이정민
(Jeong-Min Lee)
12
김문조
(Moon-Jo Kim)
1
최경환
(Kyeong-Hwan Choe)
1
김동응
(DongEung Kim)
1*
-
한국생산기술연구원 뿌리산업기술연구소
(1Research Institute of Advanced Manufacturing & Materials Technology, Korea Institute
of Industrial Technology, Incheon 21999, Republic of Korea)
-
세종대학교 나노신소재공학
(2Nanotechnology & Advanced Materials Engineering, Sejong University, Seoul 05006, Republic of Korea)
Copyright © 2023 The Korean Institute of Metals and Materials
Key words
machine learning, molding sand, green compression strength, compactability
1. INTRODUCTION
사형 주조는 원하는 형상의 제품을 얻기 위해 주물사를 사용하여 만든 주형에 용융 금속을 주입한 후 응고시키는 주조방법이다. 사형주조는 생산공정이 다른
주조 방법보다 비교적 간단하고 저렴하며 재료도 쉽게 구할 수 있어 전통적으로 많이 사용해오는 방법이다. 사형은 수분 상태에 따라서 생형과 건조형으로
분류된다. 사형주조 제품은 주물사의 품질에 의해 큰 영향을 받게 되는데, 생형 주형에 사용되는 주물사의 특성은 생형 압축 강도, 통기도, 충진도,
내화성, 수분함량, 유동성, 입도크기, 입도모양, 재사용성 등으로 다양하게 평가될 수 있다. 그 중에서도 대표적인 특성으로 생형 압축 강도, 충진도가
있다. 생형 압축 강도는 일정한 하중속도에서 압축에 의해 시편이 파괴될 때의 최대응력을 말하고 충진도는 일정한 압력으로 모래를 쥐어 짜내어 감소되는
모래의 높이를 측정한 특성이다. 이 특성들은 주형을 유지하고 뒤틀림이나 붕괴를 방지할 수 있게 해주는 주형의 강도와 직결되므로 중요한 특성이라고 말할
수 있다. 생형 주형에 사용되는 주형재료는 주로 모래, 점토(벤토나이트), 물이며 여기에 Sea coal등의 첨가제를 혼합하여 주형을 제작한다[1]. 모래의 입도는 표준체를 체크기 순으로 쌓고, 체 진동기에서 입도 별로 입자를 분류한 후 계산식으로 입도 분포와 지수를 계산할 수 있다. 점토분의
총량은 AFS(American foundry society) clay라고도 하는데 AFS기준으로 활성점토분, 사점토분, 지름 20 mm 이하의 시립자가
모두 포함된 것을 말한다. 점토 중 활성점토는 점결력 가지고 있는 점토이고 사 점토는 결정수를 잃어 점결력이 상실된 점토이다. 활성점토는 메틸렌 블루
시험법을 통해 구한다. 수분은 샘플을 건조하는 동안 손실된 중량으로 측정된다. 이러한 주물사 성분은 주형의 생형 압축 강도 및 충진도에 영향을 주고[2] 이는 결과적으로 주물의 품질에 직접적인 영향을 미치므로 주물사 및 주형 제작에 관여하는 주요 인자들로 선정하고 관리하는 것이 중요하다. 초반의
대부분의 연구는 주물사의 특성을 예측하기 위해 전통적인 실험 설계법을 사용하거나[3,4], 다중회귀법을 이용하는[5] 등 수학적인 기법을 사용하였다[6]. Aondona Paul Ihom는 상관계수와 다중 결정계수를 고려하여 생사주형의 생형 압축 강도를 예측할 수 있는 수학적 모델을 개발했다[7]. 그러나 10개가 안되는 데이터를 가지고 모델을 만들었기 때문에 범용적으로 사용되거나 결과에 신뢰를 가지기에는 한계가 있다고 판단된다. 또한 주물사
특성들과 모래 입자 섬도 수, 점토, 수분, 제련시간 및 경도와 같은 매개변수 간의 관계는 본질적으로 비 선형적이고 복잡하기 때문에 대체적으로 수학
방정식의 형태로 전개하기가 어렵다. 따라서 선형 회귀와 같은 방법은 상당한 노이즈를 나타내어 정확한 모델을 만드는 것에 한계가 있었다[8]. 인공지능은 재료분야에서 다양한 소재 특성 예측과 개발 연구에 활발히 이용되어 왔기에[9-24] 연구자들은 이를 극복하기 위해 인공지능을 활용하여 새로운 방법을 제안했다. N. Nagur Babu는 주물사의 생형 압축 강도를 예측하고 혼합사의
특성을 분석하기 위해 신경망 및 신경 퍼지 기반 모델을 개발하였고[25], Mahesh B. Parappagoudar는 역전파 신경망을 통해 적절한 입력매개변수 집합을 결정하여 유전 신경망으로 모델을 개발하였다[26]. 하지만 실제 데이터를 모으는 것에 어려움이 있어 대부분의 모델링 연구는 실제 데이터가 아닌 수식이나 다른 방법을 통해 만든 데이터로 진행되었다는
