The Journal of
the Korean Journal of Metals and Materials

The Journal of
the Korean Journal of Metals and Materials

Monthly
  • pISSN : 1738-8228
  • eISSN : 2288-8241

Editorial Office


  1. 서울시립대학교 신소재공학과 (1Department of Materials Science and Engineering, University of Seoul, Seoul 02504, Republic of Korea)
  2. 서울시립대학교 신소재공학과 (2Department of Materials Science and Engineering, Hongik University, Seoul 04066, Republic of Korea)
  3. 연세대학교 신소재공학과 (3Department of Materials Science and Engineering, Yonsei University, Seoul 03722, Republic of Korea)



thermoelectric, single parabolic band model, two-band model, FeSe 2 -FeTe 2, bipolar thermal conductivity

1. 서 론

1945년 미국에서 태양전지를 이용하여 에너지를 생산하는 기술을 공개하면서 에너지 하베스팅이라는 개념이 세상에 널리 알려지게 되었다. 에너지 하베스팅은 태양광 발전처럼 진동, 열, 태양광 등 버려지는 에너지를 모아 전기로 변환하여 다시 사용할 수 있게 변환하는 기술이다[1-3]. 환경오염과 전력난으로 인해 친환경 에너지 하베스팅에 대한 관심이 높아지고 있는 가운데 전세계적으로 시장 규모가 커지고 있으며 연구 또한 활발히 이루어지고 있다. 그 중 열전 발전기술은 다른 에너지 하베스팅 기술과 비교했을 때 폐열로부터 전기를 직접적으로 생산할 수 있다는 이점으로 활발한 연구가 진행되고 있다. 열전 발전기술은 두 개의 금속 막대의 양쪽 끝단을 접합한 뒤 그 중 한 개의 금속 막대를 가열하면 두 금속 막대 간 온도차가 생기면서 전류가 유도되는 제벡 효과를 이용하여 열 에너지를 전기 에너지로 변환하는 기술이다[4,5]. 이러한 열전 발전기술을 이용하여 발전소에서 발생하는 폐열을 이용하여 추가적인 전력을 생산하고, 체온으로 웨어러블 기기의 전력을 공급하고, 하이브리드 자동차의 엔진열을 이용하여 전력을 공급하는 등 많은 산업에서 활용될 수 있다.

하지만 아직 낮은 발전효율로 인해 열전 발전기술이 상용화되는 데에는 한계가 있다. 열전 소자의 발전 효율을 높이기 위해서는 무엇보다도 높은 열전성능을 나타내는 열전 소재가 필요하다. 열전 소재의 열전성능은 다음과 같은 식(1)으로 표현된다[6].

(1)
z T = σ S 2 T κ t o t

이때 σ는 전기전도도, S는 제벡계수, T는 절대온도, κtot는 열전도도이다. 열전 소재의 성능을 향상시키기 위해서는 σS를 증가시키고 κtot를 감소시켜 zT를 높여야 한다. 하지만, σS간의 상충관계 때문에 σ를 증가시키면 S가 감소하고, 반대로 S를 증가시키면 σ가 감소하는 특징을 가지고 있다. 따라서 전기적 특성 증대(σS2 증대)를 통한 열전 소재의 zT 증가는 결코 쉽지 않다. 그럼에도 불구하고 열전 소재의 전기적 특성 증대를 위한 다양한 열전 소재 개발 전략이 제안되었고, 여러 열전 소재 개발 전략이 열전 소재의 밴드인자를 어떻게 변화시키는 지에 대한 많은 보고가 있다. 열전 소재의 밴드인자는 소재의 측정된 전기적 특성(σS)으로부터 계산할 수 있는데, 열전 소재 개발 전략의 효과를 정량화하기 위해서는 소재의 밴드인자 변화를 계산하는 것이 매우 중요하다.

소재의 밴드인자를 도출하는데 있어서 대부분의 연구가 Single Parabolic Band (SPB) 모델을 이용하고 있다[7,8]. SPB 모델은 소재의 측정된 전기적 수송 특성이 parabolic한 밴드 한 개로부터 나온다고 가정하기 때문에 소수 캐리어 밴드로부터의 기여를 무시한다. 열전 소재의 밴드 갭이 큰 경우, 소수 캐리어 밴드로부터의 영향이 크지 않지만, 좁은 밴드 갭을 갖는 열전 소재의 경우, 소수 캐리어 밴드의 영향을 무시할 수 없다[6]. 소수 캐리어 밴드 기여에 의한 전기적 수송 특성 변화는 charge compensation에 의한 고온 S 감소가 대표적이다[7]. 따라서 좁은 밴드 갭을 갖는 열전 소재 내 소재 개발 전략의 효과를 정확하게 이해하기 위해서는 소수 캐리어 밴드를 포함한 전기적 수송 특성의 이해가 필수적이다. 이 경우, SPB 모델이 아닌 Two-Band (TB) 모델을 이용하여 소수 캐리어 밴드의 기여분을 고려하는 것이 필요하다.

