์ค๊ตญ๋
ธ
(Kook Noh Yoon)
1
์คํ์
(Hyun Seok Oh)
1
์ด์ ์ธ
(Je In Lee)
2
๋ฐ์์
(Eun Soo Park)
1*
-
์์ธ๋ํ๊ต์ฌ๋ฃ๊ณตํ๋ถ
(Department of Materials Science and Engineering, Research Institute of Advanced Materials
& Institute of Engineering Research, Seoul National University, 08826, Republic of Korea)
-
๋ถ์ฐ๋ํ๊ต์ฌ๋ฃ๊ณตํ๋ถ
(School of Materials Science and Engineering, Pusan National University, Busan 46241,
Republic of Korea)
Copyright ยฉ 2021 The Korean Institute of Metals and Materials
Key words
High entropy alloy, Al addition, Complexity, Specific strength, Deformation mechanism
1. ์ ๋ก
์ต๊ทผ ์ผ๊ธํ ๋ถ์ผ์ ๊ฐ์ฅ ํฐ ์ด์ ์ค ํ๋์ธ ํ์ด์ํธ๋กํผ ํฉ๊ธ(high entropy alloy, HEA)์ ๊ฒฐ์ ๊ตฌ์กฐ์ ๋ฐ๋ผ 6๊ฐ์ ๋ํ ๊ทธ๋ฃน์ผ๋ก
๋ถ๋ฅํ ์ ์์ผ๋ฉฐ, ๋ค์ํ ํฉ๊ธ ์กฐ์ฑ์์ ํ๋ฐํ ์ฐ๊ตฌ๊ฐ ์งํ ์ค์ด๋ค. HEA๋ ๊ธฐ์กด์ ์์ฉ ํฉ๊ธ๊ณผ๋ ๋ค๋ฅด๊ฒ ๋ค์ข
์ ์ฃผ์์๊ฐ ๋จ์ผ์ ๋ด์์ ๋์์ ์๋ํ๊ธฐ
๋๋ฌธ์ ๋
ํนํ ํน์ฑ์ ๋ํ๋ด๋ ๊ฒ์ผ๋ก ์๋ ค์ ธ ์๋ค [1-3]. ๊ทธ ์ค์์๋ Cantor HEA๋ฅผ ๋ํ๋ก ํ๋ 3d ์ ์ด ๊ธ์(transition metal, TM)์ ์ค์ฌ์ผ๋ก ํ FCC CrMnFeCoNi
HEA ์์คํ
์ ๋ค์ข
์ ์ฃผ์์๊ฐ ์ ๋ฐํ๋ ๋์ ๊ณ ์ฉ ๊ฐํํจ๊ณผ ๋ฟ๋ง ์๋๋ผ, ์์ฉ ํฉ๊ธ ๋๋น ์๋์ ์ผ๋ก ๋ฎ์ ์ ์ธต ๊ฒฐํจ ์๋์ง(stacking fault
energy, SFE)๋ฅผ ๊ฐ์ง๋ ๊ฒ์ผ๋ก ์๋ ค์ ธ ์๋ค. ์ด์ ๊ฐ์ ํน์ฑ์ ์์ฌ์ ๋์ ๊ฐ๋๋ ๋ฌผ๋ก plasticity์ ๊ด์ ์์๋ TWIP (Twinninginduced
plasticity)/TRIP (Phase transformation induced plasticity)๊ณผ ๊ฐ์ ๋ณํ ๊ธฐ๊ตฌ๋ฅผ ๋๋ฐํ๋ฉฐ ๋งค์ฐ ํฐ ์ฐ์ ์
์ ๊ณตํ๋ค [4-5]. ์ด๋ฌํ ์ฐ์ํ ํน์ฑ๋ค ๋๋ถ์ HEA๋ ์ ๊ฐ๋
๊ตฌ์กฐ ์์ฌ๋ก์จ ํฐ ์ฃผ๋ชฉ์ ๋ฐ๊ณ ์๋ค.
ํํธ, ์ผ๋ฐ์ ์ผ๋ก ์์ฌ์ ์์๋์ ์์๊ฐ ๊ฒฐํฉ ์ธ๊ธฐ์ ๋น๋กํ๊ธฐ ๋๋ฌธ์, ๊ฐ์ ์์ ์ถฉ์ง๋ฅ (Atomic packing fraction, APF)์ ๊ฐ์ง๋
FCC ์์ฌ์ ๊ฒฝ์ฐ ๊ทธ ๋ฐ๋์ ์ฆ๊ฐ์ ๋ฐ๋ผ ๊ฐ๋๊ฐ ์ฆ๊ฐํ๋ ๊ฒฝํฅ์ ๋ณด์ธ๋ค. ๋จ, ๋ฑ์ฑ๋ถ๊ณ์ Cantor HEA์ ๊ฒฝ์ฐ ๋น์ทํ ๊ฐ๋๋ฅผ ๊ฐ์ง๋ ์์ฉ Fe-rich
์ค์คํ
๋์ดํธ ๊ฐ๊ณผ ๋น๊ตํ์ฌ ์๋์ ์ผ๋ก ๋์ ๋ฐ๋๋ฅผ ๊ฐ์ง๊ธฐ ๋๋ฌธ์, ์ฒ ๊ฐ ์์ฌ๋ฅผ ๋์ฒดํ๋ ๊ตฌ์กฐ์ฉ ์์ฌ๋ก์จ ๋ฉด์ฌ์
๋ฐฉ๊ตฌ์กฐ(Face centered cubic,
FCC)์ HEA๋ฅผ ํ์ฉํ๊ธฐ ์ํด์๋ ์๋ก์ด ํฉ๊ธ ๊ฐ๋ฐ ์ ๋ต์ด ๋ฐ๋์ ํ์ํ๋ค. ๋ถ์ฐํ๋ฉด, ์ฒ ๊ฐ ์์ฌ๊ฐ ๊ธฐ์ง ์ฃผ ์์์ธ Fe๋ฅผ ์ ์ธํ๋ฉด Cr, Mn
๋ฑ Fe ๋๋น ์๋์ ์ผ๋ก ๊ฐ๋ฒผ์ด ์์๋ก ๊ตฌ์ฑ๋๋ ๊ฒ๊ณผ๋ ๋ค๋ฅด๊ฒ, HEA๋ Fe ๋๋น ์๋์ ์ผ๋ก ๋ฌด๊ฑฐ์ด Ni, Co ๋ฑ์ ๋ง์ด ํฌํจํ๊ฒ ๋๋ค. ์ด๋
์์ฌ ์์ฒด์ ๋ฐ๋๋ฅผ ๋์ผ ๋ฟ๋ง ์๋๋ผ, ์ฐ์
ํ์ฅ์์ ์ค์ํ๊ฒ ๊ณ ๋ ค๋๋ ๋น๊ฐ๋(ํญ๋ณต๊ฐ๋/๋ฐ๋)์ ๊ด์ ์์ ํฐ ๋จ์ ์ผ๋ก ์ง์ ๋๋ค [6-8].
์ด๋ฌํ ๋ฌธ์ ์์์ ๋ฐํ์ผ๋ก ๋ค์ํ ์ฐ์
๋ถ์ผ์ ๋ณด๋ค ํญ ๋์ ํ์ฉ์ ์ํด ๊ณ ๋น๊ฐ๋/๊ณ ์ฐ์ ์ ๊ฒฝ๋(light-weight, LW) HEA๋ฅผ ๊ฐ๋ฐํ๊ธฐ ์ํ
๋ค์ํ ์ฐ๊ตฌ๊ฐ ์ํ๋์ด ์๋ค. ๋จผ์ HEA์ ๋ฌด๊ฒ ์์ฒด๋ฅผ ๋ฎ์ถ๋ ๋ฐฉ๋ฒ์ผ๋ก์จ, Mg, Al, Ti ๋ฑ์ ๊ฒฝ๋ ์์๋ฅผ ์ฃผ์ ๊ตฌ์ฑ ์์๋ก ํ๋ LW-HEA์
์ฐ๊ตฌ ๊ฐ๋ฐ์ด ์๋๋๊ณ ์๋ค. ๊ทธ๋ฌ๋ ์ด๋ฌํ ํฉ๊ธ ์์คํ
์ ๋ฐ๋๋ฅผ ํฌ๊ฒ ๋ฎ์ถ ์๋ ์์ง๋ง, ๊ตฌ์กฐ์ฉ ์์ฌ๋ก ํ์ฉํ๊ธฐ์ ์๋์ ์ผ๋ก ๊ธฐ๊ณ์ ํน์ฑ์ด ์ฐ์ํ์ง
๋ชปํ๋ค. ์ผ ์๋ก Mg20(AlCuMnZn)80 HEA์ ๊ฒฝ์ฐ 4.29 g/cm3 ์์ค์ ์ ๋ฐ๋๋ฅผ ๊ฐ์ง์ง๋ง, ์ต๋ 428 MPa์ ์์ถ ํญ๋ณต๊ฐ๋์ ์ต๋ 3.29%์ ์์ถ ์ฐ์ ์จ์ ๊ฐ์ ธ ์ค์ ๊ตฌ์กฐ์ฉ ์ฌ๋ฃ๋ก ํ์ฉ์ด ๋งค์ฐ ์ด๋ ต๋ค [6]. ๋ฟ๋ง ์๋๋ผ, 5-6 g/cm3 ์์ค์ AlNbTiV HEA์ ๊ฒฝ์ฐ์๋ ์์ถ ํญ๋ณต๊ฐ๋๋ 1 GPa ์ด์์ผ๋ก ๋งค์ฐ ๋์ง๋ง, ์ต๋ ์์ถ ์ฐ์ ์จ์ด 5% ์ดํ๋ก ์ฒ ๊ฐ ์์ฌ๋ฅผ ๋์ฒดํ๋ ๊ฒ์๋
๋ฌด๋ฆฌ๊ฐ ์๋ค [7].
ํํธ HEA์ ๊ธฐ์ง ์์ฒด๋ฅผ ๊ฒฝ๋ํ ํ๋ ๋ณด๋ค ํ์ค์ ์ธ ๋ฐฉ๋ฒ์ผ๋ก์จ, ์ด๋ฏธ ๊ฐ๋ฐ๋ HEA ์์คํ
์ ๊ฒฝ๋ ์์์ธ Al, Ti ๋ฑ์ ํฉ๊ธํ ํ๋ ๋ฐฉ๋ฒ ์ญ์
๊ณ ๋ ค๋๊ณ ์๋ค. ์ค์ ๋ก FCC HEA์ ๊ณ ์ฉ๋๋ฅผ ๊ฐ์ง๋ Al์ ์ ํผ์ผํธ ํฉ๊ธํ ํ์ฌ ๊ธฐ์กด Cantor HEA ๋๋น ์ % ์ด์ ๊ฒฝ๋ํ ํ ์ฐ๊ตฌ๋ค์ด
๋ณด๊ณ ๋๊ณ ์๋ค [8]. Fig 1์ 3d TM ๋ค๊ณผ Al์ ๊ธ์์์ ๋ฐ๊ฒฝ(metallic radius, r)์ ์ ๋จ ๊ณ์(shear modulus, G)๋ฅผ ์์๋ฒํธ ์์์ ๋ฐ๋ผ ๋ํ๋ธ
๊ฒ์ด๋ค. ๊ทธ๋ฆผ์ ๋ํ๋ ๊ฒ๊ณผ ๊ฐ์ด, ๋ํ์ ๊ฒฝ๋์์์ธ Al์ ๋ค๋ฅธ 3d TM๋ค๊ณผ ๋น๊ตํ์ฌ ์๋์ ์ผ๋ก ํฐ ์์ ๋ฐ๊ฒฝ ์ฐจ ๋ฐ ์ ๋จ๊ณ์ ์ฐจ์ด๋ฅผ ๊ฐ์ง๊ธฐ ๋๋ฌธ์,
์๋ ์ฒจ๊ฐ๋ง์ผ๋ก๋ ๊ธฐ์กด FCC HEA ๊ตฌ์ฑ ์์ ์กฐ์ฑ์ ์ด์ ์ํ ๊ฒฝ์ฐ๋ณด๋ค ๋ ํฐ ๊ณ ์ฉ๊ฐํ ํจ๊ณผ๋ฅผ ๊ธฐ๋ํ ์ ์๋ค. ๋ํ, ๊ฒฝ๋ ์์์ธ Al์ Cantor
HEA๋ฅผ ๊ตฌ์ฑํ๋ ์์๋ค ์ค, Ni ๋ฐ Co ๋ณด๋ค ์ฝ 50% ์์ค์ ๋ฎ์ ์์๋์ ๊ฐ๋๋ค. ๋ฐ๋ผ์ ์ด์ ๊ฐ์ ๊ณ ์ค๋ ์์๋ฅผ Al์ผ๋ก ๋์ฒดํ๋ค๋ฉด, ๊ฐ๋
๋ฐ ๊ฒฝ๋ํ์ ์ธก๋ฉด์์ ํฐ ์ด๋์ ๊ฐ์ง ์ ์๋ค. ์ฆ, ์ด์ ๊ฐ์ LW ์์๋ฅผ ๊ณ ์ฉ๋ ์ด๋ด๋ก ์ฒจ๊ฐํ๋ ๋ฐฉ์์ ๋ฐ๋๋ฅผ ๋ฎ์ถ๋ ๋์์ ๊ณ ์ฉ๊ฐํ ํจ๊ณผ๋ฅผ ๊ทน๋ํํ์ฌ
๋น๊ฐ๋์ ์ธก๋ฉด์์ ํฐ ๊ฐ์ ์ ๊ฐ์ง๋ค๊ณ ํ ์ ์๋ค.
๊ทธ๋ฌ๋, Al ์ ๋ค์ํ ์ฒ ๊ณ ํฉ๊ธ ๊ฐ๋ฐ ์ ํ์ฉ๋์ด ์จ ๋ํ์ ์ธ ํ๋ผ์ดํธ ์์ ํ ์์๋ก์จ, FCC HEA์์๋ FCC ์์ ์ ์์ ์ฑ์ ๋ฎ์ถ๊ณ ์ฝ๊ฒ
์ฒด์ฌ์
๋ฐฉ ๊ตฌ์กฐ(body centered cubic, BCC)์ ์์ถ๋ฌผ์ ํ์ฑ์ํจ๋ค. ์ผ์๋ก Cantor HEA์ Al ์ฒจ๊ฐ ์ Al์ center๋ก
ํ๋ ๊ณ ๊ฒฝ๋ ์์ถ๋ฌผ์ธ Al-Nirich B2 ๊ท์น์(ordered phase)๊ฐ ์์ถ๋๋ค๋ ๋ณด๊ณ ๊ฐ ๋ค์ ์์๋ค [9-11]. ๋ฌผ๋ก ์ด์ ๊ฐ์ B2 ์์ ์์ถ์ ํตํด ๊ฐ๋ ํฅ์์ ๊พํ ์ ์์ง๋ง, ์ด๋ฌํ ์์ถ๋ฌผ์ ํ์ฑ์ ์๋ก์ด ์๊ณ๋ฉด๋ฅผ ๋ง๋ค์ด ๋๋ถ๋ถ์ ๊ฒฝ์ฐ ์์ฌ ์ฐ์ ์
๊ธ๊ฒฉํ ๊ฐ์์ํค๋ ํ๊ณ๋ฅผ ๊ฐ์ง๋ค [12].
๋ฟ๋ง ์๋๋ผ, Al์ ํฉ๊ธํ๋ HEA์ ์ฅ์ ์ค ํ๋์ธ ๋ฎ์ SFE๋ฅผ ์ฆ๊ฐ์์ผ, ๋ค์ํ๊ฒ ๋ฐํ ๊ฐ๋ฅํ ๋ณํ ๊ธฐ๊ตฌ๋ฅผ ์ ํํ๋ ํจ๊ณผ๋ฅผ ๊ฐ์ง๋ค. ์์ ์ค๋ช
