The Journal of
the Korean Journal of Metals and Materials

The Journal of
the Korean Journal of Metals and Materials

Monthly
  • pISSN : 1738-8228
  • eISSN : 2288-8241

Editorial Office


  1. 한국생산기술연구원 뿌리산업기술연구소 (Research Institute of Advanced Manufacturing Technology, Korea Institute of Industrial Technology, Incheon 21999, Republic of Korea)
  2. 인하대학교 신소재공학과 (Department of Materials Science and Engineering, Inha University, Incheon 22212, Republic of Korea)



Ni-Cr-Mo-V steel alloy, heat treatment, microstructures, tensile strength, thermal analysis

1. 서 론

제동디스크는 차량의 운동에너지를 마찰에너지로 전환하여 속도를 줄이거나 정차하게 하는 부품소재이다. 철도 운행시 정차하거나 속도를 줄이는 등의 과정이 반복적으로 일어나게 되며, 반복적인 마찰로 인한 가열과 냉각으로 디스크에 열 부하가 발생하게 된다. 열 부하는 제동디스크 브레이크 패드의 불균일한 마찰과 제동디스크의 냉각구조로 인해 핫밴드(Hot Band), 핫스팟(Hot Spot) 형태로 디스크의 일부 구역에만 집중해서 발생하며, 이는 디스크 내부에 열응력을 발생시키고 계속 반복되면서 열 피로 균열이 발생하게 된다[1,2]. 이러한 열피로 균열은 다이캐스팅 금형이나 핫스탬핑 금형, 열간 금형, 엔진부품 등과 같이 재료에 상관없이 반복적이고 온도변화가 크게 일어나는 부품에서 폭넓게 발생하며, 균열이 생성되면 균열을 기점으로 성장하여 파괴에 이르러 사용 연한을 감소시키는 주요 원인이 될 수 있다[3,4].

제동디스크의 재질은 패드와의 마찰력, 마모정도, 일정 수준의 강도 그리고 열적 특성과 같은 성질이 요구되는데, 기술의 발달로 철도차량이 고속화 함에 따라 제동에 요구되는 에너지가 점차 증가하고 있으며, 이에 따라 제동시 디스크에 부하되는 마찰열은 점점 증가하고 있다. 특히 400 km/h 고속 철도의 비상 급제동 시험 시 승온 온도가 680 °C 이상 올라간다는 연구보고가 있으므로[5], KTX와 같은 고속 철도 차량의 제동디스크에는 주철계 디스크 소재를 쓰는 일반 저속 철도차량보다 우수한 기계적 특성 및 열물리적 특성이 요구된다.

최근 고속 철도용 제동디스크 소재로 고강도이며 인성이 높은 저탄소 저합금강이 상용화되고 있으나, 국내 고속 철도차량 등에는 아직 외국으로부터 저합금강 제동디스크를 수입하여 사용하고 있다. 고속철도용 저합금강 제동디스크로 도입된 제품들은 인성 향상을 위하여 0.18~0.28 wt%C 범위의 낮은 탄소량을 가지고 있으며, 고강도이며 인성 향상을 위하여 Ni, Mo, Cr, Mn, V, Nb 등과 같은 합금원 소를 첨가하여 템퍼링된 마르텐사이트 조직을 얻도록 하고 있다[6,7]. 프랑스 TGV 제동 디스크로는 28Cr-MoV5-8 합금이 사용되고 있으며, 독일 철도(KB)에서는 제동디스크 합금으로 표준 규격에 제정된 SEW520 G22NiM°Cr5-6 주강 합금을 고속철도 차량 디스크 소재로 사용하고 있다[3,8]. 일본은 0.20~0.23 wt%C 저탄소 Ni-Mo-Cr 합금에 V 원소를 첨가하고 열충격 특성과 고온강도 목적으로 제동 디스크 합금을 개발하고 있다[9,10]. 이 외에 제동디스크에 대한 연구는 Ni-Cr-Mo 합금의 열균열 생성[11], 열피로 균열에 대한 유한요소 해석[12], Cr-Mo-V 합금의 저주기 피로[13]와 같은 여러 분야에서 연구가 진행되고 있다. 국내에서도 일부 제동 디스크 소재 특성에 대한 연구가 주로 진행되고 있지만, 고속철도 제동디스크용 저탄소 저합금강 소재에 대한 합금원소 등의 첨가가 기계적 특성이나 열물리적 특성에 미치는 영향에 대한 연구 보고는 거의 없었다.

본 연구에서는 고속철도 제동디스크에 요구되는 성능을 만족하는 Ni-Cr-Mo-V계 저탄소 저합금강의 주요 합금 원소인 Cr, Mo, Mn 첨가량에 따른 미세조직, 기계적 강도 특성 및 열물리적 특성 변화에 미치는 영향을 조사하고자 하였다. 합금원소 변화에 따른 합금의 특성을 동일하게 비교하기 위하여 각 합금의 템퍼링 조건에 따른 경도 변화를 조사하였다.

2. 실험방법

2.1 시편 준비

시험에 사용된 Ni-Cr-Mo-V 저합금강의 화학 성분을 분광광도계(OES, OBLF QSN_750)로 분석한 결과를 표 1에 나타내었다. 고속철도 제동디스크는 강도와 인성이 요구되어 마르텐사이트 기지조직이 생성되도록 합금원소를 첨가하였으며, 탄소함량이 0.2% 정도로 낮기 때문에 경화능이 좋은 Cr, Mo, Mn 합금원소를 주요 첨가원소로 설정하였다. 합금명은 합금원소가 많이 첨가된 원소로 하였 으며, 3종의 합금명은 Cr-Mo, C-Mo, Mn-Cr이다. 탄소함량은 각각 0.16 wt%, 0.21 wt%, 0.19 wt% 이었으며, CMo 합금의 탄소함량이 비교적 높게 나타났다. 합금의 경화능을 나타내는 탄소 당량은 식 (1)의 탄소 당량(carbon equivalent) 식으로 계산할 수 있으며, Cr-Mo 합금이 0.75, C-Mo 합금 0.78, Mn-Cr 합금이 0.79로서 합금 모두 같은 수준의 당량 값을 나타내었다[14].

C e q = C + Si 24 + Mn 6 + Ni 40 + Cr 5 + Mo 4 + V 14

목표 화학조성의 합금원소 원료를 준비하고, 유도 용해로에서 30 kg을 용해 하였으며, 사형으로 제작된 1인치 Y-블록 주형(T25 mm×L210 mm×H130 mm)에 주입하여 시험편을 제조하였다. Y-블록 주조품은 1040 °C에서 2시간 유지한 후 공냉하여 균질화 열처리를 실시하였다. 균질화 열처리 후 기계적 성질 시험을 위하여 사각형 형태 (16×16×100 mm)로 절단한 후 퀜칭 및 템퍼링 시험을 하였으며, 사전에 템퍼링 조건을 선정하기 위한 시편은 각형 큐브(20×20×20 mm)를 제작하여 템퍼링 조건 시험에 사용하였다.

