The Journal of
the Korean Journal of Metals and Materials

The Journal of
the Korean Journal of Metals and Materials

Monthly
  • pISSN : 1738-8228
  • eISSN : 2288-8241

Editorial Office


  1. 인제대학교 나노융합공학과 (Department of Nanoscience and Engineering, High Safety Vehicle Core Technology Research Center, Inje University, Gyeongnam 50834, Republic of Korea)
  2. 동의대학교 신소재공학부 (Division of Advanced Materials Engineering, Dong-Eui University, Busan 47340, Republic of Korea)



WO3, H2O2 addition amount, photoelectrochemical (PEC), photocurrent density, dark current density

1. 서 론

수소 생산 방법중의 하나인 광전기화학 전지는 1972년에 Fujishima와 Honda가 n-type 물질인 titanium dioxide (TiO2)를 이용하여 처음으로 개발하였으며 [1], 이후 다양한 광전극 물질을 이용한 광전기화학 전지에 대한 연구가 많이 진행되고 있다 [2,3]. 광전극 내에서 전자-정공 쌍이 생성되기 때문에 광전극은 광전기화학전지에서 매우 중요한 역할을 한다고 할 수 있다 [4-6]. 특히, 금속 산화물 반도체를 이용한 광전극은 자원이 풍부하고 독성이 없고 제조된 즉시 사용 가능하다는 장점을 가지고 있다 [6].

광전기화학 전지에 사용되는 광전극으로는 tungsten oxide (WO3) [7], iron (III) oxide (Fe2O3) [8,9], Zinc oxide (ZnO) [10], copper (I) oxide (Cu2O) [11] 그리고 copper (II) oxide (CuO) [12,13]와 같은 금속 산화물 반도체가 많이 사용되고 있다. 금속 산화물 반도체 물질들 중에서 WO3는 광학적 에너지 밴드갭이 대략 2.4~3.86 eV 범위의 값을 가지고 있으며, 산성 용액 안에서 내식성이 우수하고 전자 수송이 우수하다는 장점이 있다 [14,15]. 이러한 장점으로 인해 WO3는 광전기화학 전지뿐만 아니라 전기변색소자, 가스 센서, 스마트 윈도우 등 다양한 분야에서 많이 연구되고 있는 물질이다 [16]. 그러나, 광전기 화학 전지에서의 WO3 광전극은 빠른 전자-정공 재결합 때문에 광효율이 낮다는 단점이 있다 [17]. 이러한 WO3 광전극의 문제점을 해결하기 위해서 도핑, 이종접합, 첨가제 추가 등 다양한 방법들을 이용한 연구가 진행되고 있다 [18-20]. WO3 광전극 제작을 위해서 tungstic acid (H2WO4) 침전물을 이용할 수 있으며, 추가로 hydrogen peroxide (H2O2)와 oxalic acid (H2C2O4)와 같은 첨가제가 사용된다고 알려져 있다 [21-25]. H2C2O4는 H2WO4 침전물의 안정제 및 용매로 사용되고, WO3 전구체 용액의 pH값을 조절할 수 있다고 알려져 있다 [22]. F. Zheng 등의 연구에 의하면 H2C2O4 첨가제를 이용하여 WO3 전구체 용액의 pH 값을 조절하고, 전구체 용액 pH 2.0 조건에서 indium tin oxide (ITO) 기판 위에 수직 성장된 WO3 나노로드를 얻을 수 있었다고 보고된 바 있다 [22]. 한편, H2O2는 H2WO4 침전물의 안정제 및 용매로 사용되어 WO3 용액을 안정하고 투명하게 만들어 준다고 알려져 있다 [21,23,24]. 그러나, H2O2 첨가량에 따른 WO3에 대한 연구는 거의 없으며, 특히 WO3 광전극의 광전기화학적 특성 연구 또한 거의 없는 실정이다.

암전류는 광전기화학적 특성에 매우 부정적인 영향을 미치기 때문에 암전류 밀도 값 개선은 광전기화학적 연구에 있어서 매우 중요하다고 할 수 있다 [26-28]. 암전류 밀도값은 광원을 조사하지 않았을 때의 전류를 의미하며, 광생성된 전자-정공의 재결합 또는 전자 터널링 등에 의해 발생한다고 알려져 있다 [28]. 또한, 암전류는 다수 캐리어 (n-type 반도체 : 전자 / p-type 반도체 : 정공)의 느린 이동으로 인한 광전극 표면에서의 축적으로 인해서도 발생하는 것으로 알려져 있다 [29]. 따라서, 광전기화학에서 암전류 밀도 값을 감소시키는 것은 광효율을 향상시키기 위해 매우 중요하며, 이를 위하여 많은 연구자들이 도핑, p-n 이종접합, 첨가제 추가 등 다양한 방법들을 이용하여 연구를 진행해오고 있다 [30-33]. A. N. Shazly의 연구에서는 ZnO 나노로드 위에 TiO2 코어쉘을 적층함으로써 광생성된 캐리어들의 재결합을 감소시켜 ZnO 광전극의 광전류 밀도값이 향상되었고, 암전류 밀도 값은 감소하였다고 보고하였다 [30]. Y. S. Lee의 연구 보고에 의하면 Cu2O와 Aldoped ZnO 사이에 atomic layer deposition을 이용하여 5 nm 두께의 amorphous zinc tin oxide 버퍼층을 삽입함으로써 Cu2O 태양 전지의 전기적, 광학적 특성을 향상 시켜 암전류 밀도 값을 감소시켰으며, 이로 인해 광효율 특성을 향상시켰다 [32]. 그러나, 대부분의 암전류 밀도 개선 연구는 도핑, 적층 등을 이용하여 광생성된 캐리어들이 효율적으로 이동할 수 있도록 하는 구조적 개선 연구에 국한되어 왔다. 이에 반해, 첨가제를 이용한 암전류 밀도 값 개선 연구는 거의 없으며, WO3 광전극에 대한 연구 또한 거의 없는 실정이다.