ํ
๋ฐ์ ๊ฐ์ด, 3d TM์ผ๋ก ๊ตฌ์ฑ๋ FCC HEA๋ ์ผ๋ฐ์ ์ธ ์์ฉ ํฉ๊ธ๊ณผ ๋น๊ตํ์ฌ ๋ฎ์ SFE์ ๊ฐ์ง๊ธฐ ๋๋ฌธ์, ๋ณํ ์ค ์ฝ๊ฒ ์์ (twinning)
ํ์ฑ ํน์ ์ก๋ฐฉ์กฐ๋ฐ(hexagonal closed packed, HCP) ๊ตฌ์กฐ์ ์๋ก์ด ์์ผ๋ก์ ์๋ณํ๋ฅผ ํตํ ์์ฑ ํน์ฑ์ ๊ฐ์ ์ด ๋ณด๊ณ ๋ ๋ฐ ์๋ค.
๊ทธ๋ฌ๋ Al์ ํฉ๊ธํ๋ FCC์์ HCP๋ก์ ์๋ณํ ์๋์ง(ฮGFCC-HCP)์ ์ํด ๊ฒฐ์ ๋๋ SFE๋ฅผ ๋์ด๋ ๊ฒฐ๊ณผ๋ฅผ ๊ฐ์ ธ์, ๋ณํ ๊ฑฐ๋ ์ ์ด์ ์ํ ์ฐ์ํ ๊ฐ๊ณต ๊ฒฝํ์จ์ ํ๋ณด ๋ฐ ์ฐ์ ํน์ฑ ํฅ์์ ๊พํ๊ธฐ ์ด๋ ต๊ฒ ํ๋ค. ์ข
ํฉํ๋ฉด
Al์ ์ฒจ๊ฐ๋ ๋ฌด๊ฒ ๊ฐ์์ ๊ณ ์ฉ๊ฐํ ํจ๊ณผ๋ฅผ ์ ๊ณตํ ์ ์๋ ์๊ธฐ๋ฅ์ด ์์ง๋ง, ์๋ ์ฒจ๊ฐ์์๋ ์๋ก์ด ์์ถ์์ ํ์ฑํ๊ฑฐ๋ SFE๋ฅผ ๊ธ๊ฒฉํ ๋์ด๋ ์ญ๊ธฐ๋ฅ์ด
์๋ค. ๋ฐ๋ผ์, ๊ธฐ์กด์ ๋ณด๊ณ ๋ FCC HEA์ ๋จ์ํ Al์ ์ฒจ๊ฐํ์ฌ ์ฐ์ํ ๋น๊ฐ๋์ ๋์ ์ฐ์ ์ ๋์์ ๋ฌ์ฑํ๋ ๋ฐ๋ ์ด๋ ค์์ด ์์๋ค.
๋ณธ ์ฐ๊ตฌ์์๋ ์ด๋ฌํ ๋ฌธ์ ์ ์ ๊ทน๋ณตํ๊ณ ์ FCC HEA๋ฅผ ๊ตฌ์ฑํ๋ 3d TM ์ค ์๋์ ์ผ๋ก ๊ฒฝ๋ ์์์ ๋ถ์จ์ ๋๊ฒ ์ ์ดํ๋ฉด์๋ ๋์์ ํฉ๊ธ ์์ฒด์
SFE๋ฅผ ๊ทน๋จ์ ์ผ๋ก ๋ฎ์ถ๋ ํฉ๊ธ ์ค๊ณ๋ฅผ CALPHAD ๊ธฐ๋ฐ์ผ๋ก ์ํํจ์ผ๋ก์จ, ๋น๋ฑ์ฑ๋ถ๊ณ Cr22Mn6Fe40Co26Ni6 ์กฐ์ฑ์์ LW TRIP assisted Dual Phase (TADP) HEA๋ฅผ ์ ์กฐํ ํ, ์ด๋ฅผ ๊ธฐ์ง ํฉ๊ธ์ผ๋ก ํ์ฌ Al์ ์ต๋ 5 at.%๊น์ง
ํฉ๊ธํ ํ๋ฉด์ Al ์ฒจ๊ฐ์ ๋ฐ๋ฅธ ๋ฐ๋, ๊ฐ๋ ๋ฐ ๋ณํ๊ธฐ๊ตฌ ๋ฑ ๊ธฐ๊ณ์ ํน์ฑ ๋ณํ๋ฅผ ์ฒด๊ณ์ ์ผ๋ก ๊ณ ์ฐฐํ๊ณ ์ ํ์๋ค. ๊ฒฐ๊ณผ๋ก์จ, ๋ณธ ๋
ผ๋ฌธ์์๋ (FCC+HCP)
๋ณตํฉ์ ์์ญ๊ณผ (FCC+BCC) ๋ณตํฉ์ ์์ญ ์ฌ์ด์ FCC ๋จ์ผ์ ์์ ์์ญ์์ Al ์ฒจ๊ฐ์ ์ํ ์ ๋ฐ๋-๊ณ ์ฉ๊ฐํ ํน์ฑ์ ๊ทน๋ํ ํ๋ฉด์๋, SFE๋
์ถฉ๋ถํ ๋ฎ์ TRIP๊ณผ TWIP ํน์ฑ์ ๋์์ ๊ตฌํํ์ฌ ์ต๋ ์ธ์ฅ๊ฐ๋(Ultimate tensile strength, UTS)์ ์ฐ์ ์ ๊ทน๋ํ ํ
์ ์๋ ๊ฒฝ๋ ๋ค์ค ๋ณํ๊ธฐ๊ตฌ ๊ณ ์ํธ๋กํผ ํฉ๊ธ์ ์๋กญ๊ฒ ๊ฐ๋ฐํ์๋ค. ์ด๋ฅผ ํตํด ๊ธฐ์กด HEA์ ์ฅ์ ์ ์ ์งํ๋ฉด์๋ trade-off ๊ด๊ณ์ ์๋ ์ ๋ฐ๋-๊ณ ๊ฐ๋-๊ณ ์ฐ์
ํน์ฑ์ ๋์์ ์ต์ ํ ํ ์ ์๋ ์ ๊ฐ๋
๊ณ ์ํธ๋กํผ ํฉ๊ธ์ ๊ฐ๋ฐํ๊ณ , ๊ด๋ จ ํฉ๊ธ์ ๊ฐ๋ฐํ๋ ๊ฐ์ด๋๋ผ์ธ์ ์ฒด๊ณ์ ์ผ๋ก ์ ์ํ์๋ค.
2. ์คํ ๋ฐฉ๋ฒ
๋ณธ ์ฐ๊ตฌ์์๋ ์กฐ์ฑ๋ณํ์ ๋ฐ๋ฅธ ์ ์์ ์ฑ ๋ฐ ๊น์ค์๋์ง ๋ฑ ์ด์ญํ์ ์ํ๋ฅผ ๊ณ์ฐํ๊ธฐ ์ํ์ฌ Thermo-calc ์ํํธ์จ์ด๋ฅผ ์ฌ์ฉํ์์ผ๋ฉฐ, ๋ฐ์ดํฐ๋ฒ ์ด์ค๋ก๋
TCHEA3๋ฅผ ํ์ฉํ์๋ค. ์ด๋, SFE๋ฅผ ๋๋ณํ๋ ์ธ์๋ก ฮGFCC-HCP ๊ฐ ๊ณ์ฐ์ ์ํด์ CrMnFeCoNi ํฉ๊ธ์์คํ
๋ด ๊ฐ ์กฐ์ฑ์ ์์จ ์กฐ๊ฑด(300K)์์ GFCC์ GHCP์ ์ฐจ์ด๋ฅผ ๊ณ์ฐํ์๋ค.
๋ณธ ์ฐ๊ตฌ์ CrMnFeCoNi(-Al) ํฉ๊ธ ์ํธ์ ์ํฌ ๋ฉํ
์ ํตํด Ar ๋ถ์๊ธฐ ํ์์ ์ต์ 5ํ ์ด์ ์ฌ์ฉํดํ์ฌ ์ ์กฐํ์๋ค. ์ ์กฐ๋ ์ํธ์ ์์ฉ
๋์ฐ๊ธฐ๋ฅผ ํ์ฉํด ์ต๋ 70%๊น์ง ์์ถํ์ฌ 1.5 mm ๋๊ป์ ํ์์ผ๋ก ์ ์กฐํ์๋ค. ์ด๋ ๊ฐ ๋จ๊ณ ๊ฐ์ ์ํ์จ์ 5-10%๋ฅผ ์ ์งํ์ฌ ๋ฏธ์ ํฌ๋์ ํ์ฑ์
๋ฐฉ์งํ์๋ค. ๋ํ ๋๊ธฐํ๊ฒฝ muffle furnace๋ฅผ ํตํด ๊ท ์งํ ์ด์ฒ๋ฆฌ๋ 1200 ยฐC์์ 12 ์๊ฐ ๋์ ํํ์ฌ ๋จ์ผ FCC ์์ด ํ์ฑ๋ ์
์๋๋ก ํ๊ณ , ์ฌ๊ฒฐ์ ํ ์ด์ฒ๋ฆฌ๋ ๋ชจ๋ ํฉ๊ธ์ ๊ฒฐ์ ๋ฆฝ ํฌ๊ธฐ๊ฐ ์ฝ 5-10 ฮผm๋ก ์ ์ฌํ๊ฒ ํ์ฑ๋๋๋ก ๊ฐ ํฉ๊ธ์กฐ์ฑ์ ๋ฐ๋ผ 800 ยฐC์์ 20 ๋ถ ์ด๋ด
๋ด์ง 900 ยฐC์์ 10 ๋ถ ์ด๋ด์ ๋ฒ์ฃผ์์ ์ต์ ํ๋ฅผ ํตํด ์งํํ์๋ค. ๋ชจ๋ ์ด์ฒ๋ฆฌ ํ ์ํธ์ ํด๋น ์จ๋์์ ์ฆ์ ์๋ํ์๋ค.
์ ์กฐ๋ ํฉ๊ธ์ ๋ฐ๋(ฯ)๋ Archimedes ๋ฒ์ ์ฌ์ฉํ์ฌ ๊ณ์ฐํ์๋ค. ๋ฐ๋ ๊ณ์ฐ์ ์ํด์๋ Mettler toledo์ XS204 ์ ์์ ์ธ์ด ์ฌ์ฉ๋์์ผ๋ฉฐ, ์ธก์ ์ ์ ๋ฐ์ฑ
ํ๋ณด๋ฅผ ์ํ์ฌ ์ฉ๋งค๋ก๋ ๋ฌผ ๋ณด๋ค ๊ณ ์ ๋, ์ ๋ฐ๋์ธ ํธ๋ฆฌ๋ฐ์ผ์ธ(Tridecane, 0.756 g/cm3)์ ํ์ฉํ์๋ค. ๊ฐ ์์ฌ์ ๋ฐ๋๋ ์์จ์์ ์ต์ 5 ํ ์ด์ ์ธก์ ์ ํตํด ๊ณ์ฐํ ํ, ์ต๋-์ต์ ๊ฐ์ ์ ์ธํ ๋๋จธ์ง ๊ฐ๋ค์ ํ๊ท ์ผ๋ก ๊ตฌํ์๋ค.
์ ์กฐ๋ ํฉ๊ธ์ ๊ฒฐ์ ๊ตฌ์กฐ๋ X-์ ํ์ ๋ถ์๋ฒ(D2 phaser, Brucker)์ ํตํด ํ์ธํ์๋ค. ํ์ ํผํฌ์ ๋์ ์ธํ
์ํฐ ํ๋ณด๋ฅผ ์ํ์ฌ, ์ํธ์
๋ถ๋น 15๋ ํ์ ์ํค๋ฉฐ, 1๋ ๋น 5์ด์ ๋
ธ์ถ ์๊ฐ์ ์ฃผ์ด ๋ถ์ํ๋ค. ๊ฐ ์์ฌ์ ๊ฒฉ์ ์์(lattice parameter, a)๋ X-์ ํ์ ๋ถ์์ ํตํด ์ป์ด์ง FCC ์์ (111) ํผํฌ๋ฅผ Braggโs equation์ ๋ฐ๋ผ ์ญ์ฐํ์ฌ ๊ณ์ฐํ์๋ค. ์ถ๊ฐ์ ์ผ๋ก ๋ณด๋ค ๋ฉด๋ฐํ
์๋ถ์์ ์ํ์ฌ ํฌํญ ๊ฐ์๊ธฐ ์ฐ๊ตฌ์์ 5A XRS ๋น๋ผ์ธ์ ํ์ฉํ์๋ค. ํ์ฉํ ๋น๋ผ์ธ์ ํ์ฅ(ฮป)์ 0.692650 ร
์ด์์ผ๋ฉฐ, ์ํ๋ก๋ถํฐ ๋ํ
ํฐ๊น์ง์
๊ฑฐ๋ฆฌ๋ LaB6๋ฅผ ํ์ฉํด ์บ๋ฆฌ๋ธ๋ ์ด์
ํ์๋ค. ์ธก์ ์ํํธ์ 10 ร 10 mm2 ๋ฉด์ ์ 1 mm ๋๊ป ์ํธ์ ๋ฐ์ฌ ๋ชจ๋๋ฅผ ํ์ฉํ์ฌ ์ธก์ ํ์๋ค.
๋ํ, ์์ฌ ๋ณํ ์ ํ์ ๋ฏธ์ธ๊ตฌ์กฐ ํ์ธ์ ์ํ์ฌ, SEM ๋ฐ EBSD ๋ถ์์ ์ํํ์๋ค. ์ด ๋ SEM์ Jeol ์ฌ์ SU70 FE-SEM์ ํ์ฉํ์์ผ๋ฉฐ,
EBSD ๋ถ์์๋ EDAX์ฌ์ TSL Software๋ฅผ ํ์ฉํ์๋ค. ๋ณธ ์ฐ๊ตฌ์์ EBSD ๋ถ์์ ํ์ฑ๋ ์ ์๋ HCP ๋ง๋ฅดํ
์ฌ์ดํธ์ ์ต์ ์์ ๋๊ป์ธ
100 nm๋ฅผ ๊ธฐ์ค์ผ๋ก ์ต๋ 75 nm์ step size๋ฅผ ์ฌ์ฉํ์๋ค. ํํธ, ๊ฐ ์ํธ์์ ํ๊ท ๊ฒฐ์ ๋ฆฝ ํฌ๊ธฐ์ ๊ณ์ฐ์ FCC ๋ฐ HCP ์๊ฐ ๊ณ๋ฉด์
์ ์ธํ ์์ ์
๊ณ์ ํฌ๊ธฐ๋ฅผ ๊ธฐ์ค์ผ๋ก ๊ณ์ฐํ์๋ค.
์์ฌ์ ์ด์ ๋๋(ฮบ)๋ ์๊ธฐ ์๋ฅดํค๋ฉ๋ฐ์ค๋ฒ์ ํตํด ์ป์ ฯ์ ์ดํ์ฐ๊ณ์(ฮฑ), ๊ทธ๋ฆฌ๊ณ ๋น์ด(Cp)์ ๊ณฑํ์ฌ ๊ณ์ฐํ์๋ค. ์ด๋, ๋ฐ๋๋ ์จ๋์ ๋ฐ๋ผ ๋ณํํ์ง ์๊ณ , ์์จ์ ๊ฐ์ด ์ ์ง๋๋ค๊ณ ๊ฐ์ ํ์๋ค. ๋ํ ฮฑ๋ Netzsch์ฌ์ LFA 457 ์ฅ์น๋ฅผ ํ์ฉํ์ฌ ์ธก์ ํ์๋ค. ์ด๋ ์ธก์ ์ํธ์ ASTM E1461์ ์ค์ฉํ์ฌ 12.7 mm ์ง๋ฆ๊ณผ 1.5 mm
๋๊ป์ ์ํ ํํ ์ํธ์ ๊ฐ๊ณตํ์ฌ ํ์ฉํ์๋ค. ฮฑ์ ์ธก์ ์ ์์จ์ธ 25 ยฐC๋ฅผ ํฌํจํ์ฌ, 50 ยฐC ๋ถํฐ 50 ยฐC ๊ฐ๊ฒฉ์ผ๋ก 300 ยฐC๊น์ง ์์ฐจ์ ์ผ๋ก
์ป์๋ค. ์ด๋ ๋ฐ์ดํฐ์ ์์ ์ฑ ํ๋ณด๋ฅผ ์ํด ๊ฐ ์จ๋์์ 3 ๋ฒ์ฉ ๋ฐ์ดํฐ๋ฅผ ์ป์ด ํ๊ท ๊ฐ์ ๊ตฌํ์๋ค. ํํธ ์์ฌ์ ๋น์ด์ Perkin Elmer ์ฌ์
DSC 8500 ์ฅ์น๋ฅผ ํ์ฉํ์ฌ, ์์จ๋ถํฐ 300 ยฐC๊น์ง ์์น์์ผ ๊ฐ๋ฉฐ, ์์จ์ ํฌํจํด 50 ยฐC ๋ถํฐ 50 ยฐC ๊ฐ๊ฒฉ์ผ๋ก ๋ถ์ํ์๋ค.