한계점을 가지고 있다[26,27]. 수식 데이터와 현장 데이터 간의 차이로 인해 실제 데이터가 아닌 수식으로 만들어진 데이터로 주물사 특성을 예측하는 모델을 개발하면 현장 적용
시 필연적으로 오차가 따른다. 따라서 본 연구는 기존의 연구와는 다르게 실제 현장에서 사용되는 주물사의 데이터를 통해 생형 압축 강도와 충진도를 예측하는
기계학습 모델을 개발하고, 실제 작업 현장에서 주물사 특성을 예측하는 것에 도움이 되는 것을 목표로 하고 있다. 작업 현장에서 취득한 주물사 데이터를
기반으로 만든 모델이 사용되어 주물사 특성 예측에 도움을 준다면 원하는 강도와 특성을 가지는 제품을 생산하는 것에 여러 번의 실험적 시행착오를 겪지
않아도 될 것이므로 비용절감의 효과를 기대한다.
2. EXPERIMENTAL
2.1 데이터 준비
본 연구에 사용된 데이터는 직접 현장의 다목적 온라인 테스트 및 제어 시스템 생산 공정에서 추출한 데이터와 외부의 주물사 공식 평가 업체에 의뢰해
얻은 공식 데이터로 이루어져 있다. 그림 1은 현장에 설치된 주형 생산공정의 개략도이다. 사형주조에 사용된 주물사는 제품과 모래를 분리시키는 탈사 공정을 거친 후 회수되어 주물사의 성질을 재생하는
처리공정을 거치게 된다. 회수된 주물사는 냉각시켜 온도를 낮춘 후 주물사 성분을 균질하게 섞어주고 모래 표면에 벤토나이트를 잘 도포되도록 혼합시키는
과정을 거친다. 공정을 거치면서 장착된 센서에서 수분, 온도, 모래의 무게, 벤토나이트 함량, 석탄분, 신사의 양, 물의 양을 추출할 수 있다. 외부에서
얻은 공식 데이터에는 ASTM(American society for testing and materials) 규격 E-11-70에 의해 측정된 입자
크기 분포 데이터인 입도분포 크기 30, 40, 50, 70, 100, 140, 200, 270과 미국 표준이 실제로 소유한 I.S.O(International
organization for standardization)로 측정된 미세분말, 활성 점토 분말, 입도지수, 생형 압축 강도, 충진도가 포함된다.
활성점토는 메틸렌 블루 시험법으로 구할 수 있는데, 메틸렌 블루 시험법은 모래 샘플에 존재하는 살아있는 벤토나이트 점토의 양을 구할 수 있다. 5g의
모래 샘플을 초음파 세척기, 피로인산나트륨 용액으로 세척한 후 점토가 초과분을 흡수할 수 없을 때까지 메틸렌 블루 염료를 샘플에 첨가한다. 그 후
보정계수와밀리리터의 염료를 사용하면 주물사에서 메틸렌 블루 지수 MBI(Methylene blue index)를 쉽게 계산할 수 있다[28].
MBI = 100g 점토에 대한 메틸렌 블루 지수,
E = 밀리리터 당 메틸렌 블루의 밀리당 량
V = 적정에 필요한 메틸렌 블루 용액 밀리리터
W = 건조 물질의 그램
입도분포 크기는 표준체를 체 크기 순으로 쌓고, 체 눈 굵기 순으로 겹쳐 놓은 체로 진동시켜 사별한 후 각 체면 상에 남은 모래의 전량을 측정한다.
입도지수를 구하는 식은 다음과 같다.
여기서 Wn는 각 체에 남아있는 모래 중량이고, Sn는 각 체의 입도계수다. 압축강도를 구하는 식은 다음과 같다.
충진도를 구하는 식은 다음과 같다.
기계 학습에 사용하기 위해서는 입력변수와 반응변수로 나누는 과정을 거치는데 반응변수는 위에서 말한 데이터 중 생형 압축 강도와 충진도다. 입력변수는
그 외의 모든 데이터가 들어간다. 예측모델은 생형 압축 강도 예측모델, 충진도 예측모델 각각 따로 만들었다. 즉, 데이터 셋이 2개가 존재하며 각
모델 별 데이터의 총 개수는 906개가 사용되었다. 두 가지의 예측 모델 모두 모델 개발에 사용되는 데이터의 비율은 훈련: 70%, 검증: 15%,
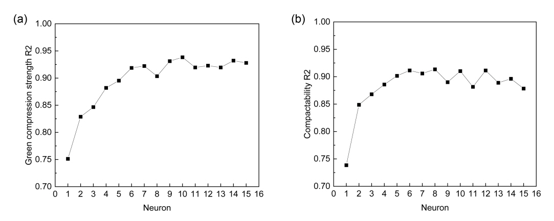
테스트: 15%다. 예외적으로 Bayesian regularization은 훈련: 85%, 검증: 0%, 테스트: 15%이다. 그림 2는 생형 압축 강도와 충진도 특성을 예측하는 모델의 네트워크 개략도다. 입력층, 은닉층, 출력층으로 이루어져 있다. 생형 압축 강도를 예측하는 모델의
입력층은 18개의 입력변수가 존재하고 은닉층에는 10개의 뉴런이 존재한다. 출력층에는 예측하고자 하는 특성인 생형 압축 강도가 들어간다. 충진도 특성을
예측하는 모델 네트워크는 입력층에 입력변수 18개, 은닉층에는 8개의 뉴런이 존재하며 출력층에는 충진도가 들어간다. 두 특성에 따라 뉴런수가 다른
이유는 그림 3으로 설명이 가능하다. 그림 3은 은닉층의 뉴런 수를 1개부터 15개까지 늘려가며 예측성능을 그린 그래프다. 뉴런 수가 늘어날수록 좀 더 복잡한 모델이 되어 성능을 향상시킬 수
