김재웅
(Jaeung Kim)
1
윤성찬
(Sungchan Yun)
1*
-
한국교통대학교 기계공학전공
(Department of Mechanical Engineering, Korea National University of Transportation,
Chungju 27469, Republic of Korea)
Copyright © 2023 The Korean Institute of Metals and Materials
Key words
superhydrophobic surface, compound material, Janus material, interfacial dynamics
1. 서 론
비습윤 표면(non-wettable surface) 위 다중물질 (compound material) 거동 조절은 결빙방지(anti-icing) [1], 3D 프린팅[2], 자가세정(self-cleaning) [3,4], 약물 전달[5], 연소[6], 전염병 전파[7], 에너지 하베스팅 (energy harvesting) [8], 그리고 액체 정화(liquid purification) [9]를 포함한 다양한 산업 분야에서 큰 영향을 미치고 있다. 마이크로 및 나노 제조 및 고속 영상 처리 기술의 발전으로 많은 연구자들이 표면 거칠기
및 습윤성과 같은 표면 형태를 정밀하게 제어할 수 있었고, 충돌 현상과 관련된 도전적인 역학 연구를 실험적 및 수치적으로 조사할 수 있게 되었다[10,11]. 이 분야의 여러 다른 유형의 연구 중에서 연꽃 잎(Lotus leaf)과 같은 자연식물에 의해 생체모방된 초소수성 표면은 마이크로/나노 구조
표면으로서 광범위한 관심을 끌었다[4]. 이러한 표면 위에서 반동하는 액적(droplet)과 고체 표면 사이의 상호작용은 질량, 운동량 및 열 전달에 크게 영향을 미치기 때문에, 액적
체류시간(residence time)의 감소는 액적의 거동을 나타내는 중요한 척도가 된다. 구형(spherical) 액적의 반동은 질량–스프링 시스템으로
유추될 수 있으며, 이 시스템의 체류시간은 τ0 = (ρD03/8σ)1/2로 주어진 관성-모세관(inertia–capillary) 시간 척도로 스케일링(scaling)될 수 있다[12,13]. 여기서 ρ는 밀도, D0는 액적 직경, 그리고 σ는 계면장력이다. 액적충돌 시나리오는 다음과 같은 주요 무차원 수들에 의해 결정될 수 있다[14]. 웨버 수(Weber number, We = ρD0U02/σ)는 표면에 대한 관성의 상대적인 힘을 나타내고, 오네조르게수(Ohnesorge number, Oh = μ/(ρD0σ)1/2)는 관성과 표면에 대한 점도의 상대적인 힘을 나타낸다. 여기서 U0는 충돌 속도이고, μ는 유체의 절대점도이다.
많은 연구자들은 마이크로 및 나노 구조 위의 충돌 현상을 포함하여 액체–고체 상호 작용과 관련된 기본 물리적 원리와 실용적인 의미의 탐구에 중점을
두었다. 예를 들어, 이론적인 체류시간 극복을 위하여 마크로-릿지(macro-ridge) [15–18], 곡선[19], 계층 표면 구조[20,21], 액적형상 변화[22–25]를 도입하여 체류시간을 변화시킬 수 있음을 증명하였다. Bird et al. [15]는 마크로-릿지가 도입된 초소수성 표면을 사용하여 체류시간을 줄이는 가능성을 보여주었으며, 이것은 액적을 릿지 위에 분할되도록 유도한 결과였다.
Gauthier et al. [16]는 여러 충돌 속도에서 체류시간을 조사하기 위해 비습윤 와이어를 사용하였다. Patterson et al. [17]은 라이덴프로스트(Leidenfrost) 액적의 체류시간이 다중릿지(multi-ridge) 표면에 액적이 충돌할 때 교차하는 릿지의 수에 영향을
받는다는 것을 입증하기 위한 실험을 수행하였다. Han et al. [18]은 반동하는 액적의 체류시간 최소화를 위해 핀–줄무늬(fin–stripe) 비습윤성 표면을 제시하였다. Liu et al. [19]는 액적크기와 비슷한 볼록한 원통형 표면에서 대칭을 깨는 반동 현상을 보고하였다. 이외에도 기능성 표면을 제작하기 위한 다른 방법들이 개발되었다.
Bae et al. [20]은 스프레이 코팅 및 열경화식 임프린팅(thermal imprinting)으로 처리된 미세 패턴 표면에 대한 증류수 및 헥사데칸의 습윤 거동을 조사하였다.
Cho et al. [21]은 세라믹 입자의 합성을 위해 정전분무(electrospray) 기술을 이용하여 150°보다 큰 높은 접촉각을 갖는 초소수성 필름을 증착하였다.
앞서 언급한 연구들에서 만일 액체와 고체의 조합이 조절될 수 없는 상황에서 반동 성능은 한계점에 도달하게 된다. 이 문제를 해결하기 위해 본 연구
