이상은
(Sang Eun Lee)
1
박준서
(Jun Seo Park)
1
박희정
(Hee Jung Park)
1*
-
단국대학교 신소재공학과
(Department of Materials Science and Engineering, Dankook University, Cheonan 31116,
Republic of Korea)
Copyright © 2022 The Korean Institute of Metals and Materials
Key words
metal-supported SOFC, Ni-Fe alloy metal support, contacting layer, perovskite cathode
1. 서 론
연료전지의 한 종류인 고체산화물 연료전지 (solid oxide fuel cell, SOFC)는 연료의 화학에너지를 전기에너지로 변환하여 전기를 생산하는
발전장치이다. SOFC는 산화물을 고체전해질로 사용하기 때문에 화학적 안정성이 우수하고, 작동온도가 높아 백금, 이리듐 (Pt, Ir)과 같은 귀금속
촉매의 미사용이 가능하다. 또한 메탄과 같은 탄화수소계 연료 사용이 가능하고 스택화가 용이하다는 장점 때문에 차세대 연료전지로 주목받고 있다 [1-3]. 하지만 고온 작동을 위한 에너지 소비, 단전지 구성 요소 (양극-고체전해질-음극) 간의 화학적 반응 및 열팽창 계수 비매칭 등이 상용화의 걸림돌로
알려져 있다 [4-6]. 이를 위해 작동온도를 저감하기 위한 노력이 지속되고 있으나 여전히 만족스럽지 못한 상태이다. 이와 같은 부분적인 문제 외에도 현재 개발되고 있는
SOFC는 세라믹 지지형 (고체전해질이나 음극 세라믹이 지지체) 전지이기 때문에 열 충격 및 기계적 충격에 취약하다. 따라서 응용 분야도 고온에서
지속 사용이 가능한 분산 발전용으로 국한되어 있다. 차량과 같은 전원 켜기-끄기 (on-off)가 빈번이 일어나는 수송용 연료전지의 경우 SOFC가
아니라 고분자 재료 기반의 고분자전해질막 연료전지 (polymer electrolyte membrane fuel cell, PEMFC)가 사용되고
있다. 상용화된 현대자동차의 수소연료전지차인 넥쏘 또한 PEMFC가 적용되어 있다. 이와 같은 SOFC의 열적 신뢰성 및 응용적 한계를 극복하기 위해
최근 금속지지형 SOFC에 대한 연구가 시작되었다.
금속지지형 (metal-supported) SOFC는 금속지지체 위에 후막의 단전지 (음극-고체전해질-양극)가 형성된 형태로 금속의 기계적 유연성이
적용된 차세대 SOFC이다. 금속지지체 사용으로 스택 (Stack) 제작 시 금속분리판과의 연결도 용이하다 [7,8]. 현재 금속지지체로 연구되고 있는 것은 (1) Ni, (2) Ni-Fe 합금과 (3) Stainless steel (STS)이다[9,10]. Ni과 Ni-Fe 합금은 산화-환원 분위기에 따라 금속과 산화물로 가역적으로 변하는 것으로 알려져 있고, STS는 반면 구성성분인 금속 원소들의
산화환원 비가역성 (금속-산화물 비가역)으로 한번 산화되면 환원시키기 어려운 것으로 알려져 있다 [11-13]. 따라서 Ni 또는 Ni-Fe 합금을 지지체로 사용하는 것이 단전지 제조 공정의 난이도 측면에서 유리하다고 할 수 있다. 지지체의 열팽창 계수를
고려하면 Ni-Fe 합금이나 STS가 순수 Ni 보다 유리하다. 즉, Ni-Fe나 STS의 열팽창계수가 금속지지체 위에 형성될 음극과 고체전해질의
열팽창계수와의 차이가 적다. Ni-Fe와 STS의 열팽창계수는 약 15×10-6/°C인 반면, Ni는 약 20×10-6/°C이다 [14,15]. 음극으로 사용되는 Ni-YSZ (yttria-stabilized zirconia)나 Ni-ScSZ (scandia-stabilized zirconia),
그리고 고체전해질 (YSZ 또는 ScSZ)의 열팽창계수는 약 10~12×10-6/°C이다 [16,17].
상기와 같은 금속지지체의 산화환원 가역성과 열팽창계수를 고려하여 본 연구에서 금속지지체로 Ni-Fe 합금을 선택하였다. 세라믹지지형 SOFC에 대한