있지만 그렇다고 뉴런 수를 너무 많이 가져가면 과적합이 일어나 모델을 훈련시킨 데이터에는 예측을 잘하지만 새로운 데이터에는 제대로 예측을 하지 못하는
문제를 야기할 수 있기 때문에 적절한 뉴런 수를 찾는 것이 중요하다. 그림 3(a)는 생형 압축 강도 특성을 예측하는 모델의 뉴런 수를 비교한 것으로, 은닉층의 뉴런 수를 1개부터 15개까지 증가시킬 때 예측 모델의 성능이 어떤
변화를 보이는지 확인했다. 생형 압축 강도 특성을 예측하는 모델의 성능은 은닉층의 뉴런 수가 15개 중에서 10개일 때의 성능이 제일 좋았기에 은닉층의
뉴런 수를 10개로 선택했다. 그림 3(b)는 충진도 특성을 예측하는 모델의 뉴런 수가 증가할수록 예측모델의 성능을 비교한 것으로 뉴런 수가 8개일 때의 성능이 제일 좋았기에 8개로 선택했다.
2.2 데이터 전처리
데이터 셋으로 특성 예측모델을 만들기 전 데이터 전처리 과정을 거친다. 데이터가 관련성이 없고 중복되는 정보가 많이 존재하거나 누락된 값 등이 있다면
데이터의 해석과 기계 학습의 결과에 정확성을 떨어뜨리기 때문에 데이터에서 노이즈를 줄이는 과정은 중요하다. 데이터 전처리 기술은 5가지로 설명된다.
1. 데이터 정리 2. 차원축소 3. 특징 엔지니어링 4. 샘플링 데이터 5. 데이터 변환 6. 불균형 데이터다[29].
데이터 정리는 결측치 및 이상치 제거 또는 대치를 통해 데이터 품질을 향상시키는 것을 목표로 하고, 데이터 차원 축소는 훈련 데이터의 입력변수 수를
줄여 관련 계산 비용을 줄인다. 특징 엔지니어링은 모델의 성능을 향상시킬 데이터 세트에 대해 더 나은 기능을 만드는 것이다. 샘플링 데이터는 대용량의
데이터를 처리하는데 생기는 계산 증가나 메모리 포화 등의 문제를 해결하기 위한 기술이다. 데이터 변환은 데이터 간의 편차를 변환을 통해 줄이기 위해
사용한다. 불균형 데이터는 정상 범주의 관측치 수와 이상 범주의 관측치 수가 현저히 차이나는 데이터를 말하는데, 예를 들어 신용카드 사기거래를 분류하는
문제에서 사기거래가 정상거래인 경우보다 현저히 적기 때문에 실제로는 사기거래임에도 정상거래로 오분류되는 것을 방지하고자 사용하는 방법이다. 본 연구에서는
특징 엔지니어링, 샘플링 데이터, 불균형 데이터를 제외한 방법을 사용한다. 이 방법들은 본 연구가 추구하는 방향과는 맞지 않기에 제외시켰다. 데이터
정리를 통해 이상치를 제거하고 상관관계 분석을 통해 상관계수가 높은 속성들을 뽑아 데이터의 차원을 줄였다. 최대-최소 스케일러를 사용하여 데이터 변환과정을
거쳐서 데이터 간의 편차를 줄이는데 사용되었다[29].
2.3 알고리즘
기계학습에 사용된 알고리즘은 Levenberg–Marquardt, Bayesian regularization, Scaled conjugate gradient
이다. Levenberg–Marquardt 알고리즘은 비선형 함수를 최소화하는 문제에 대한 빠르고 안정적인 수렴이 가능하다. 가우스-뉴턴 방법과 경사
하강법이 결합된 형태로 해로부터 멀리 떨어져 있을 때는 경사 하강법 방식으로 동작하고 해 근처에서는 가우스-뉴턴 방식으로 해를 찾는다. 경사 하강법은
매개변수에 대한 비용함수의 기울기를 반대방향으로 매개변수들을 갱신함으로써 손실함수를 최소화하는 방법이다[30]. 가우스-뉴턴법은 함수의 곡률을 같이 고려하면서 해를 찾아가는 방식이다.
J
k
T
J
k
는 이차미분인 헤시안(Hessian) 행렬에 대한 근사행렬이며 함수의 곡률을 나타낸다. 그래서 기울기의 변화가 급격하면 조금만 이동하고, 기울기의
변화가 거의 없으면 좀 더 크게 이동함으로써 극소점을 찾아가는 방식이다. 그러나 계산과정에서 역행렬 계산을 필요로 하므로 역행렬이 존재하지 않는 행렬에
근접한 경우에는 계산된 역행렬이 수치적으로 불안정하여 해가 발산할 수 있는 문제점이 있다. 이를 보안한 것이 Levenberg 알고리즘이다.
J
k
T
J
k
에 항등행렬의 상수 배(µI)를 더하였다. µ의 크기가 커지면 경사 하강법과 비슷해지고 µ의 크기가 작아지면 가우스-뉴턴법과 비슷해진다[31]. 그러나 µ의 크기가 커지면 경사 하강법의 스텝 사이즈가 1/µ가 되므로 수렴 속도가 상당히 느려진다. 이를 해결한 것이 Levenberg–Marquardt 알고리즘으로 항등행렬 I대신에
d
i
a
g
(
J
k
T
J
k
)
을 더함으로써 스텝 사이즈가 1/µ가 되지 않도록 하였다. 다음은 Levenberg–Marquardt 알고리즘의 식이다[32].
µ는 항상 양수이며 조합계수라고 한다.
Bayesian regularization 알고리즘은 Bayesian 정리와 정규화 체계를 통합한 방법으로 목적함수에 가중치들의 제곱합 항을 추가하여