๊ฐ๋ฐ ํฉ๊ธ์ ๊ธฐ๊ณ์ ํน์ฑ์ Instron ์ฌ์ ๋ง๋ฅ ๊ธฐ๊ณ์ํ๊ธฐ (Instron 5967)๋ฅผ ํตํด ๋ถ์ํ์๋ค. ๋ชจ๋ ์ธ์ฅ ์ํ์ 10-3 sec-1 ์๋๋ก ์ธก์ ํ์์ผ๋ฉฐ, ์ฐ์ ์จ์ ๋ ์ด์ ์ ์จ๊ณ๋ฅผ ํ์ฉํ์ฌ ์ ๋ฐํ๊ฒ ์ธก์ ํ์๋ค. ์ด ๋, ์ธ์ฅ ์ํํธ์ ASTM E8 ์ค์ฉํ์ฌ 25 mm์ ๊ฒ์ด์ง ๊ธธ์ด๋ฅผ
๊ฐ์ง ๋ฏธ๋์ด์ณ ํฌ๊ธฐ ํ์์ผ๋ก ์ ์ํ์ฌ ์ธก์ ํ์๋ค. ๋ฏธ๋์ด์ณ ํฌ๊ธฐ์ ์ธ์ฅ ์ํธ์ ๊ฒ์ด์ง ๋๊ป, ํญ ๋ฐ ๋๋น๋ ๊ฐ๊ฐ 1.5ยฑ0.1 mm, 3.175 mm
๋ฐ 15 mm๋ก ๋ฐฉ์ ๊ฐ๊ณตํ์ฌ ์ค๋นํ์๋ค. ๋ชจ๋ ๊ธฐ๊ณ์ ํน์ฑ ํ๊ฐ ๊ฒฐ๊ณผ๋ 3 ํ ์ด์ ์ธก์ ํ ๊ฒ์ ํ๊ท ํน์ฑ์ ๋ฐ์ํ ์ ์๋ ๊ฒฐ๊ณผ๋ก ๋์ํ์๋ค.
3. ์คํ ๊ฒฐ๊ณผ
3.1 Alloy design of LW DP-HEA
๋ณธ ์ฐ๊ตฌ์์๋ ๋จผ์ CrMnFeCoNi 5์๊ณ ํฉ๊ธ์์คํ
์์ SFE๋ฅผ ์ต๋ํ ๋ฎ์ถ๋ฉด์๋ ๊ธ์๊ฐ ํํฉ๋ฌผ์์ด ์์ถ๋์ง ์๋ FCC ์ ํ์ฑ ์กฐ๊ฑด์ ํฉ๊ธ
์ค๊ณ๋ฅผ ์ํํ์๋ค. ์ด๋, ์ผ๋ฐ์ ์ธ 3d TM ๊ธฐ๋ฐ FCC ํฉ๊ธ์ SFE๋ ๋ค์์ ์์๊ณผ ๊ฐ์ด ๋ํ๋ผ ์ ์๋ค:
์ด ์์์ ฯs๋ {111} ๋ฉด์ ๋ฉด๋ฐ๋ (molar surface density)์ด๊ณ , ฯi๋ FCC์ HCP ์ ์ฌ์ด์ ๊ณ๋ฉด ์๋์ง(interfacial energy)๋ฅผ ์๋ฏธํ๋ค. ์ผ๋ฐ์ ์ผ๋ก ๊ฐ์ ํฉ๊ธ ์์คํ
์์ ฯs์ ฯi์ ๊ฒฝ์ฐ ๊ฑฐ์ ๋น์ทํ ๊ฐ์ ๊ฐ์ง๊ธฐ ๋๋ฌธ์, [13] ์๊ธฐ ์์ (1)์ ํตํด ํฉ๊ธ์ ์ ์ฒด SFE๋ ฮGFCC-HCP์ ์ํด ์ฃผ๋ก ๊ฒฐ์ ๋๋ค๊ณ ํ๋จํ ์ ์๋ค [14]. ๋ฐ๋ผ์, ๋ณธ ์ฐ๊ตฌ์์๋ ๊ณ์ฐ๋ ฮGFCC-HCP์ ๋ณํ๋ฅผ SFE์ ๋ณํ์ ๊ฐ์ ๊ฐ๋
์ผ๋ก ํ์ฉํด ์กฐ์ฑ์ ์ค๊ณํ์๋ค.
์๊ธฐ ๊ณ ์ฐฐ์ ๋ฐํ์ผ๋ก ๋ณธ ์ฐ๊ตฌ์์๋ ๋ฑ์ฑ๋ถ๊ณ Cantor HEA ๋๋น SFE ๋ฅผ ๋ฎ์ถ๋ ๋ฐฉํฅ์ผ๋ก ์ ํฉ๊ธ ์ค๊ณ๋ฅผ ์ํด, ๋จผ์ ฮGFCC-HCP์ ์๋ฎฌ๋ ์ด์
๊ณ์ฐ ๊ฒฐ๊ณผ๋ฅผ ๋ฐํ์ผ๋ก SFE๋ฅผ ๋์ด๋ ๋ฐฉํฅ์ผ๋ก ์๋ํ ์ ์๋ Ni๊ณผ Mn์ ํจ๋์ ๊ฐ์ 5์๊ณ ์์คํ
์์ ๊ธฐ์กด์ Dual phase
ํ์ฑ์ด ๋ณด๊ณ ๋ Cr20Mn6Fe34Co34Ni6 HEA [5]์ ๋์ผํ ์์ค์ธ 6 at.% ๋ก ๊ณ ์ ํ์๋ค. ๋ค๋ง 6 at.% ๋ง ํฉ๊ธํ ๋ Mn ๊ณผ Ni์ ๋ชจ๋ ์ค์คํ
๋์ดํธ ์์ ํ ์์์ธ ๊ฒ์ผ๋ก ์๋ ค์ ธ ์๊ธฐ
๋๋ฌธ์, Co ๋ฐ Cr ๋ฑ์ ํ๋ผ์ดํธ ์์ ํ ์์์ ์ํด BCC ์์ด ์์ถ๋์ง ์๋๋ก Fe๋ฅผ ๊ธฐ์ค์ผ๋ก ์ฒจ๊ฐ๋์ ๋ณด์์ ์ผ๋ก ์ ์ดํ๊ณ ์ ํ์๋ค. Fig 2(a)๋ Ni ๋ฐ Mn์ ์ ์ฒด ๋ถ์จ์ ๊ฐ๊ฐ 6 at.% ๋ก ๊ณ ์ ํ๊ณ ๊ณ์ฐํ Fe-Co-Cr์ ์์ฌ 3์๊ณ ํฉ๊ธ์ ๋ํด 900 ยฐC์์ ๋ฑ์จ ๋จ๋ฉด๋(Isotherm)๋ฅผ
๋ํ๋ธ๋ค. ์ด ๋, ๊ณ์ฐ์จ๋ 900 ยฐC๋ ์ฌ๊ฒฐ์ ํ๋ฅผ ์ํ ์จ๋ ์กฐ๊ฑด์ผ๋ก ์ค์ ํ์๋ค. ํํธ, Cr์ ์ ์ฒด ํฉ๊ธ์ SFE๋ฅผ ๋ฎ์ถ๋ ์ญํ ์ ํ ๋ฟ๋ง ์๋๋ผ,
3d TM ์ค ๊ฐ์ฅ ๋ฎ์ ๋ฐ๋๋ฅผ ๊ฐ์ง๊ธฐ ๋๋ฌธ์, ๊ฒฝ๋ HEA ์ ์กฐ๋ฅผ ์ํด์๋ ๊ทธ ์์ ์ต๋ํํ๋ ๊ฒ์ด ์ ๋ฆฌํ๋ค. ๊ทธ๋ฌ๋ Cr์ด ๊ณผ๋ ํฉ๊ธํ ๋๋ ๊ฒฝ์ฐ,
๋๋ฉด์ ๋ํ๋ ๋ฐ์ ๊ฐ์ด ๋จ์ผ ๊ณ ์ฉ์ฒด๋ฅผ ํ์ฑํ์ง ๋ชปํ๊ณ , ์ฝ๊ฒ ฯ ์์ด ํ์ฑ๋ ์ ์๊ธฐ ๋๋ฌธ์, ์ต๋ ๋ถ์จ์ ์ ํํ ํ์๊ฐ ์์๋ค. ๋ฐ๋ผ์, Fe๋ฅผ
๊ธฐ์ค์ผ๋ก ํ์ฌ ฯ ์ ํ์ฑ ๊ฒฝ๊ณ์กฐ๊ฑด์ธ Cr๊ณผ Co์ ๋ถ์จ์ ๊ฐ๊ฐ 11:13์ผ๋ก ๊ฒฐ์ ํ์๋ค.
Fig 2(b)๋ ์๊ธฐ์์ ์ธ๊ธํ ์กฐ๊ฑด์ ๊ธฐ์ค์ผ๋ก Cr36.7Mn10Co43.3Ni10 ํฉ๊ธ๊ณผ Fe ๊ฐ์ ์์ฌ 2์๊ณ ์ํ๋ (Pseudo-binary phase diagram)์ ๋ํ๋ธ๋ค. ์ด๋, ํฉ๊ธ์ด TRIP ํน์ฑ์ ๋ฐํํ ์
์๋๋ก, ์ํ๋ ์์์ FCC+HCP ๋ณตํฉ์ ๊ตฌ์กฐ๋ฅผ ๊ฐ์ง๋ ์์ญ ์ค HCP ์์ญ์ด ๊ฐ์ฅ ๋์ ์กฐ๊ฑด์ธ Fe์ ํจ๋์ 40 at.% ๋ก ๊ฒฐ์ ํ์๋ค. ์ด๋ฅผ
ํตํด, Cantor HEA์์ Cr20Mn6Fe34Co34Ni6 DP-HEA๋ฅผ ๊ฑฐ์ณ Cr22Mn6Fe40Co26Ni6LW-DP-HEA๋ฅผ ๊ฐ๋ฐํ์๋ค. ์ ์กฐ๋ ์ํธ์ X-์ ํ์ ๋ถ์์ ํตํ์ฌ, Cantor HEA๋ FCC ๋จ์ผ์์ ๊ฐ์ง๋ ๋ฐ๋ฉด, DP-HEA์ LW-DP-HEA
๊ฒฝ์ฐ ๋ณตํฉ์ (FCC+HCP) ๊ตฌ์กฐ๋ฅผ ๊ฐ์ง๋ ๊ฒ์ ํ์ธํ ์ ์๋ค. ์ด๋ฌํ ๊ฒฝํฅ์ CALPHAD ๊ณ์ฐ์ ํตํด ์ป์ด์ง ฮGFCC-HCP ๊ฐ์ด Cantor HEA์ 1927.8 J/molยทK์์, DP-HEA์ 5.4 J/molยทK ๊ทธ๋ฆฌ๊ณ LW-DP-HEA์ -175.06 J/molยทK๋ก
๊ฐ์ํ๋ ๊ฒ๊ณผ ์ผ๋งฅ์ํตํ๋ค. ๋๋ถ์ด ๋ณธ ์ฐ๊ตฌ์์ ๊ฐ๋ฐ๋ LW-DP-HEA๋ Cantor HEA์ 8.31 g/cm3 ๋ณด๋ค ์ฝ 2.5% ๋ฎ์ 7.95 g/cm3์ ๋ฐ๋ ๊ฐ์ ๊ฐ์ง๋ค. ์ ๋ฆฌํ๋ฉด, ๋ณธ ์ฐ๊ตฌ์์๋ Cr-Mn-Fe-Co-Ni 5์๊ณ ํฉ๊ธ์์ ๋น๋ฑ์ฑ๋ถ๊ณ ๊ตฌ์ฑ์์์ ๋น์จ ์กฐ์ ์ ํตํด ์๋์ ์ผ๋ก ๊ฐ๋ฒผ์ฐ๋ฉด์๋
์๋ ฅ์ ๊ธฐ ๋ณํ๊ฐ ๊ฐ๋ฅํ Dual phase (FCC+HCP) ๊ตฌ์กฐ๋ฅผ ๊ฐ์ง๋ Cr22Mn6Fe40Co26Ni6 LW-DP-HEA ์กฐ์ฑ์ ๊ฐ๋ฐํ๊ณ , ์ด๋ฅผ LW-00 HEA๋ก ๋ช
๋ช
ํ์๋ค.
3.2 Effect of Al addition on LW-00 HEA
๋ค์์ผ๋ก ๋ณธ ์ฐ๊ตฌ์์๋ LW-00 HEA์ Al์ ์ฒจ๊ฐํ์ฌ ํน์ฑ ๋ณํ๋ฅผ ์ฒด๊ณ์ ์ผ๋ก ๊ณ ์ฐฐํ์๋ค. ์ด๋, LW-00 HEA๋ฅผ ๊ธฐ์ค์ผ๋ก Al์ ์ฒจ๊ฐ๋์
๋ฐ๋ผ ๊ฐ๊ฐ LW-XX HEA๋ก ๋ช
๋ช
ํ์๋ค. ์ผ ์๋ก, Al ์ฒจ๊ฐ๋์ด 1.0 at.% ์ธ ๊ฒฝ์ฐ, LW-10 HEA๋ก ๋ช
๋ช
ํ์๋ค.
Fig 3(a)๋ LW-00 ๋ด์ง LW-50 HEA์ X-์ ํ์ ๋ถ์ ๊ฒฐ๊ณผ๋ฅผ ๋ณด์ฌ์ค๋ค. ๊ทธ๋ฆผ์์ ์ ์ ์๋ ๋ฐ์ ๊ฐ์ด, LW-00 HEA์ Al์ ์ฒจ๊ฐํจ์ ๋ฐ๋ผ,
0.0 at.%๋ถํฐ 2.0 at.%๊น์ง๋ FCC์ HCP์ ๋ณตํฉ์, 2.5 at.%๋ถํฐ 4.0 at.%๊น์ง๋ FCC ๋จ์ผ์, 5.0 at.%์์๋
FCC์ BCC์ ๋ณตํฉ์์ ํ์ฑํ๋ค. ํํธ, Fig 3(a)์ Inset์ X-์ ํ์ ๋ถ์ ๊ฒฐ๊ณผ์์ FCC (111) ํผํฌ์์น๋ฅผ ๊ธฐ์ค์ผ๋ก ๊ณ์ฐํ a๊ฐ์ ๋ํ๋ธ๋ค. a ๊ฐ์ Al์ ์ฒจ๊ฐ์ ๋ฐ๋ผ, LW-00
HEA์ 3.58 ร
์์ LW-25 HEA์ 3.62 ร
๊น์ง ์ ์ง์ ์ผ๋ก ์ฆ๊ฐํ๋ค ์ดํ์๋ ์ ์ฌํ ๊ฐ์ ๊ฐ์ง๋ ๊ฒ์ ์ ์ ์๋ค. ์ด๋ FCC ์์
Al์ ์ต๋ ๊ณ ์ฉ๋๊ฐ 2.5 at.% ๋ถ๊ทผ์ธ ๊ฒ์ ์๋ฏธํ๋ค. ํํธ, Fig 3(a)์ LW-50 HEA์ ๋ํ XRD ๊ฒฐ๊ณผ๋ฅผ ๋ณด๋ฉด FCC ์๊ณผ ํจ๊ป B2 ์์ ํผํฌ๋ฅผ ํ์ธํ ์ ์๋ค. ์ด๋ ๊ธฐ์กด์ ๋ณด๊ณ ๋ Cantor HEA์ ์ฒจ๊ฐํ
๊ฒฝ์ฐ์ ์ ์ฌํ๊ฒ LW-DP HEA์ Al์ ๊ณผ๋ ์ฒจ๊ฐํ๋ ๊ฒฝ์ฐ Ni-Alrich ์กฐ์ฑ์ B2 ์ ์์ถ์ ์ผ๊ธฐํ๋ ๊ฒ์ผ๋ก ํด์ํ ์ ์์ผ๋ฉฐ, ์ด๋ฅผ ํตํด
FCC ์์ a๋ 3.61 ร