연구 보고와 달리 금속지지형 SOFC에 대한 연구는 거의 보고되어 있지 않다. 따라서 연료전지 제조에 어려움이 있을 수 있다. 본 연구에서는 기존
Ni-Fe 합금 금속지지체를 사용하는 SOFC의 구조와 달리 금속지지체와 음극층 사이에 콘텍층(contacting layer)를 삽입하였다 (기존
보고된 Ni-Fe 금속지지형 SOFC 구조 : 양극/고체전해질/음극/Ni-Fe 금속지지체. 본 연구의 SOFC 구조 : 양극/고체전해질/음극/콘텍층/Ni-Fe
금속지지체). 금속지지체와 음극의 정합성 향상을 위해 금속지지체 조성과 음극지지체 조성이 혼합된 복합체를 콘텍층으로 사용하였다. 이와 같은 콘텍층의
도입으로 성공적으로 금속지지형 SOFC를 제작할 수 있었다. 전해질 소재로는 지르코니아를 이용하였고 양극 소재로는 페로브스카이트 결정구조를 갖고 있는
전도성 소재 (Ba-Sr-Co-Fe-O (BSCF), La-Sr-Mn-O (LSM))를 이용하였다. 이와 같은 구성으로 제작된 SOFC에 대한 전기화학적
특성을 연구하였다.
2. 실험방법
2.1 Ni-Fe 금속지지형 SOFC 제조
금속지지형 SOFC 단전지 (single cell) 제조를 위해 선행적으로 지지체 제작이 필요하다. 이를 위해 원료 분말로 NiO (Kceracell,
99.9%, (d50)~0.7 μm), Fe2O3 (LTS Research laboratories, 99.9%)를 사용하였다. NiO와 Fe2O3를 5:5 부피비로 하였고 기공형성을 위해 기공형성제 (corn starch, Samchun를 5 wt%)를 첨가하였다. 지르코니아 볼을 이용하여
혼합 분말을 볼밀링 (ball-milling)하였다. 건조 후 혼합된 분말을 직경 20 mm의 금속 몰드를 이용하여 펠렛(pellet) 형태로 성형하였다.
이후 공기 중 900 °C에서 2시간 동안 소성 (firing)하였다.
양극을 제외하고 지지체 위에 형성되는 층 (콘텍층-전해질층)은 슬러리 제조 후 드롭 코팅법 (drop-coating method)을 이용하여 제조하였다.
콘텍층은 분말크기가 큰 NiO와 Y-doped ZrO2 (Kceracell사)를 7 : 3 부피비로 혼합한 분말을 이용하였고, 음극은 분말 크기가 작은 NiO와 Sc/Gd/Ce-doped ZrO2 (10ScSZ, Kceracell사)를 5.5 : 4.5로 혼합한 분말을 이용하였다. 콘텍층과 음극의 기공 형성을 위해 기공형성제를 첨가하였다.
전해질층은 기공형성제 없이 이온전도체 소재인 10ScSZ 분말을 원료분말로 사용하였다. 상기 원료분말과 바인더 및 가소제를 용매에 넣고 혼합하여 슬러리
(slurry)를 제조하였다. Isopropyl alcohol (IPA, Samchun, 99.5%), B-98 (Acros, 98%) 및 Di-nbutyl
phthalate (DBP, Samchun, 99%)를 각각 용매, 바인 더 및 가소제로 사용하였다. 제조된 슬러리를 소성한 벌크 지지체 위에 콘텍층-음극-전해질
순으로 코팅하였다. 이후 동시에 열처리하였다. 열처리 조건은 공기 중 1350 °C, 2시간 (h)이었다. 양극은 페로브스카이트 재료인 Ba0.5Sr0.5Co0.8Fe0.2O3 (BSCF)와 La0.8Sr0.3Mn1.02O3 (LSM)을 이용하였다. BSCF를 양극으로 사용한 SOFC 단전지는 지르코니아 전해질과의 화학적 반응방지를 위해 세리아 (Ce0.8Gd0.2O2, GDC) 반응방지층 (protecting layer)을 추가로 삽입하였다. BSCF 양극이 적용된 SOFC의 구성은 BSCF 양극 / 반응방지층
/ 전해질 /음극 /콘텍층 /지지체이다 (이 단전지를 BSCF_MScell로 명명한다). LSM을 사용한 단전지 (LSM_MS-cell)의 구성은
반응방지층 없이 LSM 양극 / 전해질 / 음극 / 콘텍층 / 지지체로 구성하였다. 양극은 스크린프린팅법 (screen printing method)을