WO3 광전극은 스핀 코팅법 [34], 화학용액증착법 [35], 수열 합성법 [36]과 같은 다양한 방법으로 제조될 수 있다. 이중에서 스핀 코팅법은 공정 방법이 간단하며 공정 시간이 짧고 공정 비용이 저렴하다는 장점이 있다 [37]. 본 연구에서는 스핀 코팅법을 이용하여 WO3 광전극을 제조하고, H2O2 첨가제가 WO3 광전극의 광전류 밀도 및 암전류 밀도에 미치는 영향을 알아보기 위하여 H2O2 첨가량에 따른 WO3 광전극의 형태학적, 구조적, 광학적, 전기적 그리고 광학적 특성을 각각 분석하였다. 형태학적 특성은 field emission scanning electron microscopy (FE-SEM), 구조적 특성은 X-ray diffraction (XRD), 광학적 특성은 UV-visible spectrophotometer (UV-vis), 전기적 특성은 electrochemical impedance spectroscope (EIS), 광전기화학적 특성은 three-electrode potentiostat/galvanostat을 사용하여 분석하였다.

2. 실험 방법

Fluorine-doped tin oxide (FTO, 7 Ω/□) 기판을 초음파 세척기를 이용하여 아세톤과 메탄올에 각각 10분 동안 세척하였다. 이후 세척된 FTO 기판은 초순수를 이용하여 헹군 뒤 정화된 공기로 건조시켰다. 건조된 FTO 기판을 초순수가 담긴 비이커에 넣고 마이크로웨이브 장비(Winiadaewoo, KR-L260BBC, 700 W)에서 10분 동안 표면 처리를 진행하였다. WO3 광전극 박막을 제조하기 위한 전구체 용액인 0.2 M sodium tungstate dehydrate (Na2WO4·H2O, reagent 99%, Aldrich)을 20분 동안 교반하였다. 교반 후 hydrogen chloride (HCl) 36% 수용액을 1:2 (HCl 부피 : Na2WO4 전구체 용액 부피)의 부피 비로 첨가하고 10분 동안 교반하였다. 이때 H2WO4 침전물은 HCl를 첨가하자 마자 즉시 생성되었다. 교반이 완료된 H2WO4 침전물이 포함된 용액을 10분 동안 상온에 방치하면 침전물이 가라앉게 되며 침전물과 상층액으로 층 분리가 일어난다. 이때 스포이드를 이용하여 분리된 상층액을 제거하였다. 그리고 남겨진 침전물에 초순수를 첨가하여 침전물 세척 처리를 진행하였다. 본 연구에서 진행한 침전물 세척 처리 1회는 침전물이 포함된 용액 교반 → 침전물 및 상층액 분리 → 상층액 제거 → 남겨진 침전물에 초순수를 첨가하는 단계를 말한다. 본 연구에서, 침전물 세척 처리는 총 14회를 진행하여 침전물의 pH 값을 2.0으로 조절하였다. 이후 원심분리기를 이용하여 침전물과 상층액을 완전히 분리 시킨 뒤, 침전물에 0.05, 0.1, 0.2, 0.3, 0.4 mL의 hydrogen peroxide (H2O2)를 첨가하였고, H2O2 첨가제의 효과를 확인하기 위해 H2O2 첨가제를 첨가하지 않은 침전물 (0 mL)도 함께 제작하였다. 그리고 침전물과 H2O2가 섞인 혼합물은 바이알 믹서기를 이용하여 교반하였다. 제조된 용액은 표면 처리가 된 FTO 기판 위에 떨어뜨리고 스핀 코팅 장비 (Dong Ah Trade Corp., ACE-200)를 이용하여 4000 revolutions per minute (RPM)으로 30 초 동안 도포하였다. 용액이 도포된 기판은 전기 오븐을 이용하여 80 °C에서 10분 동안 건조하였고, 용액의 도포와 건조를 3회 반복 진행하였다. 3회 반복이 완료된 WO3 광전극은 퍼니스 장비 (HAN TECH, C-A14P)를 이용하여 대기압, 공기 분위기에서 600 °C, 40 분 동안 열처리 공정을 진행하였다.

H2O2 첨가량에 따른 WO3 광전극의 형태학적, 구조적, 광학적 및 전기적 특성은 FE-SEM (Quanta 200 FEG), XRD (X’Pert PRO MPD; PANalytical, at Core-facility for Converging Materials of Dongeui University), UV-vis spectroscopy (SINCO, S-3100) 그리고 EIS (ZIVE SP1) 장비를 이용하여 각각 분석하였다. EIS 측정 조건은 AC amplitude는 10 mV, frequency는 10 kHz, 그리고 -1.0 V에서 0.5 V (vs. SCE)까지 전압을 인가하였으며, 빛을 조사하지 않은 상태에서 측정하였다. 광전기화학적 특성은 three-electrode potentiostat/galvanostat 장비를 이용하여 분석하였으며, 상대 전극은 그라파이트 막대, 기준 전극은 saturated calomel electrode (SCE), 작업 전극은 본 연구에서 제조한 WO3 광전극을 사용하였다. 전해질은 0.5 M Na2SO4 (pH 5.7) 용액을 사용하였고, 광원은 300 W 제논 램프를 이용하여 1-sun illumination (AM 1.5 filter, 100 mW/cm2) 조건 아래에서 측정하였다. 그리고 스캔 속도는 10 mV/s, 전압은 0~2.0 V (vs. SCE)까지 인가하였고, 광전류 밀도는 광원을 10초 간격으로 개폐시켜 구한 current-voltage (I-V) curve를 이용하여 분석하였다.

