๊น์์
(Young-We Kim)
12
์กฐ์ฉํฌ
(Yong-Hee Jo)
1
์ด์ค์
(Yun-Soo Lee)
13
๊นํ์ฑ
(Hyoung-Wook Kim)
1*
์ด์ ์ธ
(Je-In Lee)
2**
-
ํ๊ตญ์ฌ๋ฃ์ฐ๊ตฌ์ ๊ธ์์ฌ๋ฃ์ฐ๊ตฌ๋ณธ๋ถ
(Metallic Materials Division, Korea Institute of Materials Science, Changwon 51508,
Republic of Korea)
-
๋ถ์ฐ๋ํ๊ต ์ฌ๋ฃ๊ณตํ๊ณผ
(Department of Materials Science and Engineering, Pusan National University, Busan
46269, Republic of Korea)
-
์ธํ๋ํ๊ต ์ ์์ฌ๊ณตํ๊ณผ
(Department of Materials Science and Engineering, Inha University, Incheon 22212, Republic of Korea)
Copyright ยฉ 2021 The Korean Institute of Metals and Materials
Key words
Al-Zn-Mg-Cu, 7075, dissolution, precipitation, mechanical properties
1. ์ ๋ก
ํ๊ฒฝ๊ท์ ์ ์ฌํ๋ก ์ธํ์ฌ ์นํ๊ฒฝ ์๋์ฐจ์ ์์๊ฐ ์ฆ๊ฐํ๊ณ ์์ผ๋ฉฐ ์์ ์ฑ ๋ฐ ์ฃผํ์ฑ ํฅ์์ ์ํด ๋ถํ์๊ฐ ์ฆ๊ฐํจ์ ๋ฐ๋ผ ์ฐจ๋์ ๊ฒฝ๋ํ๋ ํ์์ ์ด๋ค.
๊ฒฝ๋์์ฌ์ธ ์๋ฃจ๋ฏธ๋ ํฉ๊ธ์ ๊ฒฝ์ฐ ๋น๊ฐ๋, ๊ฐ๊ณต์ฑ, ์ฃผ์กฐ์ฑ, ์ฌํ์ฉ์ฑ ๋ฑ์ด ์ฐ์ํ์ฌ ๊ธฐ์กด ์ฒ ๊ฐ ์์ฌ๋ฅผ ๋์ฒดํ์ฌ ํ์ฉ๋๊ณ ์๋ค [1]. ํ์ฌ ์ฐจ์ฒด์ ์ ์ฉ๋๋ ์๋ฃจ๋ฏธ๋ ํฉ๊ธ ํ์ฌ๋ ๊ฐ๋์ ์ฑํ์ฑ์ด ์ฐ์ํ Al-Mg๊ณ(5000๊ณ) ํฉ๊ธ๊ณผ ์๋ถ๊ฒฝํ์ฒ๋ฆฌ ํ ๊ฐ๋ํฅ์์ด ์ฐ์ํ Al-Mg-Si๊ณ(6000๊ณ)
ํฉ๊ธ์ด ์๋ค [1-5]. ์ต๊ทผ์๋ ์ฐจ์ฒด ๊ฒฝ๋ํ๋ฅผ ์ํด Al-Zn-Mg-Cu๊ณ(7000๊ณ) ํฉ๊ธ์ ์ ์ฉ์ด ๊ฒํ ๋๊ณ ์๋ค. ์ฐจ์ฒด ์ ์กฐ ๊ณต์ ์ ๊ณ ๋ คํ ๋ ์ฐจ์ฒด ์ฑํ ์ ๊น์ง๋
์ฐ์ํ ์ฑํ์ฑ, ์ต์ข
์ ํ์ ๋์ ํญ๋ณต๊ฐ๋๊ฐ ์๊ตฌ๋๋ค. ์๋ฃจ๋ฏธ๋ ํฉ๊ธ ํ์ฌ์ ์ฐจ์ฒด ์ ์กฐ ๊ณต์ ์ ํ์ฌ ํ๋ ์ค ์ฑํ ํ ํ๋ฉด์ฒ๋ฆฌ ๋ฐ ๋์ฅ์ ๊ฑฐ์น๋ฉฐ, ์ต์ข
์ ์ผ๋ก
ํ์ธํธ ๊ฒฝํ๋ฅผ ์ํด 160~180 ยฐC์์ 20~30๋ถ ๋์ ์๋ถ๊ฒฝํ์ฒ๋ฆฌ๋ฅผ ํ๋ค [6,7]. ๋ฐ๋ผ์ ์๋ถ๊ฒฝํํน์ฑ์ ํฅ์์ํค๋ ๊ฒ์ด ํ์์ ์ด๋ฉฐ ์ด๋ ์ํจ์ฒ๋ฆฌ์ธ์๋ ์ฉ์ฒดํ์ฒ๋ฆฌ ์กฐ๊ฑด์ ํฌ๊ฒ ์ํฅ์ ๋ฐ๋๋ค. Al-Zn-Mg-Cu๊ณ ํฉ๊ธ์์ ์ฉ์ฒดํ์ฒ๋ฆฌ๋
์๋ฃจ๋ฏธ๋ ํฉ๊ธ์ ์ต์ข
ํน์ฑ์ ๊ฒฐ์ ํ๋ ์ฃผ์ ๋จ๊ณ๋ก์ ๊ธฐ์ง ๋ด์ 2์ฐจ์ (MgZn2 (ฮท), Al2CuMg (S) ๋ฐ Al2Mg3Zn3 (T) ๋ฑ)์ ๊ณ ์ฉ์ํค๋ ๊ฒ์ด ๋ชฉ์ ์ด๋ค [8-10]. Al-Zn-Mg-Cu๊ณ ํฉ๊ธ์์ ์ฉ์ฒดํ์ฒ๋ฆฌ์ ๋ฐ๋ฅธ 2์ฐจ์์ ๋ณํ๋ฅผ ์ดํดํ๋ ๊ฒ์ ๋งค์ฐ ์ค์ํ๋ค. ์ ํ์ฐ๊ตฌ์ ๋ฐ๋ฅด๋ฉด Al-Zn-Mg-Cu๊ณ ํฉ๊ธ์์
์ฉ์ฒดํ์ฒ๋ฆฌ ์จ๋๊ฐ ์ฆ๊ฐํจ์ ๋ฐ๋ผ ์๋ฅ 2์ฐจ์๋ค์ ๊ธฐ์ง ๋ด๋ก ์ฌ๊ณ ์ฉ๋ ์ ์๋ค. ๋ํ ์ฉ์ฒดํ ์ฒ๋ฆฌ ์จ๋๊ฐ ์ฆ๊ฐํจ์ ๋ฐ๋ผ ์ฌ๊ฒฐ์ ์ ๋ถ์จ์ ์ฆ๊ฐํ๊ณ sub-grain์
ํฌ๊ธฐ๊ฐ ์ฑ์ฅํ์ฌ ๊ฐ๋๋ ์ด๊ธฐ์ ์ฆ๊ฐํ๋ค๊ฐ ์ดํ ๊ฐ์ํ๋ค๊ณ ๋ณด๊ณ ํ์๋ค [9,11]. Peng ๋ฑ์ [10] 7B50 ํฉ๊ธ์์ ์ฉ์ฒดํ์ฒ๋ฆฌ์ ์จ๋์ ๋ฐ๋ฅธ 2์ฐจ์์ ๋ณํ๋ฅผ ์กฐ์ฌํ์์ผ๋ฉฐ 350~450 ยฐC์ ์จ๋๋ฒ์์์ Al2CuMg (S)์์ ์กฐ๋ํ๋ก ๊ธฐ๊ณ์ ํน์ฑ์ด ๊ฐ์ํ๋ค๊ณ ๋ณด๊ณ ํ์๋ค.
ํ์ฌ ํผํฌ์ํจ(T6) ์ฒ๋ฆฌ๋ Al-Zn-Mg-Cu๊ณ ํฉ๊ธ ํ์ฌ๋ ์์จ์์ ๋ฎ์ ์ฑํ์ฑ์ผ๋ก ์ธํด ์๋์ฐจ ๋ถํ์ ์ฉ์๋ ํ๊ณ๊ฐ ์๋ค [12-14]. Al-Zn-Mg-Cu๊ณ ํฉ๊ธ ํ์ฌ๋ ์ฑํ์ฑ ํฅ์์ ์ํ์ฌ ์ฉ์ฒดํ์ฒ๋ฆฌ๋ฅผ ํ๊ณ ์์ถ์์ ์ฌ๊ณ ์ฉ ์์ผ ์ฐ์ ์จ์ ํฅ์์ํฌ ์ ์๋ค๊ณ ์๋ ค์ ธ ์๋ค [15,16]. ๊ทธ๋ฌ๋ T6 ์ฒ๋ฆฌ๋ ํฉ๊ธ์์ ์ฉ์ฒดํ์ฒ๋ฆฌ์ ๋ฐ๋ฅธ ์์ถ์์ ์ฌ๊ณ ์ฉ์ด ์ํจ์ฒ๋ฆฌ ์ ๊ธฐ๊ณ์ ํน์ฑ์ ๋ฏธ์น๋ ์ํฅ์ ๋ํ ์ฐ๊ตฌ๋ ๋ง์ง ์๋ค.
๋ณธ ์ฐ๊ตฌ์์๋ ์ต๋์ํจ๊ฐ๋๋ฅผ ๊ฐ๋ 7075-T6 ํฉ๊ธ์์ ์ฉ์ฒดํ์ฒ๋ฆฌ ์จ๋ ๋ฐ ์๊ฐ์ด ์์ถ์์ ์ฌ๊ณ ์ฉ์ ๋ฏธ์น๋ ์ํฅ์ ๋ํด ์กฐ์ฌํ์๋ค. ์ด์ธ์๋ ์ฉ์ฒดํ์ฒ๋ฆฌ
ํ ์์ฐ์ํจ ๋ฐ ์๋ถ๊ฒฝํ์ฒ๋ฆฌ ๋ฑ ์ด์ฒ๋ฆฌ ๊ณต์ ์ ๋ฐ๋ฅธ ์ธ์ฅํน์ฑ ๋ณํ๋ฅผ ์กฐ์ฌํ์๋ค. ๋ํ ์์ถ์์ ์ฌ๊ณ ์ฉ ๋ฐ ์ฌ์์ถ์ด ์ต์ข
ํฉ๊ธ ํ์ฌ์ ๊ธฐ๊ณ์ ํน์ฑ์
๋ฏธ์น๋ ์ํฅ์ ๋ฏธ์ธ์กฐ์งํ์ ์ธ์๋ค๊ณผ ์ฐ๊ดํ์ฌ ๊ณ ์ฐฐํ์๋ค.