이용하여 형성하였다. 양극 원료분말(BSCF, Kceracell사, 99.9%. LSM, Kceracell, 99.9%)과 잉크 (FCM사, ink
vehicle)를 섞어 고점도 슬러리를 제조한 후 스크린프린팅하였다. 이후 열처리하여 양극을 형성하였다. BSCF-cell은 공기 중 1000 °C에서,
LSM-cell은 1200 °C에서 각각 소성하였다.
SOFC의 미세구조는 주사전자현미경 (scanning electron microscope, SEM, Phenom Pharos, Thermofisher
Scientific)을 이용하여 분석하였다. 각층의 기공도 (porosity)는 image analyzer를 이용하여 분석하였다.
2.2 SOFC 단전지 전기화학적 성능 평가
SOFC 단전지 성능평가를 위해 BSCF_MS-cell과 LSM_MS-cell의 양면에 전류 집전체로 Pt 메쉬를 형성하였다. 이 후 원통형 알루미나
지그에 단전지를 위치시키고 가스 입출입을 막기 위해 유리 실런트 (sealant, Aremco 617)로 실링 (sealing)하였다. 이후 양극
쪽에는 공기를 음극 쪽에는 수소 (질소 95%-수소 5% 혼합가스)를 주입시켰다. 800 °C까지 승온시켜 음극 쪽 구성인 음극 / 콘텍층 / 지지체를
환원시킨 후 연료전지 성능 평가를 진행하였다. -전기화학계측기 (Zive SP2, Wonatech)를 이용하여 I-V (전류-전압) 특성 및 교류
임피던스 (ac impedance) 저항을 분석하였다.
3. 결과 및 고찰
일반적인 SOFC 단전지는 음극-고체전해질-양극으로 구성된다. 일반적으로 음극 재료로는 Ni-YSZ 또는 Ni-ScSZ가 사용되고, 고체전해질로 YSZ
또는 ScSZ가 사용된다. 양극으로는 페로브스카이트 결정구조체 (La-Sr-Mn-O, La-Sr-Co-Fe-O 또는 Ba-Sr-Co-Fe-O)를 이용한다.
음극부터 양극까지 모두 세라믹 물질이다 (음극은 세라믹-금속 복합체). 단전지의 기계적 강도는 지지체에 의존하는데 통상 고체전해질이나 음극 소재가
지지체로 사용된다. 고체전해질을 지지체로 이용하는 경우 전해질지지형 SOFC라고 하고, 음극을 지지체로 하는 경우 음극지지형 SOFC라고 한다. 모두
세라믹지지형이다. 이와 같은 세라믹지지형이 일반적으로 연구되고 산업적으로 이용되고 있는 SOFC이다. 본 연구에서는 통상의 세라믹지지형 SOFC와
다른 금속지지형 SOFC를 제작하고 이의 전기화학적 특성을 연구하였다. 양극으로는 범용적으로 사용하는 BSCF와 LSM 페로브스카이트 소재를 이용하였다.
그림 1(a)는 BSCF 양극으로 구성된 금속지지형 SOFC (BSCF_MS-cell)의 환원 전 단면 사진이다. 전술한 바와 같이 금속지지체로 Ni-Fe alloy를
사용하였다 (환원 전에는 NiO-Fe2O3 복합체이다). 그림에서 볼 수 있는 것처럼 금속지지체부터 음극층까지는 다수의 기공이 존재하는 것을 알 수 있다. 연료전지 작동 시 환원 분위기에
노출되면 금속지지체부터 음극까지의 기공율은 더 증가하게 된다 (기공율의 증가는 표 1에서 볼 수 있다. 참고로 NiO가 Ni로 환원될 때 약 41%의 부피 감소가 일어난다). 고체전해질 층은 목적대로 치밀한 구조로 형성되었다. BSCF
양극은 약 20 mm의 두께로 다기공 구조로 형성되었다. 한가지, BSCF 양극은 구성 원소인 바륨 (Ba)과 스트론튬 (Sr)이 지르코니아 고체전해질과
반응하여 부도체 상인 BaZrO3 또는 SrZrO3 상을 형성하는 것으로 잘 알려져 있다 [18,19]. 부도체 상이 형성되면 양극과 고체전해질 사이에 오믹저항 (ohmic resistance)이 급격히 커지고 상응하여 양극 분극저항 (polarization
resistance)도 커지는 것으로 알려져 있다 [18,19]. 이는 종국적으로 SOFC의 출력밀도를 낮추는 결과를 가져온다. 그림 1(a, b)에서 볼 수 있는 것처럼 이를 막기위해 세리아 반응방지층을 삽입하였다. 하지만 치밀하게 형성되지 않아 부도체 상이 일부 형성되었다. (그림 1(b)). 즉, 반응방지층을 삽입했음에도 불구하고 고체전해질 표면에 부도체 상의 형성을 막을 수 없었다. 그림 1(c)는 수소 환원 후 셀 이미지를 보여준다 (연료전지 실험 후 이미지임). 금속지지체부터 음극층까지 구성 성분의 환원으로 기공율이 크게 증가되었음을 알
