๊นํํ
(Tae-Hun Kim)
1
๊น์น์
(Chiwon Kim)
1
์ด์ฐฌํฌ
(Chan-Hee Lee)
1
๊ณฝ์ง์ญ
(Jinseop Kwack)
2
์ ๋ํ
(Donghyeon Jeon)
2
ํํ์ฑ
(Hyun-Uk Hong)
1*
-
์ฐฝ์๋ํ๊ต ์์ฌ์ตํฉ์์คํ
๊ณตํ๊ณผ
(1Department of Materials Convergence and System Engineering, Changwon National University,
Changwon 51140, Republic of Korea)
-
ํ๋์ ์ฒ ๊ฐ๊ด์์ฐ๊ธฐ์ ํ
(2Pipe Production Technology Team, Hyundai Steel, lsan 44259, Republic of Korea)
Copyright ยฉ 2023 The Korean Institute of Metals and Materials
Key words
electric resistance welding, post seam annealing, microstructure, impact toughness, residual stress
1. ์ ๋ก
์ ์ธ๊ณ์ ์ผ๋ก ์ฒ์ฐ์์์ ์์ ์ฆ๊ฐ์ ๋ฐ๋ฅธ ๊ณต๊ธํ๋๋ฅผ ์ํด ๊ทน์ ์จ์ ๋
ธ์ถ๋๊ฑฐ๋ ํฉํ์์(H2S)๊ฐ ๋ค๋ ํจ์ ๋ sour ํ๊ฒฝ๊น์ง ์์์ฑ๊ตด ์์ญ์ด ํ์ฅ๋๋ฉด์ ์ด๋ฌํ ํ๊ฒฝ์์ ๋์ํ ์ ์๋ ํ์ดํ ์์ฌ์ ํน์ฑ ์๊ตฌ๊ฐ ์ ์ฐจ ๊ฐํ ๋๊ณ ์๋ค[1-4]. ์์ฌ๊ฐ ๊ทนํ์ ํ๊ฒฝ์ ์ ์ฉ๋๊ธฐ ์ํด์๋ sour ํ๊ฒฝ์ ๊ฒฝ์ฐ H2S๋ก ์ธํ ์์ ์ ๊ธฐ ๊ท ์ด(Hydrogen Induced Cracking, HIC) ๋ฐ ์๋ ฅ๋ถ์๊ท ์ด์ ๋ํ ์ ํญ์ฑ, ๊ทน์ ์จ ํ๊ฒฝ์ ๊ฒฝ์ฐ ์ฐ์ํ ์ ์จ์ถฉ๊ฒฉ์ธ์ฑ์ด
์๊ตฌ๋๋ค[2,3,5-7]. ์ฒ์ฐ๊ฐ์ค์ ์์ ์ ์์ก์ ์ํ ์์ฌ๋ก๋ ์๊ฑฐ๋ฆฌ์์๋ ์ ๋น์ฉ์ผ๋ก ํจ๊ณผ์ ์ธ ์์ก์ด ๊ฐ๋ฅํ ๋ผ์ธํ์ดํ๊ฐ์ด ์ ์ฉ๋๊ณ ์์ผ๋ฉฐ[7,8], API(American Petroleum Institute) 5L ๊ท๊ฒฉ์ ๋ฐ๋ฅธ๋ค[9].
์คยท์๊ตฌ๊ฒฝ์ฉ ๊ฐ๊ด์ ์กฐ๊ด ์ฉ์ ๋ฐฉ๋ฒ์ผ๋ก ์์ฐ์ฑ๊ณผ ๊ฐ๊ฒฉ๊ฒฝ์๋ ฅ์ด ์ฐ์ํ ์ ๊ธฐ์ ํญ์ฉ์ (Electric Resistance Welding, ERW) ๊ณต์ ์ด
์ฃผ๋ก ์ ์ฉ๋๋ฉฐ, ๋ณ๋์ ์ฉ์ ์ฌ๋ฃ ์์ด ์ ํญ ๋ฐ์ด์ ์ด์ฉํ์ฌ ์์ ๋์ด ์์ฐ๋๋ค[10-12]. ERW ๊ณต์ ์ ๊ณ ์ฃผํ ์ ๋ฅ์ ์ํด ์ ๋๋ ์ ํญ๋ฐ์ด์ ํตํด ๊ฐ์ด๋ ์ฝ์ผ์ ํ๋ฉด์ด ์ฉ์ต๋ ํ ์์ ์ ์ํด ์ก์์ด ๋ฐ์ผ๋ก ๋ฐฐ์ถ๋๋ฉด์ ๋ ๊ณ ์ฒด์์ด ๋ง๋
๊ณ ์ ์ ํฉ(solid-state forging)๋๋ ๊ฒ์ด ํน์ง์ด๋ค. ์ํฌ ์ฉ์ ๋ถ์ ๋ฌ๋ฆฌ ํ๋ฉดํ ์ ํฉ๋ถ์์ธ bondline์ด ํ์ฑ๋๋ฉฐ, ์ ํฉ์ด ์ฐํ๋ถ์๊ธฐ์์
์งํ๋๊ณ , ๋ฐฐ์ถ๋ ์ก์์ด ๋ค์ ์ ํฉ๋ถ์ ์ ์
๋์ด ์ฐํ๊ฐ์ฌ๋ฌผ๊ณผ ๊ฐ์ ํ๋คํธ๋ ์ดํฐ(penetrator)๊ฐ bondline์ ์์ฑ๋ ์ ์๋ค[3,11,13,14]. ์ด๋ฌํ bondline๋ด์ ์กด์ฌํ๋ ํ๋คํธ๋ ์ดํฐ๋ ๋ดHIC ํน์ฑ์ ์น๋ช
์ ์ด๋ฉฐ ๊ท ์ด์ ์๋ฐ์ ์ผ๋ก ์์ฉํ๋ฏ๋ก ์ ์จ์ถฉ๊ฒฉ์ธ์ฑ์ ์ ํ๋ฅผ ์ด๋ํ๋ค[3,12-15]. ํ๋คํธ๋ ์ดํฐ๋ ์
์ด๋์ด ๋์ ์๋ก ๋ฐ์ํ๋ฅ ์ด ๋์์ง๋๋ฐ, ์