최근 Fe(Se1-xTex)2 (x = 0, 0.2, 0.6, 0.8, 1) 열전합금의 전기적 특성에 대한 연구가 진행되었다[9]. Fe(Se1-xTex)2 열전합금은 합금조성(x)이 증가할 수록 밴드 갭이 0.405 eV (x = 0)에서 0.123 eV (x = 1)로 줄어드는 작은 밴드 갭을 가진 소재이기 때문에 소재의 밴드인자 도출 시 소수 캐리어 밴드를 고려하여 TB 모델을 사용하는 것이 필요하다[10,11]. 따라서 본 연구에서는 Fe(Se1-xTex)2 열전합금의 밴드인자(유효질량, deformation 포텐셜, weighted 이동도, weighted 이동도 비율)를 SPB 및 TB 모델을 모두 이용하여 도출한 후 두 개의 다른 모델을 이용하여 도출한 밴드인자 간의 차이를 비교 분석하고자 한다. 또한, TB 모델을 이용하여 Fe(Se1-xTex)2 열전합금의 bipolar 열전도도를 계산하였다.

2. 실험 방법

Fe(Se1-xTex)2 (x = 0, 0.2, 0.6, 0.8, 1) 열전합금의 x에 따른 전기전도도, 제벡계수, 홀 전하농도도 실험값들은 기존에 문헌에 보고된 결과를 사용하였다[9]. 기존 문헌에서 전하농도에 대한 측정이 300 K에서서만 진행되었기 때문에 300 K의 온도에서 측정된 전기적 수송 특성 값을 이용하여 SPB 모델, TB 모델을 이용하여 밴드인자를 도출했다. 먼저 SPB 모델을 통해 열전합금의 밴드인자인 유효질량(md*)과 deformation 포텐셜(Ξ)을 도출하기 위해 SPB모델을 각각 nH에 따른 SμH 실험값에 피팅하였다. 피팅을 통해 실험값과 SPB 모델의 결과값이 일치하는 md*와 Ξ를 구하였고, 이후 구한 md*와 Ξ를 이용하여 weighted 이동도(μw), 파워팩터(S2σ)를 계산하였다. 다음으로 TB 모델을 통해 열전합금의 다수/소수 전하 밴드의 밴드인자인 md,i와 Ξi (i = maj, min)를 도출하기 위해 TB모델을 각각 nH에 따른 SμH 실험값에 피팅하였다. 이 때 밴드 갭은 기존에 보고된 FeSe2와 FeTe2의 밴드 갭을 내삽하여 x에 따른 밴드 갭을 구하였고, elastic 상수 (Cl)도 마찬가지로 알려진 FeSe2와 FeTe2의 값을 내삽하여 사용했다. 다음으로 SPB 모델과 마찬가지로 TB 모델의 결과값이 일치하는 valence 밴드와 conduction 밴드의 md,i*Ξi (i = maj, min)를 각각 구하였고 구한 각 밴드 별 md,i*Ξi를 이용하여 밴드 별 weighted 이동도(μw,i), 파워팩터, bipolar 열전도도를 계산하였다.

3. 결과 및 고찰

그림 1은 300 K에서 Fe(Se1-xTex)2의 x값에 따른 밴드 갭의 변화를 모식적으로 나타낸다. Conduction 밴드는 붉은색, valence 밴드는 파란색으로 나타내었다. FeSe2 (x = 0)는 밴드 갭이 0.405 eV, FeTe2 (x = 1)는 밴드 갭이 0.123 eV로 알려져 있다[10,11]. 그 외 Fe(Se1-xTex)2 합금의 밴드 값의 경우, 보고된 바가 없기 때문에 FeSe2와 FeTe2의 밴드 갭을 이용하여 선형보간법으로 중간 합금 조성들의 밴드 갭을 근사하였다. Fe(Se1-xTex)2 합금은 x = 0에서 p-형이었다가 x = 0.6 ~ 0.8에서 n-형 전도특성을 보이고 다시 x = 1에서 p-형이 된다[9]. 그림 1 내 conduction 및 valence 밴드에 표시된 선은 합금 조성 x에 대한 대략적인 페르미 준위를 나타낸다. 이 페르미 준위는 TB 모델을 이용하여 S 측정값으로부터 계산하였는데 자세한 내용은 아래에서 설명할 예정이다. p- 및 n-형이 x 변화에 따라 바뀌는 경우, 페르미 준위는 크기는 p-형의 경우 valence 밴드 에너지 최대값으로부터의 거리로, n-형의 경우 conduction 밴드 에너지 최소값으로부터의 거리로 표현될 수 있다. Fe(Se1-xTex)2 열전 합금의 페르미 레벨은 x = 0에서 최소값을 갖고, x가 증가함에 따라 점점 증가하다가 x = 0.8에서 최대값을 갖고 x = 1에서 다시 감소하는 경향을 보인다.