3. 결과 및 고찰

그림 1은 H2O2 첨가량에 따른 WO3 광전극의 FE-SEM 평면 이미지와 샘플 이미지를 나타낸 것이다. H2O2가 첨가되지 않은 0 mL 샘플과, H2O2가 0.05, 0.1 mL 첨가된 샘플들은 FTO 기판 위에 WO3 박막이 불균일하게 증착되어 FTO 기판이 드러나는 것을 확인할 수 있고, 기판이 드러난 부분과 WO3 박막이 있는 부분 사이에 결함이 있는 것을 확인할 수 있다. WO3 박막은 H2WO4 침전물을 이용하여 제조되는데, 이때 H2WO4 침전물은 첨가되는 H2O2에 의해 용해 된다. 즉, 첨가되는 H2O2의 양으로 전구체 용액의 농도를 조절할 수 있다. 전구체 용액의 농도는 FTO 기판 위에 증착되는 WO3 박막에 많은 영향을 미칠 수 있다. Y. Z. Zheng의 연구에 의하면 지나치게 높은 전구체 농도는 스핀 코팅법을 이용하여 증착시킨 CH3NH3PbI3 박막을 불균일하게 하여 광전변환 효율을 저하시킨다고 보고하였다 [38]. 0 mL 샘플을 포함한 0.05, 0.1 mL 샘플들은 소량의 H2O2 첨가로 전구체 용액의 농도가 매우 높고, 이에 따라 WO3 박막이 FTO 기판 위에 불균일하게 증착된 것으로 판단된다. 한편, H2O2 양이 0.2 mL 이상인 샘플들은 WO3 박막이 균일하게 증착되었으며 표면이 부드러운 형태를 나타내고 있고 WO3 박막의 형태가 큰 차이가 없는 것을 확인할 수 있다. S. S. Kalanur 연구에 의하면 H2WO4에 H2O2를 첨가하면 H2WO4의 리간드를 킬레이트화 함으로써 안정한 콜로이드 용액을 얻을 수 있고 이를 이용하여 FTO 기판 위에 균일한 WO3 나노로드를 수열합성법으로 얻을 수 있었다고 보고하였다 [21]. 본 연구에서는 0.2 mL부터 H2O2 첨가제의 영향을 제대로 받기 시작한 시점으로 판단되며 WO3 박막이 균일하게 증착될 수 있을 정도로 H2WO4 침전물의 용해가 이뤄져 표면이 균일하고 부드러운 WO3 광전극이 제조된 것으로 판단된다. 반면, 0, 0.05, 0.1 mL 샘플들은 소량의 H2O2 첨가량으로 인해 H2O2 효과를 제대로 받지 못하여 불균일한 WO3 박막을 얻었다고 판단된다. 0, 0.05, 0.1, 0.2 mL, 0.3 mL, 0.4 mL 샘플들의 두께는 각각 885 nm, 1005 nm, 1070 nm, 1180 nm, 200 nm, 150 nm으로 나타났다. WO3 박막의 두께는 FE-SEM 단면 이미지를 통해 각 샘플마다 12 군데에서 측정한 두께 값들의 평균 값으로 구하였다. 0, 0.05, 0.1 mL 샘플들은 그림 1에서 확인했듯이 FTO 기판 위에 매우 불균일하게 증착되었기 때문에 WO3 박막이 증착된 부분을 이용하여 두께를 측정하였다. H2O2 첨가량이 0 mL에서 0.2 mL까지 증가함에 따라 WO3 박막의 두께는 증가하고, 이후 H2O2 첨가량이 증가함에 따라 두께가 감소하는 경향을 나타내고 있다. 0.2 mL 샘플은 가장 두꺼운 두께를 나타내고 있는데, 이는 0.2 mL의 H2O2 첨가량으로 인해 침전물의 용해가 잘 일어났고 이로 인해 균일하고 두꺼운 WO3 박막이 얻어졌다고 판단된다. 반면, 0.2 mL를 초과하는H2O2를 첨가하면 과도한 침전물의 용해로 인해 전구체 용액의 농도가 낮아져 두께가 얇아지는 것으로 판단된다.

그림 2는 WO3 광전극의 구조적 특성 분석을 나타낸 것이다. 그림 2(a)는 H2O2 첨가량에 따른 WO3 광전극의 XRD 스펙트라를 나타낸 것이다. WO3 광전극의 (100), (020), (200) 면을 의미하는 피크들이 각각 23.21 °, 24.38 °, 47.44 ° 부근에서 확인되었다 (ICSD card No. 8-003-6168). 그림에서 보이듯이, 0.4 mL 샘플을 제외하고 나머지 모든 샘플에서 (100) 면 방향의 XRD 피크 세기가 다른 면 방향의 XRD 피크 세기보다 월등히 큰 것을 볼 수 있다. 일반적으로 가장 강한 세기의 XRD 피크는 해당 면 방향으로의 우선 성장을 의미한다고 알려져 있다 [39]. 결과적으로 0.4 mL 샘플을 제외한 모든 샘플들은 (100) 면 방향으로 우선 성장하였음을 확인할 수 있다. 그림 2(b)그림 2(a)의 스펙트라에 나타난 (100) XRD 피크의 세기를 H2O2 첨가 양에 따라 나타낸 것이다. H2O2 양이 0 mL에서 0.2 mL까지 증가함에 따라 XRD 피크 세기가 증가하고, 이후 H2O2 양이 증가함에 따라 감소하는 경향을 확인할 수 있다. XRD (100) 피크 세기와 WO3 광전극 두께의 경향성이 유사한 것을 확인할 수 있는데, XRD (100) 피크 세기가 가장 큰 0.2 mL 샘플이 가장 두꺼운 것을 확인할 수 있다. 결과적으로 (100) 면 방향으로의 성장이 WO3 광전극의 두께와 밀접한 관계가 있다고 판단된다.