목적함수를 최소화 하는 가중치를 탐색하는 방법이다. 이때 Levenberg-Marquardt 알고리즘으로 매개변수를 조정한다. Bayesian regularization
알고리즘은 간단한 형태의 인공 신경망으로 도함수를유효성 검사의 필요성을 줄이거나 없앨 수 있다. 유효성 검사 세트가 필요하지 않기 때문에 전체 절차를
반복하지 않아 과잉훈련 되거나 과적합을 방지한다는 점에서 유용하다. 그러나 성능지수를 계산하기 위해서 헤시안 행렬 계산이 필요하며 이는 계산적으로
까다롭고 오랜시간이 걸린다는 단점을 가지고 있다. 이를 해결하기 위해 헤시안 행렬을 가우스-뉴턴법으로 근사하여 나타낸다 [33,34].
Scaled conjugate gradient 알고리즘은 스케일링된 켤레 기울기 방법에 따라 가중치와 편향 값을 업데이트하는 네트워크 훈련 함수이다.
conjugate gradient을 기반으로 하지만 각 반복에서 선 탐색이 필요한 것과 달리 각 반복에서 선탐색을 수행하지 않는다. 따라서 시간 소모적인
라인 검색을 피한다[35].
여기서 λk 는 스칼라이며 δk 의 부호에 따라 매번 조정 된다,
ω
¯
는 공간 Rn의 가중치 벡터다,
E
(
ω
¯
)
는 전역 오류 함수다,
E
'
(
ω
¯
)
는 오차의 기울기이며,
E
'
q
ω
(
y
1
̿
)
는 오차 함수의 2차 근사값이다,
p
¯
1
,
p
¯
2
…
p
¯
k
는 0이 아닌 가중치 벡터의 집합,
λk는 다음과 같이 업데이트 되어야한다[36].
2.4 성능평가지표
위의 알고리즘을 사용하여 모델을 훈련시키고 난 뒤 훈련된 모델의 성능을 평가하기 위한 평가지로 사용되는 것들에는 평균절대오차(MAE), 평균 제곱오차(MSE),
결정계수(R2), 평균제곱근편차(RMSE) 가 있다.
평균절대오차는 절대 오차 손실의 예상 값에 해당하는 손실 메트릭이다
MSE는 제곱 오차의 예상 값에 해당하는 손실 메트릭이다.
RMSE는 MSE에서 얻은 값의 제곱근이다.
R2는 모델에서 독립변수로 설명된 y의 분산 비율을 나타낸다. 적합도를 나타내므로 모델이 보이지 않는 샘플을 얼마나 잘 예측할 수 있는지 측정한다[37].
위의 평가지표들 중 본 연구에서 사용한 평가지표는 R2 점수다.
3. RESULTS AND DISCUSSION
3.1 생형 압축 강도 특성에 미치는 인자들의 영향
상관관계 분석을 통해 반응변수인 생형 압축 강도와 입력변수 18개 간의 관계를 살펴보았다. 분석으로 나온 상관계수를 그래프로 나타낸 것이 그림 4(a)다. 상관계수는 -1부터 1까지의 값을 가지는데 절대값 1에 가까울수록 상관관계가 높다는 것을 의미한다. 숫자가 양수일 경우 양의 상관관계를 보이고
숫자가 음수일 경우 음의 상관관계를 가진다. 생형 압축 강도와 입력변수의 상관계수는 양의 상관관계 0.6 부터 음의 상관관계 -0.4 이내의 값을
가진다. 그래프상에서는 상관계수가 낮은 것과 높은 것의 차이가 크게 나는 것을 볼 수 있다. 그림 5(a)는 이상치를 제거한 후 모델을 만들었을 때의 성능과 원시데이터로 모델을 만들었을 때의 성능을 비교한 그림이다. 이상치를 제거하는 방식에는 Box-plot
방식과 Z-score 방식을 고려하였다. Box-plot 방식은 사분위 개념을 사용하여 전체 데이터들을 오름차순으로 정렬하고, 정확히 4등분으로(25%,
50%, 75%, 100%) 나눈다. 75%지점의 값과 25%지점의 값의 차이를 Interquartile range(IQR) 라고 한다. IQR에
1.5를 곱해서 75%지점의 값에 더하면 최댓값, 25%지점의 값에서 빼면 최솟값으로 결정한다. 이 최대 최소값에서 벗어나는 데이터를 이상치로 결정한다.
이 방법은 데이터의 분포가 정규분포를 이루지 않거나 한쪽으로 쏠린 경우에 효과적인 방법이다 [38]. Z-score 방법은 데이터가 정규분포를 이룰 때 표준편차를 이용하는 방법이다. Z-score는 해당 데이터가 평균으로부터 얼마의 표준편차만큼
벗어나 있는지를 의미한다[39]. Levenberg–Marquardt 알고리즘과 Bayesian regularization 알고리즘은 이미 아무 가공도 하지 않은 원시 데이터로
만든 모델도 성능이 0.85 이상이지만 Z-score 방식으로 이상치를 제거한 경우에서 가장 좋은 성능을 보여주었다. Scaled conjugate
gradient 알고리즘은 앞의 두 모델과 다르게 Box-plot 방식으로 이상치를 제거한 경우가 원시데이터로 모델을 만든 경우와 Z-score로
이상치를 제거한 후 모델을 만든 경우와 비교해서 제일 성능이 좋았다. 그림 6(a)는 상관관계 분석을 통해 차원을 9개로 줄이고 모델을 만든 경우인데, 그림 4(a)에서 상관관계 계수가 0.2 이상을 넘는 입력변수들을 선택한 것이다. 0.2는 임의로 설정하였다. 어떤 데이터 전처리도 하지 않은원시 데이터로 모델을