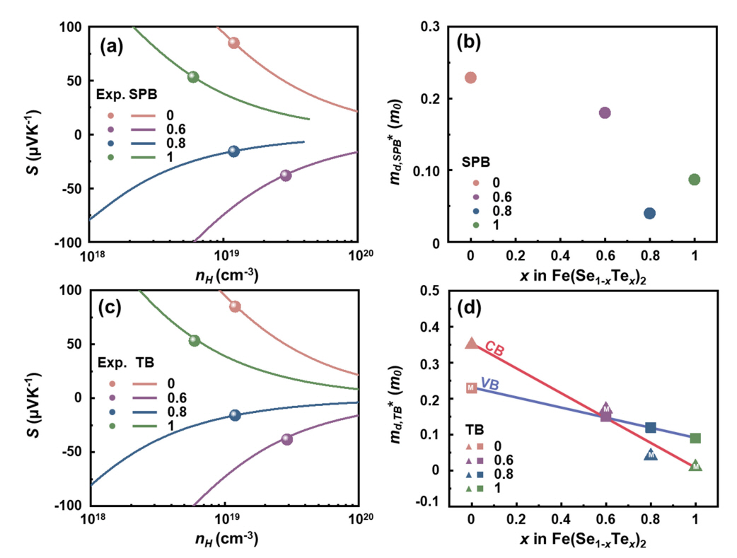
그림 2는 SPB 모델과 TB 모델로 각각 계산한 Fe(Se1-xTex)2 (x = 0, 0.6, 0.8, 1) 열전합금의 합금조성(x) 변화에 따른 유효질량(md*)의 변화를 보여준다. 그림 2(a)는 실험 및 SPB 모델 계산을 통해 구한 각 x에 대한 제벡 Pisarenko 관계를 나타낸다. Acoustic 포논에 의한 전하의 산란이 가장 주요한 전하 산란 메커니즘일 경우, SPB 모델이 정의하는 |S|(제벡계수의 절대값)와 홀 전하농도(nH)는 다음과 같다.

(2)
S = k B e ( η - 2 F 1 ( η ) F 0 ( η ) )
(3)
n H = 16 π 3 ( 2 m d * k B T h 2 ) 3 / 2 ( F 0 ( η ) ) 2 F - 1 / 2 ( η )

식(2), (3)에서 사용된 kB, e, h, T, η, 및 Fj는 각각 볼츠만 상수, 기본 전하, 플랑크 상수, 절대 온도, 페르미 준위, 그리고 페르미 적분(식(4) 참조)을 나타낸다.

(4)
F j ( η ) = 0 ε j 1 + e x p ( ε - η ) d ε

고정된 온도(300 K)에서 그림 2(a) 내 SPB 모델 계산 결과는 식(3)의 md*을 피팅하여 식(2)와 (3)을 통해 계산되는 nH에 따른 S의 결과가(실선으로 표시) 실험 S(nH) (심볼로 표시) 결과와 일치하도록 하였다. p-형 소재인 x = 0, 1 열전합금의 경우, nH가 증가함에 따라 S가 감소하는 SPB 계산 결과를 얻었다. md*T가 고정된 상황에서 식(3)의 nH 증가는 η 증가 때문인데, η의 증가는 동시에 |S|의 감소를 초래한다 (식(2)). n-형 열전합금의 경우 (x = 0.6, 0.8), 그림 2(a)에서 nH의 증가가 S의 증가(-35 → -13 μV K-1)로 이어지는 것 같지만 |S|의 경우는, nH 증가에 따라 감소하는 결과를 얻었다.

SPB 모델 피팅을 통해 계산된 각 x에 대한 md*그림 2(b)에 나타냈다. md*는 전하의 정지질량인 m0 단위로 표시되었다. x가 증가함에 따라 전반적으로 Fe(Se1-xTex)2 열전합금의 md*가 감소하는 것을 볼 수 있다. 하지만 이 중 x = 0.8에 해당하는 md*는 전반적인 경향에서 벗어나 가장 낮은 유효질량을 갖는 것으로 계산되었다. 예를 들어, x = 0.8의 md*는 약 0.04 m0까지 감소했다가, x = 1조성에서 약 117 % 증가하였다 (0.087 m0). 페르미 적분을 수치해석법으로 이용하여 계산해야 하는 SPB 모델을 사용하지 않고 간단하게 md*를 근사할 수 있는 수식으로는 아래 식(5)와 (6)이 있다[12,13].

(5)
S = 8 π 2 k B 2 3 e h 2 m d * T ( π 3 n ) 2 / 3
(6)
Log 10 ( m d * T 300 ) = 2 3 Log 10 ( n ) - 2 3 20.3 - ( 0.00508 × S ) + ( 1.58 × 0.967 S )

식(5)와 식(6)의 n은 전하농도를 의미한다. 식(5)와 식(6)에서 사용된 md*, n, S의 단위는 각각 m0, cm-3, μVK-1이다. 식(5)의 경우, 열전 소재의 |S|가 150 µV K-1이하인 축퇴 반도체일 경우에만 SPB 모델로 계산한 md* 결과와 비교했을 때 10 % 미만의 오차를 갖는다[13]. 만일 |S|가 150 µV K-1 이상인 소재의 md*를 계산하는데 식(5)가 사용될 경우, 얻어진 md*의 부정확도는 기하급수적으로 증가한다. 반면, 식(6)은 모든 페르미 레벨에서 SPB 모델로 계산한 md* 결과 대비 최대 8 % 미만의 오차를 갖는다. 따라서 샘플의 페르미 레벨과 상관없이 SPB 모델처럼 정확한 md*를 계산하고자 할 때에는 식(5)가 아닌 식(6)을 활용하는 것을 추천한다. 마지막으로 식(5), 식(6) 모두 실험적으로 측정할 수 없는 n을 변수로 취하고 있다. 따라서 많은 경우, 실험적으로 측정할 수 있는 홀 전하농도 (nH)를 식(5) 및 (6)의 n의 자리에 입력하고 있지만 이 또한 계산된 md*의 부정확도를 증가시킨다. 이 경우, 측정된 nHn으로 변환하는 아래 수식을 사용하는 것이 필수적이다[14].

