박상철
(SangCheol Park)
12†
김인영
(InYeong Kim)
13†
김영일
(Young Il Kim)
1
김대겸
(Dae-Kyeom Kim)
1
오승주
(Soong Ju Oh)
3
이기안
(Kee-Ahn Lee)
2
이빈
(Bin Lee)
4*
-
한국생산기술연구원 한국희소금속산업기술센터
(1Korea Institute for Rare Metals, Korea Institute of Industrial Technology, Incheon
21655, Republic of Korea)
-
인하대학교 신소재공학과
(2Department of Materials Science and Engineering, Inha University, Incheon 22212, Republic of Korea)
-
고려대학교 신소재공학과
(3Department of Materials Science and Engineering, Korea University, Seoul 02841, Republic of Korea)
-
경희대학교 정보전자신소재공학과
(4Department of Advanced Materials Engineering for Information & Electronics, Kyung
Hee University, Yongin, 17104, Republic of Korea)
Copyright © 2023 The Korean Institute of Metals and Materials
Key words
additive manufacturing, powder bed fusion, residual stress, XRD, aluminum
1. INTRODUCTION
소재의 고유의 기계적 물성을 활용하는 금속계열 구조재료는, 부품의 내부 또는 표면의 잔류응력에 의해 경도, 강도, 인성 등의 물성에 직·간접적인 영향을
받는다. 잔류응력은 외부에서 인가되는 응력과는 독립적으로 소재 및 부품 내부에 존재하는 응력을 의미한다[1]. 부품의 제조, 가공, 후가공, 조립 등에서 형성된 잔류응력은 균열, 휘어짐, 뒤틀림 등을 유발하기도 하지만(detrimental residual
stress), peening 등을 통해 의도적으로 형성된 압축 잔류응력은 표면경도, 피로강도를 향상시키기도 한다(beneficial residual
stress) [2,3].
잔류응력은 소성가공(단조, 압연, 압출 등), 표면가공 및 처리(peening, 연마, 화학적 표면처리 등), 열가공(열처리, 주조, 담금질, 상변화
등) 등의 공정에 의해 형성된다[1]. 특히 열처리, 주조, 담금질 등의 공정에서는 시편 내의 열 구배(thermal gradient)가 클수록 큰 잔류응력이 발생하게 되고, 이로
인해 부품 내·외부에 균열 또는 뒤틀림이 발생하게 된다[4–6].
Powder bed fusion(PBF), directed energy deposition(DED) 공정 등을 비롯한 금속 적층제조 공정은 복잡한
형상의 제품을 금형 없이 제조할 수 있다는 장점을 바탕으로 상용화의 영역에 이미 진입해 있다 [7-10]. 의료, 치과 산업은 물론이고, 고급형 스포츠용품, 수송기기의 경량화 제품 등에 제품군 영역 확대가 기대된다. 현재 상용화된 금속 적층제조 공정은
레이저, 전자빔 등의 열원을 통해 금속 분말을 한층씩 용해시켜 3차원으로 부품을 쌓는 과정으로 진행된다[11]. 고효율의 열원이 집속됨을 통해 금속 분말이 빠르게 용해되고, 냉각되는 과정에서 상기 잔류응력의 원인인 높은 수준의 열구배가 반복되어 발생하게
된다[12,13].
실험실 수준의 소형 부품을 제조할 때는 잔류응력으로 인한 시편의 뒤틀림 또는 균열의 발생 문제가 크지 않다. 하지만, 장대비가 높은 복잡한 형상의
제품이나, 항공우주용 부품 등 중대형 부품의 경우 적층제조 공정 중 혹은 적층제조 공정 후 부품의 분리공정에서 제조된 시편에 뒤틀림, 균열과 같은
심각한 문제가 발생하게 된다[14]. 이를 방지하기 위해 적층제조 대상 부품의 설계 최적화[15,16], 잔류응력 저감형 열원 조사[17], 공정 중 하부 판의 가열[18] 등의 노력들이 진행 중이다.
잔류응력은 소재 내부에 갇혀 있는 응력으로, 측정난이도가 높다. 실험을 통해 잔류응력을 측정하는 방법의 분류 중 하나는 파괴, 비파괴 및 반파괴법으로
나누는 것이다[19,20]. 파괴 방법은 layer removal, hole drilling법 등이 있고(hole drilling 법은 반파괴법으로 분류되기도 한다), 비파괴법은
