The Journal of
the Korean Journal of Metals and Materials

The Journal of
the Korean Journal of Metals and Materials

Monthly
  • pISSN : 1738-8228
  • eISSN : 2288-8241

Editorial Office


  1. 전북대학교 신소재공학부 (Division of Advanced Materials Engineering, Jeonbuk National University, Jeonju 54896, Republic of Korea)
  2. 전북대학교 대학원 재료공학과 (Department of Materials Engineering, Graduate School, Jeonbuk National University, Jeonju 54896, Republic of Korea)



hydrogen absorbing materials, mechanical alloying/milling, scanning electron microscopy (SEM), X-ray diffraction, VCl3 addition

1. 서 론

수소는 대체 에너지의 매우 유망한 매체이다. 수소를 실제적인 이용에 적용하기 위해서는, 수소의 생산과 저장 문제가 해결되어야 한다. 금속/금속간 화합물의 수소화물과 복합 수소화물 등의 고상 수소화물에 의한 저장은, 안전과 단위 부피당 저장량 측면에서 압축 저장과 액체 저장에 비해 장점을 가지고 있다. 금속 수소화물에 의한 저장에는 낮은 압력이 수반되고 흡열반응을 통하여 수소가 방출되어, 세 가지의 수소 저장 방법 중에서 가장 안전하다 [1].

Mg는 단위 무게당 높은 수소 저장 량 (7.6 wt%)을 가지고 있고, 상대적으로 덜 비싸고, 지각에 많은 양이 저장되어 있다. 그러나 비교적 높은 온도에서도 수소 흡수 방출 속도가 낮다. 흡수 방출 속도를 높이기 위하여 많은 연구가, Cu [2], Ni [3,4], Ga [5], Ni와 Y [6], Ti, Fe와 Ni [7], Fe와 Y [8], Ce와 Ni [9]와 같은 금속과 합금화 하거나 [10,11], CeMg12 [12], Mg17Ba2 [13], YMg4Cu [14]와 같은 금속간 화합물을 합성함으로써 수행되었다.

Malka 등 [15]은 행성 볼 밀에서 밀링에 의해 할로겐 화합물의 첨가는, MgH2의 수소 방출 과정에 강한 촉매 효과를 보였다고 보고하였다. 이 들은 또한 높은 산화 수를 가진 할로겐 화합물은 낮은 산화 수를 가진 할로겐 화합물보다 더 효과적으로 MgH2 수소 방출 온도를 낮췄다고 보고하였다. 주기율 표의 IV 족과 V 족의 할로겐 화합물은, 연구한 다른 할로겐 화합물에 비해 더 좋은 촉매제였다. Malka 등 [16]은, 또한 ZrF4과 NbF5같은 금속 할로겐 화합물 첨가는 MgH2의 수소 흡수 방출 속도를 상당히 증가시킨다고 보고하였다. 그들은, Mg-H 결합을 약화시켜 MgF2와 순수한 전이 금속을 형성하는 F 음이온의 존재가 이런 효과들을 가져온다고 보고하였다. Zhang 등 [17]은, MgH2에 TiF3 혹은 Nb2O5, 혹은 둘 다를 고 에너지 행성 밀에서 밀링에 의하여 첨가하고 촉매가 첨가된 MgH2의 비 등온 수소 방출 거동을 연구하였다. 첨가물에 따라서 촉매가 첨가된 MgH2의 수소 분해 최고 온도가 낮아졌고, TiF3과 Nb2O5이 동시에 첨가된 MgH2의 수소 분해 최고 온도가 583 K 정도로 낮아졌다. 그들은 TiF3와 Nb2O5의 시너지 촉매 효과는, MgH2의 수소 방출 동안 수소 원자의 재 결합을 향상시키는, 수소 분자와 전자 상호 교환 반응에 기인한다고 주장하였다. Hou 등 [18]은, MgH2에 MWCNTs (multi-walled carbon nanotubes) 혹은 TiF3, 혹은 둘 다를 고 에너지 행성 볼 밀링에 의하여 첨가하고, 촉매가 첨가된 MgH2의 등온 활성화와 열역학적인 이력 현상 (hysteresis)를 연구하였다. 특별한 활성화 처리 없이 높은 초기 수소 흡수 속도와 큰 수소 흡수 량이 MWCNTs와 TiF3이 둘 다 첨가된 MgH2에서 관찰되었다. 그들은, 반응 속도에 미치는 촉매 효과는 수소 분자의 분해 혹은 수소 원자의 재 결합 동안에 수소 분자와 전자 상호 교환 반응에 기인한다고 주장하였다. Jangir 등 [19]은 볼 밀링으로 MgH2 + x wt% TiF4 (x = 5, 10, 15) 복합재를 만들었다. TiF4가 첨가된 MgH2은, 구입하여 밀링한 MgH2보다 더 낮은 수소화물 분해 시작 온도와 더 작은 활성화 에너지를 나타내었다. 그들은 MgH2의 수소 흡수 성질의 향상은 수소 방출 과정에 생성된 MgF2에 기인한다고 보고하였다. 우리의 전 연구에서는, Mg의 수소와의 반응 속도를 향상시키기 위하여, Mg에 TaF5 [20], NbF5 [21], TiCl3 [22]을 첨가하였다.