(7)
n n H = 1.17 - 0.216 1 + e x p ( S - 101 67.1 )

그림 2(c)그림 2(a)와 마찬가지로 Fe(Se1-xTex)2 열전 합금의 x 변화에 따른 제벡 pisarenko 관계를 나타낸다. 하지만, 그림 2(a)와 달리 TB 모델을 이용하여 md*를 피팅하고, 피팅된 md*를 이용하여 nH에 따른 S의 변화 계산하였다 (실선으로 표현). 그림 2(c) 내 실험값은 심볼로 표시하였는데 이 때, 그림 2(a)2(c)x에 따른 실험값은 동일하다[9]. Conduction 및 valence 밴드가 열전소재의 전기적 수송 특성에 참여할 경우, TB 모델의 S는 다음과 같은 식(8-10)으로 나타낼 수 있다[15].

(8)
S m a j = k B e ( 2 F 1 η F 0 η - η )
(9)
S m i n = k B e ( 2 F 1 - η - ε g F 0 - η - ε g + η + ε g )
(10)
S = S m a j σ m a j + S m i n σ m i n σ m a j + σ m i n

식(8), (9) 내 εgkBT를 단위로 하는 밴드 갭을 의미 한다. 식(8-10)에서 Zmaj (Z = S 또는 σ)는 다수 캐리어에 의한 S 또는 σ에 대한 기여, Zmin (Z = S 또는 σ)는 소수 캐리어에 의한 기여를 나타낸다. Fe(Se1-xTex)2의 경우 x = 0, 1인 경우 p-형의 전도특성을 나타내며 다수 캐리어는 홀이 된다. 하지만, x = 0.6, 0.8의 경우 n-형 전도특성을 나타내며 다수 캐리어는 전자이다. 따라서, TB 모델을 이용하여 Fe(Se1-xTex)2 합금의 S을 구할 때, x에 따라 다수 캐리어의 종류가 변하는 것을 고려하였다. 식(10)에 따르면, TB 모델을 통해 계산된 SSmajSminσi (i = maj, min) 가중평균과 같다. 다수 캐리어와 소수 캐리어에 의한 σi (i = maj, min)는 아래 식(11), (12)을 통해 구할 수 있고, 전체 전기전도도(σ)는 이들의 합으로 구할 수 있다 (식 (13)).

(11)
σ m a j = e 2 h 3 π 2 C l N v , m a j 5 / 3 m d , m a j * Ξ m a j 2 F 0 η
(12)
σ m i n = e 2 h 3 π 2 C l N v , m i n 5 / 3 m d , m i n * Ξ m i n 2 F 0 - η - ε g
(13)
σ = σ m a j + σ m i n

이때 Cl, Nv,i, Ξi, 및 md,i* (i = maj, min)는 elastic 상수, 그리고 다수/소수 전하 밴드의 페르미 포켓 개수, deformation 포텐셜, 유효질량을 나타낸다. Cl은 FeSe2에서 165.5 GPa, FeTe2에서 112.7 GPa을 갖는다는 보고를 이용하여 중간 조성에서의 Cl은 선형보간법을 이용하여 계산한 값을 사용하였다[16]. Fe(Se1-xTex)2와 같은 신조성의 경우, Nv,i (i = maj, min)에 대한 정보를 문헌에서 찾을 수 없어서 모든 x에 대해 1을 사용하였다. Ξi (i = maj, min)는 deformation 포텐셜로 전하와 포논 간의 상호작용을 나타내며 nH에 대한 홀 이동도(μH) 측정값로부터 도출할 수 있는 밴드 인자이다. 전하와 포논 간의 상호작용이 강한 경우, Ξi는 큰 값을 가지며 전하의 이동도는 감소하게 된다. Ξi 피팅과 관련해서는 아래에서 더욱 자세히 설명할 예정이다. md,i* (i = maj, min)는 다수 및 소수 밴드의 유효질량을 나타내며, 피팅을 통해 도출되는 밴드 인자이다. TB 모델에서의 다수 및 소수 전하의 홀 전하농도 (nH,i (i = maj, min))는 다음과 같은 식을 이용하여 계산된다 (식(14-16)).

(14)
n H , m a j = 8 π 3 ( 2 m d , m a j * k B T h 2 ) 3 / 2 F 0 η F - 1 / 2 η
(15)
n H , m i n = 8 π 3 ( 2 m d , m i n * k B T h 2 ) 3 / 2 F 0 2 - η - ε g F - 1 / 2 - η - ε g
(16)
n H = n H , m a j + n H , m i n