์ผ๋ก LW-25 HEA์ ๋นํด ์ฝ๊ฐ ๊ฐ์๋๋ ๊ฒฝํฅ์ ๋ํ๋ธ๋ค. ์ด๋ฌํ ๊ฒฐ๊ณผ๋ฅผ ํตํด ๊ตฌ์ฑ์์๋ค๊ณผ ์์ ๋ฐ๊ฒฝ ์ฐจ์ด๊ฐ ํฐ Al์
ํฉ๊ธํ๋ ์์ ๋ฐ๊ฒฝ์ฐจ์ ๊ฐ์ ์ฆ๊ฐ์ํค๋ฉฐ, ์ถ๊ฐ์ ์ธ B2 ๊ฒฐ์ ์์ด ์๋ ๊ฒฝ๊ณ ์กฐ๊ฑด์์ ๊ณ ์ฉ๊ฐํ ํจ๊ณผ๊ฐ ๊ทน๋ํ๋ ์ ์์์ ์ ์ถํ ์ ์๋ค. ํํธ, Fig 3(a)์ Inset์์ a ๋ณํ๋ฅผ ๋ณด๋ฉด, FCC ์ ์ด์ธ์ XRD ๋ถ์์ ํตํด์๋ ๋ค๋ฅธ ์์ด ๊ฒ์ถ๋์ง ์์ LW-40 HEA์ ๊ฒฝ์ฐ์๋ LW-25 HEA์
๋น๊ตํ์ฌ a ๊ฐ์ ์ผ๋ถ ๊ฐ์๋ฅผ ํ์ธํ ์ ์๋ค. ์ด๋ฅผ ํตํด Al์ 4 at.% ์ฒจ๊ฐํ ๊ฒฝ์ฐ์๋ FCC์ ๊ธฐ์ง๋ด์ B2 ์์ด ์์ถ๋์ด ์์ ์ ์๋ค๋
๊ฒ์ ์ ์ถํ ์ ์๋ค.
Fig 3(b)๋ ํฌํญ ๋ฐฉ์ฌ๊ด ๊ฐ์๊ธฐ์์ ์ธก์ ํ LW-40 ํฉ๊ธ์ XRS ๋ถ์ ๊ฒฐ๊ณผ์ด๋ค. ๊ทธ๋ฆผ์์ ์ ์ ์๋ ๋ฐ์ ๊ฐ์ด, ์๊ธฐ ๋ฒ์ฉ XRD ์ฅ์น์์๋ ํ์ธํ ์
์๋ B2 ์์ ํ์ฑ์ ๋ช
ํํ ํ์ธํ ์ ์์์ผ๋ฉฐ, ๊ทธ ๋ถ์จ์ Rietveld ๋ถ์์ ์ํด 5% ์ดํ๋ก ๋ถ์๋์๋ค. ํนํ, Fig 3(b)์ ์ฐ์ธก ํ๋๋ ์ด๋ฏธ์ง๋ด BCC ๊ฒฐ์ ๊ตฌ์กฐ์ (110) ํผํฌ ์ด์ธ์๋, B2 ์์ ์ด๊ฒฉ์ ์์ ์๋ฏธํ๋ (100) ํผํฌ๋ฅผ 2 theta ๊ธฐ์ค ์ฝ 31
o์์ ํ์ธํ ์ ์์๋ค. ์ด๋ฌํ ๊ฒฐ๊ณผ๋ฅผ ํตํด LW-40 HEA๋ FCC ๊ธฐ์ง์ B2์์ ์์ถ์ด ์์๋๋ ๊ฒฝ๊ณ์กฐ์ฑ ๋ถ๊ทผ์ธ ๊ฒ์ผ๋ก ํด์ํ ์ ์๋ค.
์ด์ ๊ฐ์ด ์๋์ผ๋ก ํ์ฑ๋ ๋๋
ธ ๋ฏธํฐ ๋จ์์ ์์ถ๋ฌผ์ ์ ์์ ์ด๋์ ๋ฐฉํดํ๋ ๋ฑ ์์ถ ๊ฐํ ํจ๊ณผ๋ ๋งค์ฐ ๋ฏธ๋ฏธํ๋ฉด์๋, ์คํ๋ ค ์ ์ฒด ๊ธฐ์ง์ ๊ณ ์ฉ๊ฐํ
ํจ๊ณผ๋ฅผ ๋ฎ์ถ๋ ๋ถ์ ์ ์ธ ์ญํ ์ ํ ์ ์๋ค [15].
Fig 4(a)๋ LW-00 HEA์ Al์ ์ฒจ๊ฐํจ์ ๋ฐ๋ผ ๋ฐ๋๊ฐ ํฌ๊ฒ ์ ํ์ ์ผ๋ก ๊ฐ์ํ๋ ๊ฒ์ ๋ณด์ฌ์ค๋ค. ์ค์ ๋ก Al์ด ์ ์ฒด ํฉ๊ธ ์์ ๋๋น 4 at.% ํฉ๊ธํ
ํ LW-40 HEA์ ๊ฒฝ์ฐ ๋ฐ๋๊ฐ ์ฝ 7.63 g/cm3 ์์ค์ผ๋ก Cantor HEA ๋๋น ์ฝ 10% ๊ฐ์๋ฅผ ๋ณด์๋ค. ์ด๋ ๊ฐ ๊ตฌ์ฑ ์์๋ค์ ํ๊ท ๋ฐ๋๋ฅผ Rule of mixture (ROM) ๋ก ๊ณ์ฐํ
๊ฒ๋ณด๋ค ๋ ํฐ ๊ฐ์๋ฅผ ๋ณด์ด๋ ๊ฒ์ผ๋ก์จ, ์๋์ ์ผ๋ก ํฐ ์์ ๋ฐ๊ฒฝ ์ฐจ์ด๋ฅผ ๊ฐ์ง๋ Al ํฉ๊ธํ์ ๋ฐ๋ฅธ lattice stretch์ ์ํ ๊ฒฉ์ ๋คํ๋ฆผ
ํจ๊ณผ๋ก ํ๋จํ ์ ์๋ค. ํํธ, LW-50 HEA์ ๊ฒฝ์ฐ ๋ฐ๋๊ฐ ์ฝ 7.41 g/cm3์ผ๋ก, Al ์ฒจ๊ฐ๋์ด ์ฆ๊ฐํจ์ ๋ฐ๋ผ ๋ค๋ฅธ LW-XX ํฉ๊ธ๋ค์์ ๋ํ๋ ๋ฐ๋ ๊ฐ์ ํญ๊ณผ ๋น๊ตํ์ฌ, ๊ฒฝํฅ์ฑ์์ ํฌ๊ฒ ๋ฒ์ด๋ ๊ฐ์๋ฅผ ๋ณด์๋ค. ์ด๋ Fig 3(a)์์ ๊ณ ์ฐฐํ ๋ฐ์ ๊ฐ์ด Al ํจ๋์ด ์ฆ๊ฐํจ์ ๋ฐ๋ผ APF์ด 68%๋ก ์๋์ ์ผ๋ก ๋ฎ์ BCC ๊ตฌ์กฐ์ B2 ์์ด ๋ค๋ ์์ถ๋จ์ผ๋ก์จ ๋ถํผ ํฝ์ฐฝ์ ์ํด ์ ๋ฐ๋
์ถ๊ฐ์ ์ธ ๋ฐ๋ ๊ฐ์๋ก ํด์ํ ์ ์๋ค.
Fig 4(b)๋ LW-00 HEA์ Al์ ์ฒจ๊ฐํจ์ ๋ฐ๋ผ ฮGFCCHCP ๊ฐ์ ๋ณํ๋ฅผ ๋ณด์ฌ์ค๋ค. ๊ทธ๋ฆผ์์ ์ ์ ์๋ ๋ฐ์ ๊ฐ์ด, Al์ ํฉ๊ธํ๋ ฮGFCC-HCP ๊ฐ์ ๊ธ๊ฒฉํ ์ฆ๊ฐ๋ฅผ ๊ฐ์ ธ์ฌ ์ ์์ผ๋ฉฐ, ์ด๋ FCC ์์์ ์ฑ ์ ํ์ ๊ด๋ จ์ด ์๋ค. ๋ถ์ฐํ๋ฉด, Fig 3(a)์์ ํ์ธํ ๋ฐ์ ๊ฐ์ด, Al์ด 2 at.% ํฌํจ๋ LW-20 HEA๊น์ง๋ HCP์ FCC๊ฐ์ ๋ณตํฉ์ ๋ฏธ์ธ๊ตฌ์กฐ๊ฐ ๋ํ๋์ง๋ง, LW-25 HEA๋ถํฐ๋
FCC ๋จ์ ํฉ๊ธ์ด ํ์ฑ๋๋ค. ์ด๋ ํ๋ผ์ดํธ ์์ ํ์์์ธ Al ์ฒจ๊ฐ์ ๋ฐ๋ผ, HCP ์๊ณผ ๊ฒฝ์ ๊ด๊ณ์ ์๋ B2 ์์ด ์์ ํ๋จ์ ๋ฐ๋ผ ๊ฒฝ์ ๊ฒฐ์ ์
๋ณตํฉํ๋ก ์ธํ Confusion ํจ๊ณผ๋ก HCP ์์ ์์ ์ฑ์ด ๋ฎ์์ง๋ ๋๋ฌธ์ธ ๊ฒ์ผ๋ก ์ฌ๋ฃ๋๋ค.
๋ค์์ผ๋ก Fig 4(c)๋ Al ํฉ๊ธํ์ ๋ฐ๋ฅธ ๊ฐ ์กฐ์ฑ์์ ์์ํฌ๊ธฐ ๋ถ์ ํฉ ์ธ์ ๊ฐ(Atomic size misfit parameter, ฮด)์ ๋ณํ๋ฅผ ๋ํ๋ธ๋ค. ์ด ๋
ฮด์ ๊ณ์ฐ ์์ ์๋ ์์ (2)๋ฅผ ์ฌ์ฉํ์์ผ๋ฉฐ, ๊ฐ ์์ ๋ฐ๊ฒฝ์ ์์ ์กฐ๋ฐํ ๊ธ์ ๊ฒฐํฉ ๋ด์์ ๊ฐ ์์๋ค์ ์์ ๋ฐ๊ฒฝ์ ์๋ฏธํ๋ ๊ธ์ ์์ ๋ฐ๊ฒฝ์ ์ฌ์ฉํ์ฌ ๊ณ์ฐํ์๋ค.
(์ฌ๊ธฐ์,
r
ยฏ
์
โ
i
=
1
n
c
i
r
i
๋ก ์ ์๋๋ฉฐ, ci์ ri๋ ์์ i์ ์ฒจ๊ฐ ์์ ๋น์จ๊ณผ ์์ ๋ฐ์ง๋ฆ์ ์๋ฏธํ๋ค.)
์๊ธฐ ์์ผ๋ก ๊ณ์ฐํ ฮด๋ ์ผ๋ฐ์ ์ธ ๊ธ์ ์์ฌ์์ ๊ณ ์ฉ๊ฐํ ํจ๊ณผ๋ฅผ ํํํ๋ ๋ํ์ ์ธ ์ธ์๋ก์จ, ๊ฑฐ์ ๋น์ทํ ํฌ๊ธฐ๋ฅผ ๊ฐ์ง๋ 3d TM์ผ๋ก ๊ตฌ์ฑ๋ HEA์
ํฐ ์์ ๋ฐ๊ฒฝ ์ฐจ์ด๋ฅผ ๊ฐ์ง๋ Al์ ํฉ๊ธํ ํ๋ ๊ฒฝ์ฐ, Al ์ฒจ๊ฐ ํจ๊ณผ๋ฅผ ํฌ๊ฒ ๋ฐ์ํ์ฌ ๋ณํ๋๋ค. ์ด์ ๋ํ ๋ณด๋ค ์์ธํ ์ค๋ช
์ 4์ฅ ๊ณ ์ฐฐ ๋ถ๋ถ์์
์์ ํ๊ณ ์ ํ๋ค. Table 1์ ๋ณธ ์ฐ๊ตฌ์์ ๊ฐ๋ฐํ LW-XX HEA๋ค์ ๋ํด ์กฐ์ฑ, ฮGFCC-HCP ๊ฐ, ์ ๊ตฌ์ฑ, ๋ฐ๋ ๋ณํ๋ฅผ ๊ธฐ์กด ๋ณด๊ณ ๋ Cantor HEA, DP-HEA์ ๋น๊ตํ์ฌ ๋ณด์ฌ์ค๋ค.
3.3 Mechanical property of LW-XX HEAs
Fig 5๋ LW-XX HEA๋ค์ ๊ณต์นญ ์๋ ฅ-๋ณํ๋ฅ ๊ณก์ (engineering stress-strain curve)์ ๋ํ๋ธ๋ค. Fig 5์ ์ฐ์ธก ํ์๋ ๊ฐ ํฉ๊ธ์ ๋ํด ์ธก์ ๋ ํญ๋ณต ๊ฐ๋ (ฯy), ์ต๋์ธ์ฅ๊ฐ๋ (ฯUTS), ๊ทธ๋ฆฌ๊ณ ์ต๋์ธ์ฅ๊ฐ๋์์ ์ฐ์ ๋ฅ (ฮตUTS) ๊ฐ์ ๋์ํ์๋ค. ๊ทธ๋ฆผ์์ ์ ์ ์๋ ๋ฐ์ ๊ฐ์ด, LW-00 HEA์ ํญ๋ณต๊ฐ๋๋ 393.8 MPa๋ก Cantor HEA์ 330 MPa ์์ค
(๊ฒฐ์ ๋ฆฝ ํฌ๊ธฐ 10 ฮผm ๋ด์ธ)๋ณด๋ค 15% ์ด์ ํฐ ๊ฐ์ ๊ฐ์ง์ง๋ง, ์ฐ์ ์ 14.1%๋ก Cantor HEA์ ์ต๋ ์ฐ์ ์ 1/5 ์์ค์ผ๋ก ๊ฐ์ํ๋
๊ฒ์ ํ์ธํ ์ ์์๋ค [16]. ์ด๋ ๋ณตํฉ์ ๊ตฌ์กฐ๋ฅผ ๊ฐ์ง๋ LW-00 HEA (๋ณํ ์ ์ฝ 7.8%์ HCP ์ 2์ ๋ถ์จ)๋ด ์๊ฐ ๊ณ๋ฉด์ ์ํ ๊ฐํ ํจ๊ณผ์ ๊ณ๋ฉด์์ ์ทจ์ฝํ
ํ๋จ ๊ฑฐ๋์ด ๋์์ ์๋ํ ๊ฒ์ ๊ธฐ์ธํ ๊ฒ์ผ๋ก ํ๋จํ ์ ์๋ค. ํํธ, LW-10 ๋ฐ LW-25 HEA๋ ๊ฐ๊ฐ 330.2 ๋ฐ 340.5 MPa์ ํญ๋ณต๊ฐ๋์
24.8 ๋ฐ 33.8%์ ์ฐ์ ์จ์ ๋ํ๋ธ๋ค. ํฅ๋ฏธ๋กญ๊ฒ๋ ์ฝ 3.1%์ HCP์์ ๊ฐ์ง๋ LW-10 HEA ๋ณด๋ค ๋จ์์ธ LW-25 HEA๊ฐ ์๋์ ์ผ๋ก
์ปค๋ค๋ ํญ๋ณต๊ฐ๋์ ์ฐ์ ํน์ฑ์ ๋ํ๋๋ค. ์ด๋ HCP ์์ ์์ถ์ ์ํ ๊ณ๋ฉด ๊ฐํ ํจ๊ณผ๋ณด๋ค Al ๊ณ ์ฉ์ ์ํ ๊ณ ์ฉ๊ฐํ ํจ๊ณผ๊ฐ ํฌ๊ธฐ ๋๋ฌธ์ธ ๊ฒ์ผ๋ก ์ดํดํ
์ ์์ผ๋ฉฐ, ์ด๋ฅผ ํตํด ๊ฐ๋์ ์ฐ์ ์ด ๋์์ ํฅ์๋ ๋จ์ FCC HEA๋ฅผ ๊ตฌํํ ์ ์๋ค. ๋ค์์ผ๋ก, ๋๋
ธ ํฌ๊ธฐ B2 ์์ด ์์ถ๋ LW-40 HEA์
๊ฒฝ์ฐ, Al ์ด ๋ ๋ง์ ์ ํฌํจ๋์์์๋ ๋ถ๊ตฌํ๊ณ LW-25 HEA ๋ณด๋ค๋ ๋ฎ์ 323.5 MPa ์์ค์ ํญ๋ณต ๊ฐ๋๋ฅผ ๋ํ๋์ง๋ง ์ฐ์ ์ 47.1%๋ก
ํฌ๊ฒ ์ฆ๊ฐํ ๊ฒ์ ํ์ธํ ์ ์๋ค. ๋ง์ง๋ง์ผ๋ก B2 ์์ด sub-ฮผm ํฌ๊ธฐ ์ด์์ผ๋ก ์ฑ์ฅํ LW-50 HEA ๊ฒฝ์ฐ์์๋ ํญ๋ณต๊ฐ๋๊ฐ 710.8 MPa๋ก