์ด๋์ด ๋ฎ์ ๊ฒฝ์ฐ๋ ๋ถ์ถฉ๋ถํ ์ด์๋์ง๋ก ์ธํด ์ ํฉ์ด ์ด๋ ค์์ง๋ฏ๋ก ์ ์ ์์ค์ ์
์ด๋(heat
input)์ ์ค์ ํ๋ ๊ฒ์ด ํ์์ ์ด๋ค. ๊ณ ์ฃผํ ์ถ๋ ฅ์ด ๋ถ์กฑํ๊ฑฐ๋ ์ฉ์ ์๋๊ฐ ๋น ๋ฅด๋ฉด, ์
์ด๋์ด ์ ์ ์์ค ๋ณด๋ค ๋ฎ์์ ธ ์ ํฉ๋ฉด์ ์ฐ์์ ์ธ FeO ์ฐํ๋ฌผ๋ก
๊ตฌ์ฑ๋ ๋์ ๊ฒฐํจ(cold weld)์ด ๋ฐ์ํ๊ฒ ๋๋ค. ๋ฐ๋ฉด, ์ถ๋ ฅ์ด ๊ณผ๋คํ๊ฑฐ๋ ์ฉ์ ์๋๊ฐ ๋๋ ค์ ์
์ด๋์ด ๊ณผํ ๊ฒฝ์ฐ, ์ ์๊ธฐ๋ ฅ(electromagnetic
force)์ ์ฆ๊ฐ๋ก narrow gap ๋๋จ ์ต์ข
์ฉ์ ์ (welding point)์ด ๋๊ฒ ๋ฒ์ด์ง๊ณ ๋ฐฐ์ถ์๋(sweeping speed)๊ฐ ๋๋ ค์ง๊ธฐ
๋๋ฌธ์ ๋ฐฐ์ถ๋ ์ฉ์ต๊ธ์์ด ์ ํฉ๋ฉด์ผ๋ก ๋ค์ ์ ์
๋์ด(refilled) Fe3O4-MnO2 ํํ์ ํ๋คํธ๋ ์ดํฐ๊ฐ ๋ฐ์ํ๋ค๊ณ ์๋ ค์ ธ ์๋ค[13,15-17]. ์๊ธฐ ๋
ผ๋ฌธ๋ค์ ์
์ด๋์ ๋ฐ๋ผ ERW ์ฉ์ ํ์์ ๋ชจ๋ํฐ๋งํ๊ณ , bondline๋ด์ ์กด์ฌํ๋ ํ๋คํธ๋ ์ดํฐ์ ์์ฑ๊ธฐ๊ตฌ์ ์ฃผ๋ก ์ด์ ์ ๋ง์ถ์ด ์ฐ๊ตฌ๋ฅผ
์งํํ์ฌ, ๋ฏธ์ธ์กฐ์ง ์ ๋์ ์ธ์์ ์ ์จ์ถฉ๊ฒฉ์ธ์ฑ๊ณผ์ ์๊ด์ฑ ๊ณ ์ฐฐ์ ์ฐ๊ตฌ๋ ๋ฏธํกํ๋ค. ํํธ, ๊ณ ์ฃผํ ์ ๋ฅ๊ฐ ์ธ๊ฐ๋๋ ERW ์ฉ์ ๋์ ํํผํจ๊ณผ(skin
effect)์ ๊ทผ์ ํจ๊ณผ(proximity effect)์ ์ํด ์ ํญ๋ฐ์ด์ด ์ด์๋ถ ๋๋จ์๋ง ์ง์ค๋์ด ์ฉ์ต์ด ๋ฐ์ํ๊ธฐ ๋๋ฌธ์, ์ดํ ๋๊ฐํ๋ ๋์ ์ฃผ๋ณ์
๊ธ์๋ฒํฌ๋ก ์ด์ ๋๊ฐ ๊ธ์๋๋ก ์ด๋ฃจ์ด์ ธ ๋๊ฐ์๋๊ฐ ๋งค์ฐ ๋น ๋ฅธ ๊ฒ์ด ํน์ง์ด๋ค. ์ด๋ฌํ ๋น ๋ฅธ ๋๊ฐ์๋์ ์ํด ์์ฑ๋ ์ ์จ๋ณํ์กฐ์ง๊ณผ ์
์
์ ์ํ ์๋ฅ์๋ ฅ
๋ฑ์ ์ต์ํํ๊ธฐ ์ํด ์ฉ์ ์งํ ์ ์ ์ฉ์ ํ ์ด์ฒ๋ฆฌ(Post Seam Annealing, PSA) ์ ์ฉ์ด ์๊ตฌ๋๋ค[18]. ์ํฌ์ฉ์ ์ ๊ฒฝ์ฐ, ์ฉ์ ํ ์ด์ฒ๋ฆฌ(Post Weld Heat Treatment, PWHT)์ ๋ฐ๋ฅธ ๊ธฐ๊ณ์ ํน์ฑ ์ฐ๊ตฌ๊ฐ ๋ง์ด ์ํ๋์์ผ๋[19-21], ERW ์ฉ์ ์ PSA ์กฐ๊ฑด์ ๋ฐ๋ฅธ ๋ฏธ์ธ์กฐ์ง ๋ณํ์ ์ ์จ์ถฉ๊ฒฉ์ธ์ฑ ์๊ด์ฑ ์ฐ๊ตฌ๋ ๋๋ฌธ ์ค์ ์ด๋ค.
๋ฐ๋ผ์, ๋ณธ ์ฐ๊ตฌ์์๋ ํญ๋ณต๊ฐ๋ 70 ksi๊ธ API X70 ๊ฐ๊ด์ ์ค์ ERW ์กฐ๊ด๋ผ์ธ์์ ์
์ด๋ ๋ฐ PSA ์กฐ๊ฑด์ ๋ฐ๋ผ ์ ์กฐํ์์ผ๋ฉฐ, ์ด๋ค์ ๋ฐ๋ฅธ
๋ฏธ์ธ์กฐ์ง์ ์ ์ฑยท์ ๋๋ถ์ ํ์ฌ, ํ๋คํธ๋ ์ดํฐ์ ํฌ๊ธฐ ๋ฐ ํ์๊ณผ ๋ถํฌ๋ฅผ ๋ถ์ํ์๋ค. ์ด๋ฅผ ๊ธฐ๋ฐ์ผ๋ก ์ ์จ์ถฉ๊ฒฉ์ธ์ฑ ์ํ์ ์งํํ ํ ๋ฏธ์ธ์กฐ์ง๊ณผ ์ ์จ์ถฉ๊ฒฉ์ธ์ฑ
๊ฑฐ๋์ ์๊ด๊ด๊ณ๋ฅผ ํด์ํ์๋ค. ๋ณธ ๋
ผ๋ฌธ์ ์ ์์ ํ์๋
ผ๋ฌธ[22] ๊ฒฐ๊ณผ๋ฅผ ๊ธฐ๋ณธ์ผ๋ก ํ์ฌ ์ถ๊ฐ์ ์ธ ๋ถ์๊ณผ ๋ณด์ถฉ์ ํตํด ์ฐ๊ตฌ๊ฒฐ๊ณผ๋ฅผ ์์ฑํ์๋ค. ์ด๋ฅผ ํตํด ERW ๊ฐ๊ด์ ์ ์จ์ถฉ๊ฒฉ์ธ์ฑ์ ๋ฏธ์น๋ ๊ณต์ ๋ณ์๋ฅผ ํ์
ํ์ฌ ์ต์
๋ฏธ์ธ์กฐ์ง๊ณผ ์ ์จ์ถฉ๊ฒฉ ํน์ฑ์ ๋ณด์ฆํ ์ ์๋ ์กฐ๊ฑด์ ๋ํด ๋
ผ์ํ๊ณ ์ ํ๋ค.