수 있다.
그림 2는 LSM 양극으로 구성된 금속지지형 SOFC를 보여준다 (LSM_MS-cell). 금속지지체는 BSCF_MS-cell과 동일하게 Ni-Fe alloy를
사용하였다. 단, 반응방지층 없이 양극으로 LSM을 사용하였다 (BSCF와 달리 LSM 양극과 지르코니아계 고체전해질 사이에는 부도체 상이 형성되지
않는 것으로 알려져 있다) [20]. 그림 2(a)는 LSM_MS-cell의 단면 SEM 이미지이다 (환원 전 이미지). 그림에서 볼 수 있는 것처럼 고체전해질 외에 다른 층은 기공이 존재하는 것을
알 수 있다. 특히 양극층인 LSM은 다기공층으로 형성되었다. 층과 층 사이 정합성도 좋은 것으로 보인다. 양극과 고체전해질 계면에 부도체 상도 관찰되지
않는다 (그림 2(b) 이미지 참고). 그림 3(c)는 연료전지 평가 후 환원된 LSM_MS-cell 단면 미세구조 이미지이다. 금속지지체부터 음극까지 기공율이 증가되었음을 알 수 있다 (표 1). 하기에 두 SOFC의 전기화학적 성능 평가 결과를 기술한다.
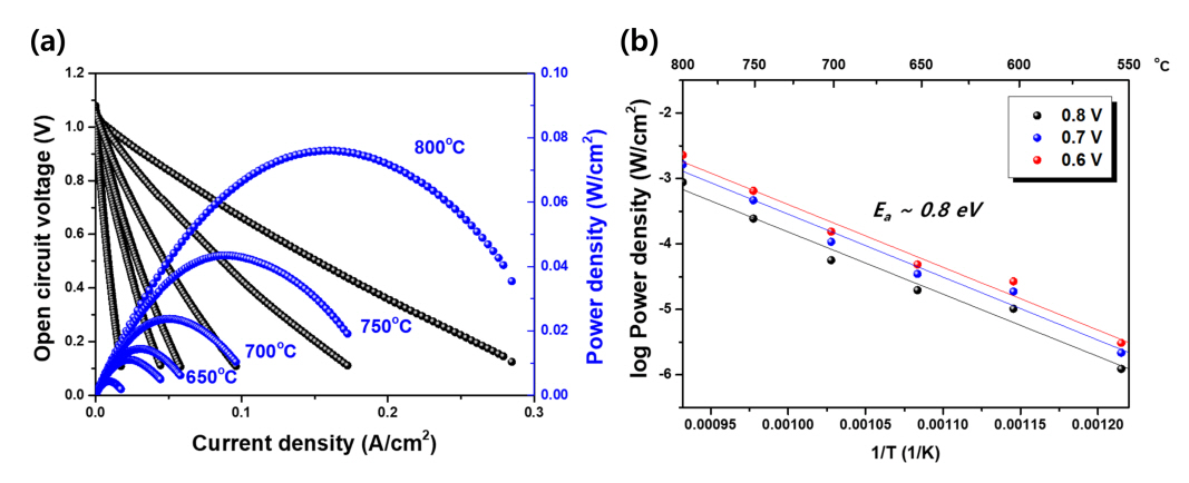
BSCF_MS-cell의 연료전지 성능은 (전류-전압 곡선, I-V curve) 그림 3에서 볼 수 있다. 전형적인 연료전지 I-V curve가 얻어졌다. 온도 증가에 따라 전류량이 커지는 것을 알 수 있다. 즉, 온도가 증가함에 따라
연료전지 출력 밀도 (powder density, P)는 커진다. 하지만 최대 출력밀도 (maximum power density)가 750°C, 800°C에서
각각 43 mW/cm2, 80 mW/cm2으로 낮게 계측되었다. 출력밀도의 작동 전압 별 온도 의존성을 그림 3(b)에 나타냈다. 낮은 셀 출력 성능으로 작동 전압에 관계없이 큰 활성화에너지(Ea ~ 0.8 eV)를 보이는 것을 알 수 있다 (참고로, P = V × I이므로 출력밀도는 고정 전압 하에서 전류에 비례한다. 고정 전압 하에서 전류는
아레니우스 (Arrehenius) 식에 따를 것으로 가정하였다). 이는 셀 내에 큰 저항 성분이 있다는 것을 보여주는 결과이다. BSCF_MS-cell에서의
큰 저항은 1차적으로 양극 쪽 고체전해질 계면에 부도체 상의 형성 때문일 것으로 판단된다.
그림 4는 BSCF_MS-cell의 저항성분 분석결과이다. 교류 임피던스 분석 (Z’ : real impedance, Z’’ : imaginary impedance)이
사용되었다. 그림에서 볼 수 있는 것처럼 셀의 저항 성분은 오믹저항 (Rohmic)과 분극저항 (Rpolarization)으로 구성되어 있는 것을 알 수 있다 (Open circuit voltage, OCV 하에서의 임피던스 패턴 참고). 부도체 상의 형성이 없는 일반적인
SOFC의 경우 임피던스 패턴에서 분극저항 성분의 반원만 나타난다 [21-23]. 오믹저항이 존재한다고 하더라도 그 저항 값이 작아 임피던스 패턴 (반원)은 나타나지 않는 것이 일반적이다 (Rohmic은 600 °C 이상에서 통상 1 Ω·cm2 이하이다). 오믹저항과 분극저항 성분을 재확인하기 위해 0.8 V의 작동 하에서 임피던스 분석을 수행하였다. 그림에서 볼 수 있는 것처럼 오믹저항은
크게 변하지 않고 분극저항에 해당하는 패턴 (찌그러지고 비대칭적인 반원)만 수축한 것을 볼 수 있다. 작동 전압에 의해 전극반응속도가 달라지기 때문에
나타나는 현상이다. 이를 통해 오믹저항과 분극저항을 재확인할 수 있었고 동시에 셀 내에 큰 오믹저항과 분극저항이 존재하는 것도 알 수 있다. 고체전해질
계면에 큰 오믹저항 성분이 있으면 이와 맞닿은 양극의 분극저항도 함께 커진다. 전극의 분극 저항을 일으키는 단계 반응 중 전극에서 흡착과 전하전달로