그룹은 초기 액적 형상을 타원형으로 변형하였고, 소수성[22] 및 초소수성[23] 고체 표면 위에 충돌시켰을 때, 체류시간을 효율적으로 감소할 수 있다는 것을 발견하였다. 액적형상에 의하여 유도된 주 유동(preferential
flow)에 의하여 비정상적인 퍼짐 및 수축을 보였고, 주 축을 따라 액체 정렬을 유도함을 실험적으로 보여주었다. 가장 최근 본 연구 그룹은 마크로-릿지가
도입된 표면[24]과 편평한 표면[25]에서 이중액적의 체류시간을 줄임으로써 저점도 성분과 고점도 성분을 분리할 수 있는 가능성을 보여주었다. 이전 연구에서는 다양한 웨버 수, 점도비(viscosity
ratio), 그리고 타원율(ellipticity)에 대한 이중액적의 반동 및 분리 거동을 예측하였다[25]. 그러나 이중액적의 충돌 메커니즘을 더 이해하고 실용적인 측면에서 분석하기 위해서는 이중액적의 크기와 형상이 반동 및 분리 거동에 어떻게 영향을
주는 지에 대한 기본 지식이 제공되어야 한다.
이중 또는 다중 물질은 서로 공유 인터페이스가 있는 두 개 이상의 섞이지 않는 물질로 구성되어 있다[26]. 이러한 물질은 야누스(Janus) 또는 코어–쉘(core–shell) 구조 등의 이중액적 형태로 구분이 될 수 있다. 최근에는 수많은 이중액적과
패턴화된 표면의 조합 가능성으로 인해 액적 반동 또는 촉진 등을 위한 광범위한 연구가 수행되었다[27-29]. Yu et al. [27]은 저점도 유체에 고점도 유체를 부착하였을 때 야누스 액적이 열역학적으로 안정될 수 있음을 보여주었다. 그들은 고점도 성분의 점도가 증가함에 따라
저점도 성분의 스플래쉬(splash)가 잘 생성된다는 것을 보고하였다. Blanken et al. [28]는 유중수(water-in-oil) 에멀젼(emulsion) 액적이 코어와 습윤 표면 사이의 윤활층으로 인해 소수성 및 친수성 표면에서 반동할 수
있음을 설명하였다. Damak et al. [29]는 충돌 속도가 증가함에 따라 표면의 자체 생성된 윤활층에 의하여 오일층에서 흡입력이 발생한다는 것을 발견하였고, 실험적으로 액적의 반동 거동이
크게 변화하는 것을 관찰하였다. 이러한 기존 연구는 구형 액적의 거동만 고려하였고, 반동 역학에서는 충돌 속도와 점도비의 역할에 중점을 두었다. 실용적인
측면에서 분무 공정 중에 발생하는 액적의 다양한 크기와 형상 왜곡이 충돌역학에 미치는 영향에 대한 지식은 아직까지 부족하다.
본 연구는 타원형 이중액적의 크기와 형상이 액적 반동 및 분리효율에 미치는 영향을 분석하기 위하여 VOF(volume of fluid) 방법[30]을 사용하여 다양한 웨버 수와 점도비(α)에 따른 동적 특징을 조사하였다. 그림 1과 같이 이중액적은 고점도 성분을 저점도 성분에 부착함으로써, W-파트(물)과 G-파트(글리세린/물 혼합물)인 두 개의 유체 파트로 구성되는 야누스
형태를 생성하였다. 여기서 두 유체 부분 사이의 계면이 고체 표면에 수직인 충돌 상황을 가정하였다. 충돌 후 분리가 시작되는 임계 웨버 수(threshold
We)를 액적크기, 타원율, 그리고 점도비에 따라 조사하였다. 또한 점도비와 웨버 수에 따른 이중액적의 분리효율의 상태도(regime map)를 제시하였고,
액적형상이 비대칭 반동과 분리 거동에 미치는 영향에 대하여 논의하였다.
2. 해석 방법
본 연구는 VOF 방법을 사용하여 다양한 웨버 수와 점도비에 따른 타원형 이중액적의 반동 및 분리효율을 수치해석적으로 조사하였다. W-파트와 G-파트를
이중액적의 두 위상으로 사용하였고, 이들은 대기압 및 실온에서 세 번째 위상인 공기로 둘러싸여 있다. 3차원 및 비압축성 연속 및 운동량 방정식은
다음과 같이 해석영역(domain) 안에서 정의되었다.
여기서 밀도는
ρ
=
∑
i
=
1
3
ψ
i
ρ
i
, 점도는
μ
=
∑
i
=
1
3
ψ
i
μ
i
, ψi는 각 상의 부피 분율(
∑
i
=
1
3
ψ
i
=
1
), 계면의 곡률은
κ
=
-
(
▽
·
n
→
)
,
n
→
은 계면에 수직인 단위 벡터,
g
→
는 중력 가속도이다. Rider와 Kothe [31]가 보고한 VOF 알고리즘은 계면을 추적하는 데 사용되었다. 운동량 방정식의 마지막 항에서 계면장력 계산을 위해 가장 기본적인 모델인 연속적인 표면장력(continuous
surface force) 근사를 사용되었다[32]. 본 모델에 체적분율의 이류(advection)는
∂
ψ
i
/
∂
t
+
▽
·
(
ψ
i
ν
→
)
=
0