2. ์คํ ๋ฐฉ๋ฒ
๋ณธ ์ฐ๊ตฌ์์ ์ฌ์ฉ๋ ํญ๋ณต๊ฐ๋ 70 ksi๊ธ(API X70) ์ ์จ์์ ์์ก์ฉ ERW ๊ฐ๊ด์ ๋๊ป๊ฐ 9.2 mm์ธ ์ด์ฐ์ฝ์ผ๋ก ์ค์ ERW ์กฐ๊ด ๋ผ์ธ์์
์ ์กฐ๋์๋ค. ์ด์ฐ์ฝ์ผ์ ํฉ๊ธ์ฑ๋ถ์ ํ 1์ ๋ํ๋ด์์ผ๋ฉฐ ์ ์จ์ธ์ฑ๊ณผ ๋ด์์ฑ์ ๊ณ ๋ คํ์ฌ P์ S์ ํจ๋์ ์ต์ํํ๊ณ Nb, V, Ti์ด ๋ฏธ๋(Nb + V + Ti โค 0.15) ์ฒจ๊ฐ๋ Feโ0.05C
ํ์๊ฐ์ด ์ฌ์ฉ๋์๋ค. ์ ๊ธฐ์ ํญ์ฉ์ ์ ํ 2์ ๋ํ๋ธ ๋ฐ์ ๊ฐ์ด ์ ์ 310โ335 V, ์ ๋ฅ 901โ958 A๋ก ์
์ด๋์ด ๋ฎ์ ์์ค(279 kW), ์ค๊ฐ ์์ค(292 kW), ๋์ ์์ค(320
kW)์ผ๋ก ์ด 3๊ฐ์ง๋ก ์ค์๋์๊ณ , PSA๋ 870, 950 ๊ทธ๋ฆฌ๊ณ 1040 ยฐC 3๊ฐ์ง ์จ๋์์ ์งํ๋์๋ค. PSA ์ ์ผ์ ์๋๋ก ์กฐ๊ด๋๋ ERW
๊ฐ๊ด์ ๋จ๊ณ๋ณ๋ก ์น์จ๋ ํ ๋ชฉํ์จ๋์์ ์ฝ 10์ด๊ฐ ์ ์ง๋์์ผ๋ฉฐ, ๊ณต๋์ผ๋ก ์์จ๊น์ง ๋๊ฐ๋์๋ค. ์ฉ์ ์๋(12.5 m/min), ์
์
๋(2.6 mm)
๊ทธ๋ฆฌ๊ณ Vee-angle(5.3 ยฐ)์ ๋ชจ๋ ๋์ผํ ์กฐ๊ฑด์์ ๊ฐ๊ด์ ์ ์กฐํ์๋ค. ์กฐ๊ด ๋ฐ ์ฉ์ ์ด ์๋ฃ๋ ๊ฐ๊ด์ ์ธ๊ฒฝ์ด 508 mm, ๋๊ป๊ฐ 9.2
mm์ด๋ฉฐ, ์คํ์ ์ํด ์ฉ์ ๋ถ ์ค์ฌ์ผ๋ก ์์ฃผ 200 mm์ ๊ธธ์ด 300 mm ์ํํธ์ ์ฑ์ทจํ์ฌ ๋ถ์์ ์ํํ์๋ค.
ERW ์ฉ์ ๋ถ์ ๋ฏธ์ธ์กฐ์ง ๋ถ์์ ์ํด #200โ2000 SiC sandpaper์ 1โ3 ฮผm ์ฐ๋ง์ฒ์ ์ด์ฉํ์ฌ ๊ธฐ๊ณ์ ์ฐ๋ง๋ฅผ ์ค์ํ ํ 100 ml
์ํ์ฌ + 5 ml ์ง์ฐ ์ฉ์ก์ผ๋ก ์์นญํ์๋ค. ๋ฏธ์ธ์กฐ์ง์ ์ ์ฑ์ ๋๋ถ์์ ์ํด ๊ดํํ๋ฏธ๊ฒฝ(Optical Microscopy, OM; MITUTOYO็คพ
810-127K)๊ณผ ์ฃผ์ฌ์ ์ํ๋ฏธ๊ฒฝ(Scanning Electron Microscopy, SEM; JEOL็คพ JSM-5800, 20 keV), ๊ทธ๋ฆฌ๊ณ
์ ๊ณ๋ฐฉ์ฌํ ์ฃผ์ฌ์ ์ํ๋ฏธ๊ฒฝ(Field Emission Scanning Electron Microscopy, FESEM; TESCAN CZ/MIRAI
LMH, 20 keV)์ ํ์ฉํ์๋ค. Bondline ์ฉ์ ๋ถ ์ฃผ๋ณ์ ์์๋ค์ ๋ถํฌ์ ํธ์ ์ ๋ฌด๋ฅผ ํ์
ํ๊ธฐ ์ํด ์ ๊ณ๋ฐฉ์ฌํ์ ์ํ์นจ๋ฏธ์ธ๋ถ์๊ธฐ(Electron
Probe Micro Analyzer, EPMA; JEOL็คพ (JXA8530F_5CH))๋ฅผ ํ์ฉํ์๋ค. ๋ฏธ์ธ์กฐ์ง์ ๊ฒฐ์ ๊ตฌ์กฐํ์ ๋ถ์์ ์ํด ํ๋ฐฉ์ฐ๋์ ์ํ์ (Electron
Back Scattered Diffraction, EBSD; TSL OIM program) ๊ธฐ๋ฒ์ ํ์ฉํ์์ผ๋ฉฐ, ์ด๋ฅผ ์ํ ์ํํธ์ sandpaper์
์ฐ๋ง์ฒ์ ์ด์ฉํ์ฌ 1 ฮผm๊น์ง ๊ธฐ๊ณ์ ์ฐ๋ง๋ฅผ ์ค์ํ ํ colloidal silica suspension์ผ๋ก ์ํํธ์ ์ ์ฒ๋ฆฌํ์๋ค. ๋ณด๋ค ๋ฏธ์์ ์ธ
๊ด์ฐฐ์ ์ํด ํฌ๊ณผ์ ์ํ๋ฏธ๊ฒฝ(Transmission Electron Microscopy, TEM: JEOL็คพ, JEM-2100F, 200 keV)์
ํ์ฉํ์์ผ๋ฉฐ, ์ํํธ์ ์ง์์ด์จ๋น์ฐ๋ง์ฅ์น(Focused Ion Beam, FIB; THERMO FISHER SCIENTIFIC็คพ SCIOS2)๋ฅผ ์ด์ฉํ์ฌ
์ฑ์ทจํ์๋ค.