VCl3는, V 이온들이 팔면체 자리를 점유하고 육방 조밀 구조의 염화물 골격을 가진, BiI3 구조를 가지고 있다. VCl3는 상 자성 (paramagnetism)을 나타내고, 두 개의 쌍을 못 이룬 전자들을 가지고 있으며, VCl3는 573 K 이상에서 분해된다 [23].

앞에서 언급했듯이, MgH2에 VCl3의 첨가는 MgH2의 수소 방출 특성을 아주 많이 향상시켰다고 보고 되었다 [15]. 본 연구에서는 Mg의 수소 흡수 방출 속도와 수소 저장 용량을 증가시키기 위하여 VCl3를 첨가물로서 선택하였다. Mg가 MgH2보다 가격이 저렴하기 때문에, MgH2 대신에 Mg를 출발 물질로서 선택하였다. 첨가량의 함량이 5 wt%인, 95 wt% Mg + 5 wt% VCl3 조성을 가진 시료를 수소 분위기에서 밀링 (반응성 밀링: reactive milling)에 의하여 제조하였다. 이 시료는 Mg-5VCl3라고 명명하였고, 제조된 시료의 수소 흡수 방출 성질을 연구하였다.

2. 실험 방법

순수한 Mg 분말 (입자 크기 74-149 µm, 순도 99.6%, Alfa Aesar)과 VCl3 (Vanadium (III) chloride, 순도 97%, Aldrich)을 출발 물질로 사용하였다.

반응성 밀링 (reactive milling)은 행성 볼 밀 (Planetary Mono Mill; Pulverisette 6, Fritsch)에서 행하였다. 계획한 조성의 혼합물 (전체 중량 8 g)은 새지 않게 밀봉한 스테인레스 강 용기 안 (105개 경화된 강 볼, 전체 중량 360 g)에서 섞었다. 시료 대 볼 중량 비는 1 : 45였다. 시료의 모든 처리는, 산화를 방지하기 위하여, 아르곤 분위기의 글러브 상자 안에서 이루어졌다. 행성 볼 밀 판 (disc)의 회전 속도는 250 rpm (revolutions per minute)이었다. 250 ml의 볼 밀 용기는 약 12 bar의 고 순도 수소 가스로 채워졌다. 반응성 밀링은, 15분 밀링과 5분 정지를 반복하여, 6시간 동안 이루어졌고, 수소는 매 2 시간 마다 보충하였다.

흡수 혹은 방출된 수소의 양은 시간의 함수로서 부피 측정법에 의하여, 전에 자세히 설명한, Sieverts 형 수소 흡수 방출 장치 [24]에서 측정되었다. 측정하는 동안 반응기 내의 수소의 압력은 수소 흡수 반응 동안에는 12 bar, 수소 방출 반응 동안에는 1.0 bar로, 거의 일정하게 유지하였다.수소 흡수 반응 동안에는 아는 부피의 작은 수소 저장 용기 (reservoir)로부터 시료에 흡수된 수소를 보충하고, 수소 방출 반응 동안에는 작은 수소 저장 용기로 시료로부터 방출된 수소를 덜어 내어 수소 압력을 거의 일정하게 유지하였다. 흡수된 수소의 양은 작은 수소 저장 용기의 압력 감소량 및 부피, 상온을 사용하여 계산하였고, 방출된 수소의 양은 작은 수소 저장 용기의 압력 증가 량 및 부피, 상온을 사용하여 계산하였다. van der Waals 식이 이 계산에 사용되었다. 측정에 사용된 시료는 0.5 g이었다. 흡수된 수소 량과 방출된 수소 량을 593 K, 각각 12 bar와 1.0 bar의 수소 압력에서 1 시간 동안 측정한 후, 623 K, 진공에서 2 시간 동안 더 수소를 방출시켰다.

반응성 밀링 후의 시료와 수소 흡수-방출 싸이클링 후의 시료는, Cu Kα 방사를 사용 Rigaku D/MAX 2500 분말 회절기로 얻은 X-선 회절 (XRD, X-ray diffraction) 패턴으로 분석하였다. 분말의 미세 구조는, 15 kV로 작동된 주사 전자 현미경 [JSM-5900 scanning electron microscope (SEM)]으로 관찰하였다.

3. 결과 및 고찰

흡수된 수소의 양 (Ha)은 100 × (흡수된 수소의 중량)/(시료의 중량)으로 정의하였다. Ha의 단위는 wt% H로 표시하였다. 방출된 수소의 양 (Hd)은 100 × (방출된 수소의 중량)/(시료의 중량)으로 정의하였다. Hd의 단위 역시 wt% H로 표시하였다.