그림 3은 UV-vis spectroscopy를 이용하여 H2O2 첨가량에 따른 WO3 광전극의 광학적 특성을 분석한 결과를 나타낸 것이다. 그림 3(a)는 WO3 광전극의 흡수도를 나타낸 그래프이다. H2O2가 첨가되지 않은 0 mL 샘플이 가장 낮은 흡수도를 나타내고 있으며, 0 mL에서 0.2 mL까지 증가함에 따라 흡수도가 증가하고, 이후 H2O2양이 증가함에 따라 다시 감소하는 경향을 나타내고 있다. 흡수 계수 (α)는 측정된 흡수도 (A)와 박막의 두께 (d)를 이용한 α=2.303 (A/d) 식을 이용하여 계산하였다. 그리고 흡수계수를 사용하여 (αhν)2 vs. Eg 그래프를 그림 3(b)에 나타내었고, (αhν)2 = B(hν-Eg)를 이용하여 구한 광학적 에너지 밴드갭 값을 그래프에 나타내었다(hν : 광자에너지, B : 물질의 고유상수, Eg : 물질의 광학적 에너지 밴드갭). 0, 0.05, 0.1 0.2, 0.3 및 0.4 mL 샘플의 광학적 에너지 밴드갭은 각각 3.49, 3.48, 3.51, 2.81, 3.6 및 3.65 eV이다. 일반적으로 알려진 WO3의 광학적 에너지 밴드갭은 2.4~3.86 eV이며 [40,41], 본 연구에서 제조된 모든 샘플들은 WO3에 해당하는 광학적 에너지 밴드갭 값을 나타내고 있다. 그리고, 0, 0.05, 0.1 mL 조건으로 제조된 샘플들의 광학적 에너지 밴드갭들은 그림 1에 보이듯이 비록 WO3가 성장되었지만 FTO기판이 드러날 정도로 불균일하게 성장되었기 때문에 WO3뿐만아니라 FTO 기판(3.5~4.0 eV)의 영향도 받은 것으로 판단된다 [42,43]. 이에 따라 빛을 충분히 흡수할 수 없기 때문에 비교적 낮은 흡수도 및 높은 광학적 에너지 밴드갭 값을 가지는 것으로 판단된다. H2O2 양에 따라 WO3 광전극의 흡수도 및 광학적 에너지 밴드갭 값이 변하는 이유는 H2O2 첨가제 영향과 WO3 광전극의 두께와 관련이 있다고 판단된다. 우선, H2O2를 첨가한 샘플들은 H2O2 첨가하지 않은 샘플보다 높은 흡수도를 가지고 있는 것을 그림 3(a)로부터 확인할 수 있다. S. Kang의 연구에 의하면, TiO2 나노 파티클 파우더에 H2O2를 첨가하면 TiO2 표면은 흡착된 H2O2 분자를 통해 – OOH 그룹으로 변형되어 산소 결함을 발생시키고 이러한 산소 결함은 격자 산소 원자와 상호 작용하여 격자상수가 증가하고 흡수도가 증가한다고 보고하였다 [19]. 결과적으로 H2O2의 첨가는 WO3 광전극의 흡수도를 향상시키는데 긍정적인 영향을 주는 것으로 판단된다. 한편, 0.2 mL 샘플이 높은 흡수도 및 낮은 광학적 에너지 밴드갭을 가지는 이유는 WO3 광전극의 두께와 관련이 있다고 판단된다. 일반적으로 두께는 광을 흡수하는 양에 많은 영향을 주는 것으로 알려져 있으며, 두께가 두꺼울수록 많은 양의 빛을 흡수할 수 있고 광학적 에너지 밴드갭 값이 감소하는 경향을 나타내는 것으로 알려져 있다 [44,45]. 따라서, 가장 두꺼운 두께를 가지고 있는 0.2 mL 샘플이 높은 흡수도 및 낮은 광학적 에너지 밴드갭을 가지는 것으로 판단된다. 그리고 0.3, 0.4 mL 샘플들은 과량의 H2O2 첨가로 인해 0.2 mL 샘플의 두께보다 얇은 두께를 가지기 때문에 낮은 흡수도 및 높은 광학적 에너지 밴드갭 값을 가지는 것으로 판단된다. 결과적으로 H2O2를 첨가한 WO3 광전극들이 H2O2 첨가하지 않은 샘플보다 높은 흡수도를 가지며, 균일하고 두꺼운 두께를 가지는 0.2 mL 샘플에서 가장 높은 흡수도 및 낮은 광학적 에너지 밴드갭을 가지는 것으로 나타났다.

