The Journal of
the Korean Journal of Metals and Materials

The Journal of
the Korean Journal of Metals and Materials

Monthly
  • pISSN : 1738-8228
  • eISSN : 2288-8241

Editorial Office


  1. 동의대학교 신소재공학과 (Department of Advanced Materials Engineering, Dong-Eui University, Busan 47340, Republic of Korea)



copper, thin films, transparent heaters, electrical resistance, optical transmittance

1. 서 론

전류의 흐름에 의해 열이 발생하는 줄발열 (Joule heating) 방식에 기반한 투명 면상발열체는 자동차 성에 제거, 스마트 건축물의 창호, 태양전지 등 다양한 분야에 적용되고 있다 [1-3]. Indium tin oxide (ITO)는 상대적으로 높은 가시광선 투과도 (80-90%)와 낮은 면저항 (10-100 Ω/sq.)로 인해 양호한 면상 발열특성을 가지고 있어 대부분의 상업적인 분야에 적용되고 있지만 [4-6], 이러한 특성은 고온 (>250 °C)에서 제조되거나 후열처리 과정을 거쳐야 하며, 또한 낮은 면저항을 확보하기 위해서 ITO 박막의 두께를 상당히 높여야 한다는 단점이 있다 [7]. 예를 들면 ITO의 비저항이 약 10-4Ω·m이므로 100 Ω/sq의 면저 항을 확보하려면 1,000 nm 두께의 상당한 후막을 형성하여야 한다. 이러한 이유로 인해, ITO투명 면상발열체는 낮은 면저항이 요구되는 대면적 응용분야에 적용이 불가하다는 단점을 가지고 있다. 이러한 ITO를 대체하기 위하여 그래핀 (graphene) [8], 카본 나노튜브 (carbon nanotube) [9], 금속 나노와이어 (metallic nanowire) [10], 산화물/금속/산화물 (oxide/metal/oxide) [11-14] 등에 대한 연구가 활발히 진행되고 있다. 그래핀과 카본 나노튜브는 상대적으로 높은 광학적 투과도를 보이지만 면저항이 매우 높아 투명 면상발열체 적용에 있어 경쟁력이 떨이지고 금속 나노와이어는 높은 가시광선 투과도와 낮은 면저항을 동시에 가지지만 나노 사이즈의 선(line) 상 발열에 의해 열적 안정성과 장기 신뢰성이 부족하여 상업적인 적용에 한계가 뚜렷하다. 반면, 산화물/금속/산화물 (oxide/metal/oxide) 구조의 투명 면상발열체는 높은 가시광선 투과도와 낮은 면저항을 가질 뿐만 아니라 면(plane) 상 발열에 의해 열적 균일도와 장기안정성도 우수한 것으로 평가받고 있다. 하지만 금속층으로 낮은 비저항 (1.6 μΩ·cm)과 높은 가시광선 투과를 보이는 고가의 Ag을 사용함에 따라 제조 비용이 높다는 단점을 가지고 있다.

본 연구에서는 Ag에 비해 재료 비용은 현저히 낮으나 유사한 비저항 (1.7 μΩ·cm)을 가지는 Cu를 적용한 투명 면상 발열체에 대해 조사하였다. 산화물/금속/산화물 구조에서 산화물빛반사 방지막과 부식방지막 특성을 동시에 수행하는 상·하부 산화물은 ZnO를 이용하였다. Cu의 두께를 4-40 nm로 변화시키며 구조적, 광학적, 전기적 특성을 제어하였으며, 특히, 면저항을 0.8-96.2 Ω/sq.의 큰 폭으로 변화시키며 줄발열 시험을 실시한 결과 고온 (>100 °C)에서도 매우 안정적인 구동이 되는 것을 확인하였다. 또한, Cu 박막의 두께와 관계없이 특정온도에 도달하는 데 필요한 전력은 일정한 것으로 확인되어 줄발열 법칙과 일치하는 것으로 확인되었다. 이러한 열-전자 관계식을 이용해 발열체의 중요한 파라미터인 대류열전달계수 (convective heat transfer coefficient)를 측정하였다.