sin2ψ 방법, cosα 방법 등 X선 회절을 활용한 방법, 중성자 회절법, 초음파를 활용한 방법, 미세조직 분석을 통한 간접 분석법 등이 있다. 마지막으로
반파괴법에는 나노인덴테이션을 활용한 방법 등이 알려져 있다[21,22].
잔류응력의 측정은 대상 소재의 크기와 형상, 측정의 목적 등을 고려해 선정되어야 한다. 예를 들면 hole drilling 법, 표면굴곡 측정법(contour
method)을 비롯한 파괴방법은 가장 정확한 잔류응력 형성여부와 강도를 측정할 수 있으나, 부품을 소모시키는 방법으로, 고가의 구형 분말 소재를
사용하며 공정 시간이 길게 소요되는 PBF, DED 등 적층 제조 공정의 특성상 적합하지 않을 수 있다(만약 비용과 시간의 제약이 없다면 확실한 측정방법이다).
중성자 회절 역시 X선 회절에 비해 대부분의 금속에서 1,000배 이상 투과 깊이를 확보할 수 있어 잔류응력의 분포를 정밀히 측정할 수 있다는 장점이
있으나, 접근성이 낮다는 단점이 있다[23].
본 기고문에서는 접근이 수월하고, 적층제조 공정 중 혹은 공정 후 측정이 가능한 X선 회절법을 통한 비파괴 측정법을 중심으로, 적층제조 부품의 잔류응력
측정법에 대해 다루고자 한다. 레이저 기반의 LPBF (Laser Powder bed fusion) 공정을 수행한 A356.2 알루미늄 합금 샘플을
활용, 잔류응력 측정법을 통한 측정 결과와 각 방법의 특징 및 한계에 대해 논하고자 한다. 집합조직 형성 경향이 강한 적층제조 공정 특성상, 일반적인
peening 공정 후 제품과는 상이한 거동을 보이기도 하며, 이를 함께 소개하고자 한다. 적층제조 직후(as-built) 및 열처리를 통해 잔류응력을
완화한(heat treated) 샘플을 중심으로 측정을 진행하였으며, 미세조직을 함께 분석하여 잔류응력 거동과 미세조직과의 상관관계를 확인하였다.
본고에서 소개하는 잔류응력 측정 방법 각각의 이론적 배경은 기존의 문헌들에 산발적으로 제시되어 있는 내용들을 적층제조된 시편의 잔류응력 측정에 부합하게
정리하여 재구성하였다. X선 회절법을 활용한 Williamson-Hall plot 방법의 경우 G. Williamson 등[24], S. Debnath 등[25], P. Killen 등[26], A. Stokes 등[27]의 자료를, sin2ψ 방법은 I. Noyan 등[28], P. Prevey 등[29], M. Fitzpatrick 등[30]의 자료를 참고하였다. 역시 X선 회절법을 활용한 방법인 cosα 방법은 D. Delbergue 등[31], N. Peterson 등[32], T. Sasaki 등[33,34], K. Tanaka 등[35,36] 연구팀에서 발간한 자료를 참고하여 이론적 배경을 정리하였다.
2. EXPERIMENTAL
실험에 사용된 분말은 가스 분무법(gas atomization)으로 제조된 A356.2 합금 분말(MKT, Korea)을 사용하였으며, 분말의 화학
조성은 X선 형광 분석(XRF; ARL PERFORM’X, Thermo Fisher Scientific)을 통하여 확인하였다. LPBF 공정에 사용된
장비는 dpert M200 (Daeguntech, Korea)이며, 다음 적층 조건으로 적층제조 하였다; laser power: 275 W, scan speed: 900
mm/s, hatching distance: 0.09 mm, layer thickness: 0.03 mm. LPBF 공정을 통하여 10*10*10
mm 크기의 적층제조 시편을 제조하였으며, 이때 적층 시 발생하는 표면 잔류응력을 측정하기 위하여 X선 회절법을 활용하였다.
X선 회절법을 이용한 Williamson-Hall plot 방법, sin2ψ 방법과 cosα 방법에는 상기 제조된 A356.2 합금 샘플이 사용되었으며, as-built 샘플과 480 °C에서 6시간동안 열처리한 샘플의
잔류응력을 비교하였다. 잔류응력 분석은 샘플의 build direction인 side 부분을 측정하였다. 샘플 표면의 거칠기를 줄여 잔류응력 측정
신뢰도를 높이기 위하여 모든 샘플은 1200 grit SiC paper로 연마한 후 Kellers etchant(증류수 190 ml, 질산 5 ml,
염산 3 ml, 불산 2 ml)로 etching 후 실험을 진행하였으며[37], 열처리 전/후 미세조직은 전자 주사 현미경(FE-SEM; JSM-7100F, JEOL)을 통하여 관찰하였다.