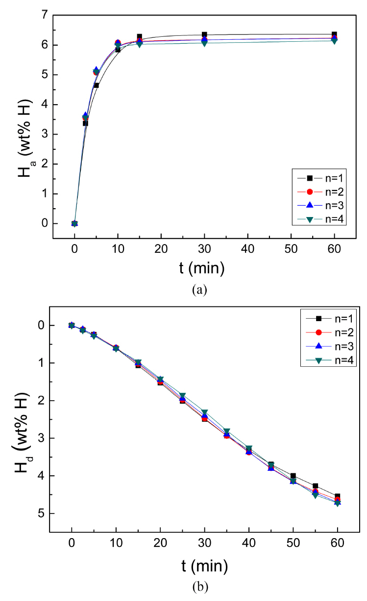
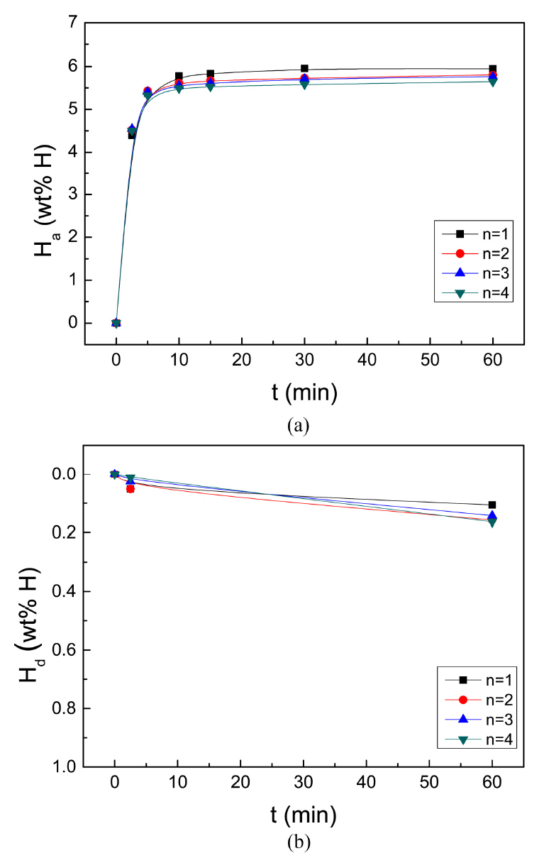
그림 1은, Mg-5VCl3에 대하여, 싸이클 수 n에 따라서 573 K, 12 bar 수소 압력에서 수소 흡수 곡선 (Ha 대 시간 t 곡선)과 573 K, 1.0 bar 수소 압력에서 수소 방출 곡선 (Hd 대 시간 t 곡선)의 변화를 보여 준다. 첫 번째 싸이클에서, 처음부터 5분까지는 수소 흡수 속도가 매우 높고, 그리고 10분 이 후에는 매우 낮다. n이 1부터 3까지 증가함에 따라서 초기 수소 흡수 속도는 증가하고, 제3싸이클부터 제4싸이클까지는 초기 수소 흡수 속도가 감소한다. n이 1부터 4까지 증가함에 따라서 60분 동안에 흡수된 수소의 양 Ha (60 min)은 감소한다. n=1에서, 시료는 5분 동안에 5.38 wt% H을 흡수하고 60분 동안에는 5.95 wt% H를 흡수한다. n=3에서, 시료는 5분 동안에 5.41 wt% H을 흡수하고 60분 동안에는 5.77 wt% H 를 흡수한다. 유효 수소 저장 용량은 60분 동안에 흡수된 수소의 양으로 정의하였다. Mg-5VCl3는 n=1에서 약 5.95 wt%의 유효 수소 저장 용량을 가지고 있다. 표 1은 Mg-5VCl3에 대해 n=1-4에서 온도 573 K 수소 압력 12 bar에서 시간 t에 따른 Ha의 변화를 보여 준다. n=1-4에서, 초기 수소 방출 속도는 매우 낮고 60분 동안에 방출된 수소의 양은 아주 적다. 1부터 4까지 싸이클 수가 증가함에 따라서, 초기 수소 방출 속도가 약간 그리고 점차적으로 감소한다. 60분 동안에 방출된 수소의 양 Hd (60 min)은 n=1로부터 n=2-4까지 약간 감소한다. n=1에서, 시료는 온도 573 K 수소 압력 1.0 bar에서 2.5분 동안에 0.05 wt% H를 방출하고, 60분 동안에 0.11 wt% H를 방출한다. n=4에서, Hd (60 min)은 Ha (60 min)의 2.84%이다. 표 2는 Mg-5VCl3에 대해 n=1-4에서 온도 573 K 수소 압력 1.0 bar에서 시간 t에 따른 Hd의 변화를 보여 준다.

그림 2는, Mg-5VCl3에 대하여, 싸이클 수 n에 따라서 593 K, 12 bar 수소 압력에서 수소 흡수 곡선과 593 K, 1.0 bar 수소 압력에서 수소 방출 곡선의 변화를 보여 준다. 첫 번째 싸이클에서, 처음부터 10분까지는 수소 흡수 속도가 매우 높고, 그리고 15분 이 후에는 매우 낮다. n이 1부터 3까지 증가함에 따라서 초기 수소 흡수 속도는 증가하고, 제3싸이클부터 제4싸이클까지는 초기 수소 흡수 속도가 감소한다. n이 1부터 4까지 증가함에 따라서 60분 동안에 흡수된 수소의 양 Ha (60 min)은 감소한다. n=1에서, 시료는 5분 동안에 4.64 wt% H을 흡수하고 60분 동안에는 6.36 wt% H를 흡수한다. n=3에서, 시료는 5분 동안에 5.16 wt% H을 흡수하고 60분 동안에는 6.22 wt% H를 흡수한다. 표 3은 Mg-5VCl3에 대해 n=1-4에서 온도 593 K 수소 압력 12 bar에서 시간 t에 따른 Ha의 변화를 보여 준다. n=1에서, 처음부터 2.5분까지는 초기 수소 방출 속도가 낮고 그리고는 점차 증가한다. 수소 방출 속도는 약 25분에서 가장 높고 그 다음에는 점점 감소한다. 1부터 4까지 싸이클 수가 증가함에 따라서, 초기 수소 방출 속도가 아주 약간 증가한다. 60분 동안에 방출된 수소의 양 Hd (60 min)은 n=1로부터 n=4까지 증가한다. n=2에서, 시료는 온도 593 K 수소 압력 1.0 bar에서 2.5분 동안에 0.11 wt% H를 방출하고, 60분 동안에 4.63 wt% H를 방출한다. n=2에서, Hd (60 min)은 Ha (60 min)의 74.2%이다. 표 4는 Mg-5VCl3에 대해 n=1-4에서 온도 593 K 수소 압력 1.0 bar에서 시간 t에 따른 Hd 의 변화를 보여 준다.