2. 실험 방법

ZnO/Cu/ZnO 구조의 투명 면상발열체는 20 mm × 20 mm × 0.5 mm의 유리 기판 (non-alkali glass, AMG Glass & Metal) 상에 제조되었다. Cu 층은 99.9999 wt% 순도의 Cu pellet을 이용하여 전자빔증발장치 (electron beam evaporator)로 형성하였다. 기저압력 (base pressure)을 4.5 × 10-6 Torr 이하로 유지시킨 상태에서 증발을 실시하였으며, 크리스탈 모니터 (crystal monitor, Sorona) 를 이용하여 증착속도를 실시간으로 측정하며 자동화된 피드백 프로그램 (feedback program)을 이용하여 전류를 자동으로 조절하여 증착률을 0.2 nm/s로 고정하였다. 기판과 pellet의 거리는 800 mm로 유지되었다. ZnO 층은 99.999 wt%의 순도를 가지는 3인치 지름의 타겟을 이용하여 스퍼터 (sputter)법으로 형성하였다. 기저압력은 1 × 10-6Torr 이하로 낮춘 상태에서 99.9999% 순도의 Ar 가스를 주입하여 1.5 × 10-2 Torr로 상승 유지시킨 상태에서 교류 (radio frequency) 전력 75 W를 인가하여 스퍼터를 실시하였다. 타겟과 기판의 거리는 100 mm로 유지하였다. ZnO의 두께는 200 nm 두께 이상의 후막을 형성 후 Alpha-step Surface Profiler (D-100, KLA Tencor)를 이용하여 측정하였으며 도출된 증착률은 0.046 nm/s이었다. Cu 층의 두께는 4-40 nm 범위에서 변경하였으며, 상부 ZnO와 하부 ZnO 층은 가장 높은 투과도를 보이는 40 nm와 20 nm의 두께로 고정시켰다. ZnO/Cu/ZnO 투명 면상발열체 제조 후, 전자빔증발장치를 이용하여 5 mm의 폭과 100 nm의 두께를 가지는 Ag 전극을 양변에 평행하게 형성하였다. (Fig 1(a)) 전자빔증발장치와 스퍼터링 장치 모두 증착 도중에 인위적인 가열이나 냉각을 실시하지 않았다.

Cu층의 두께 변화에 따른 형상 관찰을 위하여 융합부품 소재 핵심연구지원센터 장비인 전계방출형 주사전자현미경(JSM-800)을 이용하였다. Cu층의 형상 변화를 면밀히 관찰하기 위하여 상부 ZnO층은 증착하지 않았다. 투명 면상 발열체의 면저항은 4점 저항 측정기 (4 Point Probe System, CMT-100S, AIT)를 이용하여 측정하였고, 광투과도는 자외-가시광선-적외선 분광계 (Spectrophotometry, CARY series, Agilent)를 이용하여 측정하였으며 이 때 공기의 투과도를 baseline으로 설정하였다. 면상발열체의 특성을 평가하기 위하여 직류 (direct current) 전력 공급장치(EPS-3305, EZT)를 이용하여 전압을 인가하며 전류를 측정하였으며, 면상발열체의 온도는 비접촉식 적외선(infrared light) 카메라 (PTI120, Fluke)를 이용하여 측정하였다.

3. 결과 및 고찰

Fig 1(a)은 ZnO/Ag/ZnO 투명 면상발열체의 상부 ZnO와 하부 ZnO 두께를 각각 40 nm와 20 nm로 고정한 채, Cu층의 두께를 4-40 nm까지 변경시킬 때의 면저항 측정 결과이다. Fig 1(b)는 4, 8, 10, 12 nm 두께를 가지는 Cu층의 형상을 보여주는 FE-SEM 이미지이며, 12 nm의 두께에 도달하기 전에는 아직 완벽한 연속박막을 이루지 못 한 것을 알 수 있다. 이는 Cu의 경우 높은 표면에너지를 가지며 기판상에서 원자의 이동도가 높아 서로 뭉쳐서에너지를 낮추어 안정화하려는 특성을 가지는 Volmer-Weber 성장 모드를 추종하기 때문이다. 면저항의 관계식 R s ( 면저항 ) = ρ ( 비저항 ) t ( 두께 ) 을 고려할 때 비저항과 두께가 모두 면저항에 영향을 미치게 되는 데, 특히 비저항은 연속박막을 이루기 전과 후로 나누어 분석하는 것이 효과적이다. 박막의 두께가 연속박막을 형성하기 전 (<12 nm)에는 두께증가에 따라 박막의 연속박막화가 진행됨에 전류의 흐름이 원할해지고 전자의 표면산란 또한 급격하게 저감되어 단순히 두께 증가에 따른 면저항 감소폭 이상으로 급감하는 것을 알 수 있다. 연속박막을 형성한 후에는 표면산란에 의한 효과도 감소하게 되어 두께 증가에 따른 면저항 감소가 완만해지는 것을 확인할 수 있다. Cu층의 두께가 4-40 nm로 변화됨에 따라 면상발열체의 면저항은 0.85-96.2 Ω/sq.으로 조절되었다.