만든 경우와 예측성능 비교하였을 때, 상관관계가 높은 것들로 모델을 만들면 더 좋은 예측 성능을 보여줄 것으로 기대했지만 오히려 모든 알고리즘에서
상관관계가 낮은 입력변수들을 포함한 것보다 예측성능이 좋지 않았다. 상관계수는 선형의 관계를 표현한 것이기에 원시데이터의 속성들 사이의 상관관계가
비선형 특성을 갖고 복잡한 관계를 갖기 때문에 차원축소로 인한 손해가 발생하는 것으로 생각된다[40].
그림 7(a)는 데이터 변환처리를 한 후 모델을 만든 것과 원시데이터로 모델을 만든 것의 성능비교를 한 것이다. 여러 데이터 변환 방법 중에서도 최대-최소 스케일러를
사용한 이유는 위의 분석 결과에서 Bayesian regularization 알고리즘에서 가장 좋은 성능을 보여주었기에 이 알고리즘에 효과적인 스케일러를
사용했다. 그 결과 다른 알고리즘에서는 변화가 없고 Bayesian regularization 알고리즘에서 향상된 성능을 보여주었다. 그림 8(a)는 위에서 분석한 데이터 전처리 방법 중에서 성능이 제일 좋았던 조건을 뽑아서 비교한 것이다. 각 방법들 중에서 세 가지 알고리즘 중 Bayesian
regularization 일 때 가장 성능이 좋았고, 상관관계 분석을 통해 차원축소를 한 경우에 오히려 성능이 떨어졌으며 이상치를 제거한 경우와
데이터 변환처리를 거친 경우가 성능향상에 도움이 되었다. 그래서 이상치 제거와 데이터 변환 두 가지 과정을 다 거친 후 예측모델을 만들어 성능을 살펴보았다.
그 결과 데이터 변환이나 이상치를 제거하지 않은 원시데이터로 만든 모델의 예측성능보다 떨어졌다. 각각의 방법만 사용했을 때에는 향상되었던 성능이 두
과정을 거치니 떨어지는 결과를 보였다. 이 중에서 근소한 차이로 최대-최소 스케일러를 사용한 데이터 변환 처리가 가장 높은 예측 성능을 보여주었음을
알 수 있다. 원시데이터로 만든 모델의 성능과는 약 0.02정도의 R2 향상을 보여준다. 그림 9(a)는 그림 8(a)에서 가장 높은 성능을 보여준 모델의 실제 값과 예측 값의 피팅 그래프이다. 모델 훈련에 포함되지 않은 136개의 데이터로 예측해본 결과로, 생형
압축 강도 특성의 데이터가 10에서 30 사이의 값에 분포하고 있음을 알 수 있다. 성능지표 R2의 값이 0.9405로 약 94%의 성능을 가지는 것을 볼 수 있다. 생형 압축 강도 특성은 원시 데이터로 만든 모델의 성능에서 볼 수 있듯이 본래
잘 분포된 데이터로 데이터 전처리 과정을 통해 성능을 0.02 향상시킬 수 있었지만 이 수치가 얼마나 유의미한지는 알 수 없다. 하지만 이 작은 수치로도
데이터의 손실의 위험이 있더라도 이상치는 제거하는 것이 효과적이며 알고리즘에 맞는 데이터 변환처리를 하는 것이 모델의 예측성능에 기여함을 알 수 있다.
이상치를 제거하고 모델을 학습할 때가 그렇지 않은 경우에 비해서, 실제 공정라인에서 취득된 데이터에서 정상 범위를 벗어난 값들을 제거함으로서 전체적인
데이터의 정합도를 높여 모델의 정확도를 높이는데 유리하다고 생각된다.
3.2 충진도 특성에 미치는 인자들의 영향
상관관계 분석을 통해 반응변수인 충진도와 입력변수 18개 간의 관계를 살펴보았다. 분석으로 나온 수치를 그래프로 나타낸 것이 그림 4(b)다. 충진도와 입력변수 간의 상관관계를 나타낸 상관관계 계수는 0.3부터 -0.4이내의 값을 가진다. 그림 5(b)는 이상치를 제거한 후 모델을 만들었을 때의 성능과 원시데이터로 모델을 만들었을 때의 성능을 비교한 그림이다. 이상치를 제거하는 어떤 방법이든 원시데이터로
모델을 만드는 것보다 성능을 향상시킨다는 것을 알 수 있다. 하지만 그 중에서도 Z-score 방법이 세 가지 알고리즘 모두 공통적으로 가장 높은
성능을 보여준다. 그림 6(b)는 상관관계 분석을 통해 차원을 축소하여 모델을 만든 경우와 원시데이터로 모델을 만든 경우의 예측성능을 비교한 그림이다. 충진도는 원시데이터로 만든
모델의 성능이 생형 압축 강도의 성능보다 비교적 낮고 그림 4(b)와 같이 상관관계 계수의 범위가 좁고 계수들의 값이 낮고 비교적 완만하여 속성을 14개로 줄인 경우와 6개로 줄인 경우 두 가지로 모델을 만들어 보았다.
속성을 14개로 선택한 기준은 그림 4(b)에서 상관관계 계수가 0.05 이상을 넘는 입력변수들을 선택한 것이고, 속성을 6개로 선택한 것은 상관관계 계수가 0.2 이상을 넘는 입력변수들을
선택한 것이다. 원시데이터로 모델을 만든 경우와 예측성능을 비교하였을 때, 압축강도와 마찬가지로 차원을 축소한 것이 예측성능이 좋지 않게 나왔다.