TB 모델도 SPB 모델과 동일하게 고정된 온도에서 md,i*, Ξi, 및 εg를 조절하여 nH를 함수로 하는 S 계산 결과를 실험값에 피팅할 수 있다 (식(8-16)). 그림 2(c)에서 볼 수 있듯, TB 모델로 계산한 결과(실선)와 실험 데이터(심볼)가 정확히 일치하는 것으로 보아 피팅 된 md,i*, Ξi, 및 εg이 실제 샘플의 밴드 구조를 잘 반영하고 있음을 확인할 수 있다. 그림 2(d)는 TB 모델로 계산된 다수/소수 전하 밴드의 md,i*를 x에 대해 보여준다. 각 조성 별 conduction 밴드의 md*를 삼각형 심볼로 표현한 후 추세선을 붉은색으로 표현하였으며, valence 밴드의 md*를 사각형 심볼로 표현한 후 추세선을 푸른색으로 표현하였다. conduction 밴드와 valence 밴드 모두 x가 증가함에 따라 md*가 선형으로 감소하는 것을 확인할 수 있었다. 또한 valence 밴드의 md*가 conduction 밴드의 md* 대비 x에 대해 더 큰 기울기로 감소하여 x = 0에서는 conduction 밴드가 valence 밴드 대비 더 큰 md*를 갖지만, x = 0.6 부근에서 conduction 밴드와 valence 밴드의 md*가 비슷한 값을 갖고, x = 0.8이상에서는 valence 밴드가 더 큰 md*를 가지는 것을 확인할 수 있었다. 그림 2(b)2(d)를 비교해볼 때, SPB 모델로 도출한 한 개 밴드의 md*의 경우, x = 0.08에서 급격하게 감소한 후 x = 0.1에서 증가하는 추세를 보이지만, TB 모델로 도출한 두 개 밴드의 md*의 경우 x 증가에 따라 모두 점진적으로 감소하는 것을 관찰할 수 있다. SPB 모델의 x = 0.08 부근에서의 급격한 md* 변화는 x 증가에 따른 밴드 갭 감소 및 소수 전하의 영향 증가분을 고려하지 않은 결과로 보인다. 반면, 좁은 밴드 갭을 갖는 열전 소재의 전기적 수송 특성에 TB 모델을 적용하여 밴드 인자를 도출할 경우, 밴드 갭, 소수 전하에 의한 bipolar 전도 특성을 모두 고려하기 때문에 소재의 전기적 밴드 구조를 더욱 정확하게 반영한 밴드 인자를 얻을 수 있게 된다.

그림 3은 SPB 모델과 TB 모델로 각각 계산한 Fe(Se1-xTex)2 (x = 0, 0.6, 0.8, 1) 열전합금의 x 변화에 따른 Ξ를 보여준다. 그림 3(a)nH에 대한 μH를 나타낸다. 실험 데이터(심볼)는 문헌으로부터[9], 계산 결과(실선)는 SPB 모델을 이용하여 계산되었다 (식(17)).

(17)
μ H = ( e π ħ 4 C l N v 5 / 3 2 Ξ 2 m d * ( k B T ) 3 / 2 ) F - 1 / 2 η 2 F 0 ( η )

위 식(15)에서 도출해야 하는 밴드 인자로 md*와 Ξ가 있다. 하지만 md*의 경우, 제벡 Pisarenko 관계로부터 이미 도출하였기 때문에 (그림 2(a), (b)), 기 도출된 md*을 활용하고 추가적으로 nH에 대한 μH 실험값을 이용하여 Ξ를 계산하였다. 그림 3(a)로부터 실험 데이터(심볼)와 SPB 모델 계산결과(실선)가 일치하는 것으로 확인할 수 있다. 이 때 도출된 Ξ를 그림 3(b)에 나타냈다. 우선, 같은 p-형 소재인 x = 0과 x = 1 조성을 비교하면, x = 0 샘플의 Ξ가 x = 1 샘플의 Ξ 대비 약 2배 큰 것을 볼 수 있다. 큰 Ξ는포논에 의해 그 만큼 감소된 이동도를 의미하기 때문에 그림 3(a)x = 0 샘플의 μHx = 1 샘플의 μH 대비 낮은 것을 확인할 수 있다. x = 0 샘플과 동일하게 높은 Ξ를 가짐에도 x = 0.8 샘플의 μH가 높은 이유는 md*가 현저하게 가볍기 때문이다. SPB 모델로 계산한 Ξ는 x가 증가함에 따라 감소와 증가를 반복하는 경향을 보인다. 일 예로, x = 0 샘플에서 Ξ가 최대인 132 eV를 갖지만 x = 0.6에서 32 eV로 현저하게 낮아졌다가 다시 x = 0.8 조성에서 131.7 eV로 증가하는 것을 관찰할 수 있다.

그림 3(c)nH에 대한 μH 실험값(심볼)과 TB 모델로 계산한 결과(실선)을 나타낸다. TB 모델로 μH를 계산할 때는 위에서 나타낸 다수/소수 전하 밴드의 σi (i = maj, min)와 아래 홀 계수 (RH,i (i = maj, min))를 이용하였다 (식(18-20)).