의 방정식을 도입하여 적용되었다. 시간 및 공간 도함수는 각각 Leonard [33]에 의해 보고된 1차 음해법(implicit method)과 대류 모델(convective model)을 각각 사용하여 이산화 되었다. 11 ×
11 × 6 mm3 크기의 직사각형 해석영역을 사용하였고, 액적 직경 당 최소 50개 셀(cell)을 적용하여 격자 해상도를 확보하였다. 계산의 정확도를 향상시키기
위해 바닥 표면 근처의 셀을 자체 적응적으로 조밀화 하였다. 속도장 및 압력장의 경우 정규화된 잔차(residuals)가 10-5보다 작게 설정되었고, 최대 내부반복(internal iteration) 및 시간 단계(time step)는 각각 시간 단계당 30회 및 1 μs로 설정되었다. 격자 독립성 시험(grid independence test)은 Appendix의 그림 A1에 제시되었다.
표 1은 Abolghasemibizaki et. al. [34]에 의해 측정된 특정 중량 백분율의 두 유체파트에 대한 물성치를 나타낸다. 본 연구에서는 표면의 젖음성을 특성화하기 위해 160°의 정적 접촉각
모델을 사용하였다. 이것은 앞의 문헌에서 보고된 전진(advancing) 및 후진(receding) 접촉각(~160°)과 매우 작은 접촉각 이력(<
4°)을 고려한 결과이다[34]. 초기 액적형상은 그림 1(b)–(e)와 같이 타원의 회전축과 계면의 배치에 따라 각각 구형, 장축타원체 I, II (Prolate type I, II), 그리고 편평타원체(Oblate
type)로 구성될 수 있다. 장축 및 편평타원체는 장축과 단축이 각각 b 와 a 를 가진 회전체의 수학적 모델을 사용하여 표현되었다. 여기서 타원율은 e = 1 – a/b 와 같이 정의되었다.
W-와 G-파트 사이의 여러 점도비(α = μg/μw)는 표 1과 같이 α1–α4 로 표현하였다. W-파트 및 G-파트의 물리량은 각각 w 및 g 의 첨자를 사용하였다. W-파트는 액적 부피 보존으로부터 유도된 평형 직경(Dw = D0/21/3)을 사용하였고, 충돌 속도 U0는 0.7–3.2 m/s 의 범위 내에서 사용하였다. W-파트의 경우 동역학에 있어서 관성력과 표면장력 사이의 상호 작용이 중요하며, 직경 D0 = 0.99–2.96 mm 에서 Wew = ρwDwU02/σw = 5–338, Ohw = μw/(ρwDwσw)1/2 = 0.002–0.004 이므로, 점성력은 무시할 수 있다. 하지만 G-파트의 경우 직경 U0 = 0.99–2.96 mm 에서 Ohg = 0.028–0.94 이므로, 점성력은 충돌 거동에 중요한 역할을 할 수 있다. 분리 효율(separation efficiency)로서의 Ω 은
W-파트의 초기 부피에 대한 분리되는 부피의 비율을 나타낸다.
3. 결과 및 고찰
이중액적의 크기가 반동 및 분리 효율에 미치는 영향을 예측하기 위하여, 그림 2와 같이 두 가지 크기와 두 가지 점도비(α1, α4)에 따른 액적거동을 조사하였다. 액적은 표면에 충돌 후, 초기 액적형상에 의해 유도된 주 유동(preferential flow) 방향으로 퍼짐 현상이
진행되었다. 낮은 점도비(α1)에서 W- 및 G-파트는 x 축에 비하여 z 축으로 강한 퍼짐 현상을 발생하였고, 수축과정에서 z 축을 따라 긴 액체 정렬(liquid alignment) 현상이 유도되었다(그림 2(a)와 (b)). 여기서 두 유체파트의 질량 및 운동량 변화가 거의 대칭적으로 유사하기 때문에 액적의 W-파트는 결국 분리되지 않았다(즉, Ω = 0). 같은
타원율과 웨버 수를 가진 두 액적(그림 2(a)와 (b))은 액적크기 변화에 크게 의존하지 않고 서로 유사한 반동 거동을 나타내었다. 높은 점도비(α4)에서 W- 및 G-파트는 낮은 점도비와 비교하여 다른 액적 동역학을 보였다(그림 2(c)와 (d)). 예를 들어, W-파트는 x 축에 비하여 z 축으로 긴 퍼짐 현상과 액적 정렬 현상을 유도한 반면, G-파트는 퍼짐 및 수축과정에서 큰 형상 변화를 유도하지 않았다. 두 유체파트에서 보인 질량
및 운동량의 비대칭성은 유의미한 액적 분리현상을 유도하였다(즉, Ω ~ 0.4). 높은 점도비에서 볼 수 있듯이, 두 액적(그림 2(c)와 (d))은 액적크기 변화에 크게 의존하지 않고 같은 타원율과 웨버 수에서 서로 유사한 반동 거동을 나타내었다.
다양한 웨버 수에서 이중액적의 반동 현상을 예측하였고, 액적 크기와 점도비가 높아질수록 분리가 시작되는 임계 웨버 수(threshold We; Wec,w)는 낮아진다는 것을 알 수 있었다. 그림 3은 구형(빨간색 선) 및 타원형 액적(파란색 선)의 분리 효율이 0.3 이상으로 도출되는 임계 웨버 수를 액적크기의 함수로 도식화하였다. 구형 액적의
