ ๋‚˜ํƒ€๋‚ธ ๊ฒƒ์ด๋‹ค. As received ์žฌ๋ฃŒ๋Š” BCC ๊ตฌ์กฐ์˜ ฮฒ-Zr๊ณผ HCP ๊ตฌ์กฐ์˜ ฯ‰ ์ƒ์ด ์ค‘์ฒฉ๋˜์–ด ๋‚˜ํƒ€๋‚œ๋‹ค. 350 ยฐC์—์„œ 240 ์‹œ๊ฐ„ ์—ด์ฒ˜๋ฆฌํ•˜๋ฉด ฮฒ-Zr ์ƒ๊ณผ ฯ‰ ์ƒ์˜ ๋ฉด๊ฐ„ ๊ฑฐ๋ฆฌ๋Š” ์ค„์–ด๋“ค๊ณ  ํšŒ์ ˆ ๊ฐ•๋„๋Š” ์•ฝ๊ฐ„ ๋‚ฎ์•„์ง„๋‹ค. ์ด์™€ ๋™์‹œ์— ฮฒ์ƒ์˜ d(110) ๋ฉด๊ฐ„ ๊ฑฐ๋ฆฌ๊ฐ€ 2.43-2.41A ์ •๋„์˜ ๋ฒ”์œ„์—์„œ ํšŒ์ ˆ์ด ๋‚˜ํƒ€๋‚œ๋‹ค. ์ด๊ฒƒ์€ ฮฒ-Zr ์ƒ๊ณผ ฯ‰ ์ƒ์ด ๋ถ„ํ•ด๋˜์–ด ฮฒ-Nb ์ƒ์ด ์ƒˆ๋กญ๊ฒŒ ํ˜•์„ฑ๋˜๊ธฐ ๋•Œ๋ฌธ์ด๋‹ค. 400 ยฐC์—์„œ 240์‹œ๊ฐ„ ์—ด์ฒ˜๋ฆฌํ•˜๋ฉด, ฮฒ-Zr ์ƒ๊ณผ ฯ‰ ์ƒ์€ ์™„์ „ํžˆ ๋ถ„ํ•ด๋˜์–ด ์‚ฌ๋ผ์ง€๊ณ , ๋ฉด๊ฐ„ ๊ฑฐ๋ฆฌ 2.42-2.35A ์ •๋„์—์„œ ฮฒ-Nb ์ƒ์€ ๋šœ๋ ทํ•ด์ง€๊ธฐ ์‹œ์ž‘ํ•œ๋‹ค. 475 ยฐC์—์„œ 240์‹œ๊ฐ„ ์ฒ˜๋ฆฌํ•˜๋ฉด ฮฒ-Nb ์ƒ์€ d(110) ์˜ 2.36A ์ •๋„์—์„œ ๋šœ๋ ทํ•˜๊ฒŒ ๋‚˜ํƒ€๋‚œ๋‹ค. 500 ยฐC ๋ฐ 550 ยฐC์—์„œ 240์‹œ๊ฐ„ ์ฒ˜๋ฆฌํ•˜๋ฉด ฮฒ-Nb ์ƒ์˜ ํšŒ์ ˆ์€ ์ ์ฐจ ๋šœ๋ ทํ•ด์ง„๋‹ค. ๊ทธ๋ฆผ 11์—์„œ ์ค‘์š”ํ•œ ๊ฒƒ์€ 400 ยฐC ์ด์ƒ์—์„œ ฮฒ-Zr ์ƒ๊ณผ ฯ‰ ์ƒ์€ ์™„์ „ํžˆ ์‚ฌ๋ผ์ง€๊ณ  ฮฒ-Nb ์ƒ์˜ d(110) ๋ฉด๊ฐ„ ๊ฑฐ๋ฆฌ๊ฐ€ ์ž‘์•„์ง„๋‹ค๋Š” ๊ฒƒ์ด๋‹ค.