(18)
1 R H , m a j = 16 π e 3 ( 2 m d , m a j * k B T h 2 ) 3 / 2 ( F 0 ( η ) ) 2 F - 1 / 2 ( η )
(19)
1 R H , m i n = 16 π e 3 ( 2 m d , m i n * k B T h 2 ) 3 / 2 ( F 0 ( - η - ε g ) ) 2 F - 1 / 2 ( - η - ε g )
(20)
R H = R H , m a j σ m a j 2 + R H , m i n σ m i n 2 ( σ m a j + σ m i n ) 2

그림 3(c)의 TB 모델 계산을 위해서 그림 2(c)와 유사하게, md,i*, Ξi, 및 εg를 변화시켜서 실험 결과를 가장 잘 묘사할 수 있는 밴드 인자를 도출하였다. 그렇게 도출된 다수/소수 밴드의 Ξi (i = maj, min)를 그림 3(d) 정리하였다. 그림 3(d)에 나타낸 다수/소수 밴드의 Ξi를 통해 계산된 nH에 대한 μH는 실험 데이터와 일치하는 것을 확인할 수 있다 (그림 3(c)). 그림 3(d)는 각 조성 별 conduction 밴드의 Ξi를 삼각형 심볼로 표현하고(붉은색 추세선), valence 밴드의 Ξi를 사각형 심볼로 표현하였다(푸른색 추세선). x가 증가함에 따라 conduction 밴드의 Ξi는 선형으로 증가하고, valence 밴드의 Ξi 는 선형으로 감소한다. 이는 x의 증가에 따라 전자-포논 간의 상호작용이 증가하는 반면, 홀(hole)-포논 간의 상호작용은 감소하는 것을 의미한다. x < 0.8의 경우, valence 밴드의 Ξi가 conduction 밴드의 Ξi 보다 더 크지만, x ≥ 0.8 영역에서는 conduction 밴드의 Ξi가 valence 밴드보다 더 커지는 것으로 계산되었다. 이렇게 SPB 모델로 계산한 Ξ와 TB 모델로 계산한 Ξi가 다른 경향을 보이는 것은 SPB 모델로 계산할 때에는 두 밴드 간의 상호작용이나, 소수 전하의 bipolar 기여분 등이 무시되기 때문이다. 이러한 이유로 좁은 밴드 갭을 가지는 열전소재의 경우, TB 모델로 실제 소재의 밴드 구조가 더 잘 반영된 밴드 인자를 도출할 수 있다.

그림 4는 SPB 모델과 TB 모델로 구한 md*Ξ로부터 다음 식(21)를 이용하여 weighted 이동도(μw)를 계산하였다.

(21)
μ w = e π ħ 4 C l 2 Ξ 2 ( k B T ) 3 / 2 N v 5 / 3 m d *

μw는 열전소재의 잠재적 전기적 성능을 평가할 때 주요한 기준으로 활용되고 있는 밴드 인자이다. μw를 이용하여 열전 소재의 최대 파워팩터(=S2σ, PF)를 예측할 수 있으며 동시에 PF가 최대가 되는 최적의 nH 또한 도출할 수 있다. 그림 4(a)는 SPB 모델로 구한 md*Ξ를 이용하여 μw를 계산한 결과이다. x가 증가함에 따라 점진적으로 μw가 증가하는데 그 중, x = 0.6 조성에서 특히 크게 증가하는 결과를 얻었다. 더 자세히는 x = 0 조성에서 μw가 31 cm2 V-1 s-1로 가장 낮은 반면, x = 0.6에서 μw가 760 cm2 V-1 s-1까지 급격하게 증가했다. μw 계산 결과로는 x = 0.6 일 때, PF의 이론 최대값이 다른 조성 대비 가장 높을 것으로 예상된다. 그림 4(b)그림 4(a)에서 계산된 μw를 이용하여 nH에 대한 PF를 예측한 결과이다(실선). PF 실험 결과 또한 SPB 모델 결과와 함께 그래프 내 표시하였다(심볼). μw가 가장 큰 값을 가졌던 x = 0.6 샘플이 5×1018 – 1020cm-3 전 구간에서 PF가 가장 높은 것을 확인할 수 있다. 뿐만 아니라 현재 x = 0.6 실험 데이터의 경우 nH ~ 3×1019 cm-3PF ~ 0.2 mW cm-1 K-2 값을 갖지만, nH를 5×1018 cm-3 까지 감소시킬 경우, PF가 약 125 % 증가할 수 있다는 것을 확인할 수 있다 (PF ~ 0.45 mW cm-1 K-2).