임계 웨버 수는 타원형 액적의 것보다 낮은 점도비(α1)에서 약 13% 이상, 높은 점도비(α4)에서 약 63% 이상 더 높은 것으로 나타났다. 이 결과는 높은 점도비에서 타원율을 조절하는 것이 분리 효율을 증가시키는 데 큰 역할을 한다는 것을
알 수 있었다. 또한 액적크기가 커지면 임계 웨버 수는 서서히 낮아지는데, 이것은 액적의 관성힘이 표면장력보다 크므로 액적 탈착에 유리한 상황을 유발하기
때문이다. 또한 액적크기와 점도비가 동시에 커지면, G-파트의 체류시간 (~(ρD03/8σ)1/2)이 길어지므로, W-파트의 분리에 유리한 상황이 될 수 있다. 반대로 액적크기가 작아지면 임계 웨버 수가 서서히 높아지는데, 이것은 표면장력이 관성힘에
비하여 액적 동역학을 크게 지배하기 때문에 액적 분리를 위하여 필요한 큰 관성힘이 요구된다는 것을 알 수 있다. 즉 액적크기가 모세관(capillary)
길이(~(σ/ρg)1/2) 보다 작아졌을 때 수력학(hydrodynamics)은 표면장력에 크기 의존하게 된다. 이를 개선하기 위하여 그림 3의 액적 삽화에서 볼 수 있듯이, 스플래쉬(splash)를 유도하는 것이 수많은 작은 액적을 탈착시킴으로써 W-파트 분리를 촉진시킬 수 있을 것으로
보인다. 추가적으로 레이놀즈 수(Rew = ρwDwU0/μw)에 해당하는 임계 값은 Appendix의 그림 A2에 제시되었다.
장축타원체의 액적 초기 형상에 따른 반동 및 분리 거동을 조사하였다. 그림 1(c)의 장축타원체 I (Prolate type I)의 경우 주 축에 수직한 두 유체파트의 초기 계면 배치에 의하여 x 축의 안쪽 방향으로 주 유동이 유도되기 때문에 z 축 방향으로 액적분리 현상이 발생하였다. 이와 달리 그림 1(d)의 장축타원체 II (Prolate type II)의 경우 주 축에 평행한 초기 계면 배치에 의하여 x 축의 바깥쪽 방향으로 주 유동이 유도되고, 동일한 축을 따라 분리 현상이 발생할 것으로 판단하였다. 그림 4는 두 가지 형상(구형과 타원형)과 두 가지 점도비(α1, α3)에 따른 액적 거동을 나타낸다. 구형 액적은 표면에 충돌 후, W- 및 G-파트에서 수평 축인 x와 z 축으로 퍼짐 현상이 나타났고(그림 4(a), 2.0 ms), 수축 과정에서 결국 W-파트의 일부분이 분리되었다(즉, Ω ~ 0.5). 이와는 달리 타원형 액적은 표면에 충돌 후, x 축 바깥쪽 방향으로의 주 유동으로 인하여 W- 및 G-파트가 x 축을 따라 긴 액체 정렬로 진화하였다(그림 4(b), 4.0 ms). 그리고 두 유체파트는 반동을 시작하면서 W-파트의 상당한 부분이 분리되었다(즉, Ω ~ 0.9). 높은 점도비(α3)에서 G-파트는 수평 축으로의 퍼짐이 매우 약해지고, 초기 형상에 의해 유도되는 주 유동은 동역학에 두드러지게 나타나지 않았다(그림 4(c)와 (d)). 이 결과로 인하여 W-파트는 z 축으로 퍼짐 현상이 억제되었고, 상대적으로 x 축의 퍼짐도 약해졌다. 이것은 그림 4(c)와 (d)의 5.0 ms 에서 보이는 액적 정렬 현상을 통하여 확인할 수 있었다. 이 두 액적의 G-파트는 충돌표면으로부터 반동하지 않았고, W-파트는 부분적으로
분리되었다(즉, 각각 Ω ~ 0.5 와 Ω ~ 0.7). 장축타원체 II 는 장축타원체 I 과는 상이한 분리 메커니즘을 유발하였고, 주어진 타원율에서
구형 액적에 비하여 큰 분리 효율을 도출하는 것을 알 수 있었다.
그림 5는 점도비와 웨버 수에 따른 장축타원체 II 의 분리효율의 상태도(regime map)를 나타낸다. 사각형과 삼각형 기호는 각각 비분리(non-separation)/분리(separation)를
의미한다. 여기서 비분리는 낮은 웨버 수 영역(Ω = 0), 분리는 높은 웨버 수 영역(Ω > 0)으로 표현한다. 그림의 실선에서 볼 수 있듯이 임계
웨버 수는 점도비가 높아질수록 전반적으로 낮아진다. 예를 들어, 낮은/높은 웨버 수 영역은 점도비 α1 과 α3 에서 각각 웨버 수(Wew) 63과 56에서 전환되었다. 또한 분리 효율에 따라 구분한 삼각형 기호의 크기에서 볼 수 있듯이 1에 가까운 높은 분리 효율(Ω ~1)이 낮은
점도비와 높은 웨버 수에서 도출되었다(그림 5). 장축타원체 I (그림의 점선)과 비교하였을 때, 장축타원체 II 는 분리를 위하여 상대적으로 높은 웨버 수(즉, α3에서 약 1.5배 이상의 Wew)가 요구되었지만, 분리효율은 훨씬 높았다(즉, α 3 에서 약 1.6배 이상의 Ω).