H2O2 양에 따라 증착된 WO3 광전극의 광전기화학적 특성 분석 결과를 그림 4에 나타내었다. AM 1.5 필터가 사용된 300 W 제논 램프를 이용하여 1-sun illumination (100 mW/cm2) 조건에서 0~2.0 V (vs. SCE)까지 전압을 인가하여 측정된 전류밀도 (current density) 그래프를 그림 4(a)에 나타내었다. 그림 4(b)는 전압 1.7 V (vs. SCE)에서 광원을 조사하였을 때의 전류밀도 값과 광원을 조사하지 않았을 때의 전류밀도 값의 차이를 나타내는 광전류 밀도 (photocurrent density)값 그리고 광원을 조사하지 않았을 때의 암전류 밀도 (dark current density)값을 나타낸 것이다. 광전류 밀도 값은 H2O2 양이 0 mL에서 0.2 mL까지 증가함에 따라 증가하고, 이후 다시 감소하는 경향을 나타내고 있다. 그리고 암전류 밀도 값은 H2O2 양이 증가함에 따라 꾸준히 감소하는 경향을 나타내는 것을 확인할 수 있다. 0, 0.05, 0.1 mL 샘플들이 낮은 광전류 밀도 값과 높은 암전류 밀도 값을 가지는 결과는 형태학적 특성이 주요 원인이 되는 것으로 판단된다. 그림 1에서 확인할 수 있듯이, 0, 0.05, 0.1 mL의 WO3 박막은 FTO 기판이 관찰될 정도로 불균일하게 증착이 되었고, 기판과 WO3 박막 사이에서의 결함이 있는 것을 확인할 수 있는데, 이러한 결함은 광 생성된 캐리어의 이동성을 열화시켜 전자-정공 재결합 확률을 높이는 등 광전기화학적 특성에 부정적인 영향을 주는 것으로 알려져 있다 [46]. 결과적으로 H2O2를 첨가하지 않거나 비교적 H2O2 첨가제의 양이 적은 경우 WO3 박막 증착에 부정적인 영향을 미칠 뿐만 아니라 광전기화학적 특성에도 나쁜 영향을 주는 것으로 판단된다. 0.2 mL 샘플에서 가장 높은 광전류 밀도 값을 나타내고 있는데, 이러한 결과는 H2O2 첨가제의 역할, XRD (100) 피크 세기, 광전극의 두께 및 흡수도 등 복합적인 요인들로 인한 것으로 판단된다. 0.2 mL 샘플은 균일한 박막 증착과 함께 가장 큰 XRD (100) 피크 세기를 나타내고 있다. 그리고 가장 두꺼운 두께를 가지고, 가장 높은 흡수도를 가져 다른 샘플들에 비해 많은 양의 빛을 흡수할 수 있기 때문에 그만큼 전자-정공의 생성이 많아질 수 있으며 [47] 이는 광전류 밀도 값에 긍정적인 영향을 주는 것으로 판단된다. 결과적으로 0.2 mL 샘플이 H2O2 첨가하지 않은 샘플에 비해 약 23배 높은 1.17 mA/cm2의 광전류 밀도값을 얻을 수 있었다. 0.3, 0.4 mL 샘플들은 과도한 H2O2 첨가로 인해 WO3 박막의 두께가 감소하고 광학적 에너지 밴드갭이 증가하여 많은 양의 빛을 흡수할 수 없어 낮은 광전류 밀도 값을 나타내는 것으로 판단된다. 그리고 H2O2 양이 증가함에 따라 암전류 밀도 값이 감소하는 경향을 관찰할 수 있는데, 이러한 결과는 광생성된 전자-정공의 재결합 확률 감소와 관련이 있다고 판단된다. 전자-정공의 재결합이 일어날 경우, 재결합으로 인한 전류가 발생하는데 [28,48], 이러한 전류들이 광원을 조사하지 않았을 때 발생하게 되면 암전류 밀도 값으로 분류가 되어 광전기화학 특성에 매우 부정적인 영향을 줄 수 있다. 한편, 우리는 별도의 실험에서 서로 다른 H2O2 첨가제 양을 이용하여 유사한 두께를 가지는 WO3 광전극을 제조한 후 비교한 결과, H2O2 첨가제의 양이 다름에도 불구하고 광전극들의 광전류 밀도 값들은 매우 유사하다는 것을 알 수 있었다. 본 연구결과로부터, 우리는 적절한 양의 H2O2 첨가가 적절한 두께를 가지는 WO3 광전극의 성장에 도움을 줌으로서 우수한 광전류밀도 특성을 가질 수 있다는 것을 알 수 있었다.

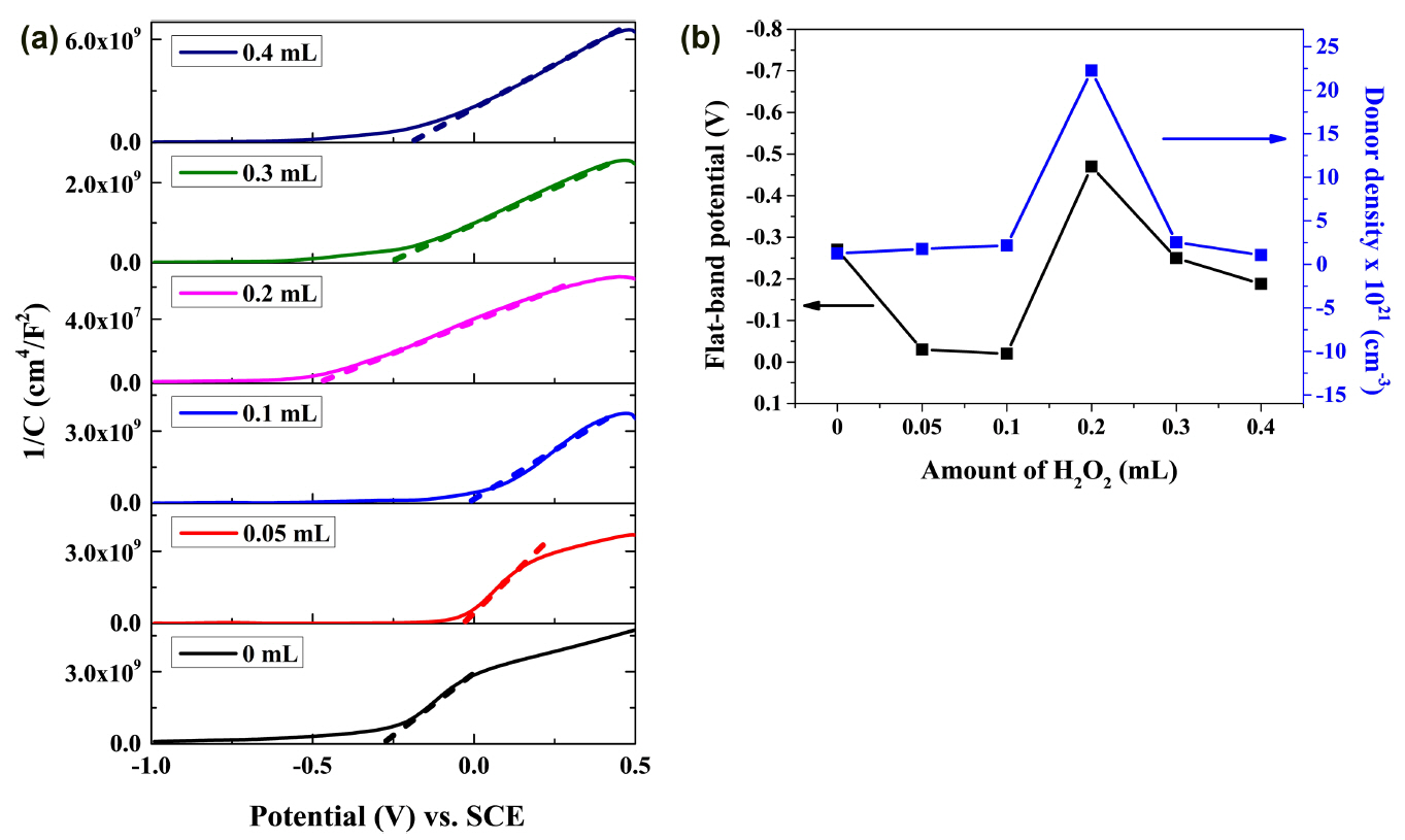
그림 5(a)는 H2O2 양에 따라 증착된 WO3 광전극의 Mott-Schottky 플롯을 나타낸 것이다. 그리고 그림 5(b)는 flat-band potential과 donor density 값을 나타낸 것이며, 이는 그림 5(a) 그래프와 식(1)을 통해 구하였다.