형성된 산소이온 (O2-)이 고체전해질의 산소이온 공공 자리로 들어가는 결합 (incorporation) 반응이 있기 때문이다 [24]. 그림 4(b)에서 작동온도가 올라가면 오믹저항 및 분극저항이 감소하는 것을 볼 수 있다. 하지만 전체저항 (오믹저항 + 분극저항)은 여전히 크다는 것을 알 수
있다. 고온인 800 °C에서도 셀 전체저항은 약 12.4 Ω·cm2이었다. 이 온도에서의 오믹저항은 약 4.5 Ω·cm2 였다. 이와 같은 큰 저항때문에 낮은 셀 출력이 얻어졌다. 그림 4(c)에 오믹저항 및 분극저항을 온도에 따라 나타냈다. 볼 수 있는 것처럼 오믹저항의 활성화에너지는 약 0.73 eV이다 (저항의 활성화에너지는 아레니우스
식에 기반하여 계산되었다). 부도체 상이 없는 경우 오믹저항은 금속지지체 저항, 고체전해질 저항 및 전극 오믹저항 (콘텍층 포함)에 의존한다. 금속지지체는
Ni-Fe로 금속이기에 전도 활성화에너지가 세라믹과 달리 음의 값이다 (즉, 온도가 증가함에 따라 저항은 증가한다). BSCF 양극이나 Ni-ScSZ
음극의 전도 활성화에너지도 매우 작은 것으로 알려져 있다 [26,27]. 고체전해질은 ScSZ이기 때문에 약 0.73 eV의 활성화에너지를 갖는다 [28,29]. 언급된 3가지 오믹저항 성분의 활성화에너지 평균은 작을 것으로 예상된다. 즉 오믹저항을 일으키는 저항 성분의 평균 활성화에너지는 0.7 eV보다
크게 작을 것이다. 하지만 BSCF_MS-cell의 오믹저항 활성화에너지는 상기 언급된 바와 같이 약 0.73 eV이다. 이것은 오믹저항이 고체전해질의
저항에 의존하는 것이 아니고 저항이 큰 다른 성분 (부도체 상)에 기인하는 것임을 알려주는 결과이다. 분극저항 활성화에너지도 보고된 BSCF 양극의
활성화에너지 보다 크다 [30]. 이것은 양극과 고체전해질 사이에 큰 저항성분 때문에 분극저항의 활성화에너지도 함께 크게 나타난 것으로 판단된다 (본 연구에서 반응방지층은 다기공층으로
형성되어 반응을 막는 역할을 하지 못했다). 부도체 상 형성이 없는 LSM_MS-cell의 연구 결과는 이 주장을 다시 한번 뒷받침한다. 하기에 연구
결과를 나타냈다.
그림 5는 LSM_MS-cell의 연료전지 성능 측정 결과이다. BSCF_MS-cell과 마찬가지로 전형적인 I-V curve가 얻어졌다. 하지만 오믹저항
및 분극저항의 감소로 셀 출력밀도는 750 °C에서 약 290 mW/cm2로 향상되었다. 즉, 양극소재의 변화를 통해 셀 성능이 개선되었다. BSCF는 산소환원반응 속도가 매우 빠른 고활성 양극이다 (양극 소재 성능 측면에서
LSM 보다 우수하다) [31-33]. 그럼에도 불구하고 LSM 사용 시 셀 성능이 4배 이상 커졌다는 것은 양극에서의 활성도가 셀 성능의 율속 (rate determining)이
아니고 BSCF에 의해 다른 저항 율속이 발생했다는 의미이다. 상기에 기술한 것처럼 BSCF와 지르코니아 고체전해 질 사이에 큰 저항 성분이 생겼기
때문이다. 한가지 흥미로운 것은 금속지지형 SOFC의 특징이 LSM_MS-cell에서 나타난다는 것이다. 그림 5(b)에서 볼 수 있는 것처럼 부도체 상이 없음에도 불구하고 임피던스 분석 결과 여전히 약 0.4 ohm·cm2 크기의 오믹저항이 존재한다 (전체 저항분율의 약 30 %가 오믹저항임). 750 °C에서 고체전해질 이온전도도로 부터 계산된 고체전해질 저항이 약
0.1 Ω·cm2임을 감안하면 약 0.3 Ω·cm2이 셀의 금속지지체-콘텍층-음극의 오믹저항에서 기인한 것으로 판단된다 [34-36]. 여기서 관심있게 보아야 할 부분이 콘텍층과 금속지지체이다. 콘텍층의 성분을 보면 음극 성분 (Ni)으로 과량 구성되어 있다. 즉, 콘텍층도 음극
반응 (수소의 산화반응)에 참여할 수 있다. 하지만 대부분의 산화반응이 음극에서 일어난다 는 점에서 콘텍층의 미세구조는 전극 분극저항 보다는 오믹저항에