2.1. Williamson-Hall plot (W-H plot) 방법
W-H plot 방법에는 Cu Kα1 radiation을 사용하는 X선 회절 장치(XRD; D8 ADVANCE, Bruker)를 이용하였다. 2θ 범위는 20o~90°, 0.02°의
step size와 1 s의 scanning time으로 측정하였다. 그림 1은 XRD pattern 결과를 보여주며, 해당 분말의 모재(matrix)인 Al의 피크(peak)에 해당하는 (111), Al(200), Al(220)
및 Al(311) 총 4개의 Al peak를 선택하여 βtotal · cosθ 대 4sinθ의 그래프를 그려 잔류응력을 측정하였다.
2.2. sin2ψ 방법
sin2ψ방법에서는 Cr Kα1 radiation을 사용하는 X선 회절 장치(XRD; D8 ADVANCE, Bruker)를 이용하였다. 회절 각도는 139°의 2θ를 갖는 (311)
격자 평면이 사용되었으며, step size는 0.05°와 scanning time은 40s의 조건으로 측정하였다.
2.3. cosα 방법
cosα 방법에서는 Cr Kα1 radiation을 사용하는 X선 회절 장치(XRD; μ-X360, PULSTEC)를 사용하였고, sin2ψ 방법과 같은 격자 평면을 선택하였다. X선의 입사 각도는 25°이며, 샘플에 입사하는 X선의 방향에 따른 잔류응력 값을 비교하기 위하여 측정 후
샘플을 90o 회전시켜 다시 측정하였다. cosα 방법은 분석 시간이 짧아 샘플 전체 면에 걸쳐 일정 간격으로 20곳을 측정 후 mapping 하였다.
3. RESULTS AND DISCUSSION
3.1. Williamson-Hall plot (W-H plot) 방법
XRD 회절피크는 이상적으로는 폭이 없는 형태의 날카로운 모양을 가져야 하지만, 실제로는 여러 요인에 의하여 XRD 회절피크 폭의 증가가 발생한다.
회절피크의 폭을 증가시키는 2가지 주된 요인은 결정립 크기(crystallite size)와 격자 변형(lattice strain) 이다[25,38].
결정립 크기에 의한 회절피크 폭의 증가는 Scherrer 방정식으로 표현될 수 있으며:
β는 최대강도의 절반이 되는 곳에서 측정한 회절선의 폭(radian), 반가폭(Full Width at Half Maximum, FWHM)이다. 상수
k는 피크의 모양에 따라 달라지는 형태 인자(shape factor)로서 일반적으로 1에 가까운 값을 가지며, L은 결정립 크기를 나타내고, θ는
회절이 일어난 각도를 나타낸다.
하지만 Scherrer 방정식은 결정립 크기에 의한 XRD 회절피크 폭의 증가밖에 설명하지 못하는 한계가 있다. 따라서 결정립 크기와 격자 변형을
모두 고려한 방법이 필요했고, 그에 따라 Williamson-Hall plot 방법이 고안되었다. 격자 변형(lattice strain)에 의한 XRD
회절피크 폭의 증가는 다음의 식으로 표현될 수 있다[26].
결정립 크기와 격자 변형에 의한 XRD 회절피크 폭의 증가를 모두 포함하는 식은 다음과 같다[24].
그림 2는 적층 제조된 Al-Si-Mg 합금을 Willamson-Hall plot 방법을 이용하여 나타낸 βtotal · cosθ 대 4sinθ의 그래프이다. 기울기(ε)를 통해 격자 변형(lattice strain)을 구할 수 있다. Hooke의 법칙(σ = E·ε)을 통해 구한 잔류응력의 값은 as-built 샘플은 180.59 MPa, 열처리 샘플은 123.83 MPa으로 모두 인장 잔류응력 값을
얻었다. 잔류응력 값을 계산하기 위한 탄성계수 E는 나노인덴테이션 측정을 통해 확보하였으며, 98.68 GPa(as-built 샘플) 및 80.93
GPa(열처리 샘플)로 확인되었다. as-built 샘플과 비교하여 열처리 샘플의 인장 잔류응력 값은 31.4% 감소하였다.
Williamson-Hall plot 방법을 통한 잔류응력 측정은, 결정립의 크기와 격자 변형을 동시에 구할 수 있다는 장점이 있다. 또한, 1950년대에
제시된 분석법으로, 검증이 완료되었으며 관련 데이터베이스도 충분히 제시되어 있는 점도 큰 장점이다. 하지만, 그림 1에서 확인할 수 있듯, 적층제조 공정은 방향성이 있는 매우 큰 열 구배가 지속적으로 작용하며, 이로 인해 특정 결정구조 방향으로의 texture가
형성되는 경향이 있다[39]. 따라서 main peak의 경우(그림 1의 경우 (111) 및 (200) 방향) 정확한 값을 얻을 수 있으나, 다른 낮은 peak의 경우 XRD 데이터의 일반적인 가공 과정(background