Bayesian regularization 알고리즘은 입력변수들의 수가 적어질수록 예측성능이 떨어졌고, 나머지 두 모델은 속성을 6개만 선택한 것이
속성을 14개 선택한 것보다 좋은 성능을 보여주었다. 차원을 축소시키는 방법은 많은 속성들로 인해 계산이 복잡해져 예측성능이 저하되는 것을 막고자
하기 위함이다. 그러나 분석 결과 차원을 축소시키는 것이 가공하지 않은 데이터로 만든 모델보다 성능이 저하되는 것을 보아 복잡한 계산으로 인한 성능저하를
막고 성능을 높이는 효과를 기대하기보다 데이터 손실로 인한 성능저하가 더 크다고 생각해 볼 수 있다[13]. 그림 7(b)는 최대-최소 데이터 변환처리를 한 후 모델을 만든 것과 원시데이터로 모델을 만든 것의 성능비교를 한 것으로 생형 압축 강도 특성 예측 모델의 경우와
같이 대체적으로 다른 알고리즘보다 Bayesian regularization 알고리즘에서 좋은 성능을 보여주었기에 이 알고리즘에 효과적인 데이터 변환
방식을 채택하였다. 그 결과 역시 Bayesian regularization 알고리즘에서 성능향상에 도움이 됨을 알 수 있었다. 그림 8(b)는 데이터 전처리 방법 중에서 성능이 제일 좋았던 조건들과, 성능향상에 효과를 보였던 이상치 제거와 최대-최소 변환을 같이 사용하여 만든 모델의 성능을
비교한 그래프다. 각각의 방법들 중에서도 가장 효과적이었던 것은 Bayesian regularization 알고리즘이며, 그 중에서도 Z-score
방식의 이상치 제거 후 만든 모델의 성능이 가장 높았다. 원시데이터로 만든 모델의 성능보다 약 0.1 이상 향상되었음을 볼 수 있다. 두 가지 전처리
과정을 거친 조건은 이상치를 제거한 조건보다는 성능이 낮지만 원시데이터 조건과 비교하면 수치상 0.09 성능이 향상되었다. 최대-최소 스케일링 방법만
사용한 경우에는 이상치를 제거한 경우에 대비하여 정확도의 개선효과가 적었는데 이는 입력 변수를 0과 1사이에 위치하도록 압축하는 과정에서, 이상치를
포함하는 전체 데이터가 매우 좁은 범위로 압축될 수 있기 때문인 것으로 생각된다. 충진도 데이터는 45에서 55사이 범위로 분포되어 있어 생형 압축
강도 특성보다는 데이터 분포 범위가 더 좁아서 최대-최소 스케일링 방법의 효과가 상대적으로 적은 것으로 판단된다. 그림 9(b)는 그림 8(b)에서 가장 높은 성능을 보여준 모델의 실제값과 예측 값의 피팅 그래프이다. 테스트에 사용된 데이터는 훈련에 사용되지 않은 데이터다. 그래프를 보면
충진도 특성의 데이터가 45~55% 사이로 분포하고 있음을 알 수 있고 성능지표 R2 값을 통해 성능이 약 91%로 확인된다. 이를 통해 데이터 전처리가 예측모델 성능향상에 기여하는 바가 크고 이는 또한 좋은 모델을 만드는 것에는
좋은 데이터셋을 만드는 것이 중요함을 알 수 있다.
4. CONCLUSIONS
생형 압축 강도와 충진도 모두 상관관계 분석으로 속성을 선택했을 때의 예측성능이 저하되었다. 차원을 축소시킴으로써 계산 복잡도를 낮추는 것보다 데이터
손실로 인한 영향이 더 크다고 말할 수 있다. 생형 압축 강도는 아무것도 가공하지 않은 원시데이터 자체로도 예측성능이 좋은 모델을 만들 수 있었지만
최대-최소 스케일러를 사용하여 데이터 변환처리를 하면 Bayesian regularization 알고리즘에서 0.02 향상된 예측성능을 얻을 수 있다.
충진도는 원시데이터로 만든 모델의 예측성능은 생형 압축 강도 보다 떨어지지만 Z-score 방법으로 이상치를 제거한 후 모델을 만들면 예측성능이 약
0.1이상 높아진 성능향상을 보여주었다. 이를 통해 같은 입력변수를 가지고 있음에도 예측하고자 하는 반응변수에 따라 예측성능에 효과적인 데이터 전처리
방법은 각각 다름을 알 수 있다. 재료분야에서 인공지능을 활용하기 위해 충분한 데이터 셋을 확보하는 것은 쉽지 않다. 실험을 통해 얻을 수 있는 데이터의
한계가 존재하므로 실제 데이터로 모델을 만들어 현장에 적용시키는 경우는 드물다. 따라서 본 연구는 수식을 통해 만든 데이터가 아닌 실제 생산라인에서
얻은 데이터를 사용하여 주물사 특성 예측 모델을 개발하였으므로, 현장에서 적용하기에 더 정확한 모델이 되어줄 수 있기를 기대한다. 모델의 성능이 높을수록
현장에 적용되어 주물의 품질과 생산성을 높이고 비용을 줄이는 이득을 가져올 것이다. 이를 발전시켜 후속 연구로 특성예측에서 더 나아가 원하는 특성을
얻기 위해서 주물사의 조성은 어떻게 나와야 할지 역으로 설계해보고자 한다.
Acknowledgements
본 논문은 한국생산기술연구원 “뿌리핵심기술연구사업(KITECH EO-22-0005)”의 지원으로 수행한 연구입니다.
REFERENCES
Yeo I., J. Kor. Foundry Soc.,17, 3 (1997)