크게 영향을 미칠 것이다. 물론 음극층과 접촉해 있는 콘텍층의 상부는 전극반응에 참여할 수 있다 (그림 1, 2 참고). 그림 2에서 볼 수 있는 것처럼 콘텍층은 약 30 μm의 두께로 형성되었다. 기공도는 약 40 % 이다 (수소 환원 후). 이와 같은 두께와 미세구조를 갖는
콘텍층과 mm-level 두께의 금속지지체는 이온확산저항과 전류집전저항을 키울 수 있다. 금속지지체도 약 45 %의 기공도를 갖는다. 두께는 약 1
mm로 제조되었다. 이와 같은 미세구조 및 두께는 전류집전저항을 키울 수 있다. 한가지 오믹성분에 저항과 함께 캐패시턴스가 존재하기 때문에(Nyquist
plot에서 반원 형성) 콘텍층 저항이 금속지지체 저항보다 클 것으로 판단된다. 따라서 금속지지형 SOFC에서 오믹저항을 감소시키기 위해 (셀 성능을
증가시키려면) 콘텍층을 삽입하지 않는 것이 유리하고 금속지지체의 두께를 저감하는 것이 필요하다. 하지만 금속지지체의 큰 입자 크기 (~ 10 μm-level)와
음극의 입자크기 (< 1 μm)를 고려했을 때 내구성 측면에서 콘텍층이 필요할 것으로 사료된다. 콘텍층이 없으면 층간 정합성이 떨어지고 기계적 문제
(응력 발생, 파괴)가 발생할 것이다. 금속지지체의 일정 두께도 셀의 기계적 강도 및 스택화 시 필요할 것으로 생각된다. 셀의 성능과 내구성 측면에서
콘텍층과 금속지지체의 두께와 미세구조를 제어하는 것이 금속지지형 SOFC의 이슈 중 하나로 판단된다. 그림 5(b)의 분극저항 일부는 음극 외에도 양극 분극저항에 기인하는 것으로 보인다. 750 °C에서 1 ohm·cm2 수준의 분극 저항은 여전히 큰 분극 저항 값이다. 이는 LSM의 낮은 이온전도로 인한 전극 반응 삼상계면 (triple phase boundary,
기공-전자전도체-이온전도체가 만나는 지점)의 낮은 밀도 때문일 것이다[37,38]. 하지만 전술한 바와 같이 고체전해질과의 반응이 없었기 때문에 일정 수준의 셀 성능은 구현될 수 있었다.
결론적으로 본 연구에서 큰 오믹저항과 분극저항으로 금속지지형 SOFC의 출력 성능이 낮았다. 하지만 금속지지체와 콘텍층을 이용하여 성공적으로 금속지지형
SOFC 셀을 제조하였다는 점과 이를 이용하여 수백 mW/cm2의 출력밀도를 확보하였다는 점에서 본 연구에 의의를 둘 수 있다고 생각된다. 추가적으로, 고성능 금속지지형 SOFC 구현을 위해 (1) 금속지지체
및 콘텍층의 두께를 저감하고, (2) 전극 반응 삼상계면을 키울 수 있는 고성능 전극의 적용이 필요하다.
4. 결 론
본 연구에서 NiFe 지지체 / 콘텍층 / Ni-ScSZ (음극) / ScSZ (전해질) / 페로브스카이트 (양극) 구조를 갖는 금속지지형 SOFC
셀을 제조하였다. 양극으로는 범용 BSCF와 LSM을 사용하였다. 콘텍층의 삽입으로 10 μm-level 크기의 입자를 갖는 금속지지체와 1 μm
이하의 음극과 정합성이 확보된 금속지지형 SOFC를 확보할 수 있었다. 제조된 셀의 전기화학적 특성을 이해하기 위해 교류 임피던스 분석을 수행하였다.
이를 통해 SOFC의 분극저항은 양극과 전해질 사이에서 발생되는 저항에 크게 의존하는 것을 알 수 있었다. BSCF 양극을 사용한 SOFC에서는 낮은
출력밀도를 보였다. 이는 셀 내에 부도체상이 형성되었기 때문이었다 (BSCF 양극 방향의 고체전해질 표면에 부도체 상이 형성됨). 반면, LSM 양극소재가
적용된 SOFC는 750 °C에서 약 290 mW/cm2으로 준수한 출력성능을 보여주었다. LSM 셀에서 오믹저항은 금속지지체와 콘텍층의 저항에 영향을 받는 것을 알 수 있었다.
Acknowledgements
이 논문은 대한민국 정부(과학기술정보통신부)의 재원으로 한국연구재단 지원을 받아 수행된 연구임 (과제번호 NRF-2020R1A2C2009821, NRF-2022M3H4A1A01010836).
REFERENCES
Cho H. R., Choi B. H., An Y. T., Koo J. B., Baeck S. H., Roh K. C., Ji M. J., Park
S. M., Korean J. Met. Mater,51, 125 (2013)