장축타원체 I (Prolate type I)의 액적분리 메커니즘과 비교하기 위하여, 같은 타원율을 가진 편평타원체(Oblate type) 형상의 액적의
충돌 거동을 그림 6과 같이 나타냈다. 두 타원체는 초기 형상에 의해 주 유동(preferential flow)이 동일한 방향인 x 축의 안쪽 방향으로 유도되고, z 축 바깥쪽 방향으로 액적 분리 현상이 발생할 것으로 예측되었다(그림 1(c)와 (e)). 그림 6의 낮은 점도비(α1 와 α2)에서 두 유체파트는 주 유동에 의하여 x 축에 비하여 z 축으로 강한 퍼짐 현상을 발생하였고, 수축과정에서 두 유체파트는 z 축을 따라 액체 정렬(liquid alignment)이 완성되었다. 낮은 점도비에서는 두 유체파트의 질량 및 운동량 변화가 거의 대칭적으로 유사하기
때문에 액적의 W-파트는 결국 분리되지 않았다(즉, Ω = 0). 그림 6의 높은 점도비(α3 와 α4)에서 두 유체파트는 낮은 점도비와는 크게 다른 거동을 보였다. W-파트는 x 축에 비하여 z 축으로 긴 퍼짐 현상과 액적 정렬 현상을 유도한 반면, G-파트는 퍼짐 및 수축과정에서 큰 형상 변화를 나타내지 않았다. 따라서 두 유체파트에서
보인 질량 및 운동량의 비대칭성(asymmetry)에 의하여 유의미한 액적 분리현상이 유도되었다(즉, Ω ~ 0.5). 액적형상의 시간적 변화를 통하여
편평타원체와 장축타원체 I (Prolate type I)의 액적분리 메커니즘은 서로 유사하다는 것을 알 수 있었다.
그림 7은 점도비와 웨버 수에 따른 편평타원체(Oblate type)의 분리효율의 상태도(regime map)를 나타낸다. 그림의 검정색 실선에서 볼 수
있듯이 점도비가 α1 에서 α4 로 증가할수록 임계 웨버 수는 점차적으로 감소한다. 예를 들어, 낮은/높은 웨버 수 영역은 점도비 α1 과 α4 에서 각각 웨버 수(Wew) 56과 31에서 전환되었다. 그림에서 빨간색 실선은 Ω2 를 얻기 위한 임계 영역을 의미한다. 이 실선에서 볼 수 있듯이 높은 점도비와 높은 웨버
수에서 0.6에 가까운 높은 분리 효율이 확보될 수 있음을 알 수 있다(그림 7). 같은 타원율(e = 0.57)에서, 장축타원체 I 의 분리를 위한 임계 영역(그림 7의 점선)과 비교하였을 때, 편평타원체의 점도비에 따른 임계 영역은 서로 유사하다고 판단되었다.
4. 결 론
본 연구에서 타원형 이중액적의 크기와 형상이 액적반동 및 분리효율에 미치는 영향을 수치해석적으로 조사하였다. 다양한 웨버 수에서 이중액적의 반동 현상을
예측하였고, 액적크기와 점도비가 높아질수록 분리가 시작되는 임계 웨버 수는 감소한다는 것을 알 수 있었다. 또한 가장 높은 점도비(α4)에서, 구형 액적의 임계 웨버 수는 타원형 액적의 것보다 약 1.6배 이상 큰 것으로 예측되어, 타원율 조절하는 것이 낮은 충돌 속도에서 분리효율을
높이는 데 중요한 역할을 하는 것으로 판단되었다.
다양한 점도비에서 액적 초기형상 변화에 따른 분리 메커니즘과 분리효율의 상태도를 조사하였다. 장축타원체 I(Prolate type I)과 편평타원체(Oblate
type)의 경우, x 축의 안쪽 방향으로 주 유동이 유도되기 때문에 z 축 방향으로 액적 분리 현상이 발생하는 반면, 장축타원체 II(Prolate type II)의 경우 x 축의 바깥쪽 방향으로 주 유동이 유도되고, 동일한 축을 따라 분리 현상이 발생하였다. 모든 형상에서 점도비가 증가하면서 임계 웨버 수는 점차적으로
감소하였다. W-파트의 분리를 위하여 장축타원체 II 는 I 에 비하여 상대적으로 높은 웨버 수가 요구되었지만, 더 높은 분리효율 결과를 도출하였다.
액적 형상 변화를 통하여 편평타원체(Oblate type)와 장축타원체 I 의 액적분리 메커니즘은 서로 유사하다는 것을 또한 알 수 있었다. 실제
산업 환경에 충돌 시나리오를 적용하기 위하여 타원체를 제어하는 것은 도전적인 과제가 될 수 있다. 향후 연구에서는 변조된 전기장 하에서 액적을 타원체로
변형시키거나 충돌 주변의 액적에 기압을 가하는 등의 능동적이고 효과적인 방법을 사용하여 분리 능력을 확보하기 위한 방법들이 포함될 것이다. 본 연구는
기능성 섬유 및 입자 제조 [35,36]와 같은 응용 분야에서 액적반동 제어의 효 율적인 전략을 제공할 수 있을 것으로 기대한다.
Acknowledgements
이 성과는 정부(과학기술정보통신부)의 재원으로 한국연구재단의 지원을 받아 수행된 연구임 (No. 2022R1C1C1003711).
REFERENCES
Cao L., Jones A. K., Sikka V. K., Wu J., Gao D., Langmuir,25, 12444 (2009)