2. ์คํ ๋ฐฉ๋ฒ
๋ณธ ์ฐ๊ตฌ์์๋ Alcoa์ฌ์์ ์ ์กฐํ ๋๊ป 1.0 mm์ธ 7075-T6 ์์ฉ ํฉ๊ธ ํ์ฌ๋ฅผ ์ด์ฉํ์์ผ๋ฉฐ, ์ฐ๊ตฌ์ ์ด์ฉ๋ 7075-T6 ์์ฉ ํฉ๊ธ ํ์ฌ๋
์ผ๋ฐ์ ์ธ ํ์ฌ ์ ์กฐ๊ณต์ ์ธ DC ์ฃผ์กฐ โ ๊ท ์งํ์ฒ๋ฆฌ โ์ด๊ฐ์์ฐ โ๋๊ฐ์์ฐ โ์ฉ์ฒดํ์ฒ๋ฆฌ โ ์ํจ๊ฒฝํ์ฒ๋ฆฌ(T6)์ ๊ณต์ ์ผ๋ก ์ ์กฐ๋์๋ค. ํ 1์ ์ ๋๊ฒฐํฉ ํ๋ผ์ฆ๋ง ๋ถ๊ด๋ถ์๊ธฐ(inductively coupled plasma-optical emission spectrometer, ICP-OES,
ICAP-6500, Thermo Scientific, UK)๋ฅผ ์ด์ฉํ์ฌ 7075-T6 ํฉ๊ธ ํ์ฌ์ ํํ์ฑ๋ถ์ ์ธก์ ํ์๋ค.
๊ทธ๋ฆผ 1์ 7075-T6 ํฉ๊ธ ํ์ฌ์ ํ์ ์ด์ฒ๋ฆฌ ๊ณต์ ๊ณผ ์กฐ๊ฑด์ ๋์ํํ์ฌ ๋ํ๋๋ค. 7075-T6 ํฉ๊ธ ํ์ฌ์ ์ฉ์ฒดํ์ฒ๋ฆฌ๋ ์ผ์๋ก(salt bath)๋ฅผ
์ด์ฉํ์ฌ 400 ยฐC, 450 ยฐC, 470 ยฐC ์จ๋์์ ๊ฐ๊ฐ 5๋ถ, 10๋ถ, 20๋ถ๊ฐ ์ ์ง ํ ์๋ํ์๋ค. ๊ฐ ์กฐ๊ฑด์์ ์ ์กฐ๋ ์ํํธ์ ๊ธฐ๊ณ์
ํน์ฑ ํ๊ฐ ๊ฒฐ๊ณผ, ์ฉ์ฒดํ์ฒ๋ฆฌ ์๊ฐ์ ๋ฐ๋ฅธ ์ฐจ์ด๋ ์์์ผ๋ฉฐ ์ด๋ฅผ ๋ณด์ถฉ์๋ฃ์ ๊ธฐ์ฌํ์๋ค(ํ S1, ๊ทธ๋ฆผ S1). ์ค์ ์์ฉ ์ ๊ณต์ ์ ์ ์์ฑ์ ๊ณ ๋ คํ์ฌ ์ฉ์ฒดํ์ฒ๋ฆฌ ์๊ฐ์ 5๋ถ์ผ๋ก ๊ณ ์ ํ์์ผ๋ฉฐ, ์๋ฃ ๋ช
๊ณผ ์ด์ฒ๋ฆฌ ์กฐ๊ฑด์ ํ 2์ ๋ํ๋๋ค.
์ด ํ ์์ฐ์ํจ๋ ์์จ์์ 1์ฃผ์ผ ๊ฐ ์ค์ํ์์ผ๋ฉฐ, ์๋น์ํจ์ฒ๋ฆฌ ๋ฐ ์๋ถ๊ฒฝํ์ฒ๋ฆฌ๋ ์ค์ผ๋ฒ ์ค(WHB-11, Daihan, Korea)๋ฅผ ์ด์ฉํ์๋ค.
์๋น์ํจ์ฒ๋ฆฌ๋ ์ ํ์ฐ๊ตฌ ๊ฒฐ๊ณผ๋ฅผ ์ฐธ์กฐํ์ฌ ์๋ถ๊ฒฝํ๋ฅ์ด ์ฐ์ํ ์กฐ๊ฑด์ธ 120 ยฐC์์ 30๋ถ๊ฐ ์ ์ง ํ ์๋ํ์์ผ๋ฉฐ [17], ์๋ถ๊ฒฝํ์ฒ๋ฆฌ๋ 180 ยฐC์์ 30๋ถ๊ฐ ์ ์ง ํ ์๋ํ์๋ค.
7075-T6 ํฉ๊ธ ํ์ฌ์ ์ฉ์ฒดํ์ฒ๋ฆฌ์ ๋ฐ๋ฅธ ๋ฏธ์ธ์กฐ์ง ๋ณํ๋ฅผ ๋ถ์ํ๊ธฐ ์ํด ๊ดํ ํ๋ฏธ๊ฒฝ(optical microscope, OM, MA200, Nikon,
Japan), X์ ํ์ ๊ธฐ(X-ray diffractometer, XRD, D/Max-2500, Rigaku, Japan) ๋ฐ ์ ๊ณ๋ฐฉ์ฌํ ์ฃผ์ฌ์ ์ํ๋ฏธ๊ฒฝ(field-emission
scanning electron microscope, FE-SEM, JSM-7100F, JEOL, Japan)์ ์ด์ฉํ์๋ค. ๋ฏธ์ธ์กฐ์ง ๊ด์ฐฐ์ ์ํ์ฌ
์ํธ์ ๊ธฐ๊ณ ์ฐ๋ง ํ ์ ํด์์นญ ๋ฐ ํํ์์นญ์ ์ค์ํ์๋ค. X์ ํ์ ๋ถ์์ 40 kV, 100 mA ์กฐ๊ฑด์ Cu-Kฮฑ์ ์ ์ฌ์ฉํ์์ผ๋ฉฐ 30~90ยฐ์
2ฮธ ๋ฒ์์์ ์ค์ํ์๋ค. ์ถ๊ฐ๋ก ๊ธฐ์ง์ 2์ฐจ์์ ์กฐ์ฑ๋ถ์์ ์ํด ์ฃผ์ฌ์ ์ํ๋ฏธ๊ฒฝ์ ์๋์ง ๋ถ์ฐํ ๋ถ๊ด๋ถ์๋ฒ(Energy dispersive spectroscopy,
EDS)์ ์ด์ฉํ์ฌ ์ ๋ถ์(point analysis)ํ์๋ค. 2์ฐจ์์ ์ ๋๋ถ์์ ๊ดํํ๋ฏธ๊ฒฝ(Optical Microscopy, OM)์ผ๋ก ๋ฏธ์ธ์กฐ์ง
์ฌ์ง์ ์ดฌ์ํ ํ, ์ด๋ฏธ์ง ๋ถ์ ํ๋ก๊ทธ๋จ(iSolution DT x64 (IMS digital))์ ์ด์ฉํ์ฌ ๋ถํผ๋ถ์จ๊ณผ ํ๊ท ํฌ๊ธฐ๋ฅผ ์ฐ์ถํ์๋ค.
์ฉ์ฒดํ์ฒ๋ฆฌ ๋ฐ ์ํจ์ฒ๋ฆฌ ํ ๊ธฐ๊ณ์ ํน์ฑ ๋ณํ๋ฅผ ๊ด์ฐฐํ๊ธฐ ์ํด ๋ง์ดํฌ๋ก ๋น์ปค์ค ๊ฒฝ๋๊ณ(HM-122, Mitutoyo, Japan)์ ์ธ์ฅ์ํ๊ธฐ(Instron
5982, Instron, USA)๋ฅผ ์ด์ฉํ์๋ค. ๊ฒฝ๋์ํ์ ํ์ค 200 g, ์ ์ง์๊ฐ 10์ด์ ์กฐ๊ฑด์ผ๋ก ์ธก์ ํ์์ผ๋ฉฐ, ์ธ์ฅ์ํ์ 1.5 mm/min์
cross head speed ์กฐ๊ฑด์์ 25 mm ์ ์ฅ๊ณ๋ฅผ ์ด์ฉํ์ฌ ์ธก์ ํ์๋ค. ์ธ์ฅ์ํ์ ์ํธ์ ๋ฏธ๊ตญ์ฌ๋ฃ์ํํํ(American society for
testing and material, ASTM) E-8M ๊ท๊ฒฉ์ ๋ฐ๋ผ ์ธ์ฅ๋ฐฉํฅ๊ณผ ์์ฐ๋ฐฉํฅ์ด ์ผ์นํ๋๋ก ์ฑ์ทจํ์๋ค.
์ฉ์ฒดํ์ฒ๋ฆฌ ๋ฐ ์ํจ์ฒ๋ฆฌ์ ๋ฐ๋ฅธ ์์ถ๋ฌผ์ ์์ฑ ๊ฑฐ๋์ ๋ถ์ํ๊ธฐ ์ํด ์์ฐจ์ฃผ์ฌ์ด๋๊ณ(differential scanning calorimeter, DSC,
DSC8000, Perkin-Elmer, USA) ๋ฐ ํฌ๊ณผ์ ์ํ๋ฏธ๊ฒฝ(transmission electron microscopy, TEM, JEOL-2100F,
JEOL, Japan)์ ์ด์ฉํ์๋ค. ์์ฐจ์ฃผ์ฌ์ด๋๊ณ์ ์ํธ์ ์ฝ 20~30 mg์ ์๋ฐํ์ผ๋ก ์ฑ์ทจํ์์ผ๋ฉฐ, 20.0 ml/min์ ์๋ฅด๊ณค ๊ฐ์ค ๋ถ์๊ธฐ์์
10 ยฐC/min์ ์น์จ ์๋๋ก ์ด๋๋ณํ๋ฅผ ๋ถ์ํ์๋ค. ํฌ๊ณผ์ ์ํ๋ฏธ๊ฒฝ์ ์ํธ์ ๊ธฐ๊ณ ์ฐ๋ง๋ฅผ ํตํด ์ฝ 80 um์ ๋๊ป๋ฅผ ๊ฐ๋ ๋ฐํธ์ผ๋ก ์ ์กฐํ์๋ค.