제거, smoothing 등)에서 큰 오차가 발생할 수 있고, 이는 잔류응력의 정량화에 영향을 주게 된다. 이 부분은 W-H plot 방법에 의한
잔류응력 도출의 한계라고 할 수 있겠다. 하지만, W-H plot 방법은 일반적인 XRD 장비와 측정 조건으로 잔류응력의 경향성을 파악할 수 있다는
큰 장점을 가지고 있다[24,27,40].
3.2. sin2ψ 방법
X선의 회절은 기본적으로 Bragg 법칙을 따른다(그림 3 및 식 6). 여기서 n은 회절 차수를 나타내는 정수(일반적으로 n=1), λ는 X선 파장, d는 결정 면간 거리이고 θ는 회절각을 의미한다. 재료의
변형으로 인해 격자 면간 거리(d)가 변경되면, 그에 따라 회절피크의 위치가 이동(shift)한다. 변형률(ε, strain)은 아래 Bragg 식을
미분하여 구할 수 있다.
그림 4는 X선 회절을 이용한 잔류응력 측정 원리를 나타낸다. 여기서 ψ각(tilt angle)은 재료 표면의 법선과 격자면 법선이 이루는 각이며, sin2ψ 방법은 ψ각의 변화에 따라 격자 면간 거리 d의 변화를 측정하여 잔류응력을 구하는 방법이다[28,41].
X선의 투과 깊이(10 μm 이하)는 상당히 얕기 때문에 그림 5의 재료의 표면 법선 방향의 응력 성분 σ3은 0으로 가정할 수 있다. 즉, 주응력 σ1 및 σ2가 재료의 표면에 존재하고, 각 φ와 ψ에 따른 strain vector(εφψ)은 다음 식과 같이 표현할 수 있다.
E는 탄성계수, ν는 Poisson 비, α1와 α2는 strain vector 방향 cosine 값이며, 다음 식으로 표현된다:
식 (9), (10)을 식 (8)에 대입하여 다음과 같이 단순화할 수 있다:
X선의 투과 깊이의 한계로 인하여 재료의 표면 응력만을 가정하므로, 각 ψ는 90° 로 설정되며 σφ는 다음과 같이 표현된다:
식 (12)를 식 (11)에 대입하면 재료 표면 변형률로 표현할 수 있다:
각 φ 와 ψ에서 측정한 격자 면간 거리가 dφψ이면, strain은 다음 식과 같이 격자 면간 거리의 변화로써 나타낼 수 있다:
여기서 d0는 응력이 없는 상태에서의 격자 면간 거리(stress-free lattice spacing)이다. 식 (13)을 각 φ 와 ψ 일 때의 격자 면간
거리 dφψ에 대해 정리하면 다음과 같은 식을 얻을 수 있다:
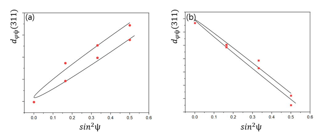
여기서 탄성 계수 (1+ν)/E)(hkl) 및 (ν/E)(hkl)는 측정하고자 하는 (hkl) 격자면(lattice plane)에 수직 방향(normal direction)에서의 값이다. 격자 간격 dφψ와 sin2ψ는 선형적인 관계를 가진다. 그림 6에서는 dφψ와 sin2ψ 그래프의 예를 나타내었다. 그래프의 기울기는 (1+ν)/E)(hkl)·σφ·d0이며 (식 (17)), 응력에 관해 식을 정리하여 잔류응력을 도출할 수 있다 (식 (18).
sin2ψ = 0에서 그래프의 절편은:
이는 응력이 없는 상태에서의 격자 간격 d0에서 주응력들의 합으로 인한 Poisson 비만큼의 수축을 뺀 것과 같다. 그래프의 기울기는:
위 식을 응력 σφ에 관하여 정리하면:
탄성 계수 E는 E ≫ (α1+α2)이기 때문에 dφ0 값은 d0와 ± 1% 이하 차이가 난다. 따라서 식(16)에서 d0 대신 dφ0 값을 넣어 응력 σφ을 다음 식과 같이 쓸 수 있다.
그림 7은 적층 제조된 A356.2 합금을 sin2ψ 방법을 이용하여 나타낸 dφψ(311) 대 sin2ψ 그래프의 예이다. y절편(dφ0≒d0)과 기울기(slope=(1+ν)/E)(hkl)σφd0)를 통해 잔류응력을 구할 수 있다. 재료 표면에 전단응력이 형성되어 있다면 그림 7의 결과처럼 그래프가 직선이 아닌 타원 형태의 모양을 띄게 되며, 본고에서는 LEPTOS software(Bruker AXS GmbH, Germany)를
통해 계산된 값을 확보하였다. As-built 샘플의 경우 기울기가 양수이므로 인장 응력, 열처리 샘플의 경우는 기울기가 음수이므로 압축 응력이 형성되어
있음을 알 수 있다. 열처리 전에는 인장 잔류응력 80.9 MPa에서 열처리 후 압축 잔류응력 -69.0 MPa로 바뀌었다.
W-H plot 방법을 통해 측정했던 결과에서 열처리 후에 인장 잔류응력을 얻었던 것과 차이가 있음을 확인할 수 있다. W-H plot 방법의 한계점인