그림 4(c)는 다수/소수 밴드의 md*Ξ를 TB 모델을 이용하여 계산한 결과이다. x의 증가에 따라 conduction 밴드의 μw는 크게 감소하는 반면, valence 밴드의 μw는 점진적으로 증가하는 것을 확인할 수 있다. Fe(Se1-xTex)2 (x = 0, 0.6, 0.8, 1)의 경우 x = 0, 1 샘플들에서 p-형 전도특성을, x = 0.6, 0.8 샘플들에서 n-형 전도특성을 나타내는 것으로 보고되었다[9]. 다시 말해, x에 따라서 다수 전하 밴드가 바뀌는 특성을 보인다. 그림 4(c)에 다수 전하 밴드의 μw를 나타내는 심볼 옆에 ‘M’를 표시하여 각 x별 다수 전하 밴드의 μw를 쉽게 알아볼 수 있도록 하였다. 그 결과, 절대값은 다르지만, SPB 모델로 계산한 x에 대한 μw 변화 경향과(그림 4(a)) TB 모델로 계산한 x에 대한 다수 전하 밴드의 μw 변화 경향이(그림 4(c) 내 ‘M’) 유사한 것을 확인할 수 있었다. 그림 4(c) inset에는 x에 따른 weighted 이동도 비율(weighted mobility ratio, A)을 표시하였다. A는 소수 전하 대비 다수 전하가 상대적으로 얼마나 더 이동도가 큰지를 나타내는 지표로써 TB 모델 계산을 통해서만 계산할 수 있는 밴드 인자이다. x = 0 샘플의 A가 다른 x 대비 가장 높으며 약 28로 계산되었다. x ≥ 0.6 영역에서 Ax = 0의 A 대비 크기 작아졌지만 x가 증가함에 따라 점점 증가하는 추세를 보인다 (0.13 → 1.7). 따라서 계산된 A값만 보았을 때는 A값이 가장 큰 x = 0 샘플 내 bipolar에 의한 전도특성이 가장 약해야 한다. 하지만 bipolar 전도특성에는 A외에도 다른 변수들이 기여하기 때문에 A를 비롯한 다른 변수들과 함께 bipolar 전도 특성을 해석해야 한다[17]. 그림 4(d)는 선형적으로 변하는 conduction 밴드 및 valence 밴드의 μw를 통해 계산한 nH에 대한 PF 계산 결과(실선) 및 실험 데이터를 나타낸다. 그림 4(b)에 나타난 SPB 모델의 계산 결과와 유사한 결과를 TB 모델을 통해 얻은 것을 확인할 수 있다. 여기서 중요한 점은, x에 대해서 선형적으로 변하는 conduction 밴드 및 valence 밴드의 μw가 다수 전하 밴드 한 개의 급격하게 변하는 μw 보다 실제 Fe(Se1-xTex)2 (x = 0, 0.6, 0.8, 1) 소재의 전기적 밴드 구조를 더 정확하게 반영한다는 부분이다.

그림 5(a)는 Fe(Se1-xTex)2 (x = 0, 0.06, 0.8, 1) 열전소재의 bipolar 전도 현상을 이해하기 위해 300 K bipolar 열전도도(κbp)를 TB 모델을 통해 계산한 결과를 보여준다. 이 때, κbp는 아래 식(22)을 통해 계산되었다.

(22)
κ b p = ( S m a j 2 σ m a j + S m i n 2 σ m i n - S 2 σ ) T

300 K에서 모든 x에 대한 κbp는 모두 10-3 W m-1 K-1 이하로 매우 작다. 하지만 그 중에서도 x = 0.8 샘플의 κbp가 가장 낮은 것을 확인할 수 있다. κbp에 영향을 주는 요소는 밴드 갭, A, 그리고 nH로 알려져 있다[15]. 밴드 갭, A, 그리고 nH의 증가는 κbp 감소로 이어진다. 밴드 갭은 x가 증가함에 따라 점점 커지고, Ax = 0.6일 때 가장 낮은 값을 가지고, 그림 5(b)에서 보여지듯 실험적인 nHx = 0.6일 때 가장 높다. 이 세 가지 변수가 κbp에 기여하는 정도를 정량화하기는 매우 어렵다. 하지만 x = 0.8 샘플의 κbp가 가장 낮게 계산된 것을 비추어 보았을 때 Fe(Se1-xTex)2 (x = 0, 0.06, 0.8, 1) 열전소재에서는 밴드 갭의 증가가 다른 A 혹은 nH에 비해 κbp 감소에 더 크게 영향을 미쳤다고 설명할 수 있다.

4. 결 론

본 연구에서는 기 보고된 Fe(Se1-xTex)2 (x = 0, 0.06, 0.8, 1) 열전소재의 합금조성(x) 변화에 따른 전기적 수송 특성 변화를 밴드 인자의 변화로 설명하였다. 유효질량(md*), deformation 포텐셜(Ξ), weighted 이동도(μw)과 같은 밴드 인자들을 Single Parabolic Band (SPB) 모델과 Two-Band (TB) 모델로 각각 도출한 뒤 두 개의 다른 모델을 사용하여 도출한 밴드 인자들 간 차이점을 비교하였다. SPB 모델의 경우, x 증가에 따라 md*Ξ가 산발적으로 변화한데 반해, TB 모델로 계산한 밴드 인자들은 x의 변화에 대해 모두 선형적으로 변화하는 것으로 계산되었다. x가 증가할수록 밴드 갭이 작아지는 좁은 밴드 갭을 가지는 Fe(Se1-xTex)2 열전합금의 경우, 소수 전하 밴드의 기여분을 고려한 TB 모델을 사용하는 것이 실제 소재의 밴드 구조를 반영한 더 정확한 밴드 인자를 얻는데 유리한 것으로 밝혀졌다. 또한, TB 모델을 이용하여 Fe(Se1-xTex)2 열전합금의 상온 bipolar 열전도도를 계산한 결과, 밴드 갭의 영향으로 x = 0.8 일 때, bipolar 열전도도가 가장 작을 것으로 계산되었다.