์ด ํ Nital (25% HNO3 + 75% Methanol) ์ฉ์ก์ ์ด์ฉํ์ฌ -25 ยฐC, 15 V ์กฐ๊ฑด์์ ์ ํธํด๋ฆฌ์ฑ(jet polishing)ํ์์ผ๋ฉฐ, ๊ฐ์์ ์ 200 kV์์
์์ถ์์ ๊ด์ฐฐํ์๋ค.
3. ๊ฒฐ๊ณผ ๋ฐ ๊ณ ์ฐฐ
3.1 7075-T6 ์ด๊ธฐ์ฌ์ ๋ฏธ์ธ์กฐ์ง ๋ฐ ๊ธฐ๊ณ์ ํน์ฑ
๋ณธ ์ฐ๊ตฌ์ ์ฌ์ฉ๋ ๋๊ป 1.0 mm์ธ 7075-T6 ์ด๊ธฐ์ฌ ๋ฐ ์ฉ์ฒดํ์ฒ๋ฆฌ๋ ์ํธ๋ค์ ์๋ถ์์ ์ํด XRD ๋ถ์์ ์งํํ์ฌ ๊ทธ๋ฆผ 2์ ๋ํ๋๋ค. ์ด๊ธฐ์ฌ ๋ฐ ์ฉ์ฒดํ์ฒ๋ฆฌ๋ ์ํธ๋ค์์ ๊ณตํต์ ์ผ๋ก ฮฑ-Al๊ณผ Al23CuFe4์์ ํ์ ํผํฌ๊ฐ ๋ํ๋ฌ์ผ๋ฉฐ(๊ทธ๋ฆผ 2(a)), ST400์์๋ ์ถ๊ฐ๋ก ฮท์์ ํ์ ํผํฌ๊ฐ ๋ํ๋ฌ๋ค(๊ทธ๋ฆผ 2(b)). XRD ํ์ ํผํฌ๋ International Center for Diffraction Data (ICDD)๋ฅผ ๊ธฐ๋ฐ์ผ๋ก indexing ํ์์ผ๋ฉฐ
ํด๋น ํผํฌ์ pdf search number์ space group์ ฮฑ-Al (04-0787, Fm-3m), ฮท (77-1177, P63/mmc), Al23CuFe4 (28-0010, Cmc21)์ด๋ค.
7075-T6 ์ด๊ธฐ์ฌ์ ๋ฏธ์ธ์กฐ์ง์ ๊ทธ๋ฆผ 3์ ๋ํ๋๋ค. ๊ทธ๋ฆผ 3(a)๋ ์ด๊ธฐ์ฌ์ ์ ํด์์นญ ํ ๋จ๋ฉด(transverse direction, TD)์ ๋ํ๋ธ ๋ฏธ์ธ์กฐ์ง ์ฌ์ง์ผ๋ก ์์ฐ ๋ฐฉํฅ์ ๋ฐ๋ผ ์ฐ์ ๋ ๊ฒฐ์ ๋ฆฝ์ด ๊ด์ฐฐ๋์๋ค.
๊ทธ๋ฆผ 3(b)๋ ์ด๊ธฐ์ฌ์ ํํ์์นญ ํ ๋ฏธ์ธ์กฐ์ง ์ฌ์ง์ผ๋ก ํ๊ท ํฌ๊ธฐ ์ฝ 4.5 um์ Al23CuFe4์์ด ๊ด์ฐฐ๋์์ผ๋ฉฐ SEM-EDS ๊ฒฐ๊ณผ 78.6Al-5.6Cu-16.4Fe (at.%)์ ํํ์กฐ์ฑ์ผ๋ก ๋ํ๋ฌ๋ค. ์ด๋ ์์ XRD์์ ๊ด์ฐฐ๋ ๋ฏธ์ธ์กฐ์ง๊ณผ
์ผ์นํ๋ค(๊ทธ๋ฆผ 2). ๊ทธ๋ฆผ 3(c)๋ [001]Al ์ ๋์ถ์์์ ๊ณ ๋ฐฐ์จ ๋ฏธ์ธ์กฐ์ง ์ฌ์ง ๋ฐ ์ ํ์์ผ ํ์ ํจํด(selected area diffraction pattern, SADP)์ ๋ํ๋๋ค. ํ์ ํจํด์
๋ฏธ์ธ์กฐ์ง์์ ๊ธฐ์ง์ 2์ฐจ์์ ํจ๊ป ์ดฌ์ํ์ฌ ์ป์๋ค. ๋ฏธ์ธ์กฐ์ง ์ฌ์ง์ ํตํด ์ฃผ์ ์์ผ๋ก๋ ๊ธฐ์ง ๋ด์ ๊ท ์ผํ๊ฒ ๋ถํฌ๋ ฮทโฒ์์ด ๊ด์ฐฐ๋์์ผ๋ฉฐ, ํ์ ํจํด์
ํตํด GPI๊ณผ ฮทโฒ์์ด ์กด์ฌํ๋ ๊ฒ์ ํ์ธํ์๋ค. ์ด๋ ์ ํ์ฐ๊ตฌ๋ฅผ ํตํด TEM์ผ๋ก ๋ถ์๋ GPI๊ณผ ฮทโฒ์์ ํ์ ํจํด ๊ฒฐ๊ณผ์ ์ ์ผ์นํ๋ค(๊ทธ๋ฆผ S2) [18,19]. ์์ ๊ฒฐ๊ณผ๋ฅผ ํตํด ๋ณธ ์ฐ๊ตฌ์์ ์ฌ์ฉ๋ 7075-T6 ์ด๊ธฐ์ฌ์ ์ฃผ์ ๊ฐํ์์ ฮทโฒ์์ธ ๊ฒ์ผ๋ก ํ์ธ๋์๋ค. 7075-T6 ์ด๊ธฐ์ฌ์ ๊ธฐ๊ณ์ ํน์ฑ์ ๊ฒฝ๋
179 Hv, ์ธ์ฅ๊ฐ๋ 576 MPa, ํญ๋ณต๊ฐ๋ 513 MPa, ์ฐ์ ์จ 15.6%๋ก ๋ํ๋ฌ๋ค.
3.2 ์ฉ์ฒดํ์ฒ๋ฆฌ ์จ๋์ ๋ฐ๋ฅธ ๋ฏธ์ธ์กฐ์ง ๋ณํ
๊ทธ๋ฆผ 4๋ ์ฉ์ฒดํ์ฒ๋ฆฌ ํ OM์ผ๋ก ๊ด์ฐฐํ ๋ฏธ์ธ์กฐ์ง์ ๋ํ๋๋ค. ์ฉ์ฒดํ์ฒ๋ฆฌ ์ ์ด๊ธฐ์ฌ์ ๋์ผํ๊ฒ Al23CuFe4์์ด ๊ด์ฐฐ๋์๋ค. ์ฉ์ฒดํ์ฒ๋ฆฌ ์จ๋๊ฐ ์ฆ๊ฐํจ์ ๋ฐ๋ผ Al23CuFe4์์ ๋ถํผ ๋ถ์จ ๋ฐ ํฌ๊ธฐ๋ ํฐ ๋ณํ๊ฐ ์์๋ค(ํ 3). ์ด๋ ๊ธฐ์กด์ ๋ณด๊ณ ๋ ์ฐ๊ตฌ๊ฒฐ๊ณผ์ ์ผ์นํ๋ฉฐ ์ฉ์ฒดํ์ฒ๋ฆฌ ์ Al23CuFe4์์ ์ฉํด๋์ง ์๋ ๊ฒ์ผ๋ก ํ๋จ๋๋ค [20,21]. ๋ํ ST450๊ณผ ST470์์๋ ๋ฐ๊ฒฌ๋์ง ์์ง๋ง, ST400์์๋ ๊ฒฐ์ ๋ฆฝ๊ณ์ ๋ฏธ์ธํ ์์ด ๊ด์ฐฐ๋์์ผ๋ฉฐ ์ด๋ XRD ๋ถ์๊ฒฐ๊ณผ ฮท์์ผ๋ก ํ๋จ๋๋ค(๊ทธ๋ฆผ 2(b)). ๊ฐ ์์ ๋ํ ํ์๊ณผ ์กฐ์ฑ์ ๋ณด๋ค ์ ํํ ์กฐ์ฌํ๊ธฐ ์ํด ์ ์ํ๋ฏธ๊ฒฝ์ ์ด์ฉํ์ฌ ๋ฏธ์ธ์กฐ์ง์ ๊ด์ฐฐํ์๋ค.
๊ทธ๋ฆผ 5๋ ์ฉ์ฒดํ์ฒ๋ฆฌ์ ๋ฐ๋ฅธ SEM ๋ฏธ์ธ์กฐ์ง ์ฌ์ง์ ๋ํ๋๋ค. ์ฉ์ฒดํ์ฒ๋ฆฌ ์จ๋์ ๋ฐ๋ผ ํฐ ์ฐจ์ด ์์ด ๋ชจ๋ ์กฐ๊ฑด์์ Al23CuFe4์์ด ๊ด์ฐฐ๋์๋ค. ๋ค๋ง, ST400์์๋ ๊ทธ๋ฆผ 4์ OM ์ฌ์ง์์์ ๋ง์ฐฌ๊ฐ์ง๋ก ๊ฒฐ์ ๋ฆฝ๊ณ์ ๋ฏธ์ธํ ฮท์์ด ๊ด์ฐฐ๋์๋ค(๊ทธ๋ฆผ 2, 4).
๊ทธ๋ฆผ 6์ ST400์์ ์
๊ณ์์ถ๋ฌผ์ ์๋ถ์์ ์ํ TEM ๋ฐ EDS mapping ๊ฒฐ๊ณผ๋ฅผ ๋ํ๋๋ค. ์
๊ณ์๋ ฮท์์ด ๊ด์ฐฐ๋์์ผ๋ฉฐ EDS ๊ฒฐ๊ณผ 69.7Al-13.4Mg-9.7Zn-7.2Cu
(at.%)์ธ ํํ์กฐ์ฑ์ ๋ณด์๋ค. ๋ํ ๊ธฐ์ง์๋ ์ผ๋ถ Cr-rich์์ด ๊ด์ฐฐ๋๊ธฐ๋ ํ์๋ค. ์ผ๋ฐ์ ์ผ๋ก Al-Zn-Mg-Cu๊ณ ํฉ๊ธ์ ๊ณผ์ํจ์ฒ๋ฆฌ ์
ฮท์์ด ์