Rafiee M., Farahani R. D., Therriault D., Adv. Sci,7, 1902307 (2020)

Lu Y., Sathasivam S., Song J., Crick C. R., Carmalt C. J., Parkin I. P., Science,347,
1132 (2015)

Marmur A., Langmuir,20, 3517 (2004)

Hendriks J., Visser C. W., Henke S., Leijten J., Saris D. B. F., Sun C., Lohse D.,
Karperien M., Sci. Rep,5, 11304 (2015)

Shinjo J., Xia J., Ganippa L. C., Megaritis A., Phys. Fluids,26, 103302 (2014)

Bourouiba L., Annu. Rev. Fluid Mech,53, 473 (2021)

Jang S., Joung Y., Kim H., Cho S., Ra Y., Kim M., Ahn D., Lin Z.-H., Choi D., Nano
Energy,97, 107213 (2022)

Antonini C., Wu T., Zimmermann T., Kherbeche A., Thoraval M.-J., Nyström G., Geiger
T., Nanomaterials,9, 1142 (2019)

Rioboo R., Tropea C., Marengo M., Atom. Sprays,11, 155 (2001)

Reyssat M., Pépin A., Marty F., Chen Y., Quéré D., Europhys. Lett,74, 306 (2006)

Richard D., Clanet C., Quéré D., Nature,417, 811 (2002)