Bae S. Y., Park M. Y., Lee J. K., Lim H. T., Korean J. Met. Mater,55, 335 (2017)

Liu Q. L., Khor K. A., Chan S. H., J. Power Sources,161, 123 (2006)

Kao W. X., Lee M. C., Lin T. N., Wang C. H., Chang Y. C., J. Power Sources,195, 2220
(2010)

Zhang Y., Chen B., Guan D., Xu M., Ran R., Ni M., Zhou W., O’Hayre R., Shao Z., Nature,591,
246 (2021)

Robinson J. B., Brown L. D., Jervis R., Taiwo O. O., Heenan T. M. M., Millichamp J.,
Mason T. J., Neville T. P., Clague R., Eastwood D. S., Reinhard C., Lee P. D., Brett
D. J. L., Shearing P. R., J. Power Sources,288, 473 (2015)

Udomsilp D., Rechberger J., Neubauer R., Bischof C., Thaler F., Schafbauer W., Menzler
N. H., de Haart L. G. J., Nenning A., Opitz A. K., Guillon O., Bram M., Cell Rep.
Phys. Sci,1, 100072 (2020)

Zhou Z., Nadimpalli V. K., Pedersen D. B., Esposito V., Mater,14, 3139 (2021)

Tucker M. C., J. Power Sources,195, 4570 (2010)

Cho H. J., Choi G. M., Solid State Ionics,180, 792 (2009)

Szabo P., Arnold J., Franco T., Gindrat M., Refke A., Zagst A., Ansar A., J. Electrochem.
Soc,25, 175 (2009)

Reisert M., Berova V., Aphale A., Singh P., Tucker M. C., Int. J. Hydrogen Energy,45,
30882 (2020)

Dayaghi A. M., Kim K. J., Kim S., Park J., Kim S. J., Park B. H., Choi G. M., J. Power
Sources,324, 288 (2016)

Kim K. J., Park B. H., Kim S. J., Lee Y., Bae H., Choi G. M., Sci. Rep,6, 1 (2016)

Kim K. H., Park Y. M., Kim H., Energy,35, 5385 (2010)

Somalu M. R., Yufit V., Cumming D., Lorente E., Brandon N. P., Int. J. Hydrogen Energy,36,
5557 (2011)

Wang Z., Qian J., Cao J., Wang S., Wen T., J. Alloys Compd,437, 264 (2007)