(1)
1 C S C 2   =   [ 2 q ε S ε 0 N d ] [ V a p p - V F B - ( k b T q ) ]

여기서, CSC는 공간 전하 커패시턴스, q는 캐리어의 전하, Nd는 donor density, ε0는 진공상태에서의 유전 상수, εS은 WO3 광전극의 유전상수를 나타내며, WO3의 경우 30 이다. 그리고 T는 절대 온도, kb는 Boltzmann’s 상수, VFB는 반도체/전해질 접합의 flat-band potential 값이고, Vapp는 인가된 전극 전위이다. Flat-band potential 값과 donor density 값은 서로 비슷한 경향을 나타내고 있고, 특히 0.2 mL 샘플이 가장 높은 flat-band potential 값과 donor density 값을 가지고 있는 것을 확인할 수 있다. 일반적으로 flat-band potential 값은 광전극 내부의 에너지 밴드를 평탄화 시키는데 필요한 전위값을 나타낸다. Flat-band potential 값과 donor density 값이 크면 클수록 에너지 밴드 벤딩의 정도가 큰 것을 의미하며, 광생성된 소수 캐리어들이 광전극으로부터 전해질로 쉽게 이동하여 전자-정공의 재결합 확률을 감소시킬 수 있어 광전류 밀도값에 긍정적인 영향을 준다고 알려져 있다 [49,50]. 결과적으로 가장 높은 flat-band potential 값과 donor density 값을 가지는 0.2 mL 샘플이 효율적인 전자-정공의 수송과 함께 전자-정공의 재결합이 적게 일어나는 것으로 판단되며, 이에 따라 가장 높은 광전류 밀도 값과 낮은 암전류 밀도 값을 가지는 것으로 판단된다. 본 연구를 통해서 WO3 광전극의 광전기화학적 특성은 H2O2 첨가제의 양에 따른 WO3 광전극의 형태학적, 구조적, 광학적 및 전기적 특성에 의해 많은 영향을 받는다는 것을 알 수 있었다. 현재까지 WO3 광전극의 광효율을 높이기 위해 도핑, p-n 이종접합 등과 같은 다양한 연구들이 진행되어 오고 있다. T. Zhang 등의 연구에서는 양극 산화법을 이용하여 WO3 광전극을 제조하고, 성장 전압과 온도를 조절함으로써 다양한 형태의 WO3 광전극을 제조하였고, 튜브 형태의 WO3 광전극에서 1.1 mA/cm2의 광전류 밀도 값을 얻은 바 있다 [51]. J. Zhang 등의 연구에서는 WO3 나노로드는 수열합성법으로 그리고 Cu2O는 전기화학 증착법을 이용하여 Cu2O/WO3/FTO 적층 구조를 갖는 광전극을 제작하였으며, 1.37 mA/cm2의 광전류 밀도 값을 얻은 바 있다 [52]. S. S. Kalanur의 연구에서는 수열합성법을 이용하여 얻은 0.8 at% Sn-doped WO3 광전극에서 0.43 mA/cm2의 광전류 밀도 값을 발표한 바 있다 [53]. 한편, 본 연구에서는 WO3 광전극의 광효율을 높이기 위해 도핑, p-n 이종접합 등의 방법을 사용하지 않고 H2O2 첨가제를 이용하여 WO3 광전극의 광전기화학적 특성 연구를 진행하였다. 0.2 mL 미만의 H2O2를 첨가한 샘플들은 기판이 드러날 정도로 불균일한 WO3 박막 증착으로 인하여 낮은 흡수도를 가지고 낮은 광전류 밀도 값과 높은 암전류 밀도 값을 가지는 것을 알 수 있었다. 그리고 0.2 mL 샘플은 적당량의 침전물 용해로 인해 균일하고 두꺼운 두께를 가지고, 전자-정공 쌍 생성에 유리한 높은 흡수도와 낮은 광학적 에너지 밴드갭을 가지고, 광 생성된 캐리어들이 WO3 박막에서 전해질로 효율적으로 이동할 수 있는 높은 flat-band potential 값과 donor density 값을 가짐으로써 가장 높은 광전류 밀도 값을 가지는 것을 확인할 수 있었다. 한편, 0.2 mL 보다 많은 H2O2를 첨가한 샘플들은 두께가 얇아져 낮은 흡수도와 높은 광학적 에너지 밴드갭 값을 갖게 되어 낮은 광전류 밀도 값을 가지는 것으로 나타났다. 그리고 암전류 밀도 값의 경우 H2O2 양이 증가함에 따라 감소하는 것을 확인할 수 있었다. 연구 결과, 0.2 mL 광전극이 H2O2 를 첨가하지 않은 샘플보다 약 23배 높은 1.17 mA/cm2 (at 1.7 V vs. SCE)의 광전류 밀도 값과 약 87% 감소한 0.04 mA/cm2 (at 1.7 V vs. SCE)의 낮은 암전류 밀도 값을 가지는 것으로 나타났다. 본 연구를 통해 H2O2 첨가제는 WO3 광전극의 광효율을 매우 효과적으로 높일 수 있다는 것을 확인할 수 있었다.