Clanet C., Béguin C., Richard D., Quéré D., J. Fluid Mech,517, 199 (2004)

Yarin A. L., Annu. Rev. Fluid Mech,38, 159 (2006)

Bird J. C., Dhiman R., Kwon H.-M., Varanasi K. K., Nature,503, 385 (2013)

Gauthier A., Symon S., Clanet C., Quéré D., Nat. Commun,6, 8001 (2015)

Patterson C. J., Shiri S., Bird J. C., J. Phys.-Condes. Matter,29, 064007 (2016)

Han X., Tang X., Zhao H., Li W., Li J., Wang L., Mater. Horizons,8, 3133 (2021)

Liu Y., Andrew M., Li J., Yeomans J. M., Wang Z., Nat. Commun,6, 10034 (2015)

Bae K.-J., Yao W., He Y., Cho Y.-R., Korean J. Met. Mater,55, 624 (2017)

Cho Y.-S., Lee Y., Ku N., Ji S., Kim Y. S., Korean J. Met. Mater,58, 112 (2020)

Yun S., Lim G., J. Fluid Mech,752, 266 (2014)

Yun S., Sci. Rep,7, 17699 (2017)

Kim G. H., Kim J., Yun S., Phys. Fluids,34, 052115 (2022)

Yun S., Kim J., Kim G. H., Phys. Fluids,34, 102104 (2022)

Blanken N., Saleem M. S., Thoraval M.-J., Antonini C., Curr. Opin. Colloid Interface
Sci,51, 101389 (2021)

Yu F., Lin S., Yang J., Fan Y., Wang D., Chen L., Deng X., Adv. Sci,7, 1902687 (2020)

Blanken N., Saleem M. S., Antonini C., Thoraval M.-J., Thoraval, Sci. Adv,6, (2020)

Damak M., de Ruiter J., Panat S., Varanasi K. K., Sci. Adv,8, (2022)

Hirt C. W., Nichols B. D., J. Comput. Phys,39, 201 (1981)

Rider W. J., Kothe D. B., J. Comput. Phys,141, 112 (1998)

Brackbill J. U., Kothe D. B., Zemach C., J. Comput. Phys,100, 335 (1992)

Leonard B. P., Comput. Methods Appl. Mech. Eng,19, 59 (1979)

Abolghasemibizaki M., Dilmaghani N., Mohammadi R., Castano C. E., Langmuir,35, 10752
(2019)

Nguyen H. H., Nguyen T. T. H., Cho Y.-S., Korean J. Met. Mater,60, 732 (2022)

Cho Y.-S., Sung S., Woo S. H., Kim Y. S., Korean J. Met. Mater,59, 99 (2021)