ERW ๊ฐ๊ด์ ์ ์จ์ถฉ๊ฒฉ์ธ์ฑ ํน์ฑ ํ์ธ์ ์ํด Charpy V-Notch(CVN) ์ถฉ๊ฒฉ์ํ์ ์ํํ์๋ค. ์ถฉ๊ฒฉ์ํํธ์ ๊ฐ๊ด์ ๋๊ป๊ฐ 9.2 mm์ ์ ํ๋
ํฌ๊ธฐ๋ก ์ธํด ASTM A370-17a [23] ๊ท๊ฒฉ์ ๋ฐ๋ผ 3/4 sub-size(10 mm ร 7.5 mm ร 55 mm) ์ํธ์ผ๋ก ์ฑ์ทจํ์ฌ ์ํ์ ์งํํ์๋ค. ์ํํธ์ Vnotch๋ bondline
์ค์์ ์์นํ๋๋ก ๊ฐ๊ณต๋์๋ค.
ERW ๊ฐ๊ด์ PSA ์จ๋์ ๋ฐ๋ฅธ ์ฉ์ ๋ถ์ ๊ฒฝ๋ ๋ถํฌ๋ฅผ ํ์ธํ๊ธฐ ์ํด ๋น์ปค์ค ๊ฒฝ๋๊ณ(Vickers hardness meter: Mitutoyo็คพ,
HM-122)๋ฅผ ์ฌ์ฉํ์ฌ ๊ฒฝ๋์ํ์ ์ํํ์๋ค. ๊ฒฝ๋๊ฐ์ 0.5 kg์ ํ์ค์ผ๋ก ๊ฐ ์์ญ์ 10๋ฒ ์ธก์ ํ์ฌ ํ๊ท ๊ฐ์ผ๋ก ๋ํ๋ด์๋ค.
3. ๊ฒฐ๊ณผ ๋ฐ ๊ณ ์ฐฐ
3.1 ์
์ด๋์ ๋ฐ๋ฅธ ERW ์ฉ์ ๋ถ ๋ฏธ์ธ์กฐ์ง๊ณผ ์ ์จ์ถฉ๊ฒฉ์ธ์ฑ
ERW ๊ฐ๊ด ์กฐ๊ด ์ ์
์ด๋์ ๋ฐ๋ฅธ ๋ฏธ์ธ์กฐ์ง์ ํ์ธํ๊ธฐ ์ํด ์ ์
์ด(279 kW), ์ค์
์ด(292 kW), ๊ณ ์
์ด(320 kW) 3๊ฐ์ง ์กฐ๊ฑด์ผ๋ก ํ์๊ณ ,
PSA ์จ๋๋ 950 ยฐC๋ก ๋์ผํ๊ฒ ์ ์ฉํ์๋ค. OM์ ํตํด ๊ด์ฐฐํ ๊ฒฐ๊ณผ(๊ทธ๋ฆผ 1), ์กฐ๊ด ์ ๋ฉํ ํ๋ก์ฐ(metal flow) ๊ฐ๋๋ ๋ชจ๋ 69.2โ73o ์์ค์ผ๋ก ์ ์ฌํ๊ฒ ๋ํ๋ฌ๋ค. ๋ฉํ ํ๋ก์ฐ ๊ฐ๋๋ ๋์ผํ ์
์
๋ ์กฐ๊ฑด์ด
์ ์ฉ๋์๊ธฐ ๋๋ฌธ์ ์ ์ฌํ๊ฒ ๋ํ๋ฌ์ผ๋ฉฐ, ์
์ด๋์ ๋ฐ๋ฅธ ์ํฅ์ ์๋ ๊ฒ์ผ๋ก ํ์ธ๋์๋ค. ERW ์ฉ์ ๋์ ์ ํญ ๋ฐ์ด์ด ์ด์๋ถ ๋๋จ์ ์ง์ค๋์ด ์ฉ์ต์ด ๋ฐ์ํ๋ฉฐ,
ํ์ ์ฉ์ง์์๋ค์ ์ฉํด๋๊ฐ ๋์ ์ก์์ผ๋ก ๋น ์ ธ๋๊ฐ ๊ณ ์ ์ ํฉ๋ฉด์๋ ํํ๋ bondline์ด ํ์ฑ๋๋ค[11]. ํ์๊ฐ ๊ณ ๊ฐ๋ bondline์์๋ ์ดํ ๋๊ฐ ์ค์ ๋ฐฑ์์ ferrite๋ก๋ง ์ฃผ๋ก ๋ณํ๋๋ฏ๋ก, ํฐ์ ๋ฐด๋(white band)๊ฐ ๊ด์ฐฐ๋๋ค. Bondline
ํญ์ ๊ฒฝ์ฐ 18โ26 ฮผm ์์ค์ผ๋ก ์ ์ฌํ๊ฒ ๋ํ๋ฌ๋๋ฐ, ์ด๋ํ ์
์ด๋์ ๋ฐ๋ฅธ ์ํฅ์ ๋ฏธ๋นํ ๊ฒ์ผ๋ก ํ์ธ๋์๋ค. ๋ฏธ์ธ์กฐ์ง์ ์ ๋ฐ๋ถ์์ ์ํด SEM์
ํตํด ๋ถ์ํ ๊ฒฐ๊ณผ(๊ทธ๋ฆผ 2), ๋ชจ๋ ์ํํธ์์ ์