4. 결 론

본 연구에서는 스핀 코팅법을 이용하여 H2O2 첨가제 양에 따른 WO3 광전극을 제조하고 WO3 광전극의 형태학적, 구조적, 광학적, 전기적, 광전기화학적 특성을 분석하였다. H2O2 첨가제는 H2WO4 침전물의 안정제 및 용매로써 WO3 광전극의 증착 균일도를 향상시키는 것을 확인할 수 있었다. H2O2 첨가제 양에 따라 WO3 광전극의 두께가 변하는 것을 확인할 수 있었으며, WO3 광전극의 두께가 변화함에 따라 광 흡수도 그리고 광학적 에너지 밴드갭이 변하는 것을 확인하였다. 그리고 H2O2 첨가제 양에 따라 (100) 면 방향의 우선 성장이 광전극의 두께와 밀접한 관계가 있다는 것을 확인하였다. 그러나, 과도하게 H2O2 첨가제를 첨가하게 되면, WO3 광전극의 두께가 감소하고 광흡수도 감소 및 광학적 에너지 밴드갭이 증가하게 되어 광전류 밀도 특성에는 부정적인 영향을 미치는 것을 확인하였다. 다양한 양의 H2O2 첨가제를 이용하여 제작한 WO3 광전극들 중에서 0.2 mL의 H2O2가 첨가된 WO3 광전극이 가장 큰 XRD (100) 피크 세기, 가장 두꺼운 두께, 높은 광 흡수도 및 낮은 광학적 에너지 밴드갭, 그리고 높은 flat-band potential 및 donor density 값을 가짐으로써 H2O2를 첨가하지 않은 샘플에 비해 약 23배 높은 1.17 mA/cm2 (at 1.7 V vs. SCE)의 광전류 밀도 값과 약 87% 감소된 0.04 mA/cm2 (at 1.7 V vs. SCE)의 낮은 암전류 밀도 값을 가지는 것을 확인할 수 있었다. 결과적으로, 최적화된 양의 H2O2 첨가제를 사용할 때 적절한 두께를 가지며 결정성이 좋고 그리고 밴드갭이 비교적 작은 WO3 광전극이 제조되어 광전기화학 특성을 개선시킬 수 있었다.

Acknowledgements

This research was supported by the Basic Science Research Program through the National Research Foundation of Korea (NRF) funded by the Ministry of Education (NRF-2016R1D1A3B01008959).