방향성 형성으로 인해 main peak을 제외한 나머지 낮은 peak에서 형성될 수 있는 오차를 고려하더라도, 측정방법에 따라 인장/압축의 경향성까지
바뀔 수 있다는 점은 X선 회절을 통한 잔류응력 측정에 있어, 장비의 보정, 격자 평면의 설정, peak의 선정 등의 내용들을 충분히 고려해야 한다는
점을 의미한다. 본 연구에서도 외부장비 활용의 한계로 인해 W-H plot 방법 측정용 회절 시험 시, LaB6 등을 통한 장비의 보정을 진행하기 어려웠다. 이런 문제점들로 인해 잔류응력 측정상의 오류가 발생할 수 있다는 점을 측정 전에 충분히 고려해야 한다.
X선 회절을 통한 sin2ψ 방법으로 이축 응력(biaxial stress)을 구하는 경우 응력이 없는 표준 샘플(stress-free reference standards)이
필요하지 않다. sin2ψ 방법은 X선 회절을 이용한 잔류응력 측정 방법 중에서 가장 일반적인 방법 중 하나이다[29,30].
3.3. cosα 방법
cosα 방법은 이미징 플레이트(Imaging Plates, IP) 같은 2D 검출기를 사용하여 응력을 측정한다. 이축 응력(biaxial stress)을
구하는 경우, cos α 방법은 2D 검출기에 단일 X선으로 수집된 Debye 링을 활용한다. Debye 링은 응력이 없는 샘플의 경우 완벽한 원의
모양을 내고, 응력이 있는 경우는 일그러진 원 모양을 나타낸다(그림 8). 즉, 완벽한 모양의 Debye 링과 비교하여 응력을 효율적으로 계산한다[42].
그림 9는 X선이 경사각 ψ0(tilt angle)와 회전각 φ0(rotation angle)로 샘플 표면에 입사될 때 2D 검출기를 통해 Debye 링이 기록되는 것을 보여준다. IP 상의 –η 방향에서 시계
방향으로의 방위각 α에 대한 회절 벡터(diffraction vector, n)는 다음과 같이 표현된다[32,33,36,43].
위 그림에서 각 2η은 2θ의 보각(complimentary angle)이다. cosα 방법에서 X선 회절에 의해 측정된 변형률 εφψ은 εα로 표시되는데, 이는 α가 측정된 변형률의 방향을 나타내기 때문이다. 변형률은 IP에 기록된 Debye 링의 반지름을 통해 계산된다. 그림 10은 X선이 경사각 ψ0에서 입사되어 얻은 Debye 링을 보여준다. 여기서 IP는 입사 X선에 수직으로 놓여있다. 회절각 θ는 Debye 링 반지름 rα으로부터 다음과 같이 얻어진다:
위 식에서 L은 IP와 샘플 사이의 거리다. 식 (7)와 (22)에서 방위각 α에서의 변형률 εα은 다음과 같이 표현된다:
위 식의 rα는 각 α에서 Debye 링의 반지름이고 r0는 응력이 없는 샘플(stress-free sample)의 Debye 링 반지름이다. cosα 방법은 응력이 없는 샘플(stress-free sample)이
필요하지 않다. Debye 링 반지름의 상대적 차이의 값만 있으면 된다. 따라서 식 (21)에서 IP와 샘플 사이의 거리 L은 Debye 링의 평균
반지름 rm에서 다음과 같이 계산되는 값 Lm으로 근사할 수 있다:
2η0=π-2θ0이므로, 변형률 εα는 다음과 같이 다시 나타낼 수 있다:
그림 10에서의 각 α에 따라 4개의 변형률, 즉 εα, επ+α, ε-α, επ-α는 식 (23)을 통하여 구해진다. 두 개의 변형률 매개 변수(εα1, εα2)를 설정하기 위하여, (εα-επ+α) 와 (ε-α-επ-α)이 사용된다. 먼저 변형률 매개 변수 εα1는 (εα-επ+α) 와 (ε-α-επ-α)의 평균이다:
변형률 εα1와 εα2는 모두 각 α에 따라 변하는 회절각 또는 Debye 링 반지름의 값의 차이에서 결정되며 θ0 또는 r0의 응력이 없는 샘플(stress-free sample)에서의 값에 직접적으로 의존하지 않는다.
회전 각도 φ0=0 일 때, 변형률 매개 변수 εα1는 수직응력 σx을 나타낸다:
위 식을 응력 σx에 대해 정리하면:
변형률 매개 변수 εα2는 전단 응력 τxy을 나타낸다:
K1와 K2는 응력 상수라고 하며, K1은 음수이고 K2는 양수이다.
그림 11는 cosα 와 sinα 그래프다. 그래프의 기울기를 통해 수직 및 전단 응력이 결정된다. 인장 응력의 경우 cosα 그래프에서 기울기 M1 는 음수이다. 변형률 매개 변수 εα1는 cosα=0에서 0이고 cosα=1에서 최소값을 가진다. 양의 전단 응력의 경우 sinα 그래프에서 기울기 M2는 양수이다. 변형률 매개 변수 εα2는 sinα =0에서 0이고 sinα =1에서 최대값을 가진다[31,34,35,44].