๊ธ๊ฒฉํ ์ฆ๊ฐํ์ฌ LW-40 ๋๋น 2 ๋ฐฐ ์ด์์ ๊ฐ์ ๋ํ๋์ผ๋, ์ฐ์ ์ด 1.5%๋ก ํฌ๊ฒ ๊ฐ์ํ ๊ฒ์ ํ์ธํ ์ ์์๋ค.
4. ๊ณ ์ฐฐ
4.1 Solid solution strengthening of LW-XX HEAs
์์ ์ค๋ช
ํ ๋ฐ์ ๊ฐ์ด ๋ณธ ์ฐ๊ตฌ์์๋ ๋น๋ฑ์ฑ๋ถ๊ณ CrMn FeCoNi LW-DP-HEA์ Al์ ์ฒจ๊ฐํ์ฌ ์ ๋ฐ๋-๊ณ ๊ฐ๋-๊ณ ์ฐ์ ํน์ฑ์ ๋์์ ๋ํ๋ด๋
๋จ์์์ญ์ FCC HEA๋ฅผ ๊ฐ๋ฐํ์๋ค. ๋ณธ ์ฐ๊ตฌ์์ ๊ฐ๋ฐํ ํฉ๊ธ์ ๊ฒฉ์ ๋นํ๋ฆผ(lattice distortion)์ ๋ณํ๋ ์์ ์ค๋ช
ํ๋ฐ์ ๊ฐ์ด Fig 3(a)์ Inset์ ๋์ํ XRD ์ธก์ ์ ํตํด ๊ณ์ฐํ a ์ด์ธ์๋ ์ด์ ๋๋ ๋ณํ๋ฅผ ํตํด ํ์ธํ ์ ์๋ค. Fig 6์ LW-00 ๋ด์ง LW40 HEA์ ์จ๋์ ๋ฐ๋ฅธ ์ด์ ๋๋ ๊ฐ์ ๋ณํ๋ฅผ ๋ํ๋ธ๋ค. ์ด๋, ์ด์ ๋๋๋ WiedemannโFranz law์ ์ํด ๋ค์
์์๊ณผ ๊ฐ์ด ํํ๋๋ค [17].
์ด ์์์ ฮบ๋ ์ด์ ๋๋๋ฅผ, ฮบe๋ ์ ์์ ์ํ ์ด์ ๋๋ฅผ, ฮบph๋ ๊ฒฉ์ ์ง๋(lattice vibration), ์ฆ, ํฌ๋
ผ(phonon)์ ์ํ ์ด์ ๋๋ฅผ ๋ํ๋ธ๋ค. ์ผ๋ฐ์ ์ธ ๊ฒฝ์ฐ, ฮบe๋ ์จ๋ ์ฆ๊ฐ์ ๋ฐ๋ผ ์ ์์ ์ฐ๋์ ์ํด ํ๊ท ์ด๋ ๊ฑฐ๋ฆฌ(mean-free path)๊ฐ ์์ ์ง๊ธฐ ๋๋ฌธ์, ์จ๋์ ๋ํด ์์ ๋น๋ก ๊ด๊ณ๋ฅผ, ฮบph๋ ๊ฒฉ์ ์ง๋์ ์ฆ๊ฐ๋ก ์ธํด ์์ ๋น๋ก๊ด๊ณ๋ฅผ ๊ฐ๋๋ค. ๊ธ์์ ๊ฒฝ์ฐ์๋ ์ฝ๊ฒ ์ ๋ ๊ฐ๋ฅํ ์์ ์ ์๊ฐ ๋ง๊ธฐ ๋๋ฌธ์, ๋๋ถ๋ถ์ ์ด์ ๋๋๊ฐ ฮบe์ ์ํด ๊ฒฐ์ ๋์ด ์จ๋์ ๋ํด ์์ ๊ธฐ์ธ๊ธฐ๋ฅผ ๊ฐ๋๋ค. ๊ทธ๋ฌ๋, ๋ณธ ์ฐ๊ตฌ์ LW-XX HEA๋ค์ ๊ทธ๋ฆผ์์ ์ ์ ์๋ ๋ฐ์ ๊ฐ์ด RT ๋ถํฐ 300 ยฐC์
์ด๋ฅด๊ธฐ๊น์ง ฮบ๊ฐ ์ฝ 0.021 W/mK2์ ์์ ๊ธฐ์ธ๊ธฐ๋ก ์ฆ๊ฐํ๋ค. ์ด๋ HEA๋ด ๋นํ๋ฆฐ ๊ฒฉ์์ ์ํด ์ฐ๋๋ ์ ์๋ค์ด ์ถฉ๋ถํ ์ด์ ๋ฌ์ ํ์ง ๋ชปํ๊ธฐ ๋๋ฌธ์, ฮบph์ ์ํฅ๋ ฅ์ด ์ปค์ก๊ธฐ ๋๋ฌธ์ผ๋ก ํ๋จํ ์ ์๋ค [18,19]. ๋ถ์ฐํ๋ฉด, HEA์ ๊ฐ์ด ์ปค๋ค๋ ๊ฒฉ์๋ณํ์ ๊ฐ์ง๋ ์์ฌ์ ๊ฒฝ์ฐ, ์ ์๋ค์ด ์ด๋ํ ์ ์๋ mean-free path ๊ฐ์ด ์ต์ ๊ฐ์ธ ์์๊ฐ ๊ฑฐ๋ฆฌ
์์ค์ผ๋ก ๊ฐ์ํ๊ธฐ ๋๋ฌธ์, ์ ์ฒด ฮบ๋ฅผ ๊ตฌ์ฑํ๋ ฮบe์ ๊ธฐ์ฌ๋ถ์ด ๊ฐ์ํ๊ฒ ๋๋ค. ์ด๋, ๊ฒฉ์์ ์ํ ์ด์ ๋์ ๊ฒฝ์ฐ ์จ๋ ์ฆ๊ฐ์ ๋ฐ๋ผ ์ด์ง๋(thermal vibration) ์ฆ๊ฐ๋ก ์ธํด, ์์ ๊ธฐ์ธ๊ธฐ๋ฅผ
๋ํ๋ด๋ ๊ฒ์ผ๋ก ์๊ฐํ ์ ์๋ค. ํนํ Cantor HEA์ ์ด์ ๋๊ฐ ์ฝ 0.013 K/mK2์ ์์ ๊ธฐ์ธ๊ธฐ๋ก ์ฆ๊ฐํ๋ ๊ฒ๊ณผ ๋น๊ตํ์ฌ, ๋ณธ ์ฐ๊ตฌ์ LW-XX HEA๋ค์ด ๋ ํฐ ์์ ๊ธฐ์ธ๊ธฐ ๊ฐ์ ๊ฐ๋ ๊ฒ์ ํตํด ๋ณธ ์ฐ๊ตฌ์ HEA ํฉ๊ธ์ด ๊ตญ๋ถ์ ์ผ๋ก
๋ ํฐ ๊ฒฉ์ ๋คํ๋ฆผ์ ๊ฐ์ง๋ค๊ณ ํ ์ ์๋ค.
์๊ธฐ์ ์ค๋ช
ํ ๋ฐ์ ๊ฐ์ด, ๋น์ทํ ํํ ์กฐ์ฑ์ ๊ฐ์ง๋ ํฉ๊ธ์์๋ ์์ ์ ์์ ์ํ ์ด์ ๋ฌ์ธ ฮบe๊ฐ ๋น์ทํ๋ค๊ณ ๊ฐ์ ํ ๋, ฮบ์ ๊ฐ์ด ฮบph์ ์ํด ๊ฒฐ์ ๋ ์ ์๋ค. ์ด๋ ๋คํ๋ฆฐ ๊ฒฉ์๊ตฌ์กฐ๋ ํฌ๋
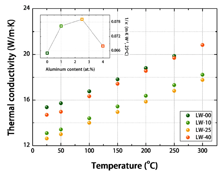
ผ ์ง๋์ ์ํ ์๋์ง ์ ๋ฌ์ ์์ํ์ฌ ์ด์ ๋ฌ์ ๋ฐฉํดํ๊ธฐ ๋๋ฌธ์, ์๋์ ์ผ๋ก ๋ฎ์ ฮบ๋ฅผ ๊ฐ์ง๋๋ก ํ๋ค. ์ฆ, HEA์ ๊ฒฝ์ฐ ๊ฐํ ๊ฒฉ์๋ณํ์ ๊ฐ์ง๊ธฐ ๋๋ฌธ์, ๊ธฐ์กด์ ์์ฉํฉ๊ธ ๋๋น ๋งค์ฐ ๋ฎ์ ฮบ ๊ฐ์ ๊ฐ์ง ์ ์๋ค. Fig 6์์ ์ ์ ์๋ ๋ฐ์ ๊ฐ์ด, LW-00 HEA์ ๊ฒฝ์ฐ ์์จ์์ ์ฝ 15.5 W/mK ์์ค์ ๋ฎ์ ฮบ๋ฅผ ๊ฐ์ง๋ค. ์ด๋ ์ผ๋ฐ์ ์ธ ํ์๊ฐ(carbon steel)์ด ์์จ์์ ์ฝ 30-50 W/mK ์์ค์ ฮบ๋ฅผ ๊ฐ๋ ๊ฒ๊ณผ ๋น๊ตํ๋ฉด ์ ๋ฐ ์ดํ์ ๊ฐ์ด๋ค. ๋ํ, LW-00 HEA์ Al์ ์ฒจ๊ฐํจ์ ๋ฐ๋ผ ฮบ๋ ์ ์ฐจ ๊ฐ์ํ์ฌ, LW-25 HEA ๊ฒฝ์ฐ์๋ ์์จ์์ ์ฝ 12.3 W/mK๋ก ์ต์ ๊ฐ์ ๊ฐ๋๋ค. ์ด๋ ์์จ์์ ์ฝ 12 W/mK ์ ๋์ธ Cantor
HEA์ ๋น์ทํ ์์ค์์ ์ ์ ์๋ค. ํฅ๋ฏธ๋ก์ด ์ ์ ์ผ๋ฐ์ ์ผ๋ก ฮบ๋ ์์๊ฐ ๊ฒฐํฉ์ ์ํด ๊ฒฐ์ ๋๋ ๊ฐ์ผ๋ก์จ, ๋์ ฮบ ๊ฐ์ ๊ฐ๋ ์์๋ฅผ ํฉ๊ธํ ํ๋ ๊ฒฝ์ฐ ROM์ ๋ฐ๋ผ ๊ทธ ๊ฐ์ด ์ปค์ง๋๋ฐ ๋ฐํด, ๋ค๋ฅธ ๊ตฌ์ฑ์์ ๋๋น ์ต์ 2๋ฐฐ ์ด์ ๋์ ฮบ (205 W/mK)๋ฅผ ๊ฐ์ง๋ Al์ ํฉ๊ธํ ํ๋๋ผ๋ ์ ์ฒด ํฉ๊ธ์ ฮบ๊ฐ ๊ฐ์ํ๋ค๋ ๊ฒ์ด๋ค. ํนํ, LW-25 HEA์ ๊ฒฝ์ฐ, ์๊ฐ ๊ณ๋ฉด์ ์ํฅ์ด ์๋ ๋จ์ผ FCC ํฉ๊ธ์์๋ ๋ฎ์ ฮบ๋ฅผ ๊ฐ์ง๊ธฐ ๋๋ฌธ์, ๊ธฐ์ง ์์ธ FCC ์์ ๊ฒฉ์ ๋ณํ์ด ์ฌํ๋จ์ ๋ฐ๋ผ ฮบ (ํนํ, ฮบph)๊ฐ ๊ฐ์ํ ๊ฒ์ผ๋ก ์ ์ถํ ์ ์๋ค. ์ด๋ฌํ ๊ฒฉ์๋ณํ ์ ๋๋ฅผ ์๊ฐํํ๊ธฐ ์ํด, Fig 6์ inset์ LW-XX HEA๋ค์ RT์์์ 1/ฮบ๋ฅผ ์กฐ์ฑ์ ๋ฐ๋ผ ๋์ํ์์ผ๋ฉฐ, LW-25 HEA์์ ์ต๋ ๊ฐ์ ๊ฐ์ง์ ์ ์ ์๋ค. ๋ํ, ์ถ๊ฐ์ ์ผ๋ก Al์ด ์ฒจ๊ฐ๋จ ๋ฐ๋ผ B2 ๋๋
ธ ์์ถ๋ฌผ์ ํ์ฑํ
LW-40 HEA์์๋ ๋ค์ ฮบ๊ฐ ์ฆ๊ฐํ์ฌ, LW-00 HEA์ ๋น์ทํ ์์ค์ ฮบ ๊ฐ์ ๋ํ๋๋ค. ํฅ๋ฏธ๋กญ๊ฒ๋ ์ด๋ฌํ ๊ฒฐ๊ณผ๋ Al ํจ๋์ ๋ฐ๋ฅธ a์ ๋ณํ ๊ฒฝํฅ์ฑ๊ณผ๋ ์ผ์นํ๋ ๊ฒ์ผ๋ก ๊ฒฉ์๋ณํ์ ์ํ ฮบph์ ๊ฐ์์ ์ํ ๊ฒ์ผ๋ก๋ ํด์ํ ์ ์๋ค.
์์ ๊ฒฐ๊ณผ๋ฅผ ํตํด ๋ณธ ์ฐ๊ตฌ์ ํฉ๊ธ๋ค์ ๋ํด์ ์กฐ์ฑ ๋ณํ์ ๋ฐ๋ผ a์ ฮบ ๊ฐ์ ๋ณํ ์์์ด ๋ฐ๋น๋ก ๊ด๊ณ๋ฅผ ๊ฐ์ง๋ ๊ฒ์ ํ์ธํ ์ ์์๋ค. ๋ฐ๋ผ์, LW-00 ๋ถํฐ LW-25 HEA๊น์ง์ ฮบ ๊ฐ์ ๊ฐ์๋ ๊ฒฉ์๋ณํ์ ์ฆ๊ฐ๋ฅผ, ๋ฐ๋๋ก LW-25์์ LW-40 HEA๋ก ๊ฐ๋ฉด์ ฮบ ๊ฐ์ ์ฆ๊ฐ๋ ๊ฒฉ์๋ณํ์ ๊ฐ์๋ก ์ดํด๋ ์ ์๋ค. ๋ถ์ฐํ๋ฉด, LW-25 HEA์ FCC ๋จ์ผ์์์ a ์ฆ๊ฐ๋ ์ผ์ฐจ์ ์ผ๋ก ํฌ๊ธฐ ์ฐจ์ด๊ฐ ์๋ Al ์ฒจ๊ฐ์ ๋ฐ๋ผ ๊ฒฉ์ ๋ณํ์ด ์ฌํ๋จ์ ์ํ ๊ฒ์ผ๋ก ํด์๋๋ค. ์ถ๊ฐ์ ์ผ๋ก, Al์ ์ฒจ๊ฐ์ ๋ฐ๋ผ, ์๊ตฌ์ฑ์ด FCC+HCP
๋ณตํฉ์์์, FCC ๋จ์ผ์, ๊ทธ๋ฆฌ๊ณ ๋ค์ FCC+BCC(B2) ๋ณตํฉ์์ผ๋ก์ ์๋ณํ๊ฐ ๋ฐ์ํ๊ธฐ ๋๋ฌธ์, ์์ถ์์ ํ์ฑ์ ๋ณต์ก์ฑ์ ๊ธฐ์ธํ Confusion
effect์ ์ํ ๋์ ๋ด๋ถ ๋ณํ ์๋์ง๋ a ์ฆ๊ฐ์ ์ํฅ์ ๋ฏธ์น ๊ฒ์ผ๋ก ์ ์ถํ ์ ์๋ค. ์ด๋ฌํ ๊ฒฝํฅ์ NiAl-rich B2 ๋๋
ธ ์์ด ์ผ๋ถ ์์ถ๋ LW40 HEA์ ๊ฒฝ์ฐ, FCC ๋จ์ผ์์ธ
LW-25 HEA์ ๋น๊ตํ์ฌ ์๋์ ์ผ๋ก ๋ ํฐ ฮบ์ ๋ ์์ a๋ฅผ ๋ํ๋ธ ๊ฒ์ผ๋ก ๋ท๋ฐ์นจ ๋ ์ ์๋ค.
์ผ๋ฐ์ ์ผ๋ก ๋จ์ผ์ ํฉ๊ธ๋ด ์ปค๋ค๋ ๊ฒฉ์ ๋ณํ์ ํฉ๊ธ์ ๊ณ ์ฉ๊ฐํ์ ํฐ ์ํฅ์ ์ค๋ค. ๋ถ์ฐํ๋ฉด, ํฉ๊ธ์์ ๊ณ ์ฉ๊ฐํ๋ ์๋ ์์ (4)์ ๊ฐ์ด ํํ ๊ฐ๋ฅํ๋ค.
(์ฌ๊ธฐ์, ฮฯ๋ ๊ณ ์ฉ ๊ฐํ์ ์ํ ์ ๋จ์๋ ฅ ๋ณํ๋, G๋ ์ ๋จ ๊ณ์, b๋ ๋ฒ๊ฑฐ์ค ๋ฒกํฐ(Burgers vector)์ ํฌ๊ธฐ, ฮต์ ๊ณ ์ฉ์์ ์ฒจ๊ฐ์ ๋ฐ๋ฅธ ๊ฒฉ์ ๋ณ์(lattice