Saikaew C., Wiengwiset S., Appl. Clay. Sci,67, 26 (2012)

Sultana N., Rafiquzzaman M., Al Amin M., Int. J. Automot. Mech. Eng,4, 109 (2017)

Edoziuno F. O., Nwaeju C. C., Adediran A. A., Nnuka E. E., Adesina O. S., Nwose S.
A., Results in Materials,10, 100194 (2021)

Mishra P., Gupta E. N., Joshi D., J. Adv. Comput. Commun. Technol,4 (2016)

Parappagoudar M. B., Pratihar D. K., Datta G. L., Int. J. Cast Met. Res.,20, 1, 1
(2007)

Ihom A. P., Offiong A., Mater. Sci. Appl.,5, 12, 7 (2014)

Reddy N. S., Baek Y.-H., Kim S.-G., Hur B. Y., J. Kor. Found. Soc,34, 3, 107 (2014)

Park W. B., Han S. C., Park C., Hong S. U., Han U., Singh S. P., Jung Y. H., Ahn D.,
Sohn K.-S., Pyo M., Adv. Energy Mater,8, 13, 1703099 (2018)

Lee J.-W., Chung J., Cho M.-Y., Timilsina S., Sohn K., Kim J. S., Sohn K.-S., ACS
Appl. Mater. Interfaces,10, 24, 20862 (2018)

Lee J.-W., Park W. B., Lee J. H., Singh S. P., Sohn v., Nat. Commun,11, 1, 86 (2020)

Lee J.-W., Park W. B., Lee B. D., Kim S., Goo N. H., Sohn K.-S., Sci. Rep,10, 1, 20443
(2020)

Lee J.-W., Park W. B., Kim M., Singh S. P., Pyo M., Sohn K.-S., Inorg. Chem. Front,8,
10, 2492 (2021)

Park C., Lee J.-W., Kim M., Lee B. D., Singh S. P., Park W. B., Sohn K.-S., Inorg.
Chem. Front,8, 21, 4610 (2021)