REFERENCES

1 
Fujishima A., Honda K., Nature,238, 37 (1972)Google Search
2 
Oh S., Ryu H., Lee W. J., Korean J. Met. Mater,55, 255 (2017)Google Search
3 
Chiang C. Y., Shin Y., Ehrman S., J. Electrochem. Soc.,159, B227 (2012)Google Search
4 
Aroutiounian V. M., Arakelyan V. M., Shahnazaryan G. E., Solar Energy,78, 581 (2005)Google Search
5 
Gratzel M., Nature,414, 338 (2001)Google Search
6 
Kim J. H., Jang Y. J., Choi S. H, Lee B. J., Kim J. H., Park Y. B., Nam C. M., Kim H. G., Lee J. S., J. Mater. Chem. A,6, 12693 (2018)Google Search
7 
Zhao Y., Brocks G., Genuit H., Lavrijsen R., Verheijen M. A., Hutter A. B., Adv. Energy Mater,9, 1900940 (2019)Google Search
8 
Hong Y., Ryu H., Lee W. J., Electron. Mater. Lett,15, 733 (2019)Google Search
9 
Hong Y., Jeon S. H., Ryu H., Lee W. J., Korean J. Met. Mater,58, 263 (2020)Google Search
10 
Wang B. S., Li R. Y., Zhang Z. Y., Wang X., Wu X. L., Cheng G. A., Zheng R. T., Catal. Today,321, 100 (2019)Google Search
11 
Luo J., Liang D., Zhao D., Yang M., Biosens. Bioelectron,151, 111976 (2020)Google Search
12 
Wu F., Zhang Z., Jiang L., Pathak R., Xu H., Zhang T., Li X., Jian R., Qiao Q., J. Electrochem. Soc,167, 026505 (2020)Google Search
13 
Jeon S. H., Hong Y., Ryu H., Lee W. J., Korean J. Met. Mater,57, 447 (2019)Google Search
14 
Xu D., Jiang T., Wang D., Chen L., Zhang L., Fu Z., Wang L., Xie T., ACS Appl. Mater. Interfaces,6, 9321 (2014)Google Search
15 
Zeng Q., Li J., Bai J., Li X., Xia L., Zhou B., Appl. Cat. B: Environ,202, 388 (2017)Google Search
16 
Cristino V., Caramori S., Argazzi R., Meda L., Marra G. L., Bignozzi C. A., Langmuir,27, 7276 (2011)Google Search
17 
Shi W., Zhang X., Brillet J., Huang D., Li M., Wang M., Shen Y., Carbon,105, 387 (2016)Google Search
18 
Ng K. H., Minggu L. J., Lee W. F. M., Arifin K., Jumali M. H. H., Kassim M. B., Mater. Res. Bull,98, 47 (2018)Google Search
19 
Kang S., Zhang L., Liu C., Huang L., Shi H., Cui L., Int. J. Electrochem. Sci,12, 5284 (2017)Google Search
20 
Goulart L. A., Alves S. A., Mascaro L. H., J. Electroanal. Chem,839, 123 (2019)Google Search
21 
Kalanur S. S., Hwang Y. J., Chae S. Y., Joo O. S., J. Mater. Chem. A,1, 3479 (2013)Google Search
22 
Zheng F., Guo M., Zhang M., CrystEngComm,15, 277 (2013)Google Search
23 
Lee B. R., Lee M. G., Park H., Lee T. H., Lee S. A., Bhat S. S., Jang H. W., ACS Appl. Mater. Interfaces,11, 20004 (2019)Google Search
24 
Zhang Y. F., Zhu Y. K., Lv C. X., Lai S. J., Xu W. J., Sun J., Yang D. J., Rare Metals,39, 841 (2020)Google Search
25 
Miao B., Zeng W., Lin L., Xu S., Ding X., Nanosci. Nanotechnol. Lett,5, 769 (2013)Google Search
26 
Grau P. B., Tovar R. S., Domene R. M. F., Anton G., Surf. Coat. Technol,381, 125197 (2020)Google Search
27 
An X., Zhang Y., Appl. Phys. A Mater. Sci. Process,123, 647 (2017)Google Search
28 
Kargar A., Sun K., Jing Y., Choi C., Jeong H., Zhou Y., Madsen K., Naughtom P., Jin S., Jung G. Y., Wang D., Nano Lett,13, 3017 (2013)Google Search
29 
van de Krol R., Gratzel M., Photoelectrochemical Hydrogen Production,3-117, Springer US (2012)Google Search
30 
Shazly A. N. E., Hegazy A. H., Rashad M. M., Shahat M. F., Allam N. K., J. Alloys Compd,739, 178 (2018)Google Search
31 
Wang Z., Brodusch N., Gauvin R., Demopoulos G. P., Nano Energy,53, 130 (2018)Google Search
32 
Lee Y. S., Heo J., Siah S. C., Mailoa J. P., Brandt R. E., Kim S. B., Gordon R. G., Buonassisi T., Energy Environ. Sci,6, 2112 (2013)Google Search
33 
Ardakani M. M., Arazi R., Tamaddon F., Kazemi M. T., Ionics,23, 1591 (2017)Google Search
34 
Park S. Y., Lim D. C., Hong E. M., Lee J. Y., Heo J., Lim J. H., Lee C. L., kim Y. D., Mul G., ChemSusChem,8, 172 (2015)Google Search
35 
Lin H. S., Lin L. Y., Electrochim. Acta,252, 235 (2017)Google Search
36 
Sun W., Wang D., Rahman Z. U., Wei N., Chen S., J. Alloys Compd,695, 2154 (2017)Google Search
37 
Oh J., Ryu H., Lee W. J., Bae J. S., Ceram. Int,44, 89 (2018)Google Search
38 
Zheng Y. Z., Lai X. S., Luo Y., Zhao E. F., Meng F. L., Zhang X. F., Tao X., J. Phys. Chem. Solids,107, 55 (2017)Google Search
39 
Lee S., Ryu H., Lee W. J., Bae J. S., J. Ind. Eng. Chem,82, 63 (2020)Google Search
40 
Ahmadian H., Shariatmadar Tehrani F., Aliannezhadi M., Mater. Res. Express,6, 105024 (2019)Google Search
41 
Shanmugasundaram K., Thirunavukkarasu P., Ramamurthy M., Balaji M., Chandrasekaran J., Orient. J. Chem,33, 2484 (2017)Google Search
42 
Lee S., Ryu H., Lee W. J., Bae J. S., Surf. Coat. Technol,334, 438 (2018)Google Search
43 
Abdullahi S., Moreh A. U., Hamza B., Sadiya U., Abdullahi Z., Wara M. A., Kebbe M. A., Kebbe M. A., Monsurat U. K., Int. J. Innov. Appl. Stud,9, 947 (2014)Google Search
44 
Wu X. K., Huang W. Q., Huang Z. M., Qin C. J., Dong T. G., Wang G., Tang Y. L., Chin. Phys. B,26, 037302 (2017)Google Search
45 
Goh E. S. M., Chen T. P., Sun C. Q., Liu Y. C., J. Appl. Phys,107, 024305 (2010)Google Search
46 
Tress W., Baena J. P. C., Saliba M., Abate A., Graetzel M., Adv. Energy Mater,6, 1600396 (2016)Google Search
47 
Ha J. W., Ryu H., Lee W. J., Korean J. Met. Mater,54, 435 (2016)Google Search
48 
Sandberg O. J., Armin A., Synth. Met,254, 114 (2019)Google Search
49 
Kushwaha A., Aslam M., Electrochim. Acta,130, 222 (2014)Google Search
50 
Kang Q., Cao J., Zhang Y., Liu L., Xu H., Ye J., J. Mater. Chem. A,1, 5766 (2013)Google Search
51 
Zhang T., Paulose M., Neupane R., Schaffer L. A., Rana D. B., Su J., Guo L., Varghese O. K., Sol. Energy Mater. Sol. Cells,209, 110472 (2020)Google Search
52 
Zhang J., Ma H., Liu Z., Appl. Catal. B,201, 84 (2017)Google Search
53 
Kalanur S. S., Catalysts,9, 456 (2019)Google Search

Figures

Fig. 1.

Tilt-view FE-SEM images and photographic images of the WO3 photoelectrodes with different amounts of H2O2.

../../Resources/kim/KJMM.2021.59/kjmm-2021-59-3-177f1.jpg
Fig. 2.

(a) XRD spectra and (b) XRD (100) peak intensity for the WO3 photoelectrodes with different amounts of H2O2.

../../Resources/kim/KJMM.2021.59/kjmm-2021-59-3-177f2.jpg
Fig. 3.

(a) Absorbance and (b) plot of (αhν)2 vs. Eg of the WO3 photoelectrodes prepared with different amounts of H2O2.

../../Resources/kim/KJMM.2021.59/kjmm-2021-59-3-177f3.jpg
Fig. 4.

PEC performance of the WO3 photoelectrodes prepared with different amounts of H2O2: (a) plot of the current density and (b) photocurrent density and dark current density at 1.7 V (vs. SCE) and with a 0.5 M Na2SO4 electrolyte (pH 5.7).

../../Resources/kim/KJMM.2021.59/kjmm-2021-59-3-177f4.jpg
Fig. 5.

(a) Mott-Schottky plots and (b) flat-band potential and donor density values for the WO3 photoelectrodes with different amounts of H2O2.

../../Resources/kim/KJMM.2021.59/kjmm-2021-59-3-177f5.jpg