Acknowledgements

This work was financially supported by the National Research Foundation of Korea (NRF), funded by the Ministry of Education (NRF-2021K2A9A1A06092290, NRF-2015R1A6A1A03031833, and NRF-2019R1A6A1A11055660)

REFERENCES

1 
Abdin Z., Alim M. A., Saidur R., Islam M. R., Rashmi W., Mekhilef S., Wadi A., Renewable Sustainable Energy Rev,26, 837 (2013)Google Search
2 
Kim H. S., Kim J. H., Kim J., Int. J. Precis. Eng. Manuf,12, 1129 (2011)Google Search
3 
Snyder G. J., Energy Harvest. Syst,11, 325 (2009)Google Search
4 
Mohammad M. H., Navid K., Jiajun Y., Chengfeng P., Eric M. J., Krzysztof M., Carmel M., Adv. Funct. Mater,29, 1906098 (2019)Google Search
5 
Soleimani Z., Zoras S., Ceranic B., Shahzad S., Cui Y., Sustain. Energy Technol. Assess,37, 100604 (2020)Google Search
6 
Kim M. Y., Kim H. S., Lee K. H., J. Microelectron. Packag. Soc,28, 4 (2021)Google Search
7 
Fu C., Zhu T., Liu Y., Xiea H., Zhao X., Energy Environ. Sci,8, 216 (2015)Google Search
8 
Wang H., Pei Y., LaLonde A. D., Snyder G. J., Adv. Mater,23, 1366 (2011)Google Search
9 
Park O., Kim T. W., Lee S. W., Kim H. S., Shin W. H., Rahman J. U., Kim S.-i., Korean J. Met. Mater,60, 315 (2022)Google Search
10 
The Materials Project. Materials Data on FeSe 2 by Materials Project. United States: N. p. Web. doi:10.17188/1282025 (2020),
11 
The Materials Project. Materials Data on FeTe 2 by Materials Project. United States: N. p. Web. doi:10.17188/1195070 (2020),
12 
Snyder G. J., Toberer E. S., Nature Mater,7, 105 (2008)Google Search
13 
Lee K. H., Kim S.-i., Lim J.-C., Cho J. Y., Yang H., Kim H.-S., Adv. Funct. Mater,32, 2203852 (2022)Google Search
14 
Lim J. -C., Kim S. Y., Shin W. H., Kim S.-i., Roh J. W., Yang H., Kim H.-S., ACS Appl. Energy Mater,5, 4036 (2022)Google Search
15 
Kim M. Y., Kim S.-i., Kim S. W., Kim H. S., Lee K. H., Adv. Mater,33, 2005931 (2021)Google Search
16 
Tian X. T., Zhang J. M., Superlattices Microstruct,119, 201 (2018)Google Search
17 
Kim S.-i., Lim J.-C., Yang H., Kim H.-S., Korean J. Met. Mater,59, 54 (2021)Google Search

Figures

Fig. 1.

Band gap of Fe(Se1-xTex)2 (x = 0, 0.6, 0.8, and 1) as a function of the alloy composition x at 300 K.

../../Resources/kim/KJMM.2023.61/kjmm-2023-61-2-98f1.jpg
Fig. 2.

(a) Experimental Seebeck coefficient (S) of Fe(Se1-xTex)2 (x = 0, 0.6, 0.8, 1) at 300 K represented in symbols and calculated S using SPB model represented in lines as a function of Hall carrier concentration. (b) Density-of-states effective mass (md*) of Fe(Se1-xTex)2 estimated via SPB model as a function of alloying content x. (c) Experimental S of Fe(Se1-xTex)2 (x = 0, 0.06, 0.8, 1) at 300 K (symbols) and calculated S (lines) using TB model as a function of nH. (d) md* of Fe(Se1-xTex)2 estimated via TB model as a function of x.

../../Resources/kim/KJMM.2023.61/kjmm-2023-61-2-98f2.jpg
Fig. 3.

(a) Experimental Hall mobility (μH) of Fe(Se1-xTex)2 (x = 0, 0.6, 0.8, 1) at 300 K in symbol and calculated μH using SPB model in line as a function of nH. (b) Deformation potential (Ξ) of Fe(Se1-xTex)2 estimated using SPB model as a function of x. (c) Experimental μH of Fe(Se1-xTex)2 (x = 0, 0.6, 0.8, 1) at 300 K in symbol and calculated μH using TB model in line as a function of nH. (d) Ξ of Fe(Se1-xTex)2 estimated using TB model as a function of x.

../../Resources/kim/KJMM.2023.61/kjmm-2023-61-2-98f3.jpg
Fig. 4.

(a) x-dependent weighted mobility (μw) of Fe(Se1-xTex)2 (x = 0, 0.06, 0.8, 1) estimated using SPB model. (b) Experimental power factor (PF) of Fe(Se1-xTex)2 at 300 K in symbol and calculated PF using SPB model in line as a function of nH. (c) x-dependent μw of Fe(Se1-xTex)2 estimated using TB model. (d) Experimental PF of Fe(Se1-xTex)2 at 300 K in symbol and calculated PF using TB model in line as a function of nH. Inset of (c) is the x-dependent weighted mobility ratios of Fe(Se1-xTex)2.

../../Resources/kim/KJMM.2023.61/kjmm-2023-61-2-98f4.jpg
Fig. 5.

(a) x-dependent bipolar thermal conductivity (κbp) of Fe(Se1-xTex)2 (x = 0, 0.06, 0.8, 1) estimated via TB model at 300 K. (b) Experimental x-dependent nH of Fe(Se1-xTex)2.

../../Resources/kim/KJMM.2023.61/kjmm-2023-61-2-98f5.jpg