합금원소가 다른 3종의 저탄소 저합금강의 기계적 및 열물리적 특성에 미치는 영향을 조사하기 위하여 동일한 조건에서 열처리를 실시하였으며, 퀜칭은 940 °C에서 1시간 유지 후 수냉하였다. 템퍼링 온도 선정을 위해 큐브 시험편을 템퍼링 온도 600 °C, 610 °C, 620 °C, 630 °C, 650 °C 에서 각각 2시간 유지한 후 수냉하였으며, 각 시험편 표면을 연마한 후 로크웰 경도(Mitutoyo, Wizhard)를 측정하였다. 본 시험의 열처리 공정 개략도를 그림 1에 나타내었다.

2.2 미세조직 분석

각 합금의 시험편 표면을 연마 한 후 ASTM E407 에칭액 No.81(1g picric acid, 1 g sodium tridecylbenzene sulfonate, 100 mL water) 용액으로 에칭하고 ASTM E112-13 규정에 의하여 오스테나이트 결정립 크기를 측정하였으며, 광학 현미경(Nikon, Eclipse MA200)을 이용하여 광학 미세 조직을 관찰하였다. 광학 현미경을 이용한 마르텐사이트 패킷 크기 측정과 주사전자현미경(SEM, FEI, Quanta 200 FEG)을 이용한 미세 조직 관찰에는 마르텐사이트 기지조직 분석을 위해 2% Nital 에칭액을 사용하였다.

합금의 기지조직의 상(phase) 분석은 X선 회절분석기 (XRD, X-ray Diffractometer)를 이용하였다. 이 때 X-선은 Cu Kα선(λ=0.15456 nm)을 사용하였고 회절각(2θ)은 20°~90°로 하였다. 급냉 후 템퍼링된 시험편의 미세구조는 투과전자현미경(Thermo Fisher, Tecnai G2F20)으로 분석하였으며, 시편은 FIB(focused ion beam) 가공으로 준비하여 이미지를 관찰하였다.

2.3 인장 및 충격시험

인장 시험은 상온 및 고온(600 °C)에서 진행하였으며, 상온 인장 시험은 표점거리 25 mm, 직경 6 mm의 KSB0801 14A 규격의 환봉 시편을 이용하였으며, 만능 재료 시험기(MTS, Landmark 100KN)를 이용해 변형률 속도 1.7×10-3 s-1 의 속도로 시험하였다. 고온 인장 시험은 인장 시험과 동일한 시험기에서 고온로를 부착하여 600 °C에서 표점거리 12 mm, 직경 6 mm의 시험편을 변형률 속도 3.3×10-3 s-1 조건하에서 고온 인장 시험을 진행하였다. 충격 시험은 ASTM E23에 따라 2 mm의 V-notch, 10 mm × 10 mm × 55 mm 크기의 샤르피 충격 시험편을 제작하였다. 상온 및 저온 충격시험은 충격 시험기(Satec Systems, SI-1D3)를 이용하였으며, 저온 충격 시험의 경우 알코올과 드라이아이스를 이용하여 -30 °C에서 시편을 5분간 유지 후 충격 시험을 진행하였다. 인장 및 충격 시험 후 시험편의 파단면은 주사전자현미경(SEM, FEI, Quanta 200 FEG)으로 관찰하였다.

2.4 열물리적 특성

제동디스크의 열물리적 요구 특성은 높은 열전도도와 낮은 열팽창계수이다. 이에 따라 열전도도 시험은 8 mm × 8 mm × 2 mm의 사각 시편으로 연마 가공 후 열전도도 장비(NETZSCH, LFA467)에서 측정 하였으며, 열팽창 계수는 열분석기(TA Instruments, Q800)를 이용해 ø5 x L10mm의 원기둥 형상의 시편을 5 °C/min의 가열 속도로 950 °C까지 승온하여 시편의 열팽창을 측정하고 열팽창률과 각 합금의 변태점(Ac1, Ac3)을 구하였다.

3. 실험결과 및 고찰

3.1 템퍼링 경도

합금원소 함량이 서로 다른 Ni-Cr-Mo-V계 저합금강 3종의 템퍼링 열처리 온도를 구하기 위해 균질화 열처리가 끝난 시편을 940 °C에서 1시간 유지 후 수냉하여 퀜칭하였다. 퀜칭 직후 경도는 Cr-Mo 합금이 41.9HRc, C-Mo 합금 44.6HRc, Mn-Cr 합금 43.9HRc로 각 합금의 탄소 함량에 비례하여 경도 값이 조금씩 차이가 나타났다. 탄소가 주요 경화기구로 사용되는 퀜칭 후 경도값에서 합금 3종은 모두 풀 마르텐사이트(full martensite) 조직으로 이루어짐을 알 수 있다[15]. 퀜칭 시험 후 템퍼링 열처리 조건은 합금의 경도와 강도를 결정하므로 템퍼링 조건에 따른 경도 변화 곡선이 필요하다. 현재 고속철도 제동디스크로 사용되고 있는 SEW520 G22NiM°Cr5-6 합금의 기계적 강도와 유사한 값을 얻는 기준으로 템퍼링 조건을 구하고자 하였다. SEW520 G22NiM°Cr5-6 합금은 900~ 980 °C에서 칭하고, 550~610 °C에서 템퍼링 후 인장강도 1050~1200 MPa, 항복강도 950 MPa를 갖도록 하는 주강 합금이다[8].

그림 2표 2에 각각 다른 온도에서 템퍼링 열처리된 3종 합금의 템퍼링 경도 변화와 퀜칭 직후 경도를 비교하여 나타내었다. 템퍼링 경도의 경우 Mo 함량이 비교적 높은 Cr-Mo 합금과 C-Mo 합금은 템퍼링에 따른 템퍼 연화 저항이 높아 600 °C 템퍼링 조건에서 로크웰 경도 1.3~2.1HRc의 낮은 경도 저하를 보였다. 그러나 Mn-Cr 합금은 로크웰 경도 7.5HRc로 크게 감소하였다. Mo 합금원소가 가장 많은 C-Mo 합금의 템퍼 연화 저항성이 가장 높게 나타나고 있다[16]. 적정 템퍼링 온도를 구하기 위해 해외 제동디스크 규격인 SEW520 G22NiM°Cr5-6의 인장 강도 기준인 1050-1200 MPa를 얻고자 하였으며, 로크웰 경도 범위는 33~38HRc로 환산된다[17]. 경도가 가장 낮은 범위에 있는 Mn-Cr 합금의 경도 35HRc를 얻을 수 있도록 610 °C에서 2hr 유지하는 조건을 템퍼링 온도 시간 조건으로 하였다. 이 템퍼링 조건에서 열처리 하면 합금량이 많은 Cr-Mo, C-Mo 합금의 강도는 경도에 비례하여 Mn-Cr 보다 높게 나타날 것으로 예측된다. 실제 Cr-Mo, C-Mo 합금이 제동 디스크로 사용되기 위해서는 높은 경도를 가지고 있기 때문에 상대적 마모를 고려하면, 그림 2에서처럼 템퍼링 온도를 높여 33~38HRc 범위로 낮게 적용하여야 할 것이다.