์ด๋์ ๊ด๊ณ์์ด ๋ฏธ์ธ์กฐ์ง์ ๋ชจ๋ granular ferrite์ pearlite(ferrite + Fe3C-cementite)๋ก ๊ตฌ์ฑ๋์์ผ๋ฉฐ, ferrite ๊ฒฐ์ ๋ฆฝ์ ํ๊ท ํฌ๊ธฐ๋ ์ฝ 4โ4.8 ฮผm๋ก ๋ชจ๋ ์ ์ฌํ๊ฒ ๋ํ๋ฌ๋ค. ์ด๋ PSA๊ฐ AC3 ์จ๋(846 โ) [24] ๋ณด๋ค ๋์ 950 ยฐC์์ ์งํ๋์๊ธฐ ๋๋ฌธ์ austenite ๋จ์์์ ๋๊ฐ ์ ์ ์ฌํ๊ฒ ์๋ณํ๊ฐ ๋ฐ์ํ ๊ฒ์ ๊ธฐ์ธํ๋ค. ERW ๊ฐ๊ด์์ ์๊ตฌ๋๋
๋ด HIC ํน์ฑ์ ๋ํ ์์ธก์ ์ํด bondline์์์ ํ๋คํธ๋ ์ดํฐ ํฌ๊ธฐ, ํ์ ๋ฐ ๋ถํฌ๋ฅผ ๊ด์ฐฐํ์๋ค. SEM์ ํตํด ๊ด์ฐฐํ ๊ฒฐ๊ณผ, ๊ทธ๋ฆผ 3์ SEM image์ ๋ํ๋ธ ๋ฐ์ bondline ๋ฐฉํฅ์ผ๋ก 10โ15 ฮผm ํฌ๊ธฐ๋ก ์ฐ์ ๋ ํํ๋ก ํ์ธ๋์๋ค. ๊ทธ๋ฆผ 3์์ ๋ณด๋ฏ์ด, EPMA ๋ถ์์ ํตํด ์
์ด๋์ ๊ด๊ณ์์ด ํ๋คํธ๋ ์ดํฐ ๊ฐ์ฌ๋ฌผ์ Al2O3์ Fe3O4(ํน์ FeO)๋ฅผ ํฌํจํ๊ณ ์์ง ์๋ค. ์ด๋ก๋ถํฐ ๋ฐฐ์ถ๋ ์ฉ์ต๊ธ์์ด ์ฐํ๋๊ณ narrow gap ์ฌ์ด๋ก ๋ค์ ์ ์
๋๋(refilled) Fe3O4-MnO2 ํํ์ ์์ฑ๊ธฐ๊ตฌ์๋ ๋ค๋ฅด๋ค. ๋ณธ ์ฐ๊ตฌ์์๋ 279-320 kW ์
์ด๋์์ ํ๋คํธ๋ ์ดํฐ ๋ถ์จ์ด ๋งค์ฐ ๋ฎ๊ณ , ๊ฐํ์ ์ผ๋ก ๊ด์ฐฐ๋๋ค. ์ด๋ก๋ถํฐ, ๋งค์ฐ ์ ์
์์ ์ก์์ด ์ฉ์ ์ค ์ฐํ๋๊ณ ์ ํฉ๋ฉด์ ์๋ฅํ๊ฒ ๋๋๋ฐ, ์ด๋ ๊ฐํ์ฐ์ฑ ์์์ธ Mn, Si ๋ฑ์ด ์ฐํ๋ฌผ์ ํ์ฑํ์ฑ ์ ํฉ๋ฉด์ ๋จ์์๋ค๊ฐ ์
์
์์ถ์๋ ฅ์
์ํด ์ ํฉ๋ฉด ์์ง๋ฐฉํฅ์ผ๋ก ๋์ด์ ธ ๋ฐฐ์ด๋ ๊ฒฐ๊ณผ๋ผ๊ณ ํด์ํ ์ ์๋ค. Yokoyama ๋ฑ[24]์ ํ๋คํธ๋ ์ดํฐ์ ์กฐ์ฑ์ ์์ฌ์ฑ๋ถ๊ณผ ์ฐ๊ด๋์ด ์๋ค๊ณ ๋ณด๊ณ ํ์๋ค. ๊ฐ์ด๋จ๊ณ์์ ์์ฑ๋ FeO๊ฐ ์์ฌ๋ด์ ์กด์ฌํ๋ Mn, Si๊ณผ ํ์๋ฐ์(FeO +
Mn โ Fe + MnO, 2FeO + Si = 2Fe + SiO2)์ ํตํ์ฌ (Mn, Si)-rich ์ฐํ๊ฐ์ฌ๋ฌผ์ ํ์ฑํ๋ค๊ณ ํ์๋ค. MnO-SiO2 ์ํ๋[25]๋ฅผ ํตํด Mn2SiO4์ MnSiO3๊ฐ ๋งค์ฐ ๋ฎ์ 1251 ยฐC์ ๊ณต์ ๋ฐ์์ ํ ์ ์์ผ๋ฉฐ, ์ด๋ ์ด๋ค์ ์ฐํ๊ฐ์ฌ๋ฌผ์ ์ฉ์ต์จ๋๊ฐ ๋ฎ์ ํ๋คํธ๋ ์ดํฐ ์์ฑํ๋ฅ ์ด ๋ฎ์์ง๋ค๊ณ ์ฃผ์ฅํ์๋ค. ๊ณต์ ๋ฐ์์
ํ ์ ์๋ Mn/Si ๋น์จ์ด 7-9 ์ฌ์ด ๊ฐ์ด๋ผ๊ณ ๋ณด๊ณ ํ์๋ค. ๋ณธ ์ฐ๊ตฌ์ API X70 ์ด์ฐ ์ฝ์ผ์ Mn/Si ๋น์จ์ 7.2 ์์ค์ผ๋ก ํ๋คํธ๋ ์ดํฐ์
์์ฑ ํ๋ฅ ์ ๋ฎ์ถ ์ ์๋ ์ฑ๋ถ ๋ฒ์์ ์๋ค๊ณ ํ๋จํ ์ ์๋ค.