๊ณ์์ถ๋ฌผ๋ก ์กด์ฌํ๊ณ MgZn2 ํํ์์ Cu์์๊ฐ Zn์์๋ฅผ ์นํํ์ฌ Mg(Cu,Zn)2๋ก ๋ํ๋๋ฉฐ ๊ณผ์ํจ๊ฐ ์งํ๋จ์ ๋ฐ๋ผ ์
๊ณ์์ถ๋ฌผ์ Cu ํจ๋์ ์ฆ๊ฐํ๋ค๊ณ ๋ณด๊ณ ๋ ๋ฐ ์๋ค [22-24]. ํ 3์ ์ฉ์ฒดํ์ฒ๋ฆฌ ํ ํ๊ท ๊ธฐ์ง ์กฐ์ฑ์ ๋ํ๋ด์์ผ๋ฉฐ, ์ฉ์ฒดํ์ฒ๋ฆฌ ์จ๋๊ฐ ์ฆ๊ฐํจ์ ๋ฐ๋ผ ๊ธฐ์ง ๋ด Zn, Mg ๋ฐ Cu ์์์ ํจ๋์ด ์ฆ๊ฐํ์๋ค. ST400์์๋
๋ฎ์ ์ฉ์ฒดํ์ฒ๋ฆฌ ์จ๋๋ก ์ธํด ฮทโฒ์์ ์ฌ๊ณ ์ฉ์ด ์ถฉ๋ถํ ์ผ์ด๋์ง ์์ ๊ธฐ์ง ๋ด์ ์ฉ์ง์์์ ํจ๋์ด ๊ฐ์ฅ ๋ฎ์๋ค. ๋ฐ๋ผ์ ST400์์ ์์ ํ ๊ณ ์ฉ๋์ง
์์ ฮทโฒ์์ ๊ณผ์ํจ๋์ด ์
๊ณ์์ Cu๊ฐ ์นํ๋ ฮท-Mg(Cu,Zn)2์์ผ๋ก ๋ณํํ ๊ฒ์ผ๋ก ํ๋จ๋๋ค.
3.3 ์ฉ์ฒดํ์ฒ๋ฆฌ ์จ๋์ ๋ฐ๋ฅธ ๊ธฐ๊ณ์ ํน์ฑ ๋ณํ
์ฉ์ฒดํ์ฒ๋ฆฌ ์งํ ํ์ฌ๋ฅผ ์ฐจ์ฒด๋ก ์ฑํํ๋ ๊ฒ์ ์ด๋ ค์ฐ๋ฉฐ ์์จ์์ ๋ฐฉ์น๋จ์ ๋ฐ๋ผ ์์ฐ์ํจ๊ฐ ์งํ๋๋ค. ๋ฐ๋ผ์ ์ฉ์ฒดํ์ฒ๋ฆฌ ํ ์์ฐ์ํจ์ ๋ฐ๋ฅธ ๊ธฐ๊ณ์ ํน์ฑ์
ํ๊ฐํ์๋ค.
๊ทธ๋ฆผ 7์ 7075-T6 ์ด๊ธฐ์ฌ์ ์ฉ์ฒดํ์ฒ๋ฆฌ ํ ์์ฐ์ํจ ๊ฒฝ๊ณผ์ ๋ฐ๋ฅธ ๊ฒฝ๋ ๋ณํ๋ฅผ ๋ํ๋๋ค. 7075-T6 ์ด๊ธฐ์ฌ๋ฅผ ์ฉ์ฒดํ์ฒ๋ฆฌ ์ ๊ธ๊ฒฉํ ๊ฒฝ๋์ ๊ฐ์๊ฐ ๋ํ๋๋ฉฐ
ST400, ST450, ST470์์ ๊ฒฝ๋๋ ๊ฐ๊ฐ 76 Hv, 82 Hv, 83 Hv๋ก ๋ํ๋ฌ๋ค(๊ทธ๋ฆผ 7(b)). ์ฉ์ฒดํ์ฒ๋ฆฌ ์จ๋ ์ฆ๊ฐ์ ๋ฐ๋ฅธ ๊ฒฝ๋๊ฐ์ ์ฆ๊ฐ๋ ์ด๊ธฐ์ฌ์ ์ฃผ์ ๊ฐํ์์ธ ฮทโฒ์์ ์ฌ๊ณ ์ฉ์ผ๋ก ์ธํด ๊ธฐ์ง ๋ด Zn์ Mg์ ๊ณ ์ฉ๋๊ฐ ์ฆ๊ฐํ๊ธฐ ๋๋ฌธ์ด๋ค(ํ 3). ์ดํ ์์ฐ์ํจ ๊ฒฝ๊ณผ์ ๋ฐ๋ผ ์ด๊ธฐ์ ๊ฒฝ๋๋ ๊ธ๊ฒฉํ๊ฒ ์ฆ๊ฐํ๊ณ 1์ฃผ์ผ(168์๊ฐ) ํ ๊ฐ๊ฐ 118 Hv, 133 Hv, 134 Hv๋ก ์๋ ดํ์๋ค(๊ทธ๋ฆผ 7(a)). ์์ฐ์ํจ ์ /ํ ๊ฒฝ๋ ์ฆ๊ฐ๋ถ(ฮHv = Hvafter NA โ Hvbefore NA)์ ๊ฐ๊ฐ 42 Hv, 51 Hv, 51 Hv๋ก ๋ํ๋ฌ์ผ๋ฉฐ, ๊ทธ๋ฆผ 7(b)๋ฅผ ํตํด ST400์์๋ ์์ฐ์ํจ ๊ฒฝ๊ณผ์ ๋ฐ๋ผ ๊ฒฝ๋๊ฐ ๋๋ฆฐ ์๋๋ก ์ฆ๊ฐํ๋ ๋ฐ๋ฉด, ST450๊ณผ ST470์์๋ ๊ฒฝ๋๊ฐ ๋น๊ต์ ๋น ๋ฅธ ์๋๋ก ์ฆ๊ฐํ์๋ค.
์ฆ, ์ฉ์ฒดํ์ฒ๋ฆฌ ์จ๋๊ฐ ๋์์๋ก ๊ณ ์ฉ๋๊ฐ ๋๊ธฐ ๋๋ฌธ์ ์์ฐ์ํจ์ ์ํ GP zone์ ํ์ฑ์ผ๋ก ๊ฒฝ๋ ์์น์ด ์ฆ๊ฐํ๋ค๊ณ ํ๋จ๋๋ค.
๊ทธ๋ฆผ 8์ 7075-T6 ์ด๊ธฐ์ฌ์ ์ฉ์ฒดํ์ฒ๋ฆฌ ์งํ ์ธ์ฅ ํน์ฑ์ ๋น๊ตํ์ฌ ๋ํ๋๋ค. ์ด๊ธฐ์ฌ๋ ์ฉ์ฒดํ์ฒ๋ฆฌ ์งํ ์ธ์ฅ๊ฐ๋์ ํญ๋ณต๊ฐ๋๊ฐ ํฌ๊ฒ ๊ฐ์ํ์์ผ๋ฉฐ ์ฐ์ ์จ์ด
์ฆ๊ฐํ์๋ค(๊ทธ๋ฆผ 8(a)). ST400์์๋ ํญ๋ณต๊ฐ๋ 121 MPa, ์ธ์ฅ๊ฐ๋ 327 MPa, ์ฐ์ ์จ 20.0%์ด์๊ณ , ์ฉ์ฒดํ์ฒ๋ฆฌ ์จ๋๊ฐ ์ฆ๊ฐํจ์ ๋ฐ๋ผ ํญ๋ณต๊ฐ๋ ๋ฐ ์ธ์ฅ๊ฐ๋๊ฐ
์ํญ ์ฆ๊ฐํ์์ผ๋ฉฐ ์ฐ์ ์จ์ ๊ฒฝ์ฐ ST450๊ณผ ST470์์ ์ฝ 23%์ด์๋ค(๊ทธ๋ฆผ 8(b)). ST400์์์ ๋ฎ์ ์ฐ์ ์จ์ ๊ณผ์ํจ๋ก ์ธํด ์
๊ณ์ ํ์ฑ๋ ฮท์์ด ์์ธ์ผ๋ก ํ๋จ๋๋ค. ๋ํ ์ฉ์ฒดํ์ฒ๋ฆฌ๋ฅผ ์งํํ ๋ชจ๋ ์ํธ์์ Serration์ด
๋ํ๋ฌ์ผ๋ฉฐ(๊ทธ๋ฆผ 8(a)), ์ด๋ ์ฉ์ฒดํ์ฒ๋ฆฌ ํ ๊ธ๋ ์ ์ฉ์ง์์๊ฐ ๋น ๋ฅด๊ฒ ํ์ฐํ๋ฉฐ ์์ฑ๋ณํ ๊ณผ์ ์์ ์ด๋๊ฐ๋ฅํ ์ ์์์ ์ํธ์์ฉ์ผ๋ก ์ธํ pinning & depinning
๊ณผ์ ์ ๋ฐ๋ณต์ผ๋ก ๋ํ๋๋ ํน์ง์ผ๋ก ์๋ ค์ ธ์๋ค [25].
๊ทธ๋ฆผ 9๋ ์ฉ์ฒดํ์ฒ๋ฆฌ(ST) ํ ์์ฐ์ํจ(NA) ๋ฐ ์๋ถ๊ฒฝํ์ฒ๋ฆฌ(BH)์ ๋ฐ๋ฅธ ์ธ์ฅํน์ฑ์ ๋ํ๋๋ค. ๊ทธ๋ฆผ 9(a,b)๋ ์์ฐ์ํจ ํ ์ธ์ฅํน์ฑ์ผ๋ก ST400์์๋ ํญ๋ณต๊ฐ๋ 244 MPa, ์ธ์ฅ๊ฐ๋ 451 MPa, ์ฐ์ ์จ 21.3%์ด์๋ค. ST450์์๋ ํญ๋ณต๊ฐ๋ 303
MPa, ์ธ์ฅ๊ฐ๋ 509 MPa, ์ฐ์ ์จ 22.4%๋ก ์ฉ์ฒดํ์ฒ๋ฆฌ ์จ๋์ ์ฆ๊ฐ์ ๋ฐ๋ผ ๊ฐ๋ ๋ฐ ์ฐ์ ์จ์ด ์ฆ๊ฐํ์๋ค. ST470์์๋ ํญ๋ณต๊ฐ๋ 304
MPa, ์ธ์ฅ๊ฐ๋ 511 MPa, ์ฐ์ ์จ 22.3%๋ก ์ฉ์ฒดํ์ฒ๋ฆฌ ํ ์์ฐ์ํจ ์ ํญ๋ณต๊ฐ๋์ ์ธ์ฅ๊ฐ๋๋ ์ฆ๊ฐํ๊ณ ์ฐ์ ์จ์ ํฐ ๋ณํ๊ฐ ์์๋ค(๊ทธ๋ฆผ 8(b), 9(b)). ๊ทธ๋ฆผ 9(c,d)๋ ์๋ถ๊ฒฝํ์ฒ๋ฆฌ ํ ์ธ์ฅํน์ฑ์ผ๋ก ST400์์๋ ํญ๋ณต๊ฐ๋ 210 MPa, ์ธ์ฅ๊ฐ๋ 370 MPa, ์ฐ์ ์จ 18.5%์ด์๋ค. ST450์์๋ ํญ๋ณต๊ฐ๋
325 MPa, ์ธ์ฅ๊ฐ๋ 449 MPa, ์ฐ์ ์จ 17.6%์ด์์ผ๋ฉฐ, ST470์์๋ ํญ๋ณต๊ฐ๋ 330 MPa, ์ธ์ฅ๊ฐ๋ 452 MPa, ์ฐ์ ์จ 17.2%์ด์๋ค.