240์‹œ๊ฐ„ ์—ด์ฒ˜๋ฆฌ์— ์˜ํ•˜์—ฌ ฮฒ-Zr ์ƒ, ฯ‰ ์ƒ, ฮฒ-Nb ์ƒ์˜ (110) ๋ฉด๊ฐ„ ๊ฑฐ๋ฆฌ ๋ณ€ํ™”๋ฅผ ํ‘œ 2์— ์ •๋ฆฌํ•˜์˜€์œผ๋ฉฐ, ๊ทธ๋ฆผ 12์— ๋„์‹œํ•˜์˜€๋‹ค. ฮฒ-Zr ์ƒ๊ณผ ฯ‰ ์ƒ์€ 350 ยฐC ์ดํ•˜์—์„œ๋งŒ ๊ด€์ฐฐ๋˜๋ฉฐ ์ด๋“ค์˜ ๊ฒฉ์ž ์ˆ˜์ถ•์€ ๊ฐ๊ฐ 0.1 ๋ฐ 1% ์ •๋„์ด๋‹ค. ๋ฐ˜๋ฉด ฮฒ-Nb ์ƒ์€ 350 ยฐC ์ด์ƒ์—์„œ ๊ด€์ฐฐ๋˜๊ธฐ ์‹œ์ž‘ํ•˜๋ฉฐ ์—ด์ฒ˜๋ฆฌ ์˜จ๋„์˜ ์ฆ๊ฐ€์— ๋”ฐ๋ผ 4-7.5% ์ •๋„์˜ ์ˆ˜์ถ•์„ ์ผ์œผํ‚จ๋‹ค. ์ด ๋„ํ‘œ์—์„œ ํŠน์ดํ•œ ์ ์€ ์žฌ๊ฒฐ์ •๊ณผ ํ•จ๊ป˜ ์ง‘ํ•ฉ์กฐ์ง ๋ณ€ํ™”๊ฐ€ ์ผ์–ด๋‚˜๋Š” 475 ยฐC ์ด์ƒ์—์„œ ๊ฒฉ์ž ์ˆ˜์ถ•์˜ ํฌ๊ธฐ๋Š” 7.5% ๋‚ด์™ธ๋กœ ๊ฑฐ์˜ ์ผ์ •ํ•ด์ง„๋‹ค๋Š” ๊ฒƒ์ด๋‹ค.

ฮฒ-Zr ์ƒ์˜ ๋ถ„ํ•ด์— ์˜ํ•œ ๊ฒฉ์ž ์ˆ˜์ถ•์€ ๋‚ด๋ถ€์—์„œ ฮฑ-Zr์„ ฮฒ ์ƒ ์ฃผ์œ„๋กœ ์žก์•„๋‹น๊ธฐ๋Š” ํž˜์„ ๋ฐœ์ƒ์‹œํ‚จ๋‹ค. ์†Œ๋‘”์— ๋”ฐ๋ฅธ ฮฒ-Zr ์ƒ๊ณผ ฯ‰ ์ƒ์˜ ๋ถ„ํ•ด๋Š” ๊ฒฉ์ž ๊ฑฐ๋ฆฌ๋งŒ ๋ณ€ํ™”์‹œํ‚ค๋Š” ๊ฒƒ์ด ์•„๋‹ˆ๋ผ ์ œ2์ƒ์˜ ๋ถ€ํ”ผ๋ฅผ ๊ฐ์†Œ์‹œํ‚จ๋‹ค. ์ฆ‰, ฮฒ-Zr ์ƒ์ด ฯ‰ ์ƒ์ด๋‚˜ ฮฒ-Nb ์ƒ์œผ๋กœ ๋ณ€ํ™”ํ•˜๋ฉด ๋ถ€ํ”ผ๊ฐ€ ๊ฐ์†Œํ•œ๋‹ค. ์ด ์ด์œ ๋Š” Zr-2.5%Nb ํ•ฉ๊ธˆ์— ํฌํ•จ๋œ Nb์˜ ์–‘์€ ์ผ์ •ํ•œ๋ฐ ฯ‰ ์ƒ์ด๋‚˜ ฮฒ-Nb ์ƒ์— ๋“ค์–ด ์žˆ๋Š” Nb ๋†๋„๋Š” ์ ์ฐจ ์ฆ๊ฐ€ํ•˜๊ธฐ ๋•Œ๋ฌธ์ด๋‹ค[18]. ฮฒ-Nb ์ƒ์˜ ๋ถ€ํ”ผ๋Š” Zr-2.5%Nb ํ•ฉ๊ธˆ์— ํ•จ์œ ๋œ ์ด Nb ๋†๋„๋ฅผ ์ด์šฉํ•˜์—ฌ ๊ณ„์‚ฐํ•  ์ˆ˜ ์žˆ๋‹ค. ฮฑ-Zr์— ๊ณ ์šฉ๋˜๋Š” Nb๋Š” ์•ฝ 0.5% ์ •๋„์ด๋ฏ€๋กœ ฮฒ์ƒ์— ๋‚จ์•„ ์žˆ๋Š” Nb๋Š” 2% ์ด๋‹ค. ฮฒ-Nb ์ƒ์˜ ํ‰ํ˜• Nb ๋†๋„๋Š” 90%์ •๋„ ์ด๋ฏ€๋กœ ฮฒ-Nb์˜ ๋ถ€ํ”ผ๋Š” 2%/0.9 = 2.2%๊ฐ€ ๋œ๋‹ค. ์ฆ‰, ฮฒ ์ƒ์˜ ๋ถ„ํ•ด๊ฐ€ ์™„๋ฃŒ๋˜๋ฉด ฮฒ ์ƒ์˜ ๋ถ€ํ”ผ๋Š” 10%์—์„œ 2.2%๋กœ 78% ์ •๋„ ๊ฐ์†Œ๋œ๋‹ค.