573 K과 593 K에서 초기 수소 흡수 속도는 n=3에서 가장 높다. 573 K와 593 K에서 초기 수소 방출 속도와 Hd (60 min)이 n=1-4에서 비슷하다. 이 결과들로부터, Mg-5VCl3의 활성화는 3 싸이클 후에 완료된다고 결론을 내릴 수 있다.

그림 3은, 활성화시킨 Mg-5VCl3에 대하여, 온도에 따른 12 bar 수소 압력에서 수소 흡수 곡선의 변화 [423 K (n=5), 473 K (n=6), 523 K (n=7)]를 보여 준다. 423 K에서, 수소 흡수 속도는 낮고 60분 동안 거의 일정하다. 473 K에서 수소 흡수 속도는, 423 K에서보다 높다. 523 K에서 수소 흡수 속도는 처음부터 약 10분까지 비교적 높고 그 후에는 점차적으로 감소한다. 온도가 높아짐에 따라서 초기 수소 흡수 속도와 Ha (60 min)가 증가한다.

Mg-5VCl3에 대하여, 온도에 따른 1.0 bar 수소 압력에서 수소 방출 곡선의 변화 [523 K (n=7), 573 K (n=1), and 593 K (n=3)]를 그림 4에 나타내었다. 시료가 523 K에서는 수소를 방출하지 않는다. 573 K에서는, 수소 방출 속도가 매우 낮다; 시료가 2.5 min 동안에 0.05 wt% H를 방출하고, 60분 동안에 0.11 wt% H를 방출한다. 593 K에서는, 수소 방출 속도가 꽤 높다; 시료가 2.5분 동안에 0.10 wt% H, 5분 동안에 0.25 wt% H, 10분 동안에 0.60 wt% H, 30분 동안에 2.40 wt% H, 그리고 60분 동안에 4.71 wt% H를 방출한다. 온도가 증가함에 따라서, 수소 방출 반응의 구동력이 증가한다. 수소 방출 반응의 구동력은 주어진 온도에서 평형 플래토 (plateau) 수소 압력과 가한 수소 압력 (본 연구의 경우 1.0 bar) 사이의 차이와 관계가 있다. Mg-H2 계의 경우, 523, 573, 593 K에서 평형 플래토 수소 압력은 각각 0.33, 1.55, 2.68 bar이다 [25]. 523, 573, and 593 K에서 MgH2의 수소 방출 반응의 구동력은 각각 -0.67, 0.55, 1.68 bar이다. 523 K에서는, MgH2의 수소 방출 반응의 구동력은 음수여서, Mg-5VCl3는 수소를 방출하지 않는다. 온도 증가에 따른 MgH2의 수소 방출 반응의 구동력 증가는 초기 수소 방출 속도와 Hd (60 min)의 증가를 가져온다.

그림 5는 반응성 밀링 후의 Mg-5VCl3과 순수한 Mg의 SEM 미세 사진을 보여 준다. 반응성 밀링 후의 Mg-5VCl3의 입자 크기는 균일하지 않고 입자의 모양이 불규칙적이다. 반응성 밀링 후의 Mg-5VCl3의 입자들 표면에 미세한 입자들이 놓여 있다. 순수한 Mg의 입자는 평평한 표면을 가지고 있는데, 결함이 거의 없고 약간의 크랙(crack)을 가지고 있다.

네 번째 싸이클에서 수소를 방출시킨 Mg-5VCl3의 SEM 미세 사진을 그림 6에 나타내었다. 입자의 크기는 균일하지 않고 입자의 모양은 불규칙적이며 입자들은 응집되어 있다. 네 번째 싸이클에서 수소를 방출시킨 Mg-5VCl3와 반응성 밀링 후의 Mg-5VCl3의 SEM 미세 구조에 큰 차이가 없다.

그림 7은 반응성 밀링 후 Mg-5VCl3의 XRD 패턴을 보여 주고 있다. 시료에는 Mg, β-MgH2 (JCPDS No. 12-0697) 상들과 작은 양의 γ-MgH2 (JCPDS No. 35-1184) 상이 들어 있다. β-MgH2과 γ-MgH2는 반응성 밀링 중 수소와 Mg의 반응에 의하여 형성된다. β-MgH2는 정방정 구조를 가진, MgH2의 낮은 수소 압력에서의 형태이고, γ-MgH2는 사방정 구조를 가진 높은 수소 압력에서의 형태 중의 하나이다 [26-28,1]. Malka 등 [15]은, VCl3가 MgH2 분해 중 생성된 Mg와의 반응을 촉진시키고, 그 결과 수소 흡수 방출 반응 후 MgCl2를 형성하게 된다고 보고하였다.