3.2 미세조직

그림 3은 각 합금을 940 °C에서 1시간 유지후 퀜칭하고, 610 °C에서 2시간 템퍼링한 합금 3종의 표면에 대한 XRD 회절패턴을 나타낸 것이다. 모든 시편에서 α-Fe 피크가 주 피크로 나타나고 있으며, 잔류 오스테나이트 피크는 관찰되지 않았다. 본 시험 합금의 탄소 함량은 0.16~0.21 wt% 범위로서 수냉하여 급랭하면 99 vol% 이상의 마르텐사이트가 얻어지며, 0.2%C 탄소강의 마르텐사이트 경도 값은 앞 절에서 서술한 42~44HRc 범위와 일치한다[18,19]. XRD 회절 피크에서 탄소 함량이 작은 탄소강의 경우에 마르텐사이트는 BCC 페라이트와 격자상수 차이가 거의 없게 되고, 템퍼링한 후에는 탄소 확산에 의해서 대부분 페라이트 피크가 관찰된다.

940 °C에서 1시간 유지후 퀜칭, 610 °C에서 2시간 템퍼링을 진행한 각 합금의 광학현미경 사진을 그림 4에 나타내었다. 그림 4는 피크린산 용액에 에칭된 각 합금의 광학 현미경 조직 사진이다. 오스테나이트에서 변태로 생성된 마르텐사이트 조직을 관찰할 수 있으며, 마르텐사이트 조직에서는 잘 알려진 패킷(packet) 및 블록(block)이 관찰된다. 0.2%C 저탄소강의 급냉된 조직은 미세한 래스(lath) 마르텐사이트로 이루어져 있으며[19,20], 래스들이 배열된 블록들이 광학현미경 사진상에서 관찰된다. 합금 3종 모두 템퍼링에 의해 템퍼드 마르텐사이트 조직을 나타내고 있다.

940 °C에서 1시간 유지후 퀜칭, 610 °C에서 2시간 템퍼링 진행한 시편을 피크린산 에칭하여 단선 분석법으로 측정한 오스테나이트 결정립 크기와 2%나이탈 용액으로 에칭하여 면적 환산법으로 측정한 패킷 크기를 그림 5에 나타내었다. 그림 5(a)의 오스테나이트 결정립(Prior Austenite Grain) 크기는 Cr-Mo 합금이 60.8 µm, C-Mo 합금 29.3 µm, Mn-Cr 합금 78.4 µm로 각각 측정되었다. 그림 5(b)의 610 °C에서 템퍼링 후 마르텐사이트 패킷의 평균 크기는 Cr-Mo 합금은 15.3 µm, C-Mo 합금이 10.1 µm, Mn-Cr 합금이 23.0 µm으로 나타났으며, Mn-Cr 합금, Cr-Mo 합금, C-Mo 합금 순으로 패킷 크기가 작은 것으로 나타났다. 템퍼링 후의 오스테나이트 결정립 크기와 패킷 크기를 그림 5(c)에 나타내었으며, 오스테나이트 결정립 크기와 패킷의 크기는 비례하는 경향을 나타내었다. 각 합금은 동일한 오스테나이트화 온도 940 °C에서 유지된 후 급냉 되었지만, C-Mo 합금이 가장 미세한 오스테나이트 결정립을 나타내었으며, Cr-Mo 합금과 Mn-Cr 합금의 오스테나이트 크기는 C-Mo 합금보다 매우 큰 값을 나타내었다. 또한 오스테나이트 결정립 크기가 작아질수록 마르텐사이트 패킷이 작아지는 결과를 나타내었다[21,22]. C-Mo 합금의 오스테나이트 결정립 크기 미세화는 Mo 합금량이 1.4 wt% 로 높게 포함되어 있기 때문이며, 이는 M2C, M6C 등의 탄화물에 의한 결정립 성장 억제 효과 보다는 Mo 원소와 Fe와의 격자상수 차이가 큰 효과로 용질원소의 결정립계 이동 억제에 의한 효과(solute drag)에 기인하는 것으로 판단된다[23-25].

그림 6은 940°C에서 퀜칭된 시편과 610°C에서 템퍼링된 시편을 2% 나이탈 용액으로 에칭한 주사전자현미경 조직 사진이다. 그림 6(a),(c),(e) 사진은 각 합금의 퀜칭된 시편이며, 그림 6(b),(d),(f) 사진은 템퍼링후 시편의 주사전자현미경 조직 사진이다. 칭된 시편에서는 미세한 래스로 이루어진 마르텐사이트 블록과, 급냉된 마르텐사이트 블록배열 사이에 일부 탄화물이 석출되어 있는 블록이 관찰된다. 퀜칭시 마르텐사이트는 저탄소 합금강에서 마르텐사이트 변태 시작 온도인 Ms 온도가 높은 경우에 상온까지 냉각되면서 일부 블록에서 템퍼링이 진행되어 블록 내부에 탄화물이 석출되는 오토템퍼링(auto-tempering)이 보고되고 있다[26]. 퀜칭된 마르텐사이트 패킷은 오토템퍼링이 진행되어 미세한 탄화물이 석출되어 있는 블록과 급냉으로 형성된 미세한 블록들로 이루어져 있다. 템퍼링후 마르텐 사이트는 급냉된 블록에서도 탄화물이 석출되어 있는 것이 관찰되며, 오토템퍼링된 블록에서는 탄화물의 성장이 더 진행되는 것으로 보인다. 610°C 템퍼링 조건에서 C-Mo 합금은 템퍼링이 충분하게 일어나지 않아 미분해 마르텐사이트 블록이 많이 관찰된다. 그러나 Mn-Cr 합금에서는 대부분의 퀜칭 마르텐사이트 블록은 분해되어 내부에 탄화물석출이 관찰되고 있으며, 마르텐사이트 블록의 형상은 관찰되지 않고 경계만 관찰된다. 템퍼링에 의한 탄화물은 마르텐사이트 블록의 경계나 내부에 침상 모양으로 석출되어 나타나거나 오스테나이트 입계에서도 탄화물이 관찰되었다.