ํ๋คํธ๋ ์ดํฐ์ ๋ํ ์ ๋๋ถ์์ ์ํด SEM ๊ด์ฐฐ๊ฒฐ๊ณผ๋ฅผ ๋ฐํ์ผ๋ก ๊ทธ๋ฆผ 4์ ๋ชจ์๋์์ ๋ํ๋ธ ๋ฐ์ ๊ฐ์ด, bondline ๋ถ๊ทผ ํญ 257 ฮผm ร ๋๊ป 9.2 mm ๋ฉด์ ์์ ํ๋คํธ๋ ์ดํฐ์ ๋ฉด์ ๋ถ์จ์ ์ธก์ ํ์๋ค. ๊ทธ ๊ฒฐ๊ณผ,
์ ์
์ด๋๊ณผ ์ค์
์ด๋ ์กฐ๊ฑด์์๋ ๋ชจ๋ ์ฝ 0.007 %๋ก ํ์ธ๋์๋ค. ๊ณ ์
์ด๋ ์กฐ๊ฑด์์๋ 0.011 %๋ก ๋ค์ ๋๊ฒ ๋ํ๋ฌ๋ค. ํํธ, Hong ๋ฑ[3]์ ๋ฐ๋ฅด๋ฉด, bondline ๋ด ํ๋คํธ๋ ์ดํฐ์ ๋ฉด์ ๋ถ์จ๋ก ์ ์๋๋ penetrator area ratio(PAR)๊ฐ 0.03 % ์ดํ์ผ ๋ HIC
์ ํญ์ฑ์ด ๋ณด์ฆ๋๋ค๋ ๊ฒฐ๊ณผ๋ฅผ ์คํ์ ์ผ๋ก ํ์ธํ์๋ค. ๋ณธ ์ฐ๊ตฌ์์ ์ ์ฉ๋ ์
์ด๋์ ๋ฐ๋ฅธ PAR์ 0.007โ0.011 % ์์ค์ผ๋ก ๋งค์ฐ ๋ฎ์ ํ๋คํธ๋ ์ดํฐ์
์ํ HIC ํน์ฑ ๋ฐ ์ ์จ์ถฉ๊ฒฉ์ธ์ฑ์ ๋๋ ทํ ์ ํ๋ ๋ฐ์ํ์ง ์์ ๊ฒ์ผ๋ก ์์๋๋ค.
์ ์จ ์๋์ง ์์ก์ฉ ๊ฐ๊ด์์ ํ์์ ์ผ๋ก ์๊ตฌ๋๋ ์ ์จ ์ถฉ๊ฒฉ์ธ์ฑ ํน์ฑ์ ํ์ธํ๊ธฐ ์ํด โ20 ยฐC์์ CVN ์ถฉ๊ฒฉ์ํ์ ์ํํ์๋ค. ๊ทธ ๊ฒฐ๊ณผ(๊ทธ๋ฆผ 5), ์ ์
์ด๋: 112โ129 J, ์ค์
์ด๋: 64โ82 J, ๊ณ ์
์ด๋: 164โ191 J ์์ค์ผ๋ก ์
์ด๋์ด ๋์ ์กฐ๊ฑด์์ ๊ฐ์ฅ ๋๊ฒ ๋ํ๋ ๋ฐ๋ฉด,
์ค์
์ด๋ ์กฐ๊ฑด์์ ๊ฐ์ฅ ๋ฎ๊ฒ ๋ํ๋ฌ๋ค. SEM์ ํตํ ํ๋จ๋ฉด ๊ด์ฐฐ ๊ฒฐ๊ณผ(๊ทธ๋ฆผ 6), ๋ชจ๋ ์ํํธ์ V-notch ๋ถ๊ทผ์์ ์ทจ์ฑํ๊ดด์ ํน์ง์ธ flatness๊ฐ ์๋ ์ฐ์ฑํ๊ดด์ ํน์ง์ธ ๋คํ(dimple)๋ค์ด ์ง๋ฐฐ์ ์ผ๋ก ๊ด์ฐฐ๋์๋ค.
ํ๋คํธ๋ ์ดํฐ ์ฃผ๋ณ์์ ๊ท ์ด์ด ํ์ฑ๋๊ฑฐ๋ ์ง์ ๋ ํ์ ์ด ๋ํ๋์ง ์๊ณ ๋คํ์ด ์ง๋ฐฐ์ ์ผ๋ก ๊ด์ฐฐ๋ ๊ฒ์ผ๋ก ๋ณด์ ์ถฉ๊ฒฉ ์ ํ๋คํธ๋ ์ดํฐ์ ๋ํ ์์กด์ฑ ์์ด
์ถฉ๊ฒฉ์๋์ง๊ฐ ์๋น๋ ํก์๋์ด ์์ฑ๋ณํ์ด ๋ํ๋ ๊ฒ์ผ๋ก ํ์ธ๋์๋ค. ๊ทธ๋ฆผ 6(b)์ ๋ํ๋ธ ๋ฐ์ ๊ฐ์ด ์ถฉ๊ฒฉ์๋์ง๊ฐ ๊ฐ์ฅ ๋ฎ์ ์ค์
์ด๋ ์ํํธ์์๋ ์ถฉ๊ฒฉ ๋ฐฉํฅ์ผ๋ก ์ฐ์ ๋ ํ๋จ์กฐ์ง์ด ๊ด์ฐฐ๋์๋ค. ์ด๋ ์ค์
์ด๋ ์กฐ๊ฑด์ ์ํํธ์ด ์ ์
์ด๋๊ณผ
๊ณ ์
์ด๋ ์กฐ๊ฑด์ ์ํํธ ๋๋น ์๋์ ์ผ๋ก ๋ฎ์ง๋ง โ20 ยฐC์์ ์ทจ์ฑ์ด ๋ํ๋์ง ์์์ ๋ณด์ฌ์ค๋ค. ํ์ง๋ง, ์ค์
์ด ์กฐ๊ฑด์์ ์ถฉ๊ฒฉ์๋์ง ๊ฐ์ด ๊ฐ์ฅ ๋ฎ์
์ด์ ์ ๋ํด์๋ ๋ง์ดํฌ๋ก ๋จ์์ ๋ถ์(์๋ฅผ ๋ค์ด, ํ๋คํธ๋ ์ดํฐ์ ๋ถ์จ, ํฌ๊ธฐ, ๊ฒฐ์ ๋ฆฝ ํฌ๊ธฐ ๋ฑ)์์๋ ํ์ฐํ ์ฐจ์ด์ ์ ๋ฐ๊ฒฌํ ์ ์์ด, ์ถํ ์์
๋จ์์ ๋ถ์์ด ํ์ํด ๋ณด์ธ๋ค.