그림 12와 표 2는 적층제조된 A356.2 합금을 cosα 방법을 이용하여 측정된 cosα mapping image와 잔류응력 값을 나타낸다. As-built 샘플의
경우 인장 잔류응력이 형성된 것을 알 수 있으며, 열처리 후 압축 잔류응력으로 바뀌었다[45]. 이 결과는 앞선 장에서 소개한 W-H plot 방법이 아닌 sin2ψ 방법으로 측정한 잔류응력의 결과와 동일한 경향성과 유사한 크기를 나타내었다. As-built 샘플의 경우 그림 12(a), (b) 및 표 2(a), (b)에서 확인할 수 있듯이 입사빔의 방향(그림 13)에 따라 유의미한 차이를 보인다(φ: 샘플의 회전각). 이는 LPBF 공정 과정에서 build direction을 따라 layer간의 열전달로 인해
이방성이 크게 증가하기 때문이다. 열처리 후 이방성이 크게 감소된 것을 그림 12(c), (d)를 통하여 확인할 수 있다.
3.4. 미세조직 분석
그림 14는 열처리 전/후 샘플의 미세조직 및 SEM-EDS 분석 결과를 나타낸다. As-built 샘플에서 Al matrix의 boundary에 Si이 집중적으로
분포하는 cellular 구조가 관찰되었다. 일반적으로 Al-Si 합금에서 Al matrix에 고용되는 Si의 양은 최대 1 wt.%로 알려져 있지만,
LPBF 공정과 같이 급속한 냉각으로 제조될 경우는 Si가 최대 4~8 wt.%까지 과포화 고용될 수 있다[46, 47]. 열처리 샘플에서는 석출물이 관찰되었으며, 석출물은 계면 에너지가 가장 낮은 방향으로 성장하며, Si 석출물은 {111} 평면을 따라 발달한 결과
각진 형태 또는 삼각형 형태를 갖는다[48-51]. Mg는 용체화 과정 동안 과포화 Al matrix로부터 미세한 입자로 석출되고 구형화 되었다. Mg는 용체화 과정 동안 과포화 Al matrix로부터
미세한 입자로 석출되고 구형화 되었다[52]. 잔류응력은 melting point의 절반보다 높은 온도에서 열처리를 할 때 석출물의 형성과 재결정 입자의 발달을 촉진하는 driving force를
통해 완화된다고 알려져 있다[53].
4. CONCLUSIONS
X선 회절법을 이용한 잔류응력 측정 방법인 Williamson-Hall plot 방법, sin2ψ 방법과 cosα 방법 중에서 W-H plot 방법은 다른 두 방법과 다른 결과를 보였다. sin2ψ 방법과 cosα 방법에서는 열처리 후 인장 잔류응력에서 압축 잔류응력으로 바뀌었지만 W-H plot 방법은 열처리 후에 31.43% 감소된 인장
잔류응력의 결과가 나왔다. 이는, sin2ψ 방법과 cosα 방법은 Cr radiation tube로 139°의 특정 한 격자 평면(311)만을 측정하는 반면, W-H plot 방법은 Cu
radiation tube로 상대적으로 저각인 20°~90° 범위로 측정되고 여러가지 peak를 동시에 분석해야 하며, texture 형성 경향이
강한 적층제조 공정의 특성 때문에 측정 오차의 발생 경향이 크기 때문으로 판단된다.
따라서, 적층제조된 금속소재의 잔류응력 분석에는 결정립 크기나 격자 변형 분석에 주로 사용되는 Willamson-Hall plot 방법보다는 금속
재료의 잔류응력을 분석하는 방법에는 sin2ψ 방법과 cosα 방법이 더 신뢰성 있는 측정 결과를 제시할 수 있을 것으로 판단하였다. 다만, 적절한 장비의 보정, 샘플 준비 및 측정 격자 평면의
선정을 통해 W-H plot 방법 역시 측정 정밀도를 향상시킬 수 있다.
sin2ψ 방법과 cosα 방법 의한 잔류응력 측정법으로 적층 제조 샘플이 열처리 후 표면에 인장 잔류응력에서 압축 잔류응력으로 바뀌는 것을 확인하였다.
또한 cosα 방법에서 열처리 후 압축 잔류응력으로 바뀌었을 뿐만 아니라 이방성이 크게 감소한 것을 확인하였다. 따라서, 적층제조 후에 샘플 표면의
인장 잔류응력을 압축 잔류응력으로 바꾸거나, 재료의 이방성을 완화하기 위하여 열처리가 필요할 수 있음을 확인하였다.
Acknowledgements
이 연구는 과학기술정보통신부의 재원으로 한국연구재단의 지원을 받아 수행된 연구임(RS-2023-00212081).
REFERENCES
Totten G., Howes M., Inoue T., Handbook of residual stress and deformation of steel,ASM
international (2002)