그림 7은 940°C에서 퀜칭후 610°C에서 템퍼링된 C-Mo 합금의 투과전자현미경(TEM) 미세조직 사진이다. 그림 7(a)는 급랭되어 마르텐사이트 변태로 형성된 블록 내부의 래스 마르텐사이트의 암시야상 이미지이다. 동일한 방향으로 성장하여 배열된 래스의 폭은 약 200 nm 크기이며, 템퍼링에 의하여 일부 성장한 래스도 관찰된다. 그림 7(b)는 Mo 합금원소가 가장 많이 측정된 Mo 첨가 복합탄화물의 암시야상 이미지와 성분분석 결과를 나타낸 것이다. 저합금강의 템퍼링에 의한 탄화물은 시멘타이트(Fe3C)가 주 탄화물로 알려져 있으며, Mo원소가 첨가된 저합금강에서는 Mo2C이나 Mo6C 탄화물이 템퍼링 정도에 따라서 탄소와 결합하여 복합탄화물로 석출된다고 알려져 있다.

그림 8은 온도에 따른 각 합금의 평형상 분율을 계산한 결과이다. 상분율 계산은 Thermo-Calc 소프트웨어를 사용하여 계산하였고, TCFE11 열역학 데이터베이스를 사용하였다[27,28]. 그림 8(a)는 오스테나이트화 온도인 940 °C에서 오스테나이트(FCC상)만 존재하고 있으며, Ac3 변태 온도 이상에서는 안정한 탄화물이 존재하지 않는 것으로 나타났다. 그림 8(b)의 C-Mo 합금에서는 Ac3 변태 온도 이상에서 M2C, M6C 탄화물이 안정상으로 나타나고 있으나, 실제 오스테나이트화 열처리 온도인 940 °C에서는 오스테나이트 단상만 안정한 것으로 나타났다. 템퍼링 온도인 610 °C에서는 페라이트(BCC상)와 합금 탄화물들이 안정상으로 계산되었다. 합금 중 Cr, Mo의 함량이 각각 1wt% 정도 포함된 Cr-Mo 합금에서는 M23C6, M2C, (Mo,V)C 탄화물이 안정한 상으로 계산되었으며, C-Mo 합금에서는 M23C6, (Mo,V)C, M°C 탄화물이 안정상으로 나타났다. Mo 탄화물은 주로 Mo2C, Mo6C 탄화물이 예상되었으나, Mo 합금량이 매우 높기 때문에 다른 두 합금에서는 나타나지 않은 M°C 탄화물이 생성되는 것으로 나타났다. Mo가 작게 포함된 Mn-Cr 합금에서는 M7C3, M23C6, (Mo,V)C 형태의 탄화물이 안정상으로 예측되었다. 합금 모두 V 합금원소가 포함되기 때문에 (Mo,V)C 탄화물이 소량으로 존재하는 것으로 나타났다. 기지조직인 BCC 페라이트 상의 오스테나이트 상으로의 변태 온도인 Ac3 는 Mn-Cr 합금이 가장 낮았으며, Cr-Mo, C-Mo 합금은 이보다 높은 온도에서 변태가 일어났다.

3.3 기계적 특성

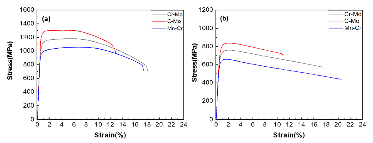
그림 9표 3은 940 °C에서 퀜칭 후 610 °C에서 템퍼링 열처리한 각 합금의 상온 인장 강도와 고온 인장 강도를 나타낸 인장 응력-변형률(stress-strain)곡선과 인장시험 결과값을 나타낸 것이다. 그림 9(a)는 상온 인장 응력-변형률 그래프이며, C-Mo 합금이 가장 높은 인장강도 및 항복강도를 나타내었고, Cr-Mo, Mn-Cr 합금 순으로 높은 인장 강도값이 낮아지고 있다. C-Mo 합금의 연신율은 12.5%, Cr-Mo 합금이 17.8%, Mn-Cr 합금이 17.9%로서, Mn-Cr 합금은 낮은 인장강도 값을 가졌지만 연신율은 Cr-Mo 합금과 비슷한 값을 보였다. 세 합금에서 인장강도 및 항복강도의 차이는 합금원소 차이와 함량에 따라 오스테나이트화 온도에서의 결정립 크기와 템퍼링에 의한 연화 정도에 의해 결정된 것으로 판단된다. C-Mo 합금이 가장 인장강도가 높은 것은 Mo 함량이 높아서 오스테나이트 결정립 성장이 억제되어 템퍼링시 패킷의 크기가 미세하였기 때문이고, Cr-Mo 합금의 오스테나이트와 패킷의 크기는 Mn-Cr 합금 보다는 작지만 C-Mo 합금 보다는 크게 나타나 중간 정도로 나타났다. 그리고 Mn-Cr 합금이 강도가 낮은 원인은 오스테나이트 결정립이 조대하고 이에 패킷 크기가 증가하였기 때문으로, 이는 Mo 함량이 작기 때문이다. 합금의 인장 강도 차이는 그림 2의 템퍼링 경도 차이와 동일하게 나타난다. Mo 함량이 가장 많은 C-Mo 합금은 오스테나이트 결정립도 미세하고 템퍼링에 의한 연화가 적기 때문에 인장강도가 높고 연신율은 작은 것으로 판단된다. 각 합금의 인장강도는 그림 4, 5의 미세조직 크기에서 보였던 오스테나이트 결정립 크기 차이에 비례하여 나타났으며, 오스테나이트 결정립 크기는 마르텐사이트 패킷이나 블록 크기에도 동일하게 영향을 미치고, 오스테나이트 결정립 크기 차이로 인해 미세해진 패킷과 블록 크기가 Hall-Petch 식에 의거하여 C-Mo 합금의 높은 인장강도로 나타난 것으로 보인다[21,22,29]. 그림 9(b)는 제동 디스크의 마찰열로 인한 온도 상승을 고려하여[5], 600 °C의 온도에서 인장 시험한 고온 인장 응력-변형률 결과이다. 고온 인장강도와 고온 항복강도는 Mo 함량이 높은 C-Mo 합금이 846.1 MPa, 755.7 MPa로 가장 높은 값을 나타나고 있으며, Mo 함량이 낮은 Mn-Cr 합금이 667.2 MPa, 610.5 MPa로 가장 낮은 값을 나타내었다. 이러한 고온강도의 차이는 상온 인장강도와 동일하게 나타나고 있다. 각 합금에서 고온 인장특성의 차이가 발생한 이유도 Mo 함량에 따른 내부 오스테나이트 결정립의 미세화와 Mo 합금원소 함량에 따른 고용 강화 효과 그리고 고온에서 안정상인 Mo 탄화물의 형성 등이 C-Mo 합금이 고온에서 가장 높은 인장강도 특성을 나타낸 것으로 판단된다[30,31].