Lee B. D., Park W. B., Lee J.-W., Kim M., Pyo M., Sohn K.-S., Chem. Mater,33, 2, 782
(2021)

Lee J.-W., Park C., Lee B. D., Park J., Goo N. H., Sohn K.-S., Sci. Rep,11, 1, 11012
(2021)

Cho M.-Y., Lee J.-W., Park C., Lee B. D., Kyeong J. S., Park E. J., Lee K. Y., Sohn
K.-S., Adv. Intell. Syst,4, 1, 2270002 (2022)

Seo J. Y., Shim S., Lee J.-W., Lee B. D., Park S., Park W. B., Han S., Pyo M., Sohn
K.-S., J. Mater. Chem. A,10, 4, 1831 (2022)

Lee B. D., Lee J.-W., Park W. B., Park J., Cho M.-Y., Singh S. P., Pyo M., Sohn K.-S.,
Intell. Syst,4, 7, 2200042 (2022)

Lee B. D., Lee J.-W., Kim M., Park W. B., Sohn K.-S., NPJ Comput. Mater,8, 1, 83 (2022)

Paidi A. K., Park W. B., Ramakrishnan P., Lee S.-H., Lee J.-W., Lee K.-S., Ahn H.,
Liu T., Gim J., Avdeev M., Pyo M., Sohn J. I., Amine K., Sohn K.-S., Shin T. J., Ahn
D., Lu J., Adv. Mater,34, 29, 2202137 (2022)

Shim S., Park W. B., Han J., Lee J., Lee B. D., Lee J.-W., Seo J. Y., Prabakar S.
J. R., Han S. C., Singh S. P., Hwang C.-C., Ahn D., Han S., Park K., Sohn K.-S., Pyo
M., Adv. Sci,9, 28, 2201648 (2022)

Park J., Lee J.-W., Kim S. P. Singh. M., Lee B. D., Park W. B., Sohn K.-S., J. Alloys
Compd,922, 166187 (2022)

Shin H. G., Timilsina S., Sohn K.-S., Kim J. S., Adv. Sci,9, 11, 2105889 (2022)

Babu N. N., Ohdar R. K., Pushp P. T., Int. J. Cast Met. Res.,19, 2, 110 (2006)

Parappagoudar M. B., Pratihar D. K., Datta G. L., Appl. Soft Comput.,8, 1, 239 (2008)

Karunakar D. B, Datta G. L., Appl Clay Sci,37, 1, 58 (2007)

ASTM, Standard Test Method for Methylene Blue Index of Clay, https://www.astm.org/c0837-09r19.html,
(2019)
Azevedo, N. Data Preprocessing: 6 Techniques to Clean Data, https://www.scalablepath.com/data-science/data-preprocessing-phase,
(2021)
Ruder S., An overview of gradient descent optimization algorithms,arXiv preprint,arXiv:1609.04747
(2016)

H. P. Gavin, The Levenberg-Marquardt method for nonlinear least squares curve-fitting
problems c © (2013),
Yu H., Wilamowski B. M, Levenberg–marquardt training, in Intelligent systems,12-16,
CRC Press (2018)

Burden F., volume 458, Bayesian Regularization of Neural Networks, Artificial Neural
Networks,Humana Press MIMB (2009)

MacKay, Bayesian Interplation, Neural Computation, Vol. 4, No. 3 (1992),
Babani L., Jadhav S., Chaudhari B., Scaled conjugate gradient based adaptive ANN control
for SVM-DTC induction motor drive. in IFIP International Conference on Artificial
Intelligence Applications and Innovations,Springer (2016)

Chen S., Kaufmann T., Metals,12, 1, 1 (2021)

Schwertman N. C., Owens M. A., Adnan R., Comput Stat Data Anal,47, 1, 165 (2004)

Rousseeuw P. J., Hubert M., Data mining and knowledge discovery,1, 1, 73 (2011)

Gogtay N. J., Thatte U. M., J Assoc Physicians India,65, 3, v (2017)

Figures
Fig. 1.
Versatile online test and control system
Fig. 2.
A network of feature prediction models
Fig. 3.
Predictive performance according to the number of neurons (a) green compression strength
prediction performance, (b) compactability prediction performance
Fig. 4.
Correlation between input variable and response variable (a) correlation between green
compression strength and input variable, (b) correlation between compactability and
input variable
Fig. 5.
Comparison of the performance of the model made with raw data and the model with outliers
removed (a) green compression strength prediction model, (b) compactability prediction
model
Fig. 6.
Comparison of the performance of the model made with raw data and the dimensionally
reduced model (a) green compression strength prediction model, (b) compactability
prediction model
Fig. 7.
Comparison of the performance of a model made with raw data and a model with data
transformation (a) green compression strength prediction model, (b) compactability
prediction model
Fig. 8.
Comparison of performance by algorithm with the five methods (raw data, z-score to
remove outliers, C.A(correlation to extract attributes), min-max scaler, z-score to
remove outliers and min-max scaler) (a) green compression strength prediction model,
(b) compactability prediction model
Fig. 9.
Actual value and predicted value graph under the best conditions (a) green compression
strength(N/cm2) prediction model, (b) compactability(%) prediction model