strain), ๊ทธ๋ฆฌ๊ณ c๋ ๊ณ ์ฉ ์์์ ํจ๋์ ์๋ฏธํ๋ค. ์ด๋, ๊ฒฉ์ ๋ณ์ ฮต์ ๊ณ ์ฉ ์์์ ์ํ ฮด ๊ฐ์ ๋น๋กํ๋ค [20].)
์ด ์์ ํตํด ์ ์ ์๋ ๊ฒ์ฒ๋ผ ๋จ์ผ์ ํฉ๊ธ์ ๊ณ ์ฉ๊ฐํ๋ ๊ฐ ๊ตฌ์ฑ์์๊ฐ ์ ๋จ ๊ณ์์ ์ฐจ์ด ํน์ ํฌ๊ธฐ ์ฐจ์ด๊ฐ ํฐ ๊ฒฝ์ฐ ํฌ๊ฒ ํฅ์๋๋ค. ๋ค๋ง FCC
HEA๋ฅผ ๊ตฌ์ฑํ๋ ๋๋ถ๋ถ์ ์์๋ค์ ์์๋ฐ๊ฒฝ์ด 124 ๋ด์ง 128 pm๋ก ๋น์ทํ ๊ฐ์ผ๋ก ๊ฐ์ง๊ธฐ ๋๋ฌธ์ ์ด๋ค ํฉ๊ธ ์์คํ
์์๋ charge transfer๊ฐ
๊ณ ์ฉ๊ฐํ์ ํฐ ์ํฅ์ ๋ฏธ์น๋ค๋ ๊ฒ์ด ๋ณด๊ณ ๋์์ผ๋ [5], ๋ณธ ์ฐ๊ตฌ์์๋ Al์ ์ฒจ๊ฐ๋ฅผ ํตํด ๊ตฌ์ฑ์์๋ค๊ณผ ํฐ ์์๋ฐ๊ฒฝ ์ฐจ์ด๋ฅผ ์ ๋ฐํ์ฌ ๋ด๋ถ ๋ณํ(ฮต)์ ์ ๋ฐํจ์ ๋ฐ๋ผ ์ ์์ ์ํด ๊ณ ์ฉ๊ฐํ ํจ๊ณผ๋ฅผ ์ ์ถํ
์ ์๋ค. ๋ฐ๋ผ์, ๋ณธ ์ฐ๊ตฌ์ ํฉ๊ธ ์ค ์ถ๊ฐ์ ์ธ ์์ถ ์์ด ๊ฐ์ฅ ์ปค๋ค๋ ์์ ๋ฐ๊ฒฝ ์ฐจ๋ฅผ ๊ฐ์ง๋๋ก ๊ตฌ์ฑ๋ ๋จ์ FCC LW-25 HEA๊ฐ ๊ฐ์ฅ ํฐ ๊ฒฉ์
๋ณํ์ ์ํ ๊ณ ์ฉ๊ฐํ ํจ๊ณผ๋ฅผ ๊ฐ์ง๋ ๊ฒ์ ์ ์ ์๋ค. ์ ๋ฆฌํ๋ฉด, ๋ณธ ์ ์์๋ ์กฐ์ฑ์ ๋ณต์ก์ฑ ๋ฟ ์๋๋ผ ์์ถ ๊ฐ๋ฅ์์ ๋ณต์ก์ฑ์ด ์ฆ๊ฐ๋ ๋จ์ผ์ FCC
HEA ์์ญ์ด ํฐ ๊ฒฉ์๋ณํ ๋ฐ ์ปค๋ค๋ ฮบ ๊ฐ์ ํจ๊ณผ๋ฅผ ๊ฐ์ง ์ ์์์ ํ์ธํ ์ ์์๋ค.
์ผ๋ฐ์ ์ผ๋ก Hall-Petch ๊ด๊ณ์์ ์
๊ณ (grain boundary)๊ฐ ์ด๋ป๊ฒ ์๋ก์ด ๊ฐํ์ ์์์ ์ผ๋ก ์์ฉํ ์ ์๋์ง์ ๋ํด ์ค๋ช
ํ๋ค. ์ด๋,
ํญ๋ณต ๊ฐ๋์ ๊ฒฐ์ ๋ฆฝ ํฌ๊ธฐ ์ฌ์ด์ ๊ด๊ณ๋ ์๋ ์์๊ณผ ๊ฐ์ด ํํ ๊ฐ๋ฅํ๋ค [21,22].
(์ฌ๊ธฐ์, ฯ0๋ ์์ฌ ์์ฒด๊ฐ ๊ฐ์ง๋ ๊ฐ๋๋ก์จ, ์ ์ ์ด๋์ ์ํ ์์ ์๋ ฅ์ ์๋ฏธํ๋ ์์์ด๋ฉฐ, d๋ ๊ฒฐ์ ๋ฆฝ ํฌ๊ธฐ๋ฅผ ์๋ฏธํ๋ค.)
์ ์์์ ky ๊ฐ์ผ๋ก ํํ๋๋ Hall-Petch ๊ณ์๊ฐ ํฌ๋ค๋ ๊ฒ์ ์ ์๊ฐ ๊ฒฐ์ ํ์ ๊ณ๋ฉด์ ๊ทน๋ณตํ๊ธฐ ์ด๋ ค์ ๊ทธ ์์ฒด๊ฐ ์๋ก์ด Frank-Read ์์ค๋ก์จ ์๋ํจ์
์๋ฏธํ๋ค. ํํธ, ์์ฌ์ ํ์ฑ๋๋ ์๊ณ๋ถํด ์ ๋จ์๋ ฅ(critical resolved shear stress, ฯc)์ผ๋ก ky๋ฅผ ํํํ๋ฉด ๋ค์ ์์๊ณผ ๊ฐ๋ค [23,24].
์ด ์์์ m์ ์๋ํ๋ ์ฌ๋ฆฝ ์์คํ
์ ๋ฐฉํฅ ์ธ์(orientation factor), r์ ๊ฐ์ฅ ๊ฐ๊น์ด ์ ์์์ ๊ฑฐ๋ฆฌ๋ฅผ ์๋ฏธํ๋ค. ์ฆ ky๋ ์ฌ๋ฆฝ ์์คํ
์ด ๊ฒฐ์ ๋๋ค๋ฉด, ฯc ์ r์ ์ํด์ ๊ฐ์ฅ ํฐ ์ํฅ์ ๋ฐ๋ ๊ฒ์ผ๋ก ํ๋จํ ์ ์๋ค. ํนํ, ๊ตญ๋ถ์ ์กฐ์ฑ๋ณํ๋ฅผ ๋ํ๋ด๋ HEA์ ๊ฒฝ์ฐ, ๋งค์ฐ ๋คํ๋ฆฐ ๊ฒฉ์๊ตฌ์กฐ๋ฅผ ๊ฐ์ง๊ธฐ ๋๋ฌธ์ r์ ์ํฅ๋ ฅ์ด ๋งค์ฐ ํฌ๋ค๋ ๊ฒ์ ์ ์ ์๋ค [25]. ํนํ, ๊ตญ๋ถ์ ์กฐ์ฑ ๋ณํ๋ฅผ ๊ฐ์ง๋ HEA์ ๊ฒฝ์ฐ, ๋คํ๋ฆฐ ๊ฒฉ์๊ตฌ์กฐ๋ฅผ ๊ฐ์ ธ ๊ณ ์ฉ๊ฐํ ํจ๊ณผ๊ฐ ๊ทน๋ํ๋๊ธฐ ๋๋ฌธ์, ํฐ ฯc๋ฅผ ๊ฐ์ง๋ค. ๋ฐ๋ผ์ ์ด์ ๋ฐ๋ผ ๋์ ky๊ฐ์ ๊ฐ์ง๋ LW-HEA์ ๊ฒฝ์ฐ ๋์ ๊ณ ์ฉ ๊ฐํ ํจ๊ณผ์ ๋ฐ๋ฅธ ํฐ ํญ๋ณต ๊ฐ๋๋ฅผ ๊ฐ์ง๋ ๊ฒ ๋ฟ ๋ง ์๋๋ผ, ๋ณํ์ด ์ง์๋จ์ ๋ฐ๋ผ Frank-Read ์์ค์
์ฆ๊ฐ๋ก ๋์ ๊ฐ๊ณต ๊ฒฝํ๋ฅ์ ๋์์ ํ๋ณดํ ์ ์์์ ์๋ฏธํ๋ค.
Fig 7์ ๋ณธ ์ฐ๊ตฌ์์ ๊ฐ๋ฐํ LW-25 HEA์ ๊ธฐ์กด์ ๋ณด๊ณ ๋ FCC ๊ตฌ์กฐ ์์ฉ ํฉ๊ธ๋ค์ ky๋ฅผ 1/ฮบ๋ก ํผํ
ํ ๊ฒฐ๊ณผ์ด๋ค. ์ด๋ ky๋ ํฉ๊ธ์ ์ฌ๊ฒฐ์ ์กฐ๊ฑด ๋ณํ์ ๋ฐ๋ฅธ ์
๊ณ ํฌ๊ธฐ์ ๋ณํ๊ฐ ๊ณต์นญ ์๋ ฅ-๋ณํ๋ฅ ๊ณก์ ์ ๋ฏธ์น๋ ์ํฅ์ ๋ณด์ฌ์ค๋ค. ๊ทธ๋ฆผ์ ๋ํ๋ ๊ฒ๊ณผ ๊ฐ์ด ky๊ฐ์ ์์ฌ์ ์ด์ ๋๋์ ์ญ์์ ๋น๋กํ๋ ๊ด๊ณ๋ฅผ ๋ณด์ฌ์ค๋ค. ์ด๋ ์ด์ ๋๋๊ฐ ์์ฌ ์ ์ฒด์ ๊ฒฉ์ ๋ณํ์ ์ํr ๊ฐ๊ณผ ๋น๋กํ๋ ๊ด๊ณ๋ฅผ ๊ฐ์ง์ ์๋ฏธํ๋ค. ํนํ, ๋ณธ ์ฐ๊ตฌ๋ฅผ ํตํด ๊ฐ๋ฐ๋ LW-25 HEA์ ky๊ฐ์ Cantor HEA ๋ฟ ์๋๋ผ ๊ณ ๊ฐ๋ ํน์ฑ์ ๋ํ๋ธ CยฐCrNi MEA ๋ณด๋ค ์๋ฑํ ํฐ 617 MPaยทฮผm-1/2๋ฅผ ๋ํ๋๋ค. ์ด๋ 2.5 at.%์ Al ์ฒจ๊ฐ๊ฐ Cantor HEA ๋๋น 3 ๋ฐฐ ์ด์์ ฮด ์ฐจ์ด๋ฅผ ์ ๋ฐํ์ฌ, ์ฃผ๋ก ์ ํ ์ด๋ ๊ธฐ๋ฐ ๊ณ ์ฉ๊ฐํ ํจ๊ณผ๋ฅผ
๋ํ๋ด๋ 3d TM ๋ง์ผ๋ก ๊ตฌ์ฑ๋ ๊ธฐ์กด FCC HEA์ ๋นํด ์๋ฑํ ์ฐ์ํ ๊ณ ์ฉ๊ฐํ ํจ๊ณผ๋ฅผ ์ด๋ํ ์ ์์์ ์๋ฏธํ๋ค [23,24]. ์ด์ ๊ฐ์ ๊ฒฐ๊ณผ๋ ๋ณธ ์ฐ๊ตฌ์ ํฉ๊ธ์ค๊ณ๋ฒ์ ๊ธฐ๋ฐํ Al์ ์๋ ์ฒจ๊ฐ๊ฐ 3d TM ๊ธฐ๋ฐ FCC HEA์ ๊ณ ์ฉ๊ฐํ ํน์ฑ์ ํฌ๊ฒ ๊ฐ์ ํ ์ ์์์ ์๋ฏธํ๋ค
[25].
4.2 Deformation behavior of LW-XX HEAs
Fig 8(a)๋ LW-XX HEA๋ค์ ๋ํด ๋ณํ ์ ํ์ FCC ๋ฐ HCP ์๋ถ์จ ๋ณํ๋ฅผ ๋ํ๋ธ๋ค. ์์ ์ดํด๋ณธ ๋ฐ์ ๊ฐ์ด ๋ณธ ๋ฐ๋ช
์ ํฉ๊ธ๋ค์ ๋ํด Al ์ฒจ๊ฐ๋์ด
์ฆ๊ฐํจ์ ๋ฐ๋ผ SFE๊ฐ ๋์์ง๊ณผ ๋์์ HCP์ ์ ์์ ์ฑ์ด ๊ฐ์ํ๊ธฐ ๋๋ฌธ์, ๋ณํ ์ HCP ์๋ถ์จ์ด LW-00 HEA์ ์ฝ 7.8%์์, LW-10
HEA์ ์ฝ 3.1%, ๊ทธ๋ฆฌ๊ณ LW-25 HEA ๋ฐ LW-40 HEA์์๋ 0%๋ก ๊ฐ์ํ๋ ๊ฒ์ ํ์ธํ ์ ์๋ค. ๋ํ, ๋ณํ ์ดํ์ ํ์ฑ๋ ์ด HCP
์์ ๋ถ์จ์ LW-00 HEA์์ 56%, LW-10 HEA์์ 52%, LW-25 HEA์์ 47%๋ก ์์ฐจ์ ์ผ๋ก ๊ฐ์ํ๋ค๊ฐ LW-40 HEA์์
15%๋ก ๊ธ๊ฒฉํ ๊ฐ์ํ๋ ๊ฒฝํฅ์ ๋ํ๋ธ๋ค. ์ด๋ฌํ ๊ฒฝํฅ์ ํฉ๊ธ์ SFE๊ฐ ์ ์กฐ๋ ์ํธ์ HCP ์๋ถ์จ ๋ฟ ์๋๋ผ ๋ณํ ํ์ ์ต์ข
HCP ์๋ถ์จ์๋
์ํฅ์ ๋ฏธ์น ์ ์์์ ์๋ฏธํ๋ค. Fig 8(b-e)๋ Fig 8(a)์ ๋์ํ ํฉ๊ธ๋ค์ ๋ณํ ์ , ํ์ EBSD map์ ๋ํ๋ธ๋ค. ๊ทธ๋ฆผ์์ ์ ์ ์๋ ๋ฐ์ ๊ฐ์ด, ๋ชจ๋ LW-XX HEA์์ ๋ณํ ์ ์๋ ฅ์ ๊ธฐ ์๋ณํ๊ฐ
๋ฐ์ํ๋ ๊ฒ์ ํ์ธ ํ ์ ์์์ผ๋ฉฐ, ํนํ, LW-40 HEA์ ๊ฒฝ์ฐ ๋ณํ ํ TRIP์ ๋์์ ๋๋
ธ ํฌ๊ธฐ์ ๋ณํ ์์ (deformation twin)
ํ์ฑ๋๋ ๊ฒ์ด ๊ด์ฐฐ๋์๋ค. ์ด์ ๊ฐ์ ๋ณตํฉ์ ์ธ ๋ณํ ๊ธฐ๊ตฌ์ ์๋์ FCC HEA์ ์ฐ์ ํน์ฑ ๊ฐ์ ์ ํฐ ์ญํ ์ ํ ์ ์๋ค. ๋ถ์ฐํ๋ฉด, ๋ณธ ์ฐ๊ตฌ๋ฅผ
ํตํด ๊ฐ๋ฐ๋ ๊ฐ๊ฐ์ ํฉ๊ธ๋ค์ ์ต๋ ์ฐ์ ์จ์ LW-00 HEA๊ฐ 14% ์์ค์ด์๋ ๊ฒ์ ๋ฐํด, LW-40 HEA์์๋ ์ฝ 50% ์์ค์ ํฐ ์ฐ์ ์จ์
๊ฐ์ง์๋ ๋ถ๊ตฌํ๊ณ , ๊ทธ ์ต๋ ์ธ์ฅ ๊ฐ๋ ๊ฐ์ ๊ฐ์ํ์ง ์์๋ค. ์ผ๋ฐ์ ์ผ๋ก ์์ฌ์ ํญ๋ณต ๋ฐ ์ต๋ ์ธ์ฅ ๊ฐ๋๊ฐ ์ต๋ ์ฐ์ ์จ๊ณผ์ Trade-off ๊ด๊ณ์
์๋ ๊ฒ์ ๊ณ ๋ คํ์์ ๋, ๋ณธ ์ฐ๊ตฌ์์ ๊ฐ๋ฐ๋ LW-(TRIP+TWIP) HEA์ ์ ๋ฐ๋-๊ณ ๊ฐ๋-๊ณ ์ฐ์ ์ ๋
ํนํ ํน์ฑ ์กฐํฉ์ ๋ค์ค ๋ณํ ๊ธฐ๊ตฌ ๋ฐํ์ด
ํฌ๊ฒ ๊ธฐ์ฌํ ๊ฒ์ผ๋ก ํ๋จํ ์ ์๋ค.
4.3 Optimization of conflicting properties in FCC HEA