ฮฒ-Zr ์ƒ์˜ ๋ถ„ํ•ด ๊ณผ์ •์€ ฮฒ-Zr โ†’ ฮฒ-Nb + ฮฑ-Zr์ด๋‹ค[12]. ๊ทธ๋Ÿฌ๋‚˜ ์ดˆ๊ธฐ ฮฒ-Zr์„ ๊ตฌ์„ฑํ•˜๊ณ  ์žˆ๋Š” ์ด ์›์ž์˜ ์ˆ˜๋Š” ๋ณ€ํ™”ํ•˜์ง€ ์•Š๊ธฐ ๋•Œ๋ฌธ์— ฮฒ-Zr ์ƒ์— ๋“ค์–ด ์žˆ๋Š” Zr์€ ๋ฐ–์œผ๋กœ ๋ฐ€๋ ค๋‚˜ ฮฑ-Zr์ด ๋œ๋‹ค. ์ด ๊ณผ์ •์—์„œ ํ˜•์„ฑ๋˜๋Š” ์ƒˆ๋กœ์šด ฮฑ-Zr์€ ์žฌ๊ฒฐ์ • ๊ณผ์ •์—์„œ ํ•ต์œผ๋กœ ์ž‘์šฉํ•  ๊ฒƒ์ด๋‹ค. ๋”ฐ๋ผ์„œ ๊ธฐ์กด์˜ ฮฑ-Zr์€ ์žฌ๊ฒฐ์ • ๊ณผ์ •์—์„œ ์ œ2์ƒ ์ฃผ์œ„์— ์ƒˆ๋กญ๊ฒŒ ํ˜•์„ฑ๋œ ฮฑ-Zrํ•ต์„ ๋”ฐ๋ผ์„œ ์„ฑ์žฅํ•  ๊ฒƒ์ด๋‹ค. ์ด๊ฒƒ์ด ์žฌ๊ฒฐ์ • ๊ณผ์ •์—์„œ ๋‚˜ํƒ€๋‚˜๋Š” ๊ฒฐ์ •์˜ ํšŒ์ „์„ ์œ ๋ฐœํ•˜๋Š” ์›์ธ์œผ๋กœ ๋ณด์ธ๋‹ค.