6번 (n=1-4: 573 K, n=5: 423 K, n=6: 473 K, n=7: 523 K)의 수소 흡수 방출 싸이클링 후, n=7에서 수소를 방출시킨 Mg-5VCl3의 XRD 패턴을 그림 8에 나타내었다. 반응성 밀링 후의 Mg-5VCl3의 XRD에서보다 더 좁은 피크와 더 낮은 백그라운드 (background)을 보인다. 이것은 이 시료가 반응성 밀링 후의 Mg-5VCl3 시료보다 결정성이 더 좋음을 나타낸다. 이 시료는 Mg, β-MgH2 (JCPDS No. 12-0697), 그리고 작은 양의 MgO를 포함하고 있다. 반응성 밀링 후 생성되었던 γ-MgH2는 보이지 않는다. MgO는, XRD 패턴을 얻기 위하여 공기 중으로 꺼냈을 때 공기 중의 산소와 반응하여 생성된 것으로 생각된다.

그림 9는, 593K 12 bar에서 순수한 Mg, Mg-5VCl3, Mg-5TiCl3 [22], Mg-5NbF5 [21], Mg-5TaF5 [20]의 활성화 후 (n=3에서) 수소 흡수 곡선을 보여준다. Mg-5VCl3가 가장 높은 초기 수소 흡수 속도와 가장 큰 Ha (60 min)을 보여주고, 그 다음은 Mg-5TiCl3, Mg-5NbF5, Mg-5TaF5, pure Mg 순서로 초기 수소 흡수 속도와 Ha (60 min)가 줄어든다. 할로겐 화합물을 첨가한 Mg 시료들 중에서, VCl3를 첨가한 Mg 시료가 가장 높은 초기 수소 흡수 속도와 가장 큰 Ha (60 min)를 가지고 있다.

da Conceição 등 [29]은, 5 wt%의 V, VC, VCl3를 첨가 기계적 합금화에 의하여 제조한 MgH2 기초 복합재에 대하여 연구하였다. MgH2-5 wt% VCl3는 623 K에서 7.5분 동안에 6.0 wt% H를 흡수하였으며, V나 VC를 첨가한 MgH2보다 빠른 수소 흡수를 나타내었다고 보고하였다. 이 MgH2-5 wt% VCl3 복합재는, MgH2를 Mg대신 출발 물질로 사용했어도, 우리 본 연구의 Mg-5VCl3 시료보다 약간 낮은 수소 저장 용량을 가지고 있다.

Song [30]은, Mg의 수소 흡수와 방출 반응의 반응속도론적 연구를 검토하였다. Mg의 수소 흡수와 방출 반응은 구동력이 작은 경우에는 핵 생성에 의하여 제어되고 핵 생성과 성장 기구 (mechanism)에 의하여 성장한다고 보고하였다. 그리고 Mg의 수소 흡수 속도는, 성장하는 Mg 수소화물 층을 통한 수소 원자의 확산에 의하여 제어된다고 보고하였다. Song 등 [31]은, 반응성 밀링에 의하여 제조한 86 wt% MgH2 + 10 wt% Ni + 2 wt% LiBH4 + 2 wt% Ti 시료의 n=1 에서의 수소 방출 반응의 율속 단계는, 수소화물/고용체 계면에서의 화학 반응으로 분석되었다고 보고하였다. Kwak 등 [32]은, 수소화물/고용체 계면에서의 화학 반응이, 반응성 밀링에 의하여 제조한 80 wt% Mg + 14 wt% Ni + 6 wt% TaF5의 활성화 후의 수소 방출 반응의 율속 단계라고 발표하였다. 그림 9는, 밀링을 안 한 순수한 Mg는 극도로 천천히 수소를 흡수함을 보여준다. Mg 수소화물의 핵 생성과, 성장하는 Mg 수소화물 층을 통한 수소의 확산이 Mg의 수소 흡수 속도를 제어한다고 판단된다.

Mg-5VCl3 시료는, 구입한 순수한 Mg보다, 훨씬 높은 초기 수소 흡수 속도와 훨씬 큰 60분 동안에 흡수한 수소의 양을 가지고 있음을 보여준다. 그림 5는, 구입한 순수한 Mg에 비하여, 반응성 밀링한 Mg-5VCl3 는 더 많은 결함과 더 작은 입자를 가지고 있음을 보여 준다. Mg와 VCl3를 반응성 밀링하는 동안, 격렬한 힘과 인장, 압축, 횡단 스트레스가 재료에 가해진다. 이 힘들과 스트레스가, 결함을 유입시키고 크랙 (crack)을 만들고 새로운 깨끗한 표면을 노출시키며 입자 크기를 줄이고 입자들 사이에 첨가물을 분산시킨다. 결함의 유입은 핵 생성을 쉽게 한다. 크랙을 만들고 새로운 깨끗한 표면을 노출 시키면 입자의 수소와의 반응성이 높아진다. 입자의 크기를 줄이면 수소 원자의 확산 거리를 줄인다 [33-38]. 이들 효과들이 Mg-5VCl3의 초기 수소 흡수 속도와 60분 동안에 흡수한 수소의 양을 증가시키는 것으로 판단된다. Mg-5VCl3의 첨가가 초기 수소 흡수 속도와 60분 동안에 흡수한 수소의 양을 증가시키는 이유에 대한 이런 설명은, 앞에서 언급한 점(Mg의 수소 흡수와 방출 반응은 구동력이 작은 경우에는 핵 생성에 의하여 제어되고 핵 생성과 성장 기구(mechanism)에 의하여 성장한다. 그리고 Mg의 수소 흡수 속도는, 성장하는 Mg 수소화물 층을 통한 수소 원자의 확산에 의하여 제어된다 [30])과 VCl3와 반응성 밀링 후의 미세 구조의 변화에 근거를 두고 있다. 입자의 크기를 줄이는 것은 시료의 단위 무게 당 표면적을 증가시킨다. 밀링 중 형성된 β-MgH2, γ-MgH2과 밀링 중 첨가물의 분쇄(pulverization)는 이들 효과를 더 강하게 한다. 도입된 결함과, 밀링 중 생긴 상들 (β-MgH2, γ-MgH2)과 Mg 사이의 계면, 수소화물 형성 분해 싸이클링 중 생긴 상들 (β-MgH2, MgO)과 Mg 사이의 계면은, MgH2와 Mg-H 고용체의 활발한 불균일 핵생성 자리로 작용한다고 생각된다. Liang 등 [39]은, Mg와 촉매제 사이의 계면이 수소화물 상의 활발한 핵 생성 자리로 작용해서, 수소 흡수 반응의 아주 작은 구동력 하에서도, 수소 흡수 곡선에 핵 생성 기간이 나타나지 않았다고 보고하였다. 수소 흡수-방출 싸이클링 동안에 생성된 상들은 또한 흡수-방출 싸이클링 동안에 입자의 응집을 막는 것으로 생각된다.