3.2 ์ค๊ฐ ์
์ด๋ ์กฐ๊ฑด์์ PSA ์จ๋์ ๋ฐ๋ฅธ ERW ์ฉ์ ๋ถ ๋ฏธ์ธ์กฐ์ง ํน์ฑ ๋ฐ ์ ์จ์ถฉ๊ฒฉ์ธ์ฑ
์
์ด๋์ ๋ฐ๋ฅธ ์ ์จ์ถฉ๊ฒฉํน์ฑ์ ์๋์ ์ธ ์ฐจ์ด๋ฅผ ๋ณด์์ผ๋, โ20 ยฐC์์ ๋ชจ๋ ์ฐ์ฑํ๋จ์ ๋ณด์์ผ๋ฉฐ, ๊ธฐ๊ณ์ ํน์ฑ๊ณผ ๋ฐ์ ํ ๊ด๊ณ๊ฐ ์๋ ๋ฏธ์ธ์กฐ์ง์ ์ฐจ์ด๊ฐ
ํ์ฐํ๊ฒ ๋ํ๋์ง ์์๋ค. PSA ์จ๋(TPSA)๋ฅผ ๋ค์ ๋ฎ์ ์จ๋(870 ยฐC, PSA870), ์ค๊ฐ์จ๋(950 ยฐC, PSA950), ๊ทธ๋ฆฌ๊ณ ๋์ ์จ๋(1040 ยฐC, PSA1040)๋ก ๋ถ๋ฅํ์ฌ
๊ทธ ์ํฅ์ ๊ณ ์ฐฐํ๊ณ ์ ํ์๋ค. OM์ ํตํด ๊ด์ฐฐํ ๊ฒฐ๊ณผ, PSA870๊ณผ PSA950์ ๊ฒฝ์ฐ ๋ฉํ ํ๋ก์ฐ ๊ฐ๋๋ ๊ฐ๊ฐ 80.8o์ 82.5o๋ก ์ ์ฌํ
๋ฐ๋ฉด(๊ทธ๋ฆผ 7(a), 7(b)), PSA1040์ ๋์ PSA์จ๋๋ก ์ธํด ๊ตฌ๋ถ๋์ง ์๋ ๊ฒ์ผ๋ก ํ์ธ๋์๋ค(๊ทธ๋ฆผ 7(c)). Bondline ํญ์ ๊ฐ๊ฐ 17, 18, 27 ฮผm๋ก ์ ์ฌํ๊ฒ ๋ํ๋ฌ๋ค. SEM์ ํตํด ๊ด์ฐฐํ ๊ฒฐ๊ณผ, bondline ๋ด๋ถ์์๋ PSA ์กฐ๊ฑด๊ณผ
๊ด๊ณ์์ด ํ๋ผ์ดํธ๊ฐ ๊ฑฐ์ ์กด์ฌํ์ง ์๊ณ ๋ค๊ฐํ์ ferrite ๊ฒฐ์ ๋ฆฝ๋ค์ด ์ฃผ๋ก ๋ถํฌํ์๋ค(๊ทธ๋ฆผ 8). ํํธ, ์ด์ํฅ๋ถ์์๋ TPSA๊ฐ ๋ฎ์ ๊ฒฝ์ฐ ๊ฐ์ฅ ์์ ferrite ๊ฒฐ์ ๋ฆฝ์ด(๊ทธ๋ฆผ 9(a)), ๋์ ๊ฒฝ์ฐ ๊ฐ์ฅ ํฐ ferrite ๊ฒฐ์ ๋ฆฝ์ด ๊ด์ฐฐ๋์๋ค(๊ทธ๋ฆผ 9(c)). ๋ํ, ๊ทธ๋ฆผ 9(aโc)์ ๋
ธ๋ ํ์ดํ๋ก ๋ํ๋ธ ๋ฐ์ ๊ฐ์ด ํ๋ผ์ดํธ๊ฐ ๊ด์ฐฐ๋์๊ณ , ๊ทธ ํฌ๊ธฐ๋ TPSA์ ๋น๋กํ์๋ค. TPSA๊ฐ ๋์์๋ก ferrite ๊ฒฐ์ ๋ฆฝ๊ณผ ํ๋ผ์ดํธ ํฌ๊ธฐ๊ฐ ํฌ๊ฒ ๋ํ๋๋ ๊ฒ์ ์ด์ ํ์ฑํ์ ์ํ ๊ฒฐ์ ๋ฆฝ ์กฐ๋ํ ๋ฐ ๋ค์ ๋๋ฆฐ ๋๊ฐ์๋์ ์ํ ์๋ณํ ํ์ฑํ๊ฐ
์์ธ์ผ๋ก ํ๋จ๋๋ค.