Fig 2(a)는 ZnO/Cu/ZnO 면상발열체 구조에서 Cu의 두께가 4-40 nm 범위에서 변화할 때 가시광선 (λ: 400-800 nm) 파장별 투과도 결과이며, 가시광선 평균투과도와 최고 투과도값을 Fig 2(b)에 정리하였다. 주목할 점은 Cu층의 두께가 약 10 nm까지 증가할 때는 두께의 증가가 투과도의 증가를 유발하는 반면, 10 nm 이상의 두께에서는 두께의 증가가 투과도의 감소를 일으킨다는 점이다. 이는 Fig 1(b)에서 보듯이 Cu층이 10 nm 이하의 두께에서 연속박막을 이루지 못 하고 기공 (pore)이 존재할 때는 localized surface plasmon resonance현상에 의해 입사빔의 일부가 흡수되어 투과도가 감소된다는 문헌상의 보고와 일치한다[14,15]. 연속박막이 형성된 두께 이상에서는 두께가 증가할수록 Cu층 내부에서 흡수가 증가하여 투과도가 감소되는 것을 확인할 수 있다.

Fig 3은 ZnO/Cu/ZnO 투명면상 발열체의 발열특성을 보여준다. Fig 3(a)는 인가전압을 7V까지 0.5 V 단위로 단계적으로 증가시킴에 따른 열적 반응 분포를 열화상 이미지와 함께 나타내었다. 전압 증가와 함께 즉각적인 열적 상승이 발생하는 것으로 관찰되었다. Fig 3(b)는 3-7 V 범위의 전압 범위에서 특정 전압을 인가 후 1200 s 동안 유지하였다. 모든 인가 전압 범위에서 전압 인가 후 약 120 s 이후에 최종 온도의 약 90%에 도달하였으며, 최종 온도 구간에 도달후에는 매우 안정적인 정상 상태 (steady-state)의 발열 특성을 보여준다. Fig 3(c)-(d)는 5V와 7V의 전압을 인가할 때의 발열 균일도 (thermal uniformity)를 나타내는 데, 발열체의 테두리 부분이 외부 공기와의 접촉으로 인해 온도가 낮아지는 현상이 확인되었으며, 가운데 부분의 발열 특성은 우수한 것으로 확인되었다.

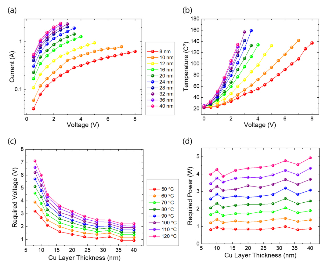
Fig 4는 ZnO/Cu/ZnO면상발열체의 Cu층 두께에 따른 전기적 특성에 대해 분석한 결과를 보여준다. Fig 4(a)는 전류-전압 관계를 보여주는 데, Fig 4(a)에서와 같이 두께가 증가할수록 면저항이 감소함에 따라 전류가 증가하는 것을 알 수 있다. 줄의 법칙 (온도 ∝ I×V=V/R2)에 의하여 Fig 4(b)에서 보듯이 면상 발열체의 온도는 일정전압인가 시 저항이 낮을수록 더 높아지는 특성을 보인다. 또한 Fig 4(c)에서 면저항이 낮을수록 목표온도 (50-130 °C)에 도달하는 데 더 낮은 전압이 요구되는 것을 실험적으로 확인하였다. 하지만, Fig 4(d)에서 보듯이 특정 온도에 도달하기 위해 요구되는 입력전력 (power=I×V)은 Cu층의 두께 (면저항 값)과 관계없이 일정한 것을 알 수 있다.