그림 10은 940 °C에서 퀜칭하고 템퍼링 온도에 따른 각 합금의 상온 및 저온 샤르피 충격 시험 결과를 나타낸 것이다. 그림 10(a)의 상온 충격 시험의 경우 610 °C에서 템퍼링한 Cr-Mo 합금의 충격에너지는 25.2J, C-Mo 합금은 17.4J, Mn-Cr 합금은 28.4J로 나타났으며, 이는 비교 합금인 SEW520 G22NiM°Cr5-6의 상온 충격에너지 40J 보다 모두 낮은 값이다. 그러나 630 °C에서 템퍼링된 Mn-Cr 합금은 SEW520 G22NiM°Cr5-6의 충격에너지 값에 도달하였고, C-Mo, Cr-Mo 합금은 650 °C 템퍼링 조건에서 비교 대상 합금의 충격에너지 값에 도달하였다. Mn-Cr 합금은 610 °C 템퍼링에서 비교 대상 합금의 경도 조건인 33~38HRc 를 만족하였지만, 경도가 비교적 높은 편이다. 즉, Mn-Cr 합금의 충격에너지가 비교적 낮은 값을 나타낸 것은 템퍼링에 의한 회복 부족과 조대한 결정립에 의한 것으로 판단된다[32]. 그리고 C-Mo, Cr-Mo 합금은 그림 2에서처럼 650 °C 템퍼링 시 기준 경도값에 도달하고 있으며, 이에 따라서 상온 충격에너지 값도 비교 대상 충격값과 동일하게 증가하는 것이다. 그림 10(b)의 -30 °C에서의 저온 충격 시험의 경우 610 °C에서 템퍼링된 Cr-Mo 합금의 충격에너지는 7.7J, C-Mo 합금은 8.4J, Mn-Cr 합금 9.5J로서, 합금들 모두 10J 이하의 낮은 충격 값을 나타내었다. 이는 SEW520 G22NiM°Cr5-6 합금의 -30 °C 천이온도 충격에너지 값 27J 보다 낮은 값이다 [8]. 템퍼링 경도가 높은 C-Mo 합금과 Cr-Mo 합금은 템퍼링 온도가 낮아 템퍼링에 의한 연화 회복이 일어나지 않았기 때문에 충격값이 낮고, Mn-Cr 합금도 비교적 낮은 템퍼링 온도와 조대한 오스테나이트 및 패킷 크기로 저온 충격에너지가 낮게 나타난 것으로 판단된다[33]. 또한 제동 디스크에 적용되고 있는 SEW520 G22NiM°Cr5-6 합금은 샤르피-V notch 상온 충격에너지 값이 40J 이상의 값을 나타내고 있으나, 시험 합금들은 전체적으로 낮은 충격 값을 나타내고 있으며, 이는 Si 함량이 비교적 높게 함유된 것도 영향을 미친 것으로 판단된다. 철에 Si 함량이 일정량 이상으로 포함되면 고용강화로 강도는 증가하지만 충격 특성은 감소한다는 보고가 있다[34,35].

그림 11은 940 °C에서 퀜칭 후 610 °C에서 템퍼링 열처리한 각 합금의 상온 인장시험, 상온 충격시험 및 저온 충격시험편의 파단 후 파단면 SEM 사진이다. 상온 인장시험에서는 파괴 시 컵앤콘(cup and cone) 타입의 파괴 형상을 나타내었으며, 파면에서는 합금 3종 모두 연성 파괴인 미세한 딤플(dimple) 형상이 관찰되었다. 조대한 형태의 딤플은 불순물 혼입에 의한 것으로 판단된다. 상온 충격시험 파단면의 경우에 각 합금은 주로 벽개(cleavage) 파면과 딤플 파면이 혼합되어 관찰되며, 충격에너지 값이 큰 Mn-Cr 합금의 경우 좀 더 많은 딤플 형상을 관찰할 수 있다. 충격에너지 값이 가장 낮았던 C-Mo 합금에서는 대부분 벽개 파괴면이 많이 관찰되었다. 저온 충격시험의 경우 합금 3종 모두 취성 파단면인 벽개 파면을 나타내었으며, 딤플 파단 양상은 관찰되지 않았다.

3.4 열물리적 특성

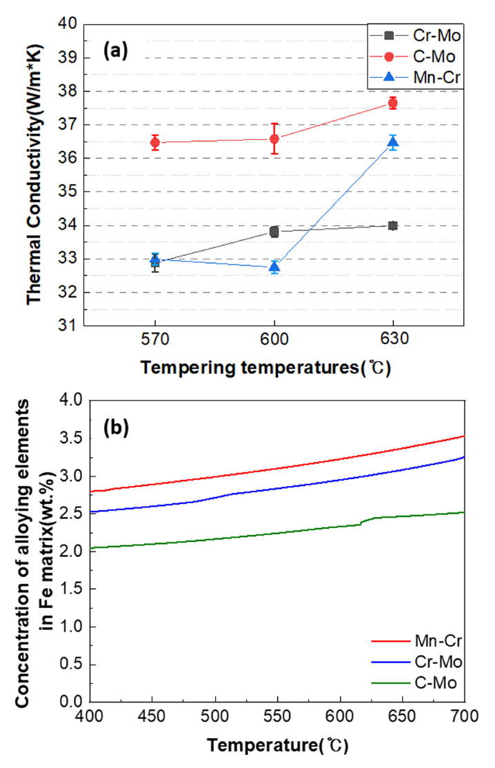
그림 12는 950 °C에서 1시간 유지 후 퀜칭한 시험편을 570 °C, 600 °C, 630 °C에서 각각 1시간 템퍼링한 합금의 템퍼링 온도에 따른 열전도도 변화와 Fe 기지내 고용되어 있는 합금원소의 농도를 열역학으로 계산한 결과이다. 그림 12(a)에서 각 합금은 모두 템퍼링 온도가 높아짐에 따라 합금의 미세조직은 템퍼링에 의해 탄화물이 석출되면서 기지조직인 페라이트의 열전도도는 높아지고 있다[36]. Cr-Mo 합금은 570 °C에서 600 °C로 증가하면서 열전도도가 높아지고 있으나, 630 °C까지는 큰 변화가 없었다. 그러나 Mn-Cr 합금의 경우 570 °C와 600 °C에서 동일한 값을 나타내었으나, 템퍼링 온도가 630 °C로 높아지면서 매우 높은 열전도도 값을 나타내었다. C-Mo 합금의 경우 570 °C에서 이미 두 합금보다 높은 열전도도 36.5W/mK 값을 나타내었으며, 600 °C까지는 큰 변화가 없었으나 630 °C에서 열전도도가 조금 증가하였다. 이러한 열전도도 변화는 템퍼링에 의한 연화 저항과 동일한 경향을 나타내고 있다. 즉, 템퍼링 온도의 증가에 따라서 합금 중에 고용되어 있는 Cr, Mo, V 등의 원소들이 탄화물을 형성하면서 석출하면 기지조직인 페라이트는 점차 열전도도가 높아진다. 그림 12(b)는 합금 종류별 철에 고용되어 있는 모든 합금원소량을 온도에 따라 나타낸 것이다. 합금원소를 가장 적게 포함하고 있는 합금은 C-Mo 합금이며, 이는 높은 열전도도를 나타낸 결과와 일치한다. 또한 Mn-Cr 합금은 철내 고용량이 가장 많은 합금이며, 가장 낮은 열전도도값을 나타내었다. 철에 첨가되는 합금원소 중에 열전도도가 높은 Mo은 철에 합금화 되는 원소 중에서 철의 열전도도를 가장 적게 감소시키는 원소이고, 최근 열피로 특성이 있는 금형 재료에 많은 양이 첨가되고 있다[37]. 시험 합금 중 Mo 함량이 가장 높은 C-Mo 합금의 열전도도가 높은 것 도 Cr, Mn 등 열전도도에 나쁜 영향을 미치는 합금원소가 가장 적고 Mo 함량이 높기 때문인 것으로 판단된다[38].