์ฆ ์๋ถ๊ฒฝํ์ฒ๋ฆฌ ์ /ํ ์ธ์ฅํน์ฑ์ ๋น๊ตํ ๋, ST470๊ณผ ST450์์ ํญ๋ณต๊ฐ๋๋ ์ํญ ์ฆ๊ฐํ๊ณ , ์ธ์ฅ๊ฐ๋์ ์ฐ์ ์จ์ ์ผ๋ถ ๊ฐ์ํ์๋ค(๊ทธ๋ฆผ 9(b,d)). ๋ฐ๋ฉด์ ST400์์๋ ํญ๋ณต๊ฐ๋, ์ธ์ฅ๊ฐ๋ ๋ฐ ์ฐ์ ์จ ๋ชจ๋ ๊ฐ์ํ์๋ค(๊ทธ๋ฆผ 9(b,d)). ์๋ถ๊ฒฝํ์ฒ๋ฆฌ ์ /ํ ํญ๋ณต๊ฐ๋ ์ฆ๊ฐ๋ถ(ฮYS = YSafter BH โYSbefore BH)์ ST400, ST450, ST470์์ ๊ฐ๊ฐ -34 MPa, 22 MPa, 26 MPa๋ก ๋ํ๋ฌ์ผ๋ฉฐ, ์์ฐ์ํจ ํ ์๋ถ๊ฒฝํ์ฒ๋ฆฌ ์ ์ถ๊ฐ์ ์ธ ํญ๋ณต๊ฐ๋์
ํฅ์์ ์์๋ค.
3.4 ์ฉ์ฒดํ์ฒ๋ฆฌ ๋ฐ ์ํจ์ฒ๋ฆฌ์ ๋ฐ๋ฅธ ์์ถ ๊ฑฐ๋ ๋ณํ
๊ธฐ๊ณ์ ํน์ฑ ๋ณํ์์ T6 ์ด๊ธฐ์ฌ๋ฅผ 400 ยฐC, 450 ยฐC, 470 ยฐC์์ ์ฉ์ฒดํ์ฒ๋ฆฌ ์ ์ฐ์ฑ์ ์ฆ๊ฐํ์ง๋ง ๊ฐ๋๋ ๊ฐ์ํ์๋ค. ๋ํ ์ด๋ฅผ ์์ฐ์ํจ
ํ ์๋ถ๊ฒฝํ์ฒ๋ฆฌ ์ ์ถ๊ฐ์ ์ธ ํญ๋ณต๊ฐ๋์ ํฅ์์ ์ ์์ผ๋ฉฐ ์ด๋ฌํ ์ํจ ๊ฑฐ๋์ ์ฉ์ฒดํ์ฒ๋ฆฌ ์จ๋์ ๋ฐ๋ผ ๋ค๋ฅธ ๊ฐ์ ๋ํ๋๋ค. ํนํ ์ฉ์ฒดํ์ฒ๋ฆฌ ์จ๋๊ฐ ๋ฎ์
๋, ์๋ถ๊ฒฝํ์ฒ๋ฆฌ ํ ๊ฐ๋์ ์ฆ๊ฐ๋ณด๋ค๋ ๊ฐ๋๊ฐ ๊ฐ์ํ๋ ํน์ง์ด ๋ํ๋ฌ๋ค. ๋ฐ๋ผ์ ์ฉ์ฒดํ์ฒ๋ฆฌ ๋ฐ ์ํจ์ฒ๋ฆฌ์ ๋ฐ๋ฅธ ์์ถ๊ฑฐ๋ ๋ณํ๋ฅผ ํ์ธํ๊ธฐ ์ํด DSC
๋ฐ TEM ๋ถ์์ ์ค์ํ์๋ค. ์ผ๋ฐ์ ์ผ๋ก Al-Zn-Mg-Cu๊ณ ํฉ๊ธ์ ์์ถ ๊ฑฐ๋์ ๋ค์๊ณผ ๊ฐ๋ค [26-28].
SSS (Supersaturated solid solution) โ GP zones (GPI and GPII) โ ฮทโฒ โ ฮท.
Al-Zn-Mg-Cu๊ณ ํฉ๊ธ์ ์ฉ์ฒดํ์ฒ๋ฆฌ ์ ๊ณผํฌํ ๊ณ ์ฉ์ฒด๋ฅผ ํ์ฑํ๋ฉฐ ์ดํ ์ํจ์ฒ๋ฆฌ ์ ๊ตฌํ์ GP zones (GPI and GPII)๊ณผ ฮทโฒ ๋ฐ
ฮท์์ ํ์ฑํ๋ค๊ณ ์๋ ค์ ธ์๋ค [29,30].
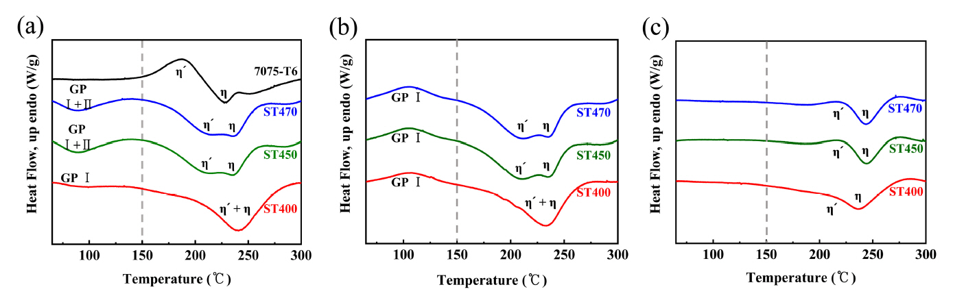
๊ทธ๋ฆผ 10์ ์ฉ์ฒดํ์ฒ๋ฆฌ ๋ฐ ์ํจ์ฒ๋ฆฌ์ ๋ฐ๋ฅธ DSC ๋ถ์ ๊ฒฐ๊ณผ๋ฅผ ๋ํ๋๋ค. DSC ๊ณก์ ์์ ํผํฌ์ ๋ฉด์ ์ ์์ถ๋ฌผ์ ๋ถํผ๋ถ์จ์ ๋น๋กํ๋ค [31]. ์ผ๋ฐ์ ์ผ๋ก Al-Zn-Mg-Cu๊ณ ํฉ๊ธ์์์ DSC ํผํฌ๋ 150 ยฐC ์ดํ์์ GP zone์ ์ํ ๋ฐ์, 150~300 ยฐC์์๋ ฮทโฒ์
๋ฐ ฮท์์ ์ํ ๋ฐ์์ด ๋ํ๋๋ฉฐ, 300 ยฐC ์ด์์์๋ ฮท์ ๋ฐ ๊ธฐํ ์์ฌ์์ด ๋ถํด๋๋ ๋ฐ์์ด ๋ํ๋๋ค [32].
๊ทธ๋ฆผ 10(a)์์ 7075-T6 ์ด๊ธฐ์ฌ๋ ์ฝ 188 ยฐC์์ ํก์ด๋ฐ์์ธ ฮทโฒ์์ ์ฉํดํผํฌ๊ฐ ์ต์ด๋ก ๋ํ๋ฌ์ผ๋ฉฐ, ์ด๋ ์ด๊ธฐ์ฌ์ ์ฃผ์ ๊ฐํ์์ธ ฮทโฒ์์ด ๋ค๋ ์กด์ฌํ๋ค๋
๊ฒ์ ๋ณด์ฌ์ค๋ค. ST400, ST450, ST470์์๋ ์ฝ 89 ยฐC์์ ๋ฐ์ด๋ฐ์์ธ GP zone์ ํ์ฑํผํฌ๊ฐ ๋ํ๋ฌ๋ค. ์ด ๋ ST400์์๋
GP zone ํ์ฑํผํฌ๊ฐ ์ฝํ๊ฒ ๋ํ๋ ๋ฐ๋ฉด, ST450๊ณผ ST470์์๋ GP zone์ ํ์ฑํผํฌ๊ฐ ๊ฐํ๊ฒ ๋ํ๋ฌ๋ค. ์ด๋ ์ฉ์ฒดํ์ฒ๋ฆฌ ์จ๋์ ๋ฐ๋ฅธ
๊ณ ์ฉ๋ ์ฐจ์ด์ ํ์ฑ๋๋ GP zone์ ์ข
๋ฅ์ ๊ธฐ์ธํ๋ค. GP zone์ GPI๊ณผ GPII์ ๋๊ฐ์ง ์ข
๋ฅ๋ก ๋๋๋ฉฐ, GPI์ 25~140 ยฐC๊น์ง์
์ํจ์ฒ๋ฆฌ๋ฅผ ํตํด์ ํ์ฑ๋ ์ ์๋ค [27]. ๋ฐ๋ฉด์ GPII๋ 450 ยฐC ์ด์์ ์ฉ์ฒดํ์ฒ๋ฆฌ ์จ๋ ๋ฐ 70 ยฐC ์ด์์์ ์ธ๊ณต์ํจ์ฒ๋ฆฌ ์ ํ์ฑ๋๋ค๊ณ ์๋ ค์ ธ ์๋ค [27]. ๋ฐ๋ผ์ ST400์์๋ GPI๋ง ํ์ฑ๋๋ฉฐ ST450๊ณผ ST470์์๋ GPI๊ณผ GPII๊ฐ ํ์ฑ๋๋ ๊ฒ์ผ๋ก ์์๋๋ค. ๋ํ ์ฉ์ฒดํ์ฒ๋ฆฌ ์จ๋ ์ฆ๊ฐ์
๋ฐ๋ผ ์ฉ์ง์์์ ๊ณ ์ฉ๋์ด ์ฆ๊ฐํ์ฌ GP zone์ ๋ถํผ๋ถ์จ์ด ์ฆ๊ฐํ๋ ๊ฒ์ผ๋ก ํ๋จ๋๋ค. GP zone์ ํ์ฑ ์ดํ, ์น์จ๋จ์ ๋ฐ๋ผ ST450๊ณผ ST470์์๋
ฮทยด์๊ณผ ฮท์์ ํ์ฑํผํฌ๊ฐ ์ฐจ๋ก๋ก ๋ํ๋๋ ๋ฐ๋ฉด์ ST400์์๋ ฮทยด์๊ณผ ฮท์์ ํ์ฑํผํฌ๊ฐ ์ค์ฒฉ๋์ด ๋ํ๋ฌ๋ค. ์ด๋ ์ฉ์ฒดํ์ฒ๋ฆฌ ์จ๋๊ฐ ๋ฎ์ ST400์์
์ฉ์ง์์์ ๊ณ ์ฉ๋์ด ์ ์ด ์ํจ์ฒ๋ฆฌ ์ ์ฌ์์ถ๋๋ ฮทยด์์ ์์ด ์ ๊ณ ์
๊ณ์์ถ๋ฌผ์ธ ฮท์์ ํ์ฑ์ด ์์ธ์ผ๋ก ํ๋จ๋๋ค (ํ 3, ๊ทธ๋ฆผ 6).
๊ทธ๋ฆผ 10(b)๋ ์์ฐ์ํจ ํ DSC ๋ถ์๊ฒฐ๊ณผ๋ฅผ ๋ํ๋๋ค. ST400, ST450, ST470 ๋ชจ๋ ์ฉ์ฒดํ์ฒ๋ฆฌ ํ ์์จ์์ ์์ฐ์ํจ๋ฅผ ์งํํ์ผ๋ฏ๋ก GPI์ด ํ์ฑ๋๋ค.
์ฆ, DSC ๋ถ์๊ฒฐ๊ณผ ์ฝ 104 ยฐC ๋ถ๊ทผ์์ ๋ํ๋๋ ์ฉํดํผํฌ๋ GPI์ผ๋ก ํ๋จ๋๋ค. ๋ฐ๋ผ์ ์์ฐ์ํจ๊ฐ ์งํ๋จ์ ๋ฐ๋ผ ๊ธฐ์ง์ ์ ํฉ๊ด๊ณ๋ฅผ ๊ฐ์ง๋ GPI์ด