그림 9는, Mg-5VCl3가 가장 높은 초기 흡수 속도와 가장 큰 Ha (60 min)를 가지고 있고, Mg-5TiCl3, Mg-5NbF5, Mg-5TaF5, pure Mg 순서로 초기 흡수 속도와 Ha (60 min)가 낮아진다는 것을 보여준다. 할로겐 화합물이 첨가된 Mg 시료들 중에서, VCl3 첨가 Mg 시료가 가장 높은 초기 흡수 속도와 가장 큰 Ha (60 min)을 가지고 있다. 염화물 (chloride) 첨가 Mg가 플루오르화물 (fluoride) 첨가 Mg보다 높은 초기 흡수 속도와 큰 Ha (60 min)을 가지고 있다. 이 결과들은, 플루오르화물이 염화물보다 더 우수한 촉매제라는, Malka 등 [15]의 보고에 반대되는 결과이다. Malka 등 [15]은, MgH2-7 wt% VCl3이 MgH2-7 wt% NbF5, MgH2-7 wt% TaF5, MgH2-7 wt% TiCl3보다 더 높은 분해 온도 (Ton)와 MgH2 분해 피크 (Tpeak) 의 최대 온도를 가진다고 보고하였다. 더 높은 Ton과 Tpeak를 가진 시료는, 더 낮은 Ton과 Tpeak를 가진 시료보다, 주어진 온도에서 더 낮은 수소 흡수를 가진다고 생각된다. 그러나 Mg-5VCl3는 Mg-5TiCl3, Mg-5NbF5, Mg-5TaF5보다 더 높은 수소 흡수 속도를 가지고 있다. 출발 물질로 사용된 MgH2와 Mg의, 입도, 경도, 취성 등과 같은, 물리적인 성질의 차이가 반응성 밀링의 효과에 차이를 가져와 그 결과 수소 흡수 및 방출 특성의 차이를 일으킨 것으로 판단된다.

90 wt% Mg + 10 wt% VCl3 조성을 가진 시료를 수소 분위기에서 밀링에 의하여 제조하였고, 이 시료는 Mg-10VCl3라고 명명하였다. 그림 10은, Mg-5VCl3과 Mg-10VCl3에 대하여, n=1, 593 K에서, 12 bar 수소 압력에서의 수소 흡수 곡선과 1.0 bar 수소 압력에서의 수소 방출 곡선을 보여 준다. Mg-5VCl3가 Mg-10VCl3보다 높은 초기 수소 흡수 속도와 큰 Ha (60 min)을 가지고 있다. Mg-5VCl3과 Mg-10VCl3의 Ha (60 min)은 각각 6.36, 5.43 wt% H이다. 그런데, Mg-5VCl3가 Mg-10VCl3보다, 아주 조금 높은 초기 수소 방출 속도를 가지고 있으나 약간 적은 Hd (60 min)을 가지고 있다. Mg-5VCl3과 Mg-10VCl3은 각각 4.54, 5.25 wt% H의 Hd (60 min)을 가지고 있다.

4. 결 론

95 wt% Mg+5 wt% VCl3 조성의 시료 (Mg-5VCl3로 명명)를 반응성 밀링으로 제조하였다. 제1 싸이클 (n=1)에서, Mg-5VCl3는 573 K 수소 압력 12 bar에서 5 분 동안에 5.38 wt% H, 60 분 동안에 5.95 wt% H를 흡수하였다. Mg-5VCl3의 활성화는 세 수소 흡수-방출 싸이클 후에 완료 되었다. n=3에서, Mg-5VCl3는 593 K 수소 압력 1.0 bar에서 2.5분 동안에 0.10 wt% H를 방출하고, 60 분 동안에 4.71 wt% H를 방출하였다. 수소 분위기에서 밀링하는 동안, β-MgH2, γ-MgH2 상들이 생성되었다. VCl3와 Mg의 반응성 밀링은, Mg 입자의 표면과 내부에 결함을 유입시키고 크랙 (crack)을 만들고 새로운 깨끗한 표면을 노출시키며 입자 크기를 줄인다. 이들 효과들이 Mg-5VCl3의 초기 수소 흡수 속도와 60 분 동안에 흡수한 수소의 양을 증가시키는 것으로 판단된다. 형성된 β-MgH2, γ-MgH2는, 자신들이 분쇄되어, 반응성 밀링의 효과를 증가 시키는것으로 생각된다. 도입된 결함과, 밀링 중 생긴 상들(β-MgH2, γ-MgH2)과 Mg 사이의 계면, 수소화물 형성 분해 싸이클링 중 생긴 상들 (β-MgH2, MgO)과 Mg 사이의 계면은, MgH2와 Mg-H 고용체의 활발한 불균일 핵생성 자리로 작용한다고 생각된다. 수소 흡수-방출 싸이클링 동안에 생성된 상들은 또한 흡수-방출 싸이클링 동안에 입자의 응집을 막는 것으로 생각된다.