Zhu Q., Jin T., Wang Y., Solid State Ionics,177, 1199 (2006)

Lim Y. H., Lee J., Yoon J. S., Kim C. E., Hwang H. J., J. Power Sources,171, 79 (2007)

Nielsen J., Hjelm J., Electrochim. Acta,115, 31 (2014)

Park H. J., Park J. Y., Solid State Ionics,244, 30 (2013)

Lee S. O., Lee D., Jung I., Kim D., Hyun S. H., Kim J., Moon J., Int. J. Hydrogen
Energy,38, 9320 (2013)

Wang Z., Cheng M., Dong Y., Zhang M., Zhang H., J. Power Sources,156, 306 (2006)

Park H. J., Kwak C., Kim J. S., Ahn S. J., J. Power Sources,213, 31 (2012)

Shi H., Ran R., Shao Z., Int. J. Hydrogen Energy,37, 1125 (2012)

Spirin A. V., Nikonov A. V., Lipilin A. S., Khrustov V. R., Kuterbekov K. A., Nurakhmetov
T. N., Bekmyrza K. Z., Russ. J. Electrochem,52, 613 (2016)

Shen F., Lu K., Fuel Cells,18, 457 (2018)

Sun W., Zhang N., Mao Y., Sun K., J. Power Sources,218, 352 (2012)

Zakaria Z., Kamarudin S. K., Int. J. Energy Res,45, 4871 (2021)

Choi J., Park I., Lee H., Shin D., Solid State Ionics,216, 54 (2012)

Fabbri E., Mohamed R., Levecque P., Conrad O., Kötz R., Schmidt T. J., ACS Catal,4,
1061 (2014)

He Y., Fan L., Afzal M., Singh M., Zhang W., Zhao Y., Li J., Zhu B., Electrochim.
Acta,191, 223 (2016)

Rembelski D., Viricelle J. P., Combemale L., Rieu M., Fuel Cells,12, 256 (2012)

Wang Z., Cheng M., Dong Y., Zhang M., Zhang H., Solid State Ionics,176, 2555 (2005)

Chen G., Gao Y., Luo Y., Guo R., Ceram. Int,43, 1304 (2017)

Tsai T., Barnett S. A., Solid State Ionics,93, 207 (1997)

Scott Cronin J., Muangnapoh K., Patterson Z., Yakal-Kremski K. J., Dravid V. P., Barnett
S. A., J. Electrochem. Soc,159, B385 (2012)

Lichtner A. Z., Jauffrès D., Roussel D., Charlot F., Martin C. L., Bordia R. K., J.
Eur. Ceram. Soc,35, 585 (2015)

Figures and Table
Fig. 1.
(a) The cross-sectional SEM image of BSCF_MS-cell (before reduction) and (b) the magnified
view of the cell near cathode/electrolyte interface layer. (c) The cross-sectional
SEM image of reduced BSCF_MS-cell.
Fig. 2.
(a) The cross-sectional SEM image of LSM_MS-cell (before reduction) and (b) the magnified
view of the cell near cathode/electrolyte interface layer. (c) The cross-sectional
SEM image of reduced LSM_MS-cell.
Fig. 3.
(a) I-V-P (current - voltage - power density) curves of BSCF_MS-cell at various temperatures
(550 °C – 800 °C). (b) The temperature dependence of the power density at operating
voltages (0.6 – 0.8 V).
Fig. 4.
(a) Impedance spectra of BSCF_MS-cell at 650 °C in OCV and 0.8 V, respectively. Rohmic is the ohmic resistance and Rpolarization is the polarization resistance of the cell. (b) The impedance spectra measured at
different temperature under OCV. (c) The ohmic and polarization area specific resistance
(ASR) depending on temperature.
Fig. 5.
(a) I-V-P (current – voltage - power density) curves of LSM_MS-cell at 750 °C. (b)
Impedance spectra of the cell at 750 °C under OCV.
Table 1.
The porosities of the layers of BSCF_MS-cell and LSM_MS-cell
|
Sample
|
Porosity (%)
|
|
Supporting layer
|
Contact layer
|
Anode layer
|
Eletrolyte layer
|
Protecting layer
|
Cathode layer
|
|
BSCF_MS-cell |
Before reduction
|
13.2
|
9.3
|
8.2
|
0.3
|
10
|
41
|
|
After reduction
|
45
|
40
|
39
|
0.2
|
10
|
41
|
|
LSM_MS-cell |
Before reduction
|
17
|
12
|
5
|
0.1
|
|
40
|
|
After reduction
|
45
|
42
|
37
|
0.03
|
|
43
|