ฮฒ-Zr ์ƒ์ด๋‚˜ ฯ‰ ์ƒ์€ 350 ยฐC ์ดํ•˜์—์„œ๋งŒ ๊ด€์ฐฐ๋˜๊ณ  ์ด ์˜จ๋„์—์„œ๋Š” ์žฌ๊ฒฐ์ •์ด ์ผ์–ด๋‚˜์ง€ ์•Š์œผ๋ฏ€๋กœ ์ด๋“ค์€ ์žฌ๊ฒฐ์ •์— ์˜ํ–ฅ์„ ๋ฏธ์น˜์ง€ ์•Š๋Š”๋‹ค. ๋ฐ˜๋ฉด, 475 ยฐC ์ด์ƒ์—์„œ ฮฒ-Nb ์ƒ์˜ ํ˜•์„ฑ์€ ๊ฒฉ์ž 7.5% ์ •๋„์˜ ๊ฒฉ์ž ์ˆ˜์ถ•๊ณผ 78% ์ •๋„์˜ ๋ถ€ํ”ผ ๊ฐ์†Œ๋ฅผ ์ˆ˜๋ฐ˜ํ•˜๊ธฐ ๋•Œ๋ฌธ์— ์žฌ๊ฒฐ์ • ๊ณผ์ •์— ํฐ ์˜ํ–ฅ์„ ๋ฏธ์น˜๋Š” ๊ฒƒ์œผ๋กœ ๋ณด์ธ๋‹ค. 550 ยฐC ์ดํ•˜์—์„œ์˜ ๋“ฑ์˜จ ๋ฐ ๋“ฑ์‹œ ์†Œ๋‘”์—์„œ ์ œ2์ƒ์˜ ๋ณ€ํ™”์— ๋”ฐ๋ฅธ ๊ฒฉ์ž ์ˆ˜์ถ•๊ณผ ๋ถ€ํ”ผ ๊ฐ์†Œ๋Š” ์žฌ๋ฃŒ ๋‚ด๋ถ€์—์„œ ์Šค์Šค๋กœ ์‘๋ ฅ์„ ๋ฐœ์ƒ์‹œํ‚ค๋Š” ์ž‘์šฉ์„ ํ•˜๋ฉฐ, ฮฒ-Zr ์ƒ์—์„œ ๋ฐ€๋ ค๋‚˜ ์ƒˆ๋กญ๊ฒŒ ํ˜•์„ฑ๋˜๋Š” ฮฑ-Zr์€ ์žฌ๊ฒฐ์ •์˜ ํ•ต์„ ์ œ๊ณตํ•ด ์ง‘ํ•ฉ์กฐ์ง ๋ณ€ํ™”๋ฅผ ์ผ์œผํ‚ค๋Š” ๊ฒƒ์œผ๋กœ ํŒ๋‹จ๋œ๋‹ค.

5. ๊ฒฐ ๋ก 

Zr-2.5%Nb ํ•ฉ๊ธˆ ์••๋ ฅ๊ด€ ์žฌ๋ฃŒ๋ฅผ ๋“ฑ์˜จ ๋ฐ ๋“ฑ์‹œ ์†Œ๋‘”ํ•˜๊ณ  XRD ๋ฐ EBSD๋ฅผ ์ด์šฉํ•˜์—ฌ ์žฌ๊ฒฐ์ •๊ณผ ์ง‘ํ•ฉ์กฐ์ง์˜ ๋ณ€ํ™”๋ฅผ ํ™•์ธํ•œ ๊ฒฐ๊ณผ ๋‹ค์Œ๊ณผ ๊ฐ™์€ ๊ฒฐ๋ก ์„ ์–ป์—ˆ๋‹ค.

1. ฮฑ-Zr ์˜์—ญ์ธ 500-550 ยฐC์—์„œ 240์‹œ๊ฐ„์˜ ์†Œ๋‘” ์ฒ˜๋ฆฌ์— ์˜ํ•˜์—ฌ ์žฌ๊ฒฐ์ • ๋ฐ ์ง‘ํ•ฉ์กฐ์ง ๋ณ€ํ™”๊ฐ€ ๋™์‹œ์— ์ผ์–ด๋‚œ๋‹ค.

2. 475-550 ยฐC์—์„œ์˜ ์†Œ๋‘” ์ฒ˜๋ฆฌ์— ์˜ํ•˜์—ฌ ฮฒ ์ƒ์˜ ๋ถ€ํ”ผ ๋ถ„์œจ์€ ์•ฝ 10%์—์„œ ์•ฝ 2.2% ์ •๋„๋กœ 78% ๊ฐ์†Œํ•˜๋ฉฐ, ฮฒ ์ƒ์˜ (110) ๋ฉด์˜ ๊ฒฉ์ž ๊ฑฐ๋ฆฌ๋Š” 7.5% ์ •๋„ ๊ฐ์†Œํ•œ๋‹ค.

3. ์†Œ๋‘”์— ์˜ํ•œ ์ œ2์ƒ์˜ ๊ฒฉ์ž ์ˆ˜์ถ•๊ณผ ๋ถ€ํ”ผ ๊ฐ์†Œ๋Š” ์žฌ๋ฃŒ ๋‚ด๋ถ€์— ์Šค์Šค๋กœ ์‘๋ ฅ์„ ์ œ๊ณตํ•˜์—ฌ ์žฌ๊ฒฐ์ •์— ๋Œ€ํ•œ ๊ตฌ๋™๋ ฅ์„ ์ œ๊ณตํ•œ๋‹ค.