그림 12는 950 °C에서 1시간 유지 후 퀜칭한 시험편을 570 °C, 600 °C, 630 °C에서 각각 1시간 템퍼링한 합금의 템퍼링 온도에 따른 열전도도 변화와 Fe 기지내 고용되어 있는 합금원소의 농도를 열역학으로 계산한 결과이다. 그 림 12(a)에서 각 합금은 모두 템퍼링 온도가 높아짐에 따라 합금의 미세조직은 템퍼링에 의해 탄화물이 석출되면서 기지조직인 페라이트의 열전도도는 높아지고 있다 [36]. Cr-Mo 합금은 570 °C에서 600 °C로 증가하면서 열전도도가 높아지고 있으나, 630 °C까지는 큰 변화가 없었다. 그러나 Mn-Cr 합금의 경우 570 °C와 600 °C에서 동일한 값을 나타내었으나, 템퍼링 온도가 630 °C로 높아지면서 매우 높은 열전도도 값을 나타내었다. C-Mo 합금의 경우 570 °C에서 이미 두 합금보다 높은 열전도도 36.5W/mK 값을 나타내 었으며, 600 °C까지는 큰 변화가 없었으나 630 °C에서 열전 도도가 조금 증가하였다. 이러한 열전도도 변화는 템퍼링에 의한 연화 저항과 동일한 경향을 나타내고 있다. 즉, 템퍼링 온도의 증가에 따라서 합금 중에 고용되어 있는 Cr, Mo, V 등의 원소들이 탄화물을 형성하면서 석출하면 기지조직인 페라이트는 점차 열전도도가 높아진다. 그림 12(b)는 합금 종류별 철에 고용되어 있는 모든 합금원소량을 온도에 따라 나타낸 것이다. 합금원소를 가장 적게 포함하고 있는 합금은 C-Mo 합금이며, 이는 높은 열전도도를 나타낸 결과와 일치한다. 또한 Mn-Cr 합금은 철내 고용량이 가장 많은 합금이며, 가장 낮은 열전도도값을 나타 내었다. 철에 첨가되는 합금원소 중에 열전도도가 높은 Mo은 철에 합금화 되는 원소 중에서 철의 열전도도를 가장 적게 감소시키는 원소이고, 최근 열피로 특성이 있는 금형 재료에 많은 양이 첨가되고 있다 [37]. 시험 합금 중 Mo 함량이 가장 높은 C-Mo 합금의 열전도도가 높은 것 도 Cr, Mn 등 열전도도에 나쁜 영향을 미치는 합금원소가 가장 적고 Mo 함량이 높기 때문인 것으로 판단된다 [38].

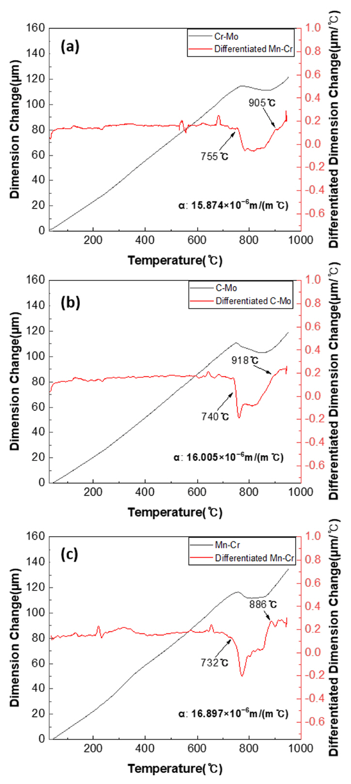
그림 13은 각 합금의 열분석(TMA) 시험에서 얻은 열팽창 곡선과 그 미분 곡선을 나타낸 그림이다. Cr-Mo 합금은 904.8 °C로 높은 Ac3 온도와 15.874×10-6 m/(m °C)의 낮은 열팽창계수를 나타내었으며, C-Mo 합금에서는 918.4 °C 로 Ac3 온도가 Cr-Mo 보다 조금 높지만 16.005×10-6 m/(m °C)로 열팽창계수에 큰 차이는 없었다. Mn-Cr 합금은 886.1 °C로 가장 낮은 Ac3 온도와 16.897×10-6 m/(m °C)의 높은 열팽창계수를 나타내었다. 열팽창은 첨가되는 용질원소의 상대적인 융점과 용질 첨가량에 의존하는 것으로 보고 되고 있으며[39], 시험 합금에서도 저융점 원소인 Mn 보다 고융점 원소인 Cr, Mo 첨가가 많은 합금의 열팽창률이 낮게 나타나고 있다.

4. 결 론

제동디스크 합금인 Ni-Cr-Mo-V 저탄소 저합금강의 합금 원소 함량을 변화 시키고, 이에 따른 합금의 미세조직 및 경도 변화, 인장특성, 충격특성, 열전도도와 열팽창률 차이 등의 기계적 성질과 열물리적 특성을 비교하여 다음과 같은 결론을 얻었다.

1) 합금은 퀜칭과 템퍼링에 의해 침상의 템퍼드 마르텐사이트 조직을 나타내었으며, 합금의 Mo 함량이 높을수록 용질원소의 결정립계 이동 억제 효과에 의해 오스테나이트 결정립 크기와 패킷 크기가 미세화 하였다. 또한 합금원소 차이는 템퍼링 온도 증가에 따른 합금의 경도 감소 경향에도 차이가 나타났다.