ํ์ฑ๋๊ณ , ์ ์์ ์ด๋์ ๋ฐฉํดํ์ฌ ๊ฒฝ๋ ๋ฐ ๊ฐ๋๊ฐ ์ฆ๊ฐํ ๊ฒ์ผ๋ก ํ๋จ๋๋ค [33-35]. ๋ํ ์ฉ์ฒดํ์ฒ๋ฆฌ ์จ๋๊ฐ ST400์์ ST470์ผ๋ก ์ฆ๊ฐํจ์ ๋ฐ๋ผ GPI์ ์ฉํดํผํฌ์ ๋ฉด์ ์ด ์ฆ๊ฐํ์์ผ๋ฉฐ ๊ฐ๊ฐ 3.34 J/g, 4.01 J/g,
4.13 J/g๋ก ๋ํ๋ฌ๋ค. ์ฆ, ์ฉ์ฒดํ์ฒ๋ฆฌ ์จ๋๊ฐ ์ฆ๊ฐํ ์๋ก ์ฉ์ง์์์ ๊ณ ์ฉ๋์ ์ฆ๊ฐํ๋ฉฐ ์ด๋ก ์ธํด ์์ฐ์ํจ์ ํจ๊ณผ๊ฐ ์ฆ๊ฐํ๋ ๊ฒ์ผ๋ก ํ๋จ๋๋ค.
๊ทธ๋ฆผ 10(c)๋ ์๋ถ๊ฒฝํ์ฒ๋ฆฌ ํ DSC ๋ถ์๊ฒฐ๊ณผ๋ฅผ ๋ํ๋๋ค. ์ผ๋ฐ์ ์ผ๋ก ์์ฐ์ํจ๋ก ํ์ฑ๋ GPI์ ํฌ๊ธฐ๊ฐ ์๊ณ ๋ถ๊ท ์ผํ๊ฒ ๋ถํฌ๋์ด ์ฐจํ ์ธ๊ณต์ํจ ์ ๊ธฐ์ง๋ก ์ผ๋ถ
์ฉํด๋๊ฑฐ๋ ์๊ณํฌ๊ธฐ์ ๋๋ฌํ๋ฉด ฮทโฒ์์ผ๋ก ๋ณํ๋๋ ๊ฒ์ผ๋ก ์๋ ค์ ธ์๋ค [36-38]. ์์ฐ์ํจ ํ ์๋ถ๊ฒฝํ์ฒ๋ฆฌ ์ ST450๊ณผ ST470์์๋ ์ฝ 223 ยฐC์์ ฮทโฒ์์ ์ฉํดํผํฌ๊ฐ ๋ํ๋ฌ๋ค. ์ฆ, ์๋ถ๊ฒฝํ์ฒ๋ฆฌ ์ GPI์ด ฮทโฒ์์ผ๋ก
๋ณํ๋์์์ ์ ์ ์๋ค. ST400์์๋ ฮทโฒ์์ ์ฉํดํผํฌ๊ฐ ์ฝํ๊ฒ ๋ํ๋ฌ๋ค. ์ด๋ ์์ ์ธ๊ธํ ๋ฐ์ ๊ฐ์ด 400 ยฐC์์ ์ฉ์ฒดํ์ฒ๋ฆฌ ์ ์ฉ์ง์์์
๊ณ ์ฉ๋์ด ์ ์ด ฮทโฒ์์ ํต์์ฑ ์ฌ์ดํธ(nucleation site)์ธ GPI์ด ๋ถ์ถฉ๋ถํ์ฌ ์ถํ ์๋ถ๊ฒฝํ์ฒ๋ฆฌ ์ ์ฌ์์ถ๋๋ ฮทโฒ์์ด ์ ๊ธฐ ๋๋ฌธ์ด๋ค.
๋ฐ๋ผ์ ์์ฐ์ํจ ํ ์๋ถ๊ฒฝํ์ฒ๋ฆฌ ์ ST450๊ณผ ST470์์๋ ๊ธฐ์ง ๋ด ์ฉ์ง์์์ ๋์ ๊ณ ์ฉ๋๋ก ์ธํด ํญ๋ณต๊ฐ๋๊ฐ ์ํญ ์ฆ๊ฐํ ๋ฐ๋ฉด, ST400์์๋
๊ธฐ์ง ๋ด ์ฉ์ง์์์ ๋ฎ์ ๊ณ ์ฉ๋๋ก ์ธํด ์๋ถ๊ฒฝํ์ฒ๋ฆฌ ์ ฮทโฒ์์ ์ฌ์์ถ์ด ์ ๊ธฐ ๋๋ฌธ์ ํญ๋ณต๊ฐ๋์ ์ ํ๊ฐ ๋ํ๋ฌ๋ค(๊ทธ๋ฆผ 9(b,d)). ๊ทธ๋ฌ๋, ์ธ ์ํธ ๋ชจ๋ ์์ฐ์ํจ ํ ์๋ถ๊ฒฝํ์ฒ๋ฆฌ ์ ฮทโฒ์์ ์ฌ์์ถ์ด ํ๋ฐํ์ง ๋ชปํ์ฌ ํญ๋ณต๊ฐ๋์ ๊ฐ์ ํจ๊ณผ๋ ๋ฏธ๋ฏธํ์๋ค. ์ ํ์ฐ๊ตฌ์ ๋ฐ๋ฅด๋ฉด Al-Zn-Mg-Cu๊ณ
ํฉ๊ธ์์ ์๋น์ํจ์ฒ๋ฆฌ ์ ฮทโฒ์์ ํต์์ฑ์ฌ์ดํธ ์ญํ ์ ํ๋ GP zone์ ๋ค์ ํ์ฑํ์ฌ ์ดํ ์๋ถ๊ฒฝํ์ฒ๋ฆฌ ์ ฮทโฒ์์ ์์ถ์ด ํ๋ฐํด์ง๋ค๊ณ ์๋ ค์ ธ์๋ค
[17]. ๋ฐ๋ผ์ ์ด๋ฅผ ํ์ธํ๊ธฐ ์ํด 120 ยฐC์์ 30๋ถ๊ฐ ์๋น์ํจ์ฒ๋ฆฌ๋ฅผ ๋์
ํ๊ณ ์ธ์ฅํน์ฑ์ ํ๊ฐํ์๋ค.
์๋น์ํจ์ฒ๋ฆฌ๊ฐ ํญ๋ณต๊ฐ๋ ๊ฐ์ ์ ๋ฏธ์น๋ ์ํฅ์ ํ์ธํ๊ธฐ ์ํด ์ธ์ฅํน์ฑ์ ํ๊ฐํ๊ณ ๊ทธ๋ฆผ 11์ ๋ํ๋๋ค. ์์ ์ธ๊ธํ ๋ฐ์ ๊ฐ์ด ์์ฐ์ํจ ํ ์๋ถ๊ฒฝํ์ฒ๋ฆฌ ์ ์ถ๊ฐ์ ์ธ ํญ๋ณต๊ฐ๋์ ํฅ์์ ์์๊ณ , ์๋น์ํจ์ฒ๋ฆฌ๋ฅผ ๋์
ํ ๊ฒฐ๊ณผ ST400๊ณผ ST470์์
ํญ๋ณต๊ฐ๋๋ ๊ฐ๊ฐ 312 MPa, 454 MPa๋ก ์ฆ๊ฐํ์๋ค. ์ด๋ฅผ ์์ฐ์ํจ ์งํ ํญ๋ณต๊ฐ๋์ ๋น๊ตํ ๋, ST400์์๋ +68 MPa ์ฆ๊ฐํ์๊ณ ST470์์๋
+150 MPa๋ก ํฌ๊ฒ ์ฆ๊ฐํ์๋ค. ์ด๋ ST400์์ ์ฉ์ง์์์ ์ฌ๊ณ ์ฉ์ด ์ ๊ณ ์๋น์ํจ์ฒ๋ฆฌ ์ ฮทโฒ์์ ํต์์ฑ์ฌ์ดํธ๋ก GPI๋ง ํ์ฑํ๋ฏ๋ก(๊ทธ๋ฆผ 10(a)), ์๋ถ๊ฒฝํ์ฒ๋ฆฌ ์ ฮทโฒ์์ ์ฌ์์ถ์ด ์ ์ ๊ฒ์ผ๋ก ํ๋จ๋๋ค. ๋ฐ๋ฉด ST470์์๋ ์ฉ์ง์์์ ์ฌ๊ณ ์ฉ์ด ์ถฉ๋ถํ๊ณ ์๋น์ํจ์ฒ๋ฆฌ ์ GPI๊ณผ GPII๋ฅผ
ํ์ฑํ๋ฏ๋ก(๊ทธ๋ฆผ 10(a)), ์๋ถ๊ฒฝํ์ฒ๋ฆฌ ์ ฮทโฒ์์ ์ฌ์์ถ์ด ํ๋ฐํ ๊ฒ์ผ๋ก ํ๋จ๋๋ค.
๊ทธ๋ฆผ 12๋ ์ฉ์ฒดํ์ฒ๋ฆฌ ํ ์ํจ์ฒ๋ฆฌ์ ๋ฐ๋ฅธ TEM ๋ถ์๊ฒฐ๊ณผ๋ฅผ ๋ํ๋๋ค. ๊ทธ๋ฆผ 12(aโc)๋ ST400์์ ์ํจ์ฒ๋ฆฌ ํ ๊ณ ๋ฐฐ์จ ๋ฏธ์ธ์กฐ์ง ์ฌ์ง์ด๋ฉฐ, ๊ทธ๋ฆผ 12(dโf)๋ ST470์์ ์ํจ์ฒ๋ฆฌ ํ ๊ณ ๋ฐฐ์จ ๋ฏธ์ธ์กฐ์ง ์ฌ์ง์ด๋ค. ๊ทธ๋ฆผ 12(a,d)์ ํ์ ํจํด์ ํตํด ์ฉ์ฒดํ์ฒ๋ฆฌ ํ ์์ฐ์ํจ ์ GPI์ด ํ์ฑ๋ ๊ฒ์ ํ์ธํ์๋ค. ํ์ง๋ง ์์ ์ธ๊ธํ ๋ฐ์ ๊ฐ์ด ์์ฐ์ํจ๋ก ํ์ฑ๋ GPI์ ํฌ๊ธฐ๊ฐ ์๊ณ
๋ถ๊ท ์ผํ๊ฒ ๋ถํฌ๋์ด ๋ฏธ์ธ์กฐ์ง ์ฌ์ง์์ ๊ด์ฐฐํ๊ธฐ ์ด๋ ค์ ๋ค. ๊ทธ๋ฆผ 12(b,e)๋ ์์ฐ์ํจ ๋ฐ ์๋ถ๊ฒฝํ์ฒ๋ฆฌ ํ ๋ฏธ์ธ์กฐ์ง ์ฌ์ง์ด๋ฉฐ, ํ์ ํจํด์ ํตํด ฮทโฒ์์ด ์์ถ๋ ๊ฒ์ ํ์ธํ์๋ค. ๋ฐ๋ผ์ ์๋ถ๊ฒฝํ์ฒ๋ฆฌ ์ GPI์ด ฮทโฒ์์ผ๋ก ๋ณํ๋์์์
ํ์ธํ์๋ค. ๊ทธ๋ฆผ 12(b)์ (e)์ ๋ฏธ์ธ์กฐ์ง ์ฌ์ง์ ๋น๊ตํ ๋, ST400์์๋ ํ๊ท 13.1 nm ํฌ๊ธฐ์ ฮทโฒ์์ด ๊ด์ฐฐ๋์๊ณ ST470์์๋ ํ๊ท 10.1 nm ํฌ๊ธฐ์ ฮทโฒ์์ด