4. ์ œ2์ƒ์˜ ๋ถ„ํ•ด ๊ณผ์ •์€ ์ƒˆ๋กœ์šด ฮฑ-Zr์„ ์„์ถœ์‹œํ‚ค๊ณ  ์ด๊ฒƒ์€ ฮฑ-Zr ์žฌ๊ฒฐ์ •์˜ ํ•ต์„ ์ œ๊ณตํ•จ์œผ๋กœ์จ ๊ฒฐ์ • ํšŒ์ „๊ณผ ์ง‘ํ•ฉ์กฐ์ง ๋ณ€ํ™”๋ฅผ ์ผ์œผํ‚จ๋‹ค.

5. ์—ญ ๊ทน์ ๋„(inverse pole figure)๋ฅผ ๊ธฐ์ค€์œผ๋กœ ํ•  ๋•Œ 500 ยฐC ์ด์ƒ์—์„œ 240์‹œ๊ฐ„ ์ด์ƒ ์—ด์ฒ˜๋ฆฌํ•˜๋ฉด ์žฌ๊ฒฐ์ • ๊ณผ์ •์—์„œ (1010) ๋ฉด์€ (2131) ๋ฉด ๋ฐฉํ–ฅ์œผ๋กœ ์•ฝ 22ยฐ ์ •๋„ ํšŒ์ „ํ•œ๋‹ค.

Acknowledgements

์ด ์—ฐ๊ตฌ๋Š” ๋ฏธ๋ž˜์ฐฝ์กฐ๊ณผํ•™๋ถ€์˜ ์žฌ์›์œผ๋กœ ํ•œ๊ตญ์—ฐ๊ตฌ์žฌ๋‹จ์˜ ์ง€์›์„ ๋ฐ›์•„ ์ˆ˜ํ–‰๋˜์—ˆ์Šต๋‹ˆ๋‹ค(์„ธ๋ถ€๊ณผ์ œ๋ฒˆํ˜ธ: 2017M2A8A4015157).

REFERENCES

1 
Ibrahim E. F., Cheadle B. A., Can. Metal. Quart,24, 273 (1985)Google Search
2 
Srivastava D., dey G. K., Banerjee S., Metall. Mater. Trans. A,26, 2707 (1995)Google Search
3 
Parodi S. A., Ponzoni L. M. E., De Las Heras M. E., Mieza J. I., Domizzi G., J. Nucl. Mater,477, 305 (2016)Google Search
4 
Amouzouvi K. F., Clegg L. J., Metall. Trans. A,18, 1687 (1987)Google Search
5 
Coleman C. E., Cheadle B. A., Cann C. D., Theaker J. R., ASTM STP,1295, 884 (1996)Google Search
6 
Sagat S., Coleman C. E., Griffiths M., Wilkins B. J. S., ASTM STP,1245, 35 (1994)Google Search
7 
Kim S. S., Kim Y. S., J. Nucl. Mater,279, 286 (2000)Google Search
8 
Cheong Y. M., Kim S. S., Kim Y. S., J. Nucl. Mater,303, 83 (2002)Google Search
9 
Cheadle B. A., Coleman C. E., Nucl. Technol,57, 414 (1982)Google Search
10 
Kim S. S., Kim Y. S., Kwon S. C., Ahn S. B., Choo K. N., Transactions of 15th SMiRT (Sung Pil Chang), 263Korean Nuclear Society (1999)Google Search
11 
Chai L., Wang T., Ren Y., Song B., Guo N., Chen L., Met. Mater. Int,24, 673 (2018)Google Search
12 
Griffiths M., Winegar J. E., Buyers A., J. Nucl. Mater,383, 28 (2008)Google Search
13 
Lim S., Kim S., Lee K., Korean J. Met. Mater,57, 203 (2019)Google Search
14 
Kim S., lim S., Ahn D., Lee G., Chang K., Met. Mater. Inter,25, 838 (2019)Google Search
15 
Kim S. S., Kim Y. S., Korean J. Met. Mater,38, 985 (2000)Google Search
16 
Kim S. S., Cheong Y. M., S Y., Korean J. Met. Mater,42, 127 (2004)Google Search
17 
Kim S., Metall. Mater. Trans. A,37, 59 (2006)Google Search
18 
Massalski T., Binary alloy phase diagram (Nb-Zr),1712-1710, ASM (1986)Google Search
19 
Porter D. A., Eastering K. E., Phase transformation in Metals and Alloys 3rd ed,133-143, Van Nostrand Reinhold Company (1981)Google Search

Figures and Tables

Fig. 1.

Inverse pole figures in as received Zr-2.5% Nb pressure tube material.

../../Resources/kim/KJMM.2020.58/kjmm-2020-58-10-672f1.jpg
Fig. 2.