2) 상온 및 600 °C 고온 인장 시험에서 Mo 함량이 높은 합금의 마르텐사이트 조직이 미세화되어 Hall-Petch 식에 따라 상온 항복 및 인장강도가 높게 나타났으며, Mo 고용 강화와 Mo의 미세 탄화물에 의해 고온 강도도 Mo 함량순으로 높게 나타났다. 상온 인장에서는 모두 연성파괴의 딤플 모양이 관찰되었다.

3) 상온 충격특성의 경우 Mo 함량이 높은 합금은 610 °C에서 템퍼링이 부족하여 낮은 충격에너지 값을 보였 으며, 650 °C로 높아지면 경도는 낮아지고 충격에너지는 증가하였다. Mo 함량이 적게 포함된 합금에서는 템퍼링에 의한 회복지연과 조대한 결정립으로 낮은 충격값을 나타내었다. -30 °C 저온 충격의 경우 낮은 템퍼링 온도와 비교적 높은 Si 함량으로 낮은 충격에너지 값을 나타내었다.

4) 합금의 열전도도는 Cr, Mn 함금량이 작고 Mo 함량이 많은 합금에서 높게 나타났으며, 합금의 열팽창계수는 Cr, Mo 합금량이 많은 합금에서 낮은 값을 나타내었다. 이에 Mo 합금원소가 많을수록 열전도도는 높고 열팽창계수는 낮아졌으며, 변태점 Ac3 온도를 높이는 경향을 나타내 었다.

Acknowledgements

본 연구는 국토교통부/국토교통과학기술진흥원의 지원으로 수행되었습니다.(과제번호 21RSCD-A156406-02)

REFERENCES

1 
Mackin Thomas J., Noe Steven C., Ball K. J., Bedell B. C., Bim-Merle D. P., Bingaman M. C., Bomleny D. M., Chemlir G. J., Clayton D. B., Evans H. A., Gau R., Hart J. L., Karney J. S., Kiple B. P., Kaluga R. C., Kung P., Law A. K., Lim D., Merema R. C., Miller B. M., Miller T. R., Nielson T. J., O'Shea T. M., Olson M. T., Padilla H. A., Penner B. W., Penny C., Peterson R. P., Polidoro V. C., Raghu A., Resor B. R., Robinson B. J., Schambach D., Snyder B. D., Tom E., Tschantz R. R., Walker B. M., Wasielewski K. E., Webb T. R., Wise S. A., Yang R. S., Zimmerman R. S., Engineering Failure Analysis,9, 63 (2002)Google Search
2 
Deshpande S., Kamat A., IJERT,6, 223 (2017)Google Search
3 
Samrout H., Abdi R. El, Int. J. Fatigue,20, 555 (1998)Google Search
4 
Wang Z., Han J., Domblesky J.P., Li Z., Fan X., Liu X., Wear,428, 45 (2019)Google Search
5 
Wu S. C., Zhang S. Q., Xu Z. W., Int. J. Fatigue,87, 359 (2016)Google Search
6 
Sakamoto H., Hirakawa K., JSME. Int. J,48, 458 (2005)Google Search
7 
Grange R. A., Hribal C. R., Porter L. F., Metall. Trans. A,8A, 1775 (1977)Google Search
8 
SEW 520, High-strength cast steel with good weldability-Technical delivery conditions, (2017)
9 
Harada N., Takuma M., Tsujikawa M., Higashi K., Wear,302, 1444 (2013)Google Search
10 
Harada N., Uesugi T., Takigawa Y., Higashi K., ISIJ Int,57, 550 (2017)Google Search
11 
Mori H., Tominaga T., Matsui M., Qiu H., Tsujimura T., J. Jpn. Inst. Met,70, 785 (2006)Google Search
12 
Li Z., Han J., Yang Z., Li W., Eng. Fail. Anal,57, 202 (2015)Google Search
13 
Li Z., Han J., Li W., Pan L., Mater. Design,56, 146 (2014)Google Search
14 
Yurioka Nobutaka, ISIJ Int,41, 566 (2001)Google Search
15 
Totten G.E., Bates C.E., Clinton N.A., Handbook of Quenchants and Quenching Technology,35Materials Park (1993)Google Search
16 
Bain E. C., Paxton H. W., Alloying Elements In Steel,201Metals Park (1961)Google Search
17 
Pavlina E.J., Van Tyne C.J., J. Mater. Eng. Perform,17, 888 (2008)Google Search
18 
Hodge J. M., Orehoski M. A., Met. Trans. AIME,167, 627 (1946)Google Search
19 
Speich G. R., Leslie W. C., Met. Trans. AIME,3, 1043 (1972)Google Search
20 
Maki T., Tsuzaki K., Tamura I., Trans. ISIJ,20, 207 (1980)Google Search
21 
Chi C. S., Lee H. C., Kim S. J., Korean J. Met. Mater,17, 6 (1979)Google Search
22 
Zhang C., Wang Q., Ren J., Li R., Wang M., Zhang F., Sun K., Mat. Sci. Eng. A-Struct,534, 339 (2012)Google Search
23 
Uranga P., Shang C. J., Senuma T., Yang J. R., Guo A. M., Mohrbacher H., Adv. Manuf,8, 15 (2020)Google Search
24 
Lee S. J., Lee Y. K., Mater. Design,29, 1840 (2008)Google Search
25 
Lee Y. S., Lee H. J., Lee J. H., Korean J. Met. Mater,59, 769 (2021)Google Search
26 
Babu S. Ramesh, Nyyssönen T., Jaskari M., Järvenpää A., Davis T. P., Pallaspuro S., Kömi J., Porter D., Metals,9, 1255 (2019)Google Search
27 
Andersson J. O., Helander T., Höglund L., Shi P. F., Sundman B., Calphad,26, 273 (2002)Google Search
28 
Thermo-Calc Software TCFE11 Steels/Fe-alloys database (accessed 23 January 2021),
29 
Kim B. K., Goo N. H., Lee J. H., Han J. H., Korean J. Met. Mater,58, 822 (2020)Google Search
30 
Cheruvu N.S., Metall. Mater. Trans. A,20A, 87 (1989)Google Search
31 
Depinoy S, PTM 2015-International conference on solid-solid phase transformations in inorganic materials,8 (2015)Google Search
32 
Tomita Y., Okabayashi K., Metall. Mater. Trans. A,17A, 1203 (1986)Google Search
33 
Wang C., Wang M., Shi J., Hui W., Dong H., Scripta Mater,58, 492 (2008)Google Search
34 
Abramovitz P., Moll R.A., Metall. Mater. Trans. A,1, 1173 (1970)Google Search
35 
Sibley K.D., Breyer N.N., Metall. Mater. Trans. A,7A, 1602 (1976)Google Search
36 
Hafenstein S., Werner E., Wilzer J., Theisen W., Weber S., Sunderkotter C., Bachmann M., Steel Research Int,86, 1628 (2015)Google Search
37 
Wang G., Li Y., J. Appl. Phys,126, 125118 (2019)Google Search
38 
Evdokimov R. A., Derbisher E. V., Derbisher V. E., Germashev I. V., J. Phys,1353, 012064 (2019)Google Search
39 
Morrow H., Sponseller D.L., Semchyshen M., Metall. Trans,16A, 477 (1975)Google Search

Figures and Tables

Fig. 1.