Acknowledgements

이 논문은 2020년도 전북대학교 연구기반 조성비 지원에 의하여 연구되었으며 이에 감사합니다.

REFERENCES

1 
Song M.Y., Kwak Y.J., Lee S.H., Park H.R., Korean J. Met. Mater,51, 119 (2013)Google Search
2 
Reilly J.J., Wiswall R.H., Inorg. Chem,6, 2220 (1967)Google Search
3 
Reilly J.J., Wiswall R.H., Inorg. Chem,7, 2254 (1968)Google Search
4 
Akiba E., Nomura K., Ono S., Suda S., Int. J. Hydrogen Energy,7, 787 (1982)Google Search
5 
Wu D., Ouyang L., Wu C., Wang H., Liu J., Sun L., Zhu M., J. Alloys Compd,642, 180 (2015)Google Search
6 
Li Z., Liu X., Jiang L., Wang S., Int. J. Hydrogen Energy,32, 1869 (2007)Google Search
7 
Lucaci M., Biris A.R., Orban R.L., Sbarcea G.B., Tsakiris V., J. Alloys Compd,488, 163 (2009)Google Search
8 
Li Z., Liu X., Huang Z., Jiang L., Wang S., Wang, Rare Metals,25, (6) (Supplement 1, 247 (2006)Google Search
9 
Lin H.J., Ouyang L.Z., Zhao D.Q., Wang W.H., Sun D.L., Zhu M., Int. J. Hydrogen Energy,37, 14329 (2012)Google Search
10 
Hong S.H., Kwon S.N., Song M.Y., Korean J. Met. Mater,49, 298 (2011)Google Search
11 
Kim K. I., Hong T.W., Korean J. Met. Mater,49, 264 (2011)Google Search
12 
Boulet J.M., Gerard N., J. Less-Common Met,89, 151 (1983)Google Search
13 
Wu D., Ouyang L., Wu C., Gu Q., Wang H., Liu J., Sun L., Zhu M., J. Alloys. Compd,690, 519 (2017)Google Search
14 
Jiang X., Fu K., Xiao R., Wu Y., Sun B., Shao H., Wu X., Zheng J., Li X., J. Alloys Compd,751, 176 (2018)Google Search
15 
Malka I.E., Czujko T., Bystrzycki J., Int. J. Hydrogen Energy,35, 1706 (2010)Google Search
16 
Malka I.E., Pisarek M., Czujko T., Bystrzycki J., Int. J. Hydrogen Energy,36, 12909 (2011)Google Search
17 
Zhang T., Hou X., Hu R., Kou H., Li J., Mater. Chem. Phys,183, 65 (2016)Google Search
18 
Hou X., Hu R., Yang Y., Feng L., Int. J. Hydrogen Energy,42, 22953 (2017)Google Search
19 
Jangir M., Jain A., Yamaguchi S., Ichikawa T., Lal C., Jain I.P., Int. J. Hydrogen Energy,41, 14178 (2016)Google Search
20 
Song M.Y., Kwak Y.J., Lee S.H., Park H.R., Korean J. Met. Mater,52, 137 (2014)Google Search
21 
Lee S.H., Kwak Y.J., Park H.R., Song M.Y., Int. J. Hydrogen Energy,39, 16486 (2014)Google Search
22 
Lee S.H., Kwak Y.J., Park H.R., Song M.Y., Korean J. Met. Mater,53, 187 (2015)Google Search
23 
Wikipedia, https://en.wikipedia.org/wiki/Vanadium(III)_chloride, Vanadium(III) chloride, (2021)Google Search
24 
Song M.Y., Baek S.H., Bobet J.-L., Hong S.H., Int. J. Hydrogen Energy,35, 10366 (2010)Google Search
25 
Song M.Y., Kwak Y.J., Korean J. Met. Mater,56, 244 (2018)Google Search
26 
Bastide J.-P., Bonnetot B., Le´toffe´ J.-M., Claudy P., Mat. Res. Bull,15, 1215 (1980)Google Search
27 
Bortz M., Bertheville B., Yvon K., Movlaev E.A., Verbetsky V. N., Fauth F., J. Alloys Comp,279, L8 (1998)Google Search
28 
Bortz M., Bertheville B., Bőttger G., Yvon K., J. Alloys Comp,287, L4 (1999)Google Search
29 
Conceição M.O.T. da, Brum M.C., Santos D.S. dos, J. Alloys Compd,586, Supplement 1, S101 (2014)Google Search
30 
Song M.Y., J. Mater. Sci,30, 1343 (1995)Google Search
31 
Song M.Y., Kwak Y.J., Shin H.-S., Lee S.H., Kim B.G., Int. J. Hydrogen Energy,38, 1910 (2013)Google Search
32 
Kwak Y.J., Park H.R., Song M.Y., J. Nanosci. Nanotech,17, 8105 (2017)Google Search
33 
Song M.Y., Choi E., Kwak Y.J., Met. Mater. Int,25, 516 (2019)Google Search
34 
Song M.Y., Kwak Y.J., Korean J. Met. Mater,57, 176 (2019)Google Search
35 
Choi E., Kwak Y.J., Song M.Y., Korean J. Met. Mater,57, 663 (2019)Google Search
36 
Song M.Y., Choi E., Kwak Y.J., Int. J. Hydrogen Energy,44, 3779 (2019)Google Search
37 
Song M.Y., Kwak Y.J., Lee S.H., J. Ceram. Process. Res,20, 173 (2019)Google Search
38 
Song M.Y., Choi E., Kwak Y.J., Metals,9, 1347 (2019)Google Search
39 
Liang G., Huot J., Boily S., Van Neste A., Schulz R., J. Alloys Compd,292, 1-2, 247 (1999)Google Search