Fig 9(a)๋ FCC HEA๋ฅผ ํฌํจํ๋ ๋ค์ํ FCC ํฉ๊ธ๋ค๊ณผ ๋ํ์ ์ธ ๊ฒฝ๋ ํฉ๊ธ์ธ Al ํฉ๊ธ ๋ฐ Ti ํฉ๊ธ๋ค, ๊ทธ๋ฆฌ๊ณ ๋ณธ ์ฐ๊ตฌ์์ ๊ฐ๋ฐํ LW-XX HEA๋ค์
๋ํด ๋น๊ฐ๋์ UTS์์์ ์ต๋ ์ฐ์ ์จ์ ๋์ํ ๊ฒฐ๊ณผ์ด๋ค. ํนํ, ๋ณธ ์ฐ๊ตฌ์์ ๊ฐ๋ฐํ ํฉ๊ธ๋ค์ ํน์ฑ๊ณผ ๋น๊ต๋ฅผ ํ๊ธฐ ์ํด ์์ฉ FCC ํฉ๊ธ์ผ๋ก ์ค์คํ
๋์ดํธ
๊ฐ๊ณผ Ni๊ณ ํฉ๊ธ, ๊ทธ๋ฆฌ๊ณ Cu๊ณ ํฉ๊ธ์ ํจ๊ป ํ์ํ์๋ค [26,27]. ๊ทธ๋ฆผ์ ํตํด ์ ์ ์๋ ๋ฐ์ ๊ฐ์ด ๋๋ถ๋ถ์ FCC ํฉ๊ธ์ ๋น๊ฐ๋์ ์ต๋ ์ฐ์ ์จ์ ์๋ก Trade-off ๊ด๊ณ์ ์์ด, ๋ ํน์ฑ์ ๋์์ ํฅ์์ํค๋
๊ฒ์ ๋งค์ฐ ์ด๋ ต๋ค. ์๋ฅผ ๋ค์ด ๋ํ์ ์ธ ๊ณ ๊ฐ๋ ๊ฒฝ๋ ์์ฌ์ธ Ti ํฉ๊ธ์ ๊ฒฝ์ฐ ๋งค์ฐ ๋์ ๋น๊ฐ๋ (200 MPaยทcm3ยทg-1 ์ด์)๋ฅผ ๊ฐ์ง์ง๋ง, ์ต๋ ์ฐ์ ์ด 10% ์์ค์ผ๋ก ๋งค์ฐ ๋ฎ๋ค. ๋ฐ๋๋ก, ์ต๋ 70% ์ด์์ ๋์ ์ฐ์ ์จ์ ๊ฐ์ง๋ Cu๊ณ ํฉ๊ธ์ ๊ฒฝ์ฐ, 30
์ดํ์ ๋ฎ์ ๋น๊ฐ๋๋ฅผ ๋ณด์ด๋ ๊ฒ์ ์ ์ ์๋ค. ๋ค๋ง, ์ผ๋ฐ์ ์ธ Cu ์์ฉํฉ๊ธ์ ๊ฒฝ์ฐ์๋ ๊ณ ๊ฐ๋-๊ณ ์ฐ์ ์ ๊ตฌ์กฐ์ฉ ์์ฌ๋ก์จ๊ฐ ์๋๋ผ ๋์ ์ ๋์ฑ ๋ฑ์
ํน์ ๋ชฉ์ ์ ์ํ์ฌ ์ฒจ๊ฐ ์์ ์์ด ๋์ ์๋๋ก ์ฌ์ฉํ๊ธฐ ๋๋ฌธ์ ์์ ๊ฐ์ ํน์ฑ์ด ํน์ง์ ์ผ๋ก ๋ํ๋ ์ ์๋ค. ํํธ, ๋ํ์ ์ธ ๊ตฌ์กฐ์ฉ ๊ธ์ ์์ฌ์ธ
Fe ๊ณ ํฉ๊ธ์ ๊ฒฝ์ฐ์๋ ์ ์ฒด ํน์ฑ ์์ญ์ ํญ๋๊ฒ ์์นํ๊ณ ์๋ค. ์ด๋, ๋ค์ํ 3d TM์ ์กฐํฉ์ผ๋ก ๊ตฌ์ฑ๋๋ ๊ธฐ์กด์ FCC HEA์ ๊ฒฝ์ฐ, ์ฒ ๊ฐ๊ณผ
๋น๊ตํ์ฌ ์๋์ ์ผ๋ก ๋ฎ์ ๋น๊ฐ๋ ์์ญ์ ์กด์ฌํ๋ ๊ฒ์ ํ์ธํ ์ ์๋ค.
Fig 9(b)๋ ์๊ธฐ Fig 9(a)์ ๋์ํ ํฉ๊ธ๋ค ์ค FCC HEA์ ๋ํด์๋ง ์ ๋ณ์ ์ผ๋ก ๋น๊ฐ๋์ ์ต๋ ์ฐ์ ์จ์ ๋์ํ ๊ฒ์ด๋ค. ๊ทธ๋ฆผ์์ ์ ์ ์๋ ๋ฐ์ ๊ฐ์ด, FCC HEA๋
๋น๊ฐ๋์ ์ต๋ ์ฐ์ ์จ๊ฐ Trade-off ๊ด๊ณ๋ก ๋ฐ๋๋ ์ปค๋ธ๋ฅผ ๋ํ๋์ ํ์ธํ ์ ์๋ค. ๋จ, ๋ณธ ์ฐ๊ตฌ์์ ๊ฐ๋ฐํ LW-XX HEA๋ค์ ๊ฒฝ์ฐ, ๊ตฌ์ฑ์์๊ฐ
๋น์จ ์กฐ์ ์ ํตํด ๋ฐ๋ ๊ฐ์๋ฅผ ๊พํ๊ณ ์ถ๊ฐ์ ์ผ๋ก Al ์ฒจ๊ฐ๋ฅผ ํตํด ๋ฐ๋๋ฅผ ์๋์ ์ผ๋ก ํฌ๊ฒ ๊ฐ์ํ๋ฉด์๋ ๊ณ ์ฉ๊ฐํ ํจ๊ณผ๋ฅผ ๊ทน๋ํํจ์ผ๋ก์จ, ๊ธฐ์กด FCC
HEA ๋๋น ๋์ ๋น๊ฐ๋ ํน์ฑ์ ๋ํ๋๋ค. ๋ํ, ์ด์ ๋์์ TRIP๊ณผ TWIP์ด ์์ฐจ์ ์ผ๋ก ๋ฐํ๋ ์ ์๋ ๋ค์ค ๋ณํ๊ธฐ๊ตฌ ์๋ ์กฐ๊ฑด์ผ๋ก SFE๋ฅผ
์ ์ดํจ์ผ๋ก์จ ๊ณ ์ฐ์ ์ ์ ์งํ ์ ์๋๋ก ํ์ฌ, ๊ธฐ์กด์ ๋ณด๊ณ ๋ FCC HEA ๋๋น ์ฐ์ํฅ ํ๋ ์์ญ์ ํฅ์๋ ํน์ฑ์ ๋ํ๋๋ค.
์ฆ, ๋ณธ ์ฐ๊ตฌ๋ฅผ ํตํด ๊ฐ๋ฐ๋ LW-(TRIP+TWIP) HEA์ ๊ฒฝ์ฐ, ํฉ๊ธ์ (1) ๊ฒฝ๋ํ (2) ๊ณ ์ฉ ๊ฐํ ํจ๊ณผ (3) ์ ์์ ์ฑ์ 3 ๊ฐ์ง๋ฅผ
๋์์ ๊ณ ๋ คํ์ฌ ๊ธฐ์กด HEA์ ์กฐ์ฑ์ ๋ณต์ก์ฑ ๋ฟ ์๋๋ผ ์์ถ์์ ๋ณต์ก์ฑ์ ๊ทน๋ํํ์ฌ Complex complexity ๊ตฌํ์ ํตํด ๊ธฐ์กด ํฉ๊ธ ๊ฐ๋ฐ
๋ฐฉ์์ ํตํด ๋์์ ๊ตฌํํ๊ธฐ ์ด๋ ค์ ๋, ์์ถฉํ๋ ํน์ฑ๋ค์ด ์ํธ ์กฐํฉ๋ ์ ๋ฐ๋-๊ณ ๊ฐ๋-๊ณ ์ฐ์ ์์ฌ๋ฅผ ๊ฐ๋ฐํ๋ค๋ ๋ฐ์ ํฐ ์์๊ฐ ์๋ค.
5. ๊ฒฐ ๋ก
๋ณธ ์ฐ๊ตฌ์์๋ ์๋ก trade-off ๊ด๊ณ์ ์๋ (๋ฐ๋)-(๊ฐ๋)-(์ฐ์ ) ํน์ฑ์ด ์ต์ ํ๋ LW-(TRIP+TWIP) HEA๋ฅผ ์ฑ๊ณต์ ์ผ๋ก ๊ฐ๋ฐํ์๋ค.
์ด๋ฅผ ์ํด FCC CrMnFeCoNi 5์๊ณ ์์คํ
์์ ์๋์ ์ผ๋ก ๊ฒฝ๋ ์์์ธ Fe, Co, ๊ทธ๋ฆฌ๊ณ Cr์ ์กฐ์ฑ์ ๋๊ฒ ์ ์ดํ๋ฉด์๋ ๋์์ ํฉ๊ธ ์์ฒด์
SFE๋ฅผ ๊ทน๋จ์ ์ผ๋ก ๋ฎ์ถ๋ ํฉ๊ธ ์ค๊ณ๋ฅผ CALPHAD ๊ธฐ๋ฐ์ผ๋ก ์ํํ์ฌ TRIP ๋ณํ๊ธฐ๊ตฌ๋ฅผ ๊ฐ์ง LW-DP-HEA (Cr22Mn6Fe40Co26Ni6, LW-00)์ ๊ฐ๋ฐํ๊ณ , ์ด๋ฅผ ๊ธฐ์ง ์กฐ์ฑ์ผ๋ก ํ์ฌ ๋ค๋ฅธ ๊ตฌ์ฑ์์๋ณด๋ค ๊ฐ๋ฒผ์ฐ๋ฉด์๋ ์ปค๋ค๋ ์์๋ฐ๊ฒฝ ์ฐจ์ด๋ฅผ ๊ฐ์ง๋ Al์ ์ต๋ 5 at.%๊น์ง ํฉ๊ธํ
ํ๋ฉด์ Al ์ฒจ๊ฐ์ ๋ฐ๋ฅธ (๋ฐ๋)-(๊ฐ๋)-(์ฐ์ )์ ํน์ฑ ๋ณํ๋ฅผ ์ฒด๊ณ์ ์ผ๋ก ๊ณ ์ฐฐํ์๋ค. ๊ฒฐ๊ณผ๋ก์จ, LW-00 HEA์ Al๋ฅผ ์ฒจ๊ฐํจ์ ๋ฐ๋ผ ์ ๊ตฌ์ฑ์ด
FCC+HCP ๋ณตํฉ์ (LW-00 to LW-20)์์, FCC ๋จ์ผ์ (LW-25 to LW-40), ๊ทธ๋ฆฌ๊ณ ๋ค์ FCC+BCC(B2) ๋ณตํฉ์ (LW-40
to LW-50)์ผ๋ก ๋ณํ๋ ๊ฒ์ ํ์ธํ ์ ์์๋ค. ํนํ, FCC ๋จ์ผ์์ ํ์ฑํ LW-25 HEA์ ๊ฒฝ์ฐ Cantor HEA ๋๋น 3 ๋ฐฐ ์ด์์
ฮด๋ก ์ปค๋ค๋ ๊ฒฉ์ ๋นํ๋ฆผ์ด ์ ๋ฐ๋จ ์ ์ ์์์ผ๋ฉฐ, ์ด์ ๋ฐ๋ผ ์์จ์์ ์ฝ 12 W/mK ์์ค์ ์๋์ ์ผ๋ก ๋ฎ์ ์ด์ ๋๋๋ฅผ ๊ฐ์ก๋ค. ๋ํ, ๋ณธ ์ฐ๊ตฌ์
LW-25 HEA์ ky๊ฐ์ 617 MPaยทฮผm-1/2๋ก Cantor HEA์ 495 MPaยทฮผm-1/2 ๋ณด๋ค 25 % ์ ๋ ํฐ ๊ฐ์ ๋ํ๋์ผ๋ฉฐ, Al์ ์๋ ์ฒจ๊ฐ๊ฐ ์ ํ ์ด๋ ๊ธฐ๋ฐ ๊ณ ์ฉ๊ฐํ ํจ๊ณผ๋ฅผ ๋ํ๋ด๋ 3d TM ๋ง์ผ๋ก ๊ตฌ์ฑ๋ ํฉ๊ธ์์คํ
์ ๋นํด
์๋ฑํ ์ฐ์ํ ๊ณ ์ฉ๊ฐํ ํจ๊ณผ๋ฅผ ๊ตฌํํ ์ ์์์ ํ์ธํ์๋ค. ๋ฟ๋ง ์๋๋ผ, FCC ๊ธฐ์ง๋ด B2์ ์์ถ์ ๊ฒฝ๊ณ ์กฐ์ฑ์ธ LW-40 HEA๋ FCC+HCP์
DP ํฉ๊ธ๊ณผ FCC+ BCC(B2)์ DP ํฉ๊ธ ์ฌ์ด์ ์ค์์ ํ ์ ์์ ์ฑ์ ๊ฐ์ง ๋ฟ๋ง ์๋๋ผ, TRIP๊ณผ TWIP ๋ณํ ๊ธฐ๊ตฌ๋ฅผ ์์ฐจ์ ์ผ๋ก ๋ฐ์์ํฌ
์ ์๋ SFE์ ๊ฒฝ๊ณ์ ์์นํ๊ธฐ ๋๋ฌธ์ ์ฝ 50%์ ๋งค์ฐ ํฐ ์ต๋ ์ฐ์ ์ ๋ํ๋๋ค. ์ด๋ฅผ ํตํด, Cantor HEA ๋๋น ์ฝ 10 % ์ด์ ๋ฎ์
๋ฐ๋๋ฅผ ๊ฐ์ง๋ฉด์๋, ์ฐ์ํ ๋น๊ฐ๋/์ต๋ ์ฐ์ ๋น๋ฅผ ๊ฐ์ง๋ ํฉ๊ธ์ ๊ฐ๋ฐํ ์ ์์๋ค. ๋ณธ ์ฐ๊ตฌ์์๋ ๊ธฐ์กด HEA์ ์กฐ์ฑ์ ๋ณต์ก์ฑ ๋ฟ ์๋๋ผ ๋ค์ค ์์ถ๊ฐ๋ฅ์์
์์ ์ฑ ์ ์ด์ ์ํ ๊ณผ๊ณ ์ฉ์ผ๋ก ์์ถ์ ํ์ฑ ๋ณต์ก์ฑ์ด ๋์์ ์ฆ๊ฐ๋ LW-(TRIP+TWIP) HEA๋ฅผ ๊ฐ๋ฐํ์ฌ, ๋ค์ํ ๋ณต์ก์ฑ์ Confusion
ํจ๊ณผ๋ก trade-off ๊ด๊ณ์ ์๋ ์ ๋ฐ๋-๊ณ ๊ฐ๋-๊ณ ์ฐ์ ๋ณตํฉ ํน์ฑ์ ๋์์ ์ต์ ํํ ์ ์์์ ์๋กญ๊ฒ ๋ฐํ, ๋ค์ค์์๊ธฐ์ง HEA ํฉ๊ธ๊ณ์์ trade-off
๊ด๊ณ์ ๋ณตํฉ ํน์ฑ์ ํจ๊ณผ์ ์ผ๋ก ์ ์ดํ๋ ๊ฒ์ ๋ํ ์๋ก์ด ๊ฐ์ด๋๋ผ์ธ์ ์ ์ํ์๋ค๋๋ฐ ์์๊ฐ ์๋ค.
Acknowledgements
This work was supported by Creative Materials Discovery Program and Basic Science
Research Program through the National Research Foundation of Korea (NRF) funded by
Ministry of Science and ICT (NRF-2019M3D1A1079215 and NRF-2020R1A2C2004859).
REFERENCES
Yeh J.W., Chen S.K., Lin S.J., Gan J.Y., Chin T.S., Shun T.T., Shun T.T., Tsau C.H.,
Chang S.Y., Advanced Engineering Materials,6, 5, 299 (2004)