열전달력 (thermal transfer capability)은 얼마나 효율적으로 주위 매체에게 열을 전달하는 지를 정량화하는 것으로 면상 발열체의 중요한 열전달 관련 파라미터이다. 전기적으로 구동되는 발열체는 Fig 4에서와 같이 인가된 전력에 의해 열을 발생시키고, 이와 동시에 대류 (convection), 전도 (conduction), 복사 (radiation) 손실 메커니즘에 의해 발생한 열이 방출되게 된다. 300 °C 미만의 온도에서는 전도와 복사에 의한 열손실을 무시할 정도로 작기 때문에 [16,17] 열 손실은 전적으로 대류에 의한 손실이라고 간주해도 된다. 이 때 대류에 그리고 발열체의 표면온도는 아래의 관계식을 가진다. [16]

(1)
T s = I V h A + T a

여기서 Ts, Ta, h, A는 각각 발열체의 표면온도, 공기온도, 대류열전달계수, 면상발열체의 표면적이다. Fig 5(a)는 10 nm 두께의 Cu층을 가지는 ZnO/Cu/ZnO 면상 발열체의 온도를 인가전력/면적 (power/area)에 따라 계산하여 표현한 그래프이다. 선형의 기울기를 통해 ZnO/Cu/ZnO 면상발열체가 줄발열 법칙을 추종하는 것으로 확인되며, 그 기울기 값 (1/h)과 Eq. (2)를 비교하여 ZnO/Cu/ZnO 면상발열체의 Cu층의 두께에 따른 대류열전달계수를 구하여 Fig 5(b)에 나타내었다. Cu층의 두께 증가에 따라 발열층의 부피 증가에 따라 평균값 (359.8 W·C-1·cm-2) 대비 소폭 (13%) 상승하는 것을 확인할 수 있다. 이 값은 은 나노와이어 (Ag nanowire) 등 공간적으로 꽉 채워지지 않는 발열체에 비해 매우 높으며 [18,19], 이는 Cu 박막 기반의 면상발열체의 효율성을 보여준다.

4. 결 론

본 연구에서는 Ag보다 현저히 가격경쟁력이 있으며 Ag (1.6 μΩ·cm)와 유사한 비저항을 가지는 Cu (1.7 μΩ·cm) 박막 기반의 투명 면상발열체의 특성에 관한 연구이다. 유리 기판 상에 Cu층 상하부에 빛반사방지막과 부식방지막의 역할을 하는 상부 ZnO 층 (40 nm)과 하부 ZnO 층 (20 nm) 추가하여 투명 면상발열체의 특성을 향상시키고 장기 안정성을 확보하였다. Cu층의 두께를 4-40 nm 범위에서 변화시킬 때 수반되는 구조적, 전기적, 광학적, 열적 성질에 대해 분석하였다. Cu층이 증착될 때 Volmer-Weber 3D 성장 모드를 추종하여 10 nm 이하의 극박 두께에서는 연속박막을 이루지 못하였기 때문에 이 두께 영역에서는 두께의 증가에 따라 전자가 흐를 수 있는 통로의 확장과 전자의 표면산란의 감소로 인해 면저항이 급감하였다. 투과도의 경우 Cu층이 연속박막을 막 이루는 두께 근처에서 최고 투과도가 확인되었으며 추가적인 두께 증가는 투과도의 감소가 수반되었다. Cu층의 두께가 증가할수록 면저항은 저감되어 동일 전압 인가 시 발열특성이 증대되었으며, 줄발열 법칙을 추종하여 면상발열체의 온도는 인가된 전력에 선형적으로 비례하였으며 이를 이용하여 계산한 대류열 전달계수의 평균치는 359.8 W·cm-2·C-1 이었다.