Figures and Tables

Fig. 1.

Variations of (a) hydrogenation curve at 573 K in 12 bar hydrogen and (b) dehydrogenation curve at 573 K in 1.0 bar hydrogen with number of cycles, n, for Mg-5VCl3.

../../Resources/kim/KJMM.2021.59/kjmm-2021-59-10-709f1.jpg
Fig. 2.

Variations of (a) hydrogenation curve at 593 K in 12 bar hydrogen and (b) dehydrogenation curve at 593 K in 1.0 bar hydrogen with number of cycles, n, for Mg-5VCl3.

../../Resources/kim/KJMM.2021.59/kjmm-2021-59-10-709f2.jpg
Fig. 3.

Variation of hydrogenation curve in 12 bar hydrogen with temperature (423 K, 473 K, and 523 K) for Mg-5VCl3.

../../Resources/kim/KJMM.2021.59/kjmm-2021-59-10-709f3.jpg
Fig. 4.

Variation of dehydrogenation curve in 1.0 bar hydrogen with temperature (523 K, 573 K, and 593 K) for Mg-5VCl3.

../../Resources/kim/KJMM.2021.59/kjmm-2021-59-10-709f4.jpg
Fig. 5.

(a, b) SEM micrographs of Mg-5VCl3 after reactive milling and (c) a SEM micrograph of pure Mg.

../../Resources/kim/KJMM.2021.59/kjmm-2021-59-10-709f5.jpg
Fig. 6.

SEM micrographs of Mg-5VCl3 dehydrogenated at the fourth hydrogenation-dehydrogenation cycle.

../../Resources/kim/KJMM.2021.59/kjmm-2021-59-10-709f6.jpg
Fig. 7.

XRD pattern of Mg-5VCl3 after reactive milling.

../../Resources/kim/KJMM.2021.59/kjmm-2021-59-10-709f7.jpg
Fig. 8.

XRD pattern of Mg-5VCl3 dehydrogenated at the seventh hydrogenation-dehydrogenation cycle.

../../Resources/kim/KJMM.2021.59/kjmm-2021-59-10-709f8.jpg
Fig. 9.

Hydrogenation curves at 593 K in 12 bar hydrogen at n=3 for as-purchased pure Mg, Mg-5VCl3, Mg-5TiCl3, Mg-5NbF5, and Mg-5TaF5.

../../Resources/kim/KJMM.2021.59/kjmm-2021-59-10-709f9.jpg
Fig. 10.

Hydrogenation curves at 593 K in 12 bar hydrogen and dehydrogenation curves at 593 K in 1.0 bar hydrogen at n = 1 for Mg-5VCl3 and Mg-10VCl3.

../../Resources/kim/KJMM.2021.59/kjmm-2021-59-10-709f10.jpg
Table 1.

Variations of Ha (wt% H) with time at 573 K in 12 bar hydrogen at n=1-4 for Mg-5VCl3.

2.5 min 5 min 10 min 30 min 60 min
n=1 4.39 5.38 5.78 5.96 5.95
n=2 4.52 5.43 5.61 5.73 5.80
n=3 4.55 5.41 5.55 5.71 5.77
n=4 4.50 5.33 5.49 5.58 5.64
Table 2.

Variations of Hd (wt% H) with time at 573 K in 1.0 bar hydrogen at n=1-4 for Mg-5VCl3.

2.5 min 5 min 10 min 30 min 60 min
n=1 0.05 0.11
n=2 0.05 0.16
n=3 0.03 0.14
n=4 0.01 0.16
Table 3.

Variations of Ha (wt% H) with time at 593 K in 12 bar hydrogen at n=1-4 for Mg-5VCl3.

2.5 min 5 min 10 min 30 min 60 min
n=1 3.37 4.64 5.84 6.36 6.36
n=2 3.55 5.07 6.08 6.18 6.24
n=3 3.64 5.16 6.07 6.19 6.22
n=4 3.57 5.11 6.00 6.07 6.14
Table 4.

Variations of Hd (wt% H) with time at 593 K in 1.0 bar hydrogen at n=1-4 for Mg-5VCl3.

2.5 min 5 min 10 min 30 min 60 min
n=1 0.12 0.24 0.60 2.49 4.54
n=2 0.11 0.25 0.59 2.47 4.63
n=3 0.10 0.25 0.60 2.40 4.71
n=4 0.13 0.28 0.61 2.29 4.72