Zhao H., Zhang P., Liu H., Liu C., Tong D., Zhang L., Ren L., Dong X., Liang S., Mater.
Trans,55, 1440 (2014)

Cheng X., Fisher J.W., Prask H.J., Gnäupel-Herold T., Yen B.T., Roy S., Int. J. Fatigue,25,
1259 (2003)

Denis S., Archambault P., Gautier E., Simon A., Beck G., J. Mater. Eng. Perform,11,
92 (2002)

Fujiwara H., Abe T., Tanaka K., Residual Stresses-III: Science and Technology,Elsevier
Applied Science (1992)

Ericsson T., Oden M., Andersson A., The Fifth International Conference on Residual
Stresses,854Linkoeping (1998)

Tofail S. A., Koumoulos E. P., Bandyopadhyay A., Bose S., O’Donoghue L., Charitidis
C., Mater. Today,21, 22 (2018)

Park Y. J., Kim E. S., Lee J. H., Choi J. H., Yoon P. H., Kang H. J., Kim D. H., Park
Y. H., Ko J. W., Korean J. Met. Mater,59, 652 (2021)

Lee B., Kim D. K., Kim Y. I., Kim D. H., Son Y., Park K. T., Kim T. S., J. Powder
Mater,27, 509 (2020)

Park S. C., Kim I. Y., Kim Y. I., Kim D. K., Lee K. A., Oh S. J., Lee B., J. Powder
Mater,29, 363 (2022)

Shin G., Park Y., Kim D. W., Yoon J. H., Kim J. H., Korean J. Met. Mater,59, 81 (2021)

Kim D. K., Hwang J. H., Kim E. Y., Heo Y. U., Woo W., Choi S. H., J. Alloys Compd,714,
687 (2017)

Park T. H., Baek M. S., Hyer H., Sohn Y., Lee K. A., Mater. Charact,176, 111113 (2021)

Buchbinder D., Meiners W., Pirch N., Wissenbach K., J. Laser Appl,26, 012004 (2014)

Read N., Wang W., Essa K., Attallah M. M., Mater. Des,65, 417 (2015)

Mugwagwa L., Dimitrov D., Matope S., Yadroitsev I., Procedia Manuf,21, 92 (2018)

Xiong W., Hao L., Li Y., Tang D., Cui Q., Feng Z., Yan C., Mater. Des,170, 107697
(2019)

Georgilas K., Khan R. H. U., Kartal M. E., Mater. Sci. Eng. A,769, 138527 (2020)

Withers P. J., Turski M., Edwards L., Bouchard P. J., Buttle D. J., Int. J. Press.Vessel.
Pip,85, 118 (2008)

Schajer G. S., Practical residual stress measurement methods,John Wiley & Sons (2013)

Prevey P. S., X-Ray Diffraction Residual Stress Techniques,380ASM Handbook (1986)

Ferraro M. M., Quantitative Determination of Residual Stress on Additively Manufactured
Ti-6Al-4V,Ph.D. Thesis,Youngstown State University (2018)

Woo W., Em V., Seong B.S., Shin E., Mikula P., Joo J., Kang M.H., J. Appl. Crystallogr,44,
747 (2011)

Williamson G.K., Hall W.H., Acta. Metallurgica,1, 22 (1953)

Debnath S., Deb K., Saha B., Das R., J. Phys. Chem. Solids,134, 105 (2019)

Killen P., Rafterry A., At. Indones,35, 19 (2009)

Stokes A. R., Wilson A. J. C., Proc. Phys. Society,56, 174 (1944)

Noyan I. C., Cohen J. B., Residual Stress: Measurement by Diffraction and Interpretation,Springer
(2013)

Prevey P.S., Hornbach D.J., Handbook ASM, Hornbach, X-Ray Diffraction Residual Stress
Techniques,ASM Handbook (2019)

Fitzpatrick M.E., Fry A. T., Holdway P., Kandil F.A., Shackleton J., Suominen L.,
Determination of residual stresses by X-ray diffraction,1National Physical Laboratory
(2005)

Delbergue D., Texier D., Lévesque M., Bocher P., Comparison of two X-ray residual
stress measurement methods: Sin2ψ and cos α, through the determination of a martensitic
steel X-ray elastic constant,International Conference on Residual Stresses (2016)

Peterson N., Kobayashi Y., Traeger B., Sanders P., Assessment and Validation of Cosα
Method for Residual Stress Measurement, 13th International Conference on Shot Peening,
(2017)

Miyazaki T., Sasaki T., Int. J. Mater. Res,105, 922 (2014)