๊ด์ฐฐ๋์๋ค. ๋ฐ๋ผ์ ST400์ด ST470๋ณด๋ค ฮทโฒ์์ ํฌ๊ธฐ๊ฐ ๋ ํฌ๊ณ ๋ฐ๋๊ฐ ๋ฎ์๋ค. ์ด๋ ์์ DSC๊ฒฐ๊ณผ์ ์ผ์นํ๋ฉฐ(๊ทธ๋ฆผ 10(c)), ๊ณ ์ฉ๋์ด ์ ์ ST400์์ ฮทโฒ์์ ์ฌ์์ถ์ด ์ ์ ๊ฒ์ผ๋ก ํ๋จ๋๋ค. ์์ฐ์ํจ ํ ์๋ถ๊ฒฝํ์ฒ๋ฆฌ ์ GPI์ ฮทโฒ์์ผ๋ก ๋ณํ๋์์ง๋ง ์์ถ์์ ๋ฐ๋๊ฐ
๋ฎ๊ณ ๋ถ๊ท ์ผํ๊ฒ ๋ถํฌ๋์ด ์ถ๊ฐ์ ์ธ ํญ๋ณต๊ฐ๋ ํฅ์์ด ์์๋ ๊ฒ์ผ๋ก ํ๋จ๋๋ค. ๊ทธ๋ฆผ 12(c,f)๋ ์๋น์ํจ์ฒ๋ฆฌ๋ฅผ ๋์
ํ๊ณ ์์ฐ์ํจ ๋ฐ ์๋ถ๊ฒฝํ์ฒ๋ฆฌ ํ์ ๋ฏธ์ธ์กฐ์ง ์ฌ์ง์ด๋ค. ํ์ ํจํด์ ํตํด ฮทโฒ์์ด ํ์ฑ๋ ๊ฒ์ ํ์ธํ์์ผ๋ฉฐ, ๊ทธ๋ฆผ 12(b,e)์ ๋น๊ตํ ๋ ๋ฏธ์ธํ๊ณ ๊ท ์ผํ๊ฒ ๋ถํฌ๋ ฮทโฒ์์ด ๋ค๋ ๊ด์ฐฐ๋์๋ค. ์ด๋ ์๋น์ํจ์ฒ๋ฆฌ ๋์
์ผ๋ก ฮทโฒ์์ ํต์์ฑ์ฌ์ดํธ ์ญํ ์ ํ๋ GP zone์ ๋ค๋์ผ๋ก
ํ์ฑํ์ฌ ์๋ถ๊ฒฝํ์ฒ๋ฆฌ ์ ๋ฏธ์ธํ๊ณ ๊ท ์ผํ ฮทโฒ์์ด ์ฌ์์ถ๋ ๊ฒ์ผ๋ก ํ๋จ๋๋ค. ๋ํ ๊ทธ๋ฆผ 12(c)์ (f)๋ฅผ ๋น๊ตํ ๋, ST400์์๋ ํ๊ท 7.1 nm ํฌ๊ธฐ์ ฮทโฒ์์ด ๊ด์ฐฐ๋์๊ณ ST470์์๋ ํ๊ท 5.2 nm ํฌ๊ธฐ์ ฮทโฒ์์ด ๊ด์ฐฐ๋์๋ค. ๋ฐ๋ผ์
ST400์ด ST470 ๋ณด๋ค ฮทโฒ์์ ํฌ๊ธฐ๊ฐ ๋ ํฌ๋ฉฐ ๋ฐ๋๊ฐ ๋ ๋ฎ์๋ค. ์ด๋ ST400์ ๊ณ ์ฉ๋์ด ์ ๊ณ ์๋น์ํจ์ฒ๋ฆฌ ์ GPI๋ง ํ์ฑํ๊ธฐ ๋๋ฌธ์ผ๋ก
ํ๋จ๋์๋ค (๊ทธ๋ฆผ 10(a)).
4. ๊ฒฐ ๋ก
๋ณธ ์ฐ๊ตฌ์์๋ A7075-T6 ํฉ๊ธ์ ์ฉ์ฒดํ์ฒ๋ฆฌ์ ๋ฐ๋ฅธ ฮทโฒ ์์ ์ฌ๊ณ ์ฉ ๋ฐ ์ฌ์์ถ์ด ๊ธฐ๊ณ์ ํน์ฑ๊ณผ ๋ฏธ์ธ์กฐ์ง์ ๋ฏธ์น๋ ์ํฅ์ ๊ณ ์ฐฐํ์๋ค.
1) A7075-T6 ํฉ๊ธ ํ์ฌ๋ฅผ ์ฉ์ฒดํ์ฒ๋ฆฌ ์ ์ฃผ์ ๊ฐํ์์ธ ฮทโฒ์์ด ๊ธฐ์ง๋ด๋ก ์ฌ๊ณ ์ฉ๋๋ฉฐ ์ด์ ๋ฐ๋ผ ์ฐ์ ์จ์ด ์์นํ๊ณ ๊ฒฝ๋ ๋ฐ ๊ฐ๋๊ฐ ์ ํํ์๋ค.
์ฉ์ฒดํ์ฒ๋ฆฌ ์งํ ์ธ์ฅํน์ฑ์ ๋น๊ตํ ๋ 450, 470 ยฐC์์ ์ฉ์ฒดํ์ฒ๋ฆฌํ ๊ฒฝ์ฐ ์ ์ฌํ ์์ค์ ๋ํ๋ธ ๋ฐ๋ฉด ๋น๊ต์ ์ ์จ์ธ 400 ยฐC์์ ์ฉ์ฒดํ์ฒ๋ฆฌํ
๊ฒฝ์ฐ ์
๊ณ์ ์์ถ๋๋ ฮท์์ผ๋ก ์ธํด ๋ฎ์ ๊ฐ๋ ๋ฐ ์ฐ์ ์จ์ ๋ํ๋๋ค.
2) ์ฉ์ฒดํ์ฒ๋ฆฌ ํ ์์ฐ์ํจ ์ ๊ธฐ์ง์ ์ ํฉํ GPI์ด ํ์ฑ๋จ์ ๋ฐ๋ผ ๊ฒฝ๋ ๋ฐ ๊ฐ๋๊ฐ ์ฆ๊ฐํ์๋ค. ๋ํ ์ฉ์ฒดํ์ฒ๋ฆฌ ์จ๋๊ฐ ๋์์๋ก ฮทโฒ์์ ์ฌ๊ณ ์ฉ์ผ๋ก
์ธํด ๊ธฐ์ง ๋ด ์ฉ์ง์์(Zn, Mg, Cu)์ ๊ณ ์ฉ๋๋ ๋๋ค. ๋ฐ๋ผ์ 450, 470 ยฐC์์ ์ฉ์ฒดํ์ฒ๋ฆฌ ์ 400 ยฐC์ ๋นํ์ฌ ์์ฐ์ํจ์ ๋ฐ๋ผ
๋์ฑ ๋ง์ GPI์ ํ์ฑํ๋ฏ๋ก ๊ฒฝ๋ ๋ฐ ๊ฐ๋์ ๋ณํ๊ฐ ์ปธ๋ค.
3) ์์ฐ์ํจ ํ ์๋ถ๊ฒฝํ์ฒ๋ฆฌ ์ GPI์ ์ผ๋ถ ์ฌ์ฉํด ๋ฐ ฮทโฒ์์ผ๋ก์ ๋ณํ๊ฐ ๋ํ๋ฌ๋ค. 450, 470 ยฐC์์ ์ฉ์ฒดํ์ฒ๋ฆฌํ ๊ฒฝ์ฐ ์์ฐ์ํจ ํ ์๋ถ๊ฒฝํ์ฒ๋ฆฌ
์ ๋์ ๊ณ ์ฉ๋์ผ๋ก ์ธํด ํญ๋ณต๊ฐ๋๊ฐ ์ฆ๊ฐํ์์ผ๋, 400 ยฐC์์ ์ฉ์ฒดํ์ฒ๋ฆฌํ ๊ฒฝ์ฐ ๋ฎ์ ๊ณ ์ฉ๋์ผ๋ก ์ธํด ฮทโฒ์์ ํต์์ฑ ์ฌ์ดํธ์ธ GPI์ด ๋ถ์ถฉ๋ถํ์ฌ
์๋ถ๊ฒฝํ์ฒ๋ฆฌ ์ ฮทโฒ์์ ์ฌ์์ถ์ด ์ ๊ธฐ ๋๋ฌธ์ ํญ๋ณต๊ฐ๋์ ์ ํ๊ฐ ๋ํ๋ฌ๋ค.
4) ์ฉ์ฒดํ์ฒ๋ฆฌ ํ ์๋น์ํจ์ฒ๋ฆฌ๋ฅผ ๋์
ํ ๊ฒฐ๊ณผ, ์ฌ๊ณ ์ฉ๋๊ฐ ๋ฎ์ 400 ยฐC์์๋ ์๋ถ๊ฒฝํ์ฒ๋ฆฌ ์ ๊ฐ๋๊ฐ ์ฆ๊ฐํ์๋ค. ์ด๋ ์๋น์ํจ์ฒ๋ฆฌ ์ ๋ค๋์
GP zone ํ์ฑ์ผ๋ก ์ธํ์ฌ ์๋ถ๊ฒฝํ์ฒ๋ฆฌ ์ ฮทโฒ์์ ์ฌ์์ถ์ด ํ๋ฐํด์ง๊ธฐ ๋๋ฌธ์ด๋ค. 470 ยฐC์์ ์ฉ์ฒดํ์ฒ๋ฆฌ ์ ์ฌ๊ณ ์ฉ๋๊ฐ ๋์ ๋ฎ์ ์ฉ์ฒดํ์ฒ๋ฆฌ
์จ๋์์ ๋ณด๋ค ์๋น์ํจ์ฒ๋ฆฌ ํ GP zone์ ๋ฐ๋๊ฐ ๋๊ณ ๋ถํฌ๊ฐ ๊ท ์ผํ์์ผ๋ฉฐ, ์ฉ์ฒดํ์ฒ๋ฆฌ ์จ๋๊ฐ ๋์์๋ก ๋์ฑ ์ฐ์ํ ์๋ถ๊ฒฝํํน์ฑ์ ๋ณด์๋ค.
5) 7075-T6 ํฉ๊ธ์ ์ฑํ์ฑ ํฅ์์ ์ํ ์ฉ์ฒดํ์ฒ๋ฆฌ ์, ์ฐ์ ์จ ํ๋ณด ๋ฐ ์๋ถ๊ฒฝํ์ฒ๋ฆฌ๋ฅผ ํตํ ํญ๋ณต๊ฐ๋ ์ฆ๊ฐ๋ฅผ ์ํด์๋ ฮทโฒ์์ ์ฌ๊ณ ์ฉ์ด ์ถฉ๋ถํ
๊ฐ๋ฅํ ์ฉ์ฒดํ์ฒ๋ฆฌ ์จ๋์ ์ค์ ์ด ์ค์ํ๊ณ , GP zone์ ํ์ฑ์ ์ ์ดํ์ฌ ์๋ถ๊ฒฝํ์ฒ๋ฆฌ ํ ํญ๋ณต๊ฐ๋๋ฅผ ํฌ๊ฒ ํฅ์์ํฌ ์ ์๋ค๋ ๊ฒ์ ์ ์ ์์๋ค.
Acknowledgements
๋ณธ ์ฐ๊ตฌ๋ ๊ณผํ๊ธฐ์ ์ ๋ณดํต์ ๋ถ์ ์ฌ์์ผ๋ก ๋๋
ธ ๋ฐ ์์ฌ๊ธฐ์ ๊ฐ๋ฐ์ฌ์
(2021M3H4A3A02093176)์ ์ฐ๊ตฌ๋น ์ง์์ผ๋ก ์ํ๋์์ผ๋ฉฐ, ์ด์ ๊ฐ์ฌ๋๋ฆฝ๋๋ค.
REFERENCES
Miller W. S., Zhuang L., Bottema J., Wittebrood A. J., Smet P. De, Haszler A., Vieregge
A., Mater. Sci. Eng. A,280, 37 (2000)