Cantor Brain, Chang ITH, Knight Peter, Vincent AJB, Materials Science and Engineering
A,375, 213 (2004)

Oh Hyun Seok, Kim Sang Jun, Odbadrakh Khorgolkhuu, Ryu Wook Ha, Yoon Kook Noh, Mu
Sai, Kรถrmann Fritz, Ikeda Yuji, Tasan Cemal Cem, Raabe Dierk, Egami Takeshi, Park
Eun Soo, Nature communications,10, 1 (2019)

Gludovatz Bernd, Hohenwarter Anton, Catoor Dhiraj, Chang Edwin H., George Easo P.,
Ritchie Robert O., Science,345, 1153 (2014)

Chen Sijing, Oh Hyun Seok, Gludovatz Bernd, Kim Sang Jun, Park Eun Soo, Zhang Ze,
Ritchie Robert O, Yu Qian, Nature communications,11, 1 (2020)

Kumar Amit, Gupta Manoj, 6,9, 199 (2016)

Stepanov N.D., Shaysultanov D.G., Salishchev G.A., Tikhonovsky M.A., Materials Letters,142,
153 (2015)

Feng Rui, Gao Michael C., Lee Chanho, Mathes Michael, Zuo Tingting, Chen Shuying,
Hawk Jeffrey A., Zhang Yong, Liaw Peter K., Entropy,9, 333 (2016)

Jumaev Elyorjon, Hong Sung Hwan, Kim Jeong Tae, Park Hae Jin, Kim Young Seok, Mun
Sang Chul, Park Jun-Young, Song Gian, Lee Jong Kook, Min Byung Ho, Lee Taegyu, Kim
Ki Buem, Journal of Alloys and Compounds,777, 828 (2019)

Chen Xu, Gao Di, Hu Jia Xuan, Liu Ye, Tang Chang Ping, Met. Mater. Int,25, 1135 (2019)

Gasan Hakan, Lรถkรงรผ Ersu, Ozcan Akin, Celik Osman Nuri, Celikyurek Ibrahim, Ulutan
Mustafa, Kurtulus Yavuz, Met. Mater. Int,26, 310 (2020)

Tong Chung-Jin, Chen Min-Rui, Yeh Jien-Wei, Lin Su-Jien, Chen Swe-Kai, Shun Tao-Tsung,
Chang Shou-Yi, Materials Transactions A,36, 1263 (2005)

Curtze S., Kuokkala V.-T., Oikari A., Talonen J., Hรคnninen H., Acta Materialia,3,
1068 (2011)

Eun Soo Park, Hyun Seok Oh, Sang Jun Kim, Kooknoh Yoon, and Chae Woo Ryu, US patent
10364487B2 (2019),
Li R.X., Li R.D., Zhao Y.H., He L.Z., Li C.X., Guan H.R., Hu Z.Q., Materials Letters,58,
2096 (2004)

Sun S.J., Tian Y.Z., Lin H.R., Dong X.G., Zhang Z.F., Journal of Alloys and Compounds,806,
992 (2019)

May Andrew F., Toberer Eric S., Saramat Ali, Snyder G. Jeffrey, Physical Review,B,
80 (2009)

Lee Je In, Oh Hyun Seok, Park Eun Soo, Applied Physics Letters,109, 061906 (2016)

Lee Je In, Oh Hyun Seok, Kim Jun Hyuk, Park Eun Soo, Korean J. Met. Mater,55, 1 (2017)

Varvenne C., Luque A., Curtin W.A., Acta Materialia,118, 164 (2016)

HALL E. O., Proceedings of the Physical Society. Section B,64, 747 (1951)

Petch N. J., The Journal of the Iron and Steel Institute,173, 25 (1953)

Eshelby J.D., Frank F.C., Nabarro F.R.N., Philosophical Magazine and Journal of Science,7,
351 (1951)

Sohn Seok Su, Silva Alisson Kwiatkowski da, Ikeda Yuji, Kรถrmann Fritz, Lu Wenjun,
Choi Won Seok, Gault Baptiste, Ponge Dirk, Neugebauer Jรถrg, Raabe Dierk, Advanced
Materials,31, 1807142 (2019)

Ma Evan, Scripta Materialia,181, 127 (2020)

Properties of Some Metals and Alloys, The International Nickel Company, Inc. (1982),
Gorsse S., Nguyen M.H., Senkov O.N., Miracle D.B., Data in Brief,21, (2018)

Figures and Table
Fig. 1.
Metallic radius and shear modulus of 3D transition metals and Al.
Fig. 2.
(a) Isotherm at 900 ยฐC of the pseudo ternary system Fe-Co-Cr, which contains 6 at.%
of Mn and Ni, respectively. (b) Pseudo-binary phase diagram of the system (Cr36.7Mn10Co43.3Ni10)-Fe.
Fig. 3.
(a) XRD traces of LW-00, LW-10, LW-25, LW-40, and LW-50 HEAs. The inset shows the
lattice parameter of each alloy, which is calculated from the (111) peak of each XRD
data. (b) High-energy X-ray diffraction pattern of LW-40 HEA that is composed of FCC
matrix and B2 precipitates.
Fig. 4.
(a) Density, (b) ฮGFCC-HCP, and (c) Atomic size mismatch of LW-XX HEAs.
Fig. 5.
Engineering stress-strain curves of LW-XX HEAs. Inserted table summaries yield strength
(ฯy), ultimate tensile strength (ฯUTS), and maximum elongation at ultimate tensile strength (ฮตUTS).
Fig. 6.
Thermal conductivity as a function of temperature in LWXX HEAs. The inset shows the
thermal conductivity change at room temperature according to the Al content.
Fig. 7.
Hall-Petch constant (ky) of FCC alloys plotted against the 1/ฮบ, which represents the degree of lattice distortion.
Fig. 8.
(a) Phase fraction of FCC and HCP phase and (b-e) EBSD maps showing the phase constitution
before and after deformation in LW-00, LW-10, LW-25, and LW-40 HEAs.
Fig. 9.
Relationship between specific strength and the maximum elongation in (a) various FCC
alloys and (b) FCC HEAs.
Table 1.
Composition, ฮGFCC-HCP, Phase constitution, and Density of Cantor HEA, DP-HEA, LW-XX HEAs.
|
Composition (at.%)
|
Al content (at.%)
|
ฮGFCC-HCP (J/mol)
|
Phase
|
Density (g/cm3)
|
Note
|
|
Cr20Mn20Fe20Co20Ni20 |
-
|
1927.8
|
FCC
|
8.31
|
Cantor HEA
|
|
Cr20Mn6Fe34Co34Ni6 |
-
|
59.4
|
HCP + FCC
|
8.10
|
DP-HEA [5]
|
|
Cr22Mn6Fe40Co26Ni6 |
0.0
|
881.2
|
HCP + FCC
|
7.95
|
LW-00
|
|
1.0
|
1122.9
|
HCP + FCC
|
7.84
|
LW-10
|
|
2.0
|
1364.6
|
HCP + FCC
|
7.76
|
LW-20
|
|
2.5
|
1485.4
|
FCC
|
7.74
|
LW-25
|
|
3.0
|
1606.2
|
FCC
|
7.72
|
LW-30
|
|
4.0
|
1847.9
|
FCC(+B2)
|
7.63
|
LW-40
|
|
5.0
|
2137.4
|
FCC + B2
|
7.41
|
LW-50
|