TEM microstructure of as received and annealed Zr-2.5Nb pressure tube material, (a) as-received, (b) 400 ยฐC, (c) 475 ยฐC, and (d) 550 ยฐC for 240 hours [11, 12].

../../Resources/kim/KJMM.2020.58/kjmm-2020-58-10-672f2.jpg
Fig. 3.

Orientation image map by EBSD, (a) as-received, and (b) annealing at 550 ยฐC for 240 hours in Zr-2.5%Nb pressure tube material.

../../Resources/kim/KJMM.2020.58/kjmm-2020-58-10-672f3.jpg
Fig. 4.

Texture coefficient (TC) variation by XRD in longitudinal normal plane after isochronal annealing at 350-550 ยฐC for 240 hours in Zr-2.5%Nb pressure tube material.

../../Resources/kim/KJMM.2020.58/kjmm-2020-58-10-672f4.jpg
Fig. 5.

Variation of inverse pole figure by XRD in longitudinal normal plane after isochronal annealing in Zr-2.5%Nb pressure tube material, (a) as-received, (b) 475 ยฐC, (c) 500 ยฐC, and (d) 550 ยฐC for 240 hours.

../../Resources/kim/KJMM.2020.58/kjmm-2020-58-10-672f5.jpg
Fig. 6.

Orientation image measured by EBSD after isothermal annealing in Zr-2.5%Nb pressure tube material, (a) at 500 ยฐC for 240 hours, (b) at 500 ยฐC for 1,000 hours, and (c) at 500 ยฐC for 3,000 hours.

../../Resources/kim/KJMM.2020.58/kjmm-2020-58-10-672f6.jpg
Fig. 7.

Texture coefficient (TC) variation by XRD in longitudinal normal plane after isothermal annealing at 500 ยฐC up to 3,000 hours in Zr-2.5%Nb pressure tube material.

../../Resources/kim/KJMM.2020.58/kjmm-2020-58-10-672f7.jpg
Fig. 8.

Variation of inverse pole figures by XRD in longitudinal normal plane after isochronal annealing in Zr-2.5%Nb pressure tube material, (a) as-received, (b) at 550 ยฐC for 240 hours, (c) for 1,000 hours, and (d) for 3,000 hours.

../../Resources/kim/KJMM.2020.58/kjmm-2020-58-10-672f8.jpg
Fig. 9.

Variation of inverse pole figures by EBSD in longitudinal normal plane measured after isochronal annealing in Zr-2.5%Nb pressure tube material, (a) as-received, (b) at 550 ยฐC for 240 hours, (c) for 1,000 hours, and (d) for 3,000 hours.

../../Resources/kim/KJMM.2020.58/kjmm-2020-58-10-672f9.jpg
Fig. 10.

Variation of Nano hardness by nano indentation and of FWHM by XRD after isochronal annealing for 240 hours in Zr-2.5%Nb pressure tube material.

../../Resources/kim/KJMM.2020.58/kjmm-2020-58-10-672f10.jpg
Fig. 11.

Variation of ฮฒ-phase by XRD after isochronal annealing for 240 hours in Zr-2.5%Nb pressure tube material.

../../Resources/kim/KJMM.2020.58/kjmm-2020-58-10-672f11.jpg
Fig. 12.

Variation of d spacing of ฮฒ-phase by XRD after isochronal annealing for 240 hours in Zr-2.5%Nb pressure tube material.

../../Resources/kim/KJMM.2020.58/kjmm-2020-58-10-672f12.jpg
Table 1.

Chemical composition of Zr-2.5%Nb pressure tube material (wt%).

Zr Nb Fe O N P
97.4 2.5 0.05 0.097 0.007 0.003
Table 2.

d(110) spacing variation with annealing temperature in Zr-2.5%Nb pressure tube material.

Annealing temperarture [ยฐC] pahse 2 theta d ratio, %
As received ฮฒ Zr 35.30 2.54 0.00
ฯ‰ phase 35.64 2.517 -0.75
350 ฮฒ Zr 35.41 2.533 -0.12
ฯ‰ phase 35.75 2.51 -1.03
ฮฒ Nb 36.96 2.43 -4.38
400 ฮฒ Nb 37.59 2.39 -5.80
475 ฮฒ Nb 38.30 2.348 -7.41
500 ฮฒ Nb 38.34 2.346 -7.49
550 ฮฒ Nb 38.35 2.345 -7.53