Bondline ๋ถ๊ทผ์์์ ๋ฏธ์ธ์กฐ์ง ์ ๋๋ถ์์ ์ํด EBSD ๊ธฐ๋ฒ์ ์ด์ฉํ์ฌ ๋ถ์ํ์๋ค. EBSD grain size map ๋ถ์ ๊ฒฐ๊ณผ, bondline
๋ด๋ถ์์์ ๊ฒฐ์ ๋ฆฝ ํฌ๊ธฐ๋ 6.50โ7.48 ฮผm ์์ค์ผ๋ก ๋ชจ๋ ์ ์ฌํ ๋ฐ๋ฉด, bondline ๋ฐ๋ก ์ธก๋ฉด ์ด ์ํฅ์ ๋ฐ์ ์์ญ(Heat-Affected-Zone,
HAZ)์ ferrite ํ๊ท ๊ฒฐ์ ๋ฆฝ ํฌ๊ธฐ๋ ๊ฐ๊ฐ 7.13, 8.47, 10.99 ฮผm ๋ก TPSA๊ฐ ๋์ ์๋ก ๋ ํฌ๊ฒ ๋ํ๋ฌ๋ค. ์ด๋ฌํ ์ด์ ํ์ฑํ์ ์ํ ๊ฒฐ์ ๋ฆฝ ์กฐ ๋ํ๋ก ๋ฏธ์ธ ์กฐ์ง์ด ๋ณํํ์ฌ ๊ทธ๋ฆผ 7(c)์์ ํ์ธ๋ ๋ฐ์ ๊ฐ์ด PSA1040์์ ๋ฉํ ํ๋ก์ฐ ๊ฐ๋๊ฐ ๊ตฌ๋ถ๋์ง ์๋ ๊ฒ์ผ๋ก ํ๋จ๋๋ค. ํํธ, ๋ชจ๋ ์กฐ๊ฑด์ ์ฉ์ ๋ถ์์ bondline๊ณผ ์กฐ๋ค
๊ฒฐ์ ๋ฆฝ HAZ(Coarse-Grained HAZ, CGHAZ) ์์ญ ์ฌ์ด์ ๋ฏธ์ธ ๊ฒฐ์ ๋ฆฝ(Fine-Grained HAZ, FGHAZ) ์์ญ์ด ๊ตฌ๋ถ๋์ด
๋ํ๋ฌ๋ค. ์์น์ ๋ฐ๋ฅธ ๊ฒฐ์ ๋ฆฝ ํฌ๊ธฐ์ ๋ถํฌ๋ฅผ ์ธก์ ํ ๊ฒฐ๊ณผ, PSA870์ ๊ฒฝ์ฐ CGHAZ์ FGHAZ์์์ ๊ฒฐ์ ๋ฆฝ ํฌ๊ธฐ ์ฐจ์ด๊ฐ ๋ค์ ์์ ๋ฐ๋ฉด(๊ทธ๋ฆผ 10(a)), PSA950์์ ๊ทธ ์ฐจ์ด๊ฐ ๋ ํฌ๊ฒ ๋ํ๋๊ณ (๊ทธ๋ฆผ 10(b)), PSA1040์์ ๊ฐ์ฅ ํ์ฐํ๊ฒ ๋ํ๋ฌ๋ค(๊ทธ๋ฆผ 10(c)). ์ด๋ TPSA์ ๋ฐ๋ผ ๊ฒฐ์ ๋ฆฝ ํฌ๊ธฐ๊ฐ ์ฆ๊ฐํ๋ ๊ฒฐ์ ๋ฆฝ ์กฐ๋ํ ๊ฒฝํฅ๊ณผ ์ ์ฌํ ๊ฒฐ๊ณผ์ด๋ค.
์ผ๋ฐ์ ์ผ๋ก ์ด์ํฅ๋ถ์์๋ ์ด์๊ณผ ๊ฐ๊น์ ๊ฒฐ์ ๋ฆฝ ์กฐ๋ํ๊ฐ ํ๋ฐํ ์ผ์ด๋๋ CGHAZ์์๋ถํฐ ์ด์๊ณผ ๋ฉ์ด์ง ์๋ก ๊ฒฐ์ ๋ฆฝ ํฌ๊ธฐ๊ฐ ์ ์ฐจ ๋ฏธ์ธํ ์์ญ์ด ๋ํ๋๋ค.
ํํธ, ๋ณธ ์ฐ๊ตฌ์์๋ FGHAZ๊ฐ CGHAZ๋ณด๋ค ์ด์๊ณผ ๋ ๊ฐ๊น์ด ํ์ฑ๋์๋ค. ์ด๋ฌํ ์ผ๋ฐ์ ์ธ ์ด์ํฅ๋ถ์ ์์ดํ ๋ฏธ์ธ ๊ฒฐ์ ๋ฆฝ์ FGHAZ ๋ถํฌ ์์ธ์
ํ์
ํ๊ณ ์ ํ์๋ค. ๊ฒฐ์ ๋ฆฝ ๋ฏธ์ธํ๋ ์ฃผ๋ก 2์ฐจ์ ๋๋ ์ฉ์ง ์์๋ค์ ํธ์์ ์ํ pinning ํจ๊ณผ์ ์ํด ๋ํ๋๋ ๊ฒ์ผ๋ก ์๋ ค์ ธ ์๋ค[26-29]. ํํธ, ๋ณธ ์ฐ๊ตฌ์์ ์ ์ฉ๋ ERW ๊ณต์ ์์ ์
์
๊ฐ์๋ ฅ(upset force)์ ์ํ ์ ํฉ ์ bondline๊ณผ ๊ทธ ๊ทผ์ฒ์์ C์ Mn ์์๋ค์
๋ถ๊ท ์ผํ ๋ถํฌ๊ฐ ์์๋์๋ค. ์ด๋ฌํ ์์๋ค์ ๋ถํฌ์ฐจ์ด๋ก ์ธํด ์๋ณํ ๊ฑฐ๋์ ๋ณํ๊ฐ ๋ฐ์ํ ์ ์๋๋ฐ, C๋ MC ํํ๋ฌผ๊ณผ ๊ฐ์ 2์ฐจ ์์ถ๋ฌผ์ ํ์ฑ์
์ ๋ํ์ฌ ๊ฒฐ์ ๋ฆฝ ๋ฏธ์ธํ๋ฅผ ๋ฐ์์ํค๊ณ , Mn์ austenite ์์ ํ๋ฅผ ํตํ ์๋ณํ ๋ฐ ์ฌ๊ฒฐ์ ๊ฑฐ๋์ ๋ณํ๋ฅผ ๋ฐ์์ํฌ ์ ์๋ค. ๋ฐ๋ผ์, ๋น์ผ๋ฐ์ ์ธ
FGHAZ์ ํ์ฑ์ด C์ Mn ์์๋ค์ ๋ถ๊ท ์ผํ ๋ถํฌ์ ๊ธฐ์ธํ ๊ฒ์ธ์ง ํ์ธํ๊ณ ์ ํ์๋ค. EPMA๋ฅผ ์ด์ฉํ์ฌ PSA๊ฐ ์ ์ฉ๋์ง ์์ ๊ฒฝ์ฐ์ PSA950์
bondline ๋ถ๊ทผ์์ C์ Mn ์์๋ค์ ๋ถํฌ๋ฅผ ๊ด์ฐฐํ ๊ฒฐ๊ณผ(๊ทธ๋ฆผ 11), ์ฉ์ง์์์ ํธ์์ ๋ํ๋์ง ์๋ ๊ฒ์ผ๋ก ํ์ธ๋์๋ค. ์ฉ์ง์์์ ์ํฅ์ ๋ํด์๋ ๋ณด๋ค ์ ๋ฐํ ๋ถํด๋ฅ์ ์ด์ฉํ ์์๋จ์์ ์ถ๊ฐ์ ์ธ ๋ถ์์ด ํ์ํ๋ค.
Bondline ๋ฐ๋ก ์ธก๋ฉด์FGHAZ ํ์ฑ์ ์ผ๋ฐ์ ์ด์ง ์์ ํ์์ด๋ฉฐ, ์