Hirsch J., Mater. Trans,52, 818 (2011)

Troeger L. P., Starke E. A., Mater. Sci. Eng. A,277, 102 (2000)

Moons T., Ratchev P., Verlinden B., Van Houtte P., De Smet P., Scr. Mater,35, 939
(1996)

Shin J., Kim T., Kim D.E., Kim D., Kim K., J. Alloys Compd,698, 577 (2017)

Ratchev P., Verlinden B., De Smet P., Van Houtte P., Acta Mater,46, 3523 (1998)

Abi-Akl R., Mohr D., Int. J. Mech. Sci,124, 68 (2017)

Li B., Pan Q., Chen C., Wu H., Yin Z., J. Alloys Compd,664, 553 (2016)

Han N. M., Zhang X. M., Liu S. D., He D. G., Zhang R., J. Alloys Compd,509, 4138 (2011)

Peng G., Chen K., Chen S., Fang H., Mater. Sci. Eng. A,641, 237 (2015)

Zhang J., Li J., Tian S., Lv D., J. Mater. Eng. Perform,28, 1312 (2019)

Kumar M., Sotirov N., Chimani C. M., J. Mater. Process. Technol,214, 1769 (2014)

Choi Y., Lee J., Panicker S. S., Jin H. K., Panda S. K., Lee M. G., Int. J. Mech.
Sci,170, 105344 (2020)

Huo W., Hou L., Zhang Y., Zhang J., Mater. Sci. Eng. A,675, 44 (2016)

Shabadi R., Suwas S., Kumar S., Roven H. J., Dwarkadasa E. S., Mater. Sci. Eng. A,558,
439 (2012)

Lee J., Bong H. J., Kim D., Lee Y. S., Choi Y., Lee M. G., Met. Mater. Int,26, 682
(2020)

Lee Y. S., Koh D. H., Kim H. W., Ahn Y. S., Scr. Mater,147, 45 (2018)

Liu Y., Jiang D., Li B., Yang W., Hu J., Mater. Des,57, 79 (2014)

Wen K., Xiong B., Zhang Y., Li Z., Li X., Yan L., Yan H., Liu H., Met. Mater. Int,27,
779 (2021)

Chen G., Chen L., Zhao G., Zhang C., J. Alloys Compd,729, 210 (2017)

Yousefiani A., Mohamed F. A., Earthman J. C., Metall. Mater. Trans. A,31, 2807 (2000)

Knight S. P., Birbilis N., Muddle B. C., Trueman A. R., Lynch S. P., Corros. Sci,52,
4073 (2010)

Li C., Pan Q., Shi Y., Wang Y., Li B., Mater. Des,55, 551 (2014)

Goswami R., Lynch S., Holroyd N. H., Knight S. P., Holtz R. L., Metall. Mater. Trans.
A,44, 1268 (2013)

Zheng G. W., Li H., Lei C., Fu J., Bian T. J., Yang J. C., Mater. Sci. Eng. A,718,
157 (2018)

Sha G., Cerezo A., Acta Mater,52, 4503 (2004)

Berg L. K., Gjรธnnes J., Hansen V. X., Li X. Z., Knutson-Wedel M., Schryvers D., Wallenberg
L. R., Acta Mater,49, 3443 (2001)

Deschamps A., Livet F., Brechet Y., Acta Mater,47, 281 (1998)

Ringer S. P., Hono K., Mater. Charact,44, 101 (2000)

Kim H. J., Jung J., Kim S. H., Lim C. Y., Choi Y. S., Korean J. Met. Mater,58, 7 (2020)

Starink M. J., Int. Mater. Rev,49, 191 (2004)

Fuller C. B., Mahoney M. W., Calabrese M., Micona L., Mater. Sci. Eng. A,527, 2233
(2010)

Sharma M. M., Amateau M. F., Eden T. J., J. Alloys Compd,416, 135 (2006)

Luo J., Luo H., Liu C., Zhao T., Wang R., Ma Y., Mater. Sci. Eng. A,798, 139990 (2020)

Zhang M., Liu T., He C., Ding J., Liu E., Shi C., Li J., Zhao N., J. Alloys Compd,658,
946 (2016)

Lรถffler H., Kovรกcs I., Lendvai J., J. Mater. Sci,18, 2215 (1983)

Koh D. H., Lee Y. S., Kim M. S., Kim H. W., Ahn Y. S., Korean J. Met. Mater,54, 483
(2016)

Heo J. G., Lee Y. S., Kim M. S., Kim H. W., Kim Y. D., Korean J. Met. Mater,57, 396
(2019)

Figures and Tables
Fig. 1.
Schematic diagram of various heat treatments for 7075-T6 sheet.
Fig. 2.
XRD patterns of 7075-T6 and solution-treated at various temperatures.
Fig. 3.
Microstructures of (a) 7075-T6 sheet and (b) OM, (c) TEM.
Fig. 4.
Microstructures after solution treatment (a) ST400 (b) ST450 (c) ST470.
Fig. 5.
SEM images after solution treatment (a) ST400, (b) ST450, (c) ST470.
Fig. 6.
(a) TEM image containing grain boundary for ST400, (b) The elemental maps.
Fig. 7.
Effect of natural-aging time on micro-Vickers hardness (a) 336h, (b) 24h.
Fig. 8.
Effect of solution treatment on the tensile properties (a) Stress-strain curves, (b)
Tensile strength, Yield strength and Elongation.
Fig. 9.
Effect of aging on the tensile properties (a) and (b) ST+NA, (c) and (d) ST+NA+BH.
Fig. 10.
DSC curves (a) 7075-T6 and ST, (b) ST+NA, (c) ST+NA+BH.
Fig. 11.
Effect of pre-aging on yield strength of tensile properties.
Fig. 12.
Bright-field TEM micrographs in [001]Al zone axis with selected area diffraction patterns
(a) ST400+NA, (b) ST400+NA+BH, (c) ST400+PA+NA+BH, (d) ST470+NA, (e) ST470+NA+BH,
(f) ST470+PA+NA+BH.
Table 1.
Chemical composition of 7075-T6 sheet (wt.%).
|
Elements
|
Zn
|
Mg
|
Cu
|
Cr
|
Mn
|
Ti
|
Si
|
Fe
|
Al
|
|
Content (wt.%)
|
5.65
|
2.34
|
1.34
|
0.20
|
0.028
|
0.033
|
0.07
|
0.23
|
bal.
|
Table 2.
Specimen and heat treatment conditions.
|
Specimen
|
Condition
|
|
7075-T6
|
As-Received
|
|
ST400
|
Solution treatment (400 ยฐCร 5 min) โ water quenching
|
|
ST450
|
Solution treatment (450 ยฐCร 5 min) โ water quenching
|
|
ST470
|
Solution treatment (470 ยฐCร 5 min) โ water quenching
|
Table 3.
The chemical composition of matrix and the volume fraction and average size of Al23CuFe4 after solution treatment.
|
Specimen
|
Chemical Composition (wt.%)
|
Al23CuFe4
|
|
Zn
|
Mg
|
Cu
|
Al
|
Volume fraction (%)
|
Average size (ฮผm)
|
|
ST400
|
6.1
|
2.4
|
1.5
|
bal.
|
1.1 ยฑ 0.2
|
4.5 ยฑ 0.7
|
|
ST450
|
6.4
|
2.6
|
1.9
|
bal.
|
1.1 ยฑ 0.2
|
4.4 ยฑ 0.6
|
|
ST470
|
6.4
|
2.7
|
2
|
bal.
|
1.1 ยฑ 0.3
|
4.4 ยฑ 0.6
|