Schematic illustration of heat treatment cycles for Ni-Cr-Mo-V alloys in this study.

../../Resources/kim/KJMM.2022.60/kjmm-2022-60-4-251f1.jpg
Fig. 2.

Hardness change of Ni-Cr-Mo-V alloys after quenching and tempering. Quenched at 940°C and tempered at various temperatures for 2hour.

../../Resources/kim/KJMM.2022.60/kjmm-2022-60-4-251f2.jpg
Fig. 3.

X-ray diffraction patterns of Ni-Cr-Mo-V alloys, quenched at 940 °C and tempered at 610 °C

../../Resources/kim/KJMM.2022.60/kjmm-2022-60-4-251f3.jpg
Fig. 4.

Optical microstructures of Ni-Cr-Mo-V alloys, quenched at 940 °C and tempered at 610 °C: (a) Cr-Mo, (b) C-Mo, (c) Mn-Cr

../../Resources/kim/KJMM.2022.60/kjmm-2022-60-4-251f4.jpg
Fig. 5.

Grain structure sizes of Ni-Cr-Mo-V alloys after quenching and tempering: (a) prior austenite grain, (b)packet size and (c) relationship between austenite grain size and packet size

../../Resources/kim/KJMM.2022.60/kjmm-2022-60-4-251f5.jpg
Fig. 6.

SEM microstructures of Ni-Cr-Mo-V alloys: (a),(c),(e) quenched at 940 °C and (b),(d),(f) tempered at 610 °C in (a),(b) Cr-Mo, (c),(d) C-Mo and (e),(f) Mn-Cr.

../../Resources/kim/KJMM.2022.60/kjmm-2022-60-4-251f6.jpg
Fig. 7.

TEM microstructures of C-Mo alloy quenched at 940 °C and tempered at 610 °C: (a) dark field image of tempered martensite and (b) dark field image of (Fe,Mo) carbides

../../Resources/kim/KJMM.2022.60/kjmm-2022-60-4-251f7.jpg
Fig. 8.

Calculated mass fraction of all phases for Ni-Cr-Mo-V alloys as a function of temperature: (a) Cr-Mo, (b) C-Mo, (c) Mn-Cr

../../Resources/kim/KJMM.2022.60/kjmm-2022-60-4-251f8.jpg
Fig. 9.

Tensile engineering stress-strain curves of Cr-Mo, C-Mo, Mn-Cr alloys tested at (a) room temperature and (b) elevated temperature of 600°C.

../../Resources/kim/KJMM.2022.60/kjmm-2022-60-4-251f9.jpg
Fig. 10.

Variations of impact strength of Ni-Cr-Mo-V alloys tested at (a)room temperature and (b)-30°C with different tempering temperatures for 2hour.

../../Resources/kim/KJMM.2022.60/kjmm-2022-60-4-251f10.jpg
Fig. 11.

SEM fractographs of tensile specimens at room temperature for (a),(b),(c); fractographs of impact tested specimens at room temperature for (d),(e),(f); and fractographs of impact tested specimens at low temperature of -30°C: (a),(d),(g) Cr-Mo, (b),(e),(h) C-Mo, (c),(f),(i) Mn-Cr

../../Resources/kim/KJMM.2022.60/kjmm-2022-60-4-251f11.jpg
Fig. 12.

Thermal conductivity changes(a) and concentration of alloying elements in Fe matrix(b) of Cr-Mo, C-Mo, Mn-Cr alloys quenched at 950 °C and tempered for 1hour.

../../Resources/kim/KJMM.2022.60/kjmm-2022-60-4-251f12.jpg
Fig. 13.

Thermal expansion curves and thermal expansion coefficients of Ni-Cr-Mo-V alloys quenched at 940 °C and tempered at 610 °C : (a) Cr-Mo, (b) C-Mo, (c) Mn-Cr

../../Resources/kim/KJMM.2022.60/kjmm-2022-60-4-251f13.jpg
Table 1.

Alloy designation and chemical composition (in wt.%) of Ni-Cr-Mo-V alloys

Alloys C Si Mn P S Ni Cr Mo V Al
Cr-Mo 0.16 0.78 0.52 0.004 0.008 1.046 0.83 1.096 0.116 0.011
C-Mo 0.21 0.66 0.43 0.004 0.009 0.84 0.41 1.43 0.094 0.007
Mn-Cr 0.19 0.78 1.07 0.004 0.008 0.954 1.13 0.512 0.11 0.015
Table 2.

Hardness data of Ni-Cr-Mo-V alloys after quenching and tempering

Condition Temp.(°C) Time (h) Hardness (HRc)
Cr-Mo C-Mo Mn-Cr
Quenching 940 1 41.9±0.2 44.6±0.3 43.9±0.4
Tempering 600 2 39.8±0.4 43.3±0.3 36.4±0.2
610 39.4±0.4 42.1±0.6 35.0±0.3
620 37.8±0.6 39.4±0.9 33.2±0.5
630 36.1±0.2 37.8±0.1 32.2±0.5
650 32.1±0.5 33.8±0.1 29.4±0.3
Table 3.

Tensile properties of Cr-Mo, C-Mo, Mn-Cr alloys tested at room temperature and elevated temperature of 600°C

Test Temperatures Specimens Tensile Strength (MPa) 0.2% Offset Yield Strength (MPa) Young’s Modulus (GPa) Elongation (%)
R.T. Cr-Mo 1187.0±7.2 1085.1±9.4 207.9±1.7 17.8±0.4
C-Mo 1301.0±6.0 1237.4±8.1 212.5±6.3 12.5±0.4
Mn-Cr 1053.4±4.7 949.7±3.8 209.6±3.3 17.9±1.8
600°C Cr-Mo 751.3±13.3 662.0±6.7 152.1±4.5 27.8±1.0
C-Mo 846.1±28.8 755.7±33.1 155.9±2.0 28.0±1.2
Mn-Cr 667.2±22.9 610.5±18.0 148.8±4.8 33.5±1.0