Sasaki T., Hirose Y., J. Soc. Mat. Sci,2, 1138 (1995)

Tanaka K., Mech. Eng,6, 18 (2019)

Tanaka K., J. Appl. Crystallogr,51, 1329 (2018)

Chen Y., Sun H., Li Z., Wu Y., Xiao Y., Chen Z., Zhong S., Wang H., Materials,13,
451 (2020)

Gregory N. W., J. Am. Chem. Soc,79, 1773 (1957)

Thijs L., Kempen K., Kruth J. P., Humbeeck J. van, Acta Mater,61, 1809 (2013)

KhorsZak A., Majid W. H. Abd., Abrishami M. E., Yousefi R., Solid State Sci,13, 251
(2011)

Behnken V. Hauk H., Structural and Residual Stress Analysis by Nondestructive Methods:
Evaluation, Application,17Elsevier (1997)

Ao S., Li C., Huang Y., Luo Z., Measurement,161, 107892 (2020)

Delbergue D., Texier D., Lévesque M., Bocher P., J. Appl. Crystallogr,52, 828 (2019)

Kohri A., Takaku Y., Nakashiro M., Comparison of X-Ray Residual Stress Measurement
Values by Cos α Method and Sin2ψ Method,103International Conference on Residual Stresses
(2016)

Kim I. Y., Park S. C., Kim Y. I., Kim D. K., Lee K. A., Oh S. J., Lee B., J. Alloys
Compd,945, 169315 (2023)

Wang M., Song B., Wei Q., Zhang Y., Shi Y., Mater. Sci. Eng. A,739, 463 (2019)

Dong X., He L., Mi G., Li P., J. Alloys Compd,618, 609 (2015)

Li J. H., Zarif M. Z., Dehm G., Schumacher P., Philos. Mag. Lett,92, 3789 (2012)

Westmacott K. H., Barnes R. S., Hull D., Smallman R. E., Philos. Mag. Lett,6, 929
(1961)

Lasagni F., Mingler B., Dumont M., Degischer H. P., 383, Mater. Sci. Eng. A 480, (2008)

Liu M., Fu H., Tian L., Xiao W., Peng Q., Ma C., Mater. Des,121, 373 (2017)

Li H. J., Shivkumar S., Luo X. J., Apelian D., Cast Metals,1, 227 (1988)

Vohringer O., Adv. Surf. Treat,4, 367 (1987)

Figures and Table
Fig. 1.
XRD patterns of as-built (black line) and heat treated (red line) A356.2 sample.
Fig. 2.
The plot of the βtotal · cosθ vs. 4sinθ for A356.2: (a) as-built, (b) 480°C-6h heat treated sample.
Fig. 3.
Schematic illustration of Bragg’s law (diffraction of X-ray in crystal).
Fig. 4.
principle of residual stress measurement using X-ray diffraction.
Fig. 5.
Schematic diagram of the strain vector on the material surface.
Fig. 6.
Example of dφψ vs. sin2ψ plot.
Fig. 7.
Plot of (311) vs.sin2 ψ for A356.2: (a) as-built, (b) 480°C-6h heat treated sample.
Fig. 8.
Schematic illustration of the measurement principle based on cosα method.
Fig. 9.
Debye-ring recorded on a two-dimensional detector by a single exposure of X-rays.
Fig. 10.
Four strains obtained according to angle α in the Debye-Scherrer ring.
Fig. 11.
cosα and sin α diagram; (a) The cosα diagram for σx determination and (b) The sinα
for τxy determination.
Fig. 12.
cos α mapping images of A356.2 alloy samples. Incident beam is (a), (c) φ=0° and (b),
(d) φ=90°
Fig. 13.
Schematic illustration of the incident beam direction to the sample: (a) φ=0° and
(b) φ=90°
Fig. 14.
Microstructures of additive manufactured A356.2 samples revealed by SEM-EDS analysis
Table 1.
Chemical composition of the A356.2 powder used for additive manufacturing
|
Alloy
|
Composition (wt%)
|
|
Al
|
Si
|
Mg
|
Ti
|
Fe
|
Cu
|
Zn
|
|
A356.2
|
91.65
|
7.45
|
0.394
|
0.229
|
0.217
|
0.008
|
0.017
|
|
Reference
|
91.3-93.2
|
6.5-7.5
|
0.3-0.45
|
≤ 0.2
|
≤ 0.12
|
≤ 0.1
|
≤ 0.05
|
Table 2.
Residual stress values of samples according to cosα method; Incident beam is (a),
(c) φ=0° and (b), (d) φ=90°
|
Sample
|
Residual stress (MPa)
|
|
(a) as-built
|
24.9 ± 11.2
|
|
(b) as-built
|
80.5 ± 40.0
|
|
(c) heat treatment
|
-53.8 ± 5.2
|
|
(d) heat treatment
|
-62.1 ± 12.2
|