REFERENCES

1 
Bae J. J., Lim S. C., Han G. H., Jo Y. W., Doung D. L., Kim E. S., Chae S. J., Huy T. Q., Van Luan N., Lee Y. H., Adv. Funct. Mater,22, 4819 (2012)Google Search
2 
Kim T., Kim Y. W., Lee H. S., Kim H., Yang W. S., Suh K. S., Adv. Funct. Mater,23, 1250 (2013)Google Search
3 
Lv J., Song Y., Jiang L., Wang J., ACS Nano,8, 3152 (2014)Google Search
4 
Guo X., Liu. X., Lin F., Li H., Fan Y., Zhang N., Sci. Rep,5, 10569 (2015)Google Search
5 
Im K., Cho K., Kim J., Kim S., Thin Solid Films,518, 14, 3960 (2010)Google Search
6 
Papanastasiou D. T., Schultheiss A., Muñoz-Rojas D., Celle C., Carella A., Simonato J. -P., Bellet D., Adv. Funct. Mater,30, 21, 1910225 (2020)Google Search
7 
Gupta Ritu, Rao K. D. M., Kiruthika S., Kulkarni Giridhar U., ACS Appl. Mater. & Interf,8, 12559 (2016)Google Search
8 
Sui D., Huang Y., Huang L., Liang J., Ma Y., Chen Y., Small,7, 3186 (2011)Google Search
9 
Yoon Y. H., Song J. W., Kim D., Kim J., Park J. K., Oh S. K., Han C. S., Adv. Mater,19, 4284 (2007)Google Search
10 
Hong S., Lee H., Lee J., Kwon J., Han S., Suh Y. D., Cho H., Shin J., Yeo J., Ko S. H., Adv. Mater,27, 4744 (2015)Google Search
11 
Lee D., Bang G., Byun M., Choi D., Thin Solid Films,697, 137835 (2022)Google Search
12 
Bang G., Choi D., Korean J. Met. Mater,59, 155 (2021)Google Search
13 
Choi J., Choi D., Korean J. Met. Mater,59, 664 (2021)Google Search
14 
Lee T., Kim D., Suk M. E., Bang G., Choi J., Bae J. -S., Yoon J. -H., Moon W. J., Choi D., Adv. Funct. Mater,31, 2104372 (2021)Google Search
15 
Zhang C., Ji C., Park Y.-B., Guo L. Jay, Adv. Opt. Mater,2001298 (2020)Google Search
16 
Jo H. S., An S., Lee J., Park H. G., Al-Deyab S. S., Yarin A. L., Yoon S. S., NPG Asia Materials,9, (2017)Google Search
17 
Roul M. K., Pradhan S. K., Song K. D., Bahoura M. J., J. Mater. Sci,54, 7062 (2019)Google Search
18 
Ji S., He W., Wang K., Ran Y., Ye C., Small,10, 4951 (2014)Google Search
19 
Şimşek E., Coskun S., Okutucu-Özyurt T., Unalan H. E., Internat. J. Therm. Sci,123, 1 (2018)Google Search

Figures

Fig. 1.

(a) Sheet resistance of the glass/ZnO/Cu/ZnO stack as a function of Cu layer thickness in the range of 4-40 nm. The schematic heater structure with each layer thickness is given in the inset. (b) FE-SEM images of the Cu layers with the thicknesses of 4, 8, 10 and 12 nm.

../../Resources/kim/KJMM.2022.60/kjmm-2022-60-7-511f1.jpg
Fig. 2.

(a) Visible light transmittance for the heater structure of glass/ZnO (20 nm)/Cu (4-40 nm)/ZnO(40 nm). The transmittance was measured using the air as the baseline, and the transmittance of the bare glass substrate is also included as a reference. (b) Summary of the maximum and average transmittances for Fig. 2(a) as a function of Cu layer thickness. the transmittance of the bare glass substrate is also included as a reference.

../../Resources/kim/KJMM.2022.60/kjmm-2022-60-7-511f2.jpg
Fig. 3.

(a) A representative temperature response profile during Joule heating for the ZnO/Cu (??? nm)/ZnO heaters with increasing applied voltage up to 7 V, at which the heating test was intentionally ceased. Applied voltages at each step were maintained for 180 s. IR camera images captured at each applied bias are included. (b) Temperature profile for the heater having 10-nm-thick Cu layer with increasing voltages from 3 V to 7 V. At each bias, DC bias was applied for 120 s and then the heating test stopped intentionally. Thermal distributions are presented at the applied bias of (c) 5 and (d) 7 V.

../../Resources/kim/KJMM.2022.60/kjmm-2022-60-7-511f3.jpg
Fig. 4.

(a) Current-voltage relation and (b) temperature-voltage relation are given. The required (c) voltage and (d) power required to reach temperatures in the range of 50-120 °C as a function of Cu layer thickness are given.

../../Resources/kim/KJMM.2022.60/kjmm-2022-60-7-511f4.jpg
Fig. 5.

(a) Temperature as a function of power/area for the heater having 10-nm-thick Cu layer is given. The linearity indicates the heating characteristics well follow the Joule’s law. According to Eq. (1), the convective heat transfer coefficient (h) can be identified (b) Extracted h values as a function of the Cu layer thickness. The average value of 359.8 W·C-1·cm-2 is given as a dashed line.

../../Resources/kim/KJMM.2022.60/kjmm-2022-60-7-511f5.jpg