Figures and Table
Fig. 1.
(a) Schematics of the initial configuration of the ellipsoidal Janus drop impact on
a superhydrophobic surface. (b) Spherical shape with the diameter of D0. (c) Shaping into the prolate spheroid (i.e., Prolate type I) that has a common interface
normal to the direction of the major axis. (d) Shaping into the prolate spheroid (i.e.,
Prolate type II) that has a common interface parallel to the direction of the major
axis. (e) Shaping into the oblate spheroid (i.e., Oblate type) that has a common interface
parallel to the direction of the minor axis. Green and blue arrows depicted in (c)–(e)
indicate the direction of the pronounced flow driven by the initial drop shape. The
drop’s ellipticities are represented as e = 1 – a/b.
Fig. 2.
Effect of drop size on the bouncing features under Prolate type I. (a) and (b) Impact
behavior of ellipsoidal Janus drops with D0 = 0.99 and 2.96 mm under the viscosity ratio of α1, respectively. (c) and (d) Impact behavior of ellipsoidal Janus drops with D0 = 0.99 and 2.96 mm under the viscosity ratio of α4, respectively. The drop’s ellipticity and W-part’s Weber number used in (a)–(d) are
corresponding to e = 0.57 and Wew = 43, respectively.
Fig. 3.
Threshold Wew (Wec,w) for the W-part’s separation (Ω > 0.3) under Prolate type I and various drop sizes.
Red and blue solid lines represent spherical and ellipsoidal Janus drops with e = 0.57, respectively. The illustration of the inset indicates the detachments of
tiny drops from the W-part in the corresponding condition. For the data shown at D0 = 1.97 mm and e = 0.57, reprinted with permission from Ref. [25]. Yun et al., “Dynamic characteristics of ellipsoidal Janus drop impact on a solid
surface,” Phys. Fluids 34, 102104 (2022); licensed under a Creative Commons Attribution (CC BY) license.
Fig. 4.
Bounce features under Prolate type II as the initial drop shape. (a) and (b) Impact
behavior of spherical and ellipsoidal Janus drops with e = 0 and 0.57 under viscosity ratio of α1, respectively. (c) and (d) Impact behavior of spherical and ellipsoidal Janus drops
with e = 0 and 0.57 under viscosity ratio of α3, respectively. The drop’s diameter and W-part’s Weber number used in (a)–(d) are
corresponding to D0 = 1.97 mm and Wew = 63, respectively.
Fig. 5.
Regime map of the separation efficiency as a function of the viscosity ratio and Wew under Prolate type II. Rectangle and triangle symbols represent non-separation (low-Wew regime) and separation (high-Wew regime) cases between two fluidic parts, respectively. Solid and dashed lines indicate
the thresholds for the separation under Prolate types II and I, respectively. The
drop’s ellipticity and diameter used in the regime map are corresponding to e = 0.57 and D0 = 1.97 mm, respectively. Reprinted with permission from Ref. [25]. Yun et al., “Dynamic characteristics of ellipsoidal Janus drop impact on a solid
surface,” Phys. Fluids 34, 102104 (2022); licensed under a Creative Commons Attribution (CC BY) license.
Fig. 6.
Bounce features depending on the viscosity ratio under Oblate type. (a)–(d) Impact
behavior of ellipsoidal Janus drops with α1 – α4, respectively, under Wew = 37, D0 = 1.97 mm, and e = 0.57.
Fig. 7.
Regime map of the separation efficiency as a function of the viscosity ratio and Wew under Oblate type. Rectangle and triangle symbols represent non-separation (low-Wew regime) and separation (high-Wew regime) cases between two fluidic parts, respectively. The separation efficiency
can be categorized into two levels based on the extent of separated volume (i.e.,
Ω1 and Ω2). Black solid and dashed lines indicate the thresholds for the separation
under Oblate type and Prolate type I, respectively. The red solid curve represents
the thresholds for obtaining Ω2. The drop’s ellipticity and diameter used in the regime
map are corresponding to e = 0.57 and D0 = 1.97 mm, respectively. Reprinted with permission from Ref. [25]. Yun et al., “Dynamic characteristics of ellipsoidal Janus drop impact on a solid
surface,” Phys. Fluids 34, 102104 (2022); licensed under a Creative Commons Attribution (CC BY) license.
Table 1.
Liquid properties of two fluidic parts. Reprinted with permission from Refs. [25,34]. Yun et al., “Dynamic characteristics of ellipsoidal Janus drop impact on a solid
surface,” Phys. Fluids 34, 102104 (2022); licensed under a Creative Commons Attribution
(CC BY) license. Abolghasemibizaki et al. “Viscous droplet impact on nonwettable textured
surfaces,” Langmuir, 35, 10752-10761 (2019). Copyright 2019 American Chemical Society.
|
Part
|
Liquid
|
ρ [kg/m3]
|
μ [Pa s]
|
σ [N/m]
|
Viscosity ratio (α) (μg / μw) [-]
|
Oh [-]
|
|
W-part
|
Water
|
998.2
|
0.001
|
0.072
|
-
|
0.003
|
|
G-part
|
Glycerin/water (60 wt %)
|
1150
|
0.0117
|
0.065
|
11.7 (α1)
|
0.034
|
|
Glycerin/water (75 wt %)
|
1185
|
0.0339
|
0.064
|
33.9 (α2)
|
0.098
|
|
Glycerin/water (85 wt %)
|
1210
|
0.0977
|
0.064
|
97.7 (α3)
|
0.28
|
|
Glycerin (90 wt %)
|
1235
|
0.236
|
0.064
|
236 (α4)
|
0.67
|
Appendices
Fig. A1.
Investigation on grid independence using the dimensionless
width of Dx/D0 and separation efficiency of Ω.
Fig. A2.
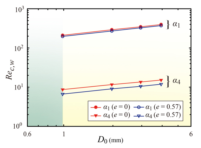
Threshold Rew (Rec,w) for the W-part’s separation (Ω > 0.3) under Prolate type I and various drop sizes.
Red and blue solid lines represent spherical and ellipsoidal Janus drops with e = 0.57, respectively. Circle and triangle symbols represent the thresholds under
viscosity ratios of α1 and α4, respectively. The diagram indicates that the Rew threshold increases with an increase of D0. The detachment of W-parts from mother drops is more likely to occur once the viscosity
ratio is high or the ellipticity is high for the drops with the given D0. For the data shown at D0 = 1.97 mm and e = 0.57, reprinted with permission from Ref. [25]. Yun et al., “Dynamic characteristics of ellipsoidal Janus drop impact on a solid
surface,” Phys. Fluids 34, 102104 (2022); licensed under a Creative Commons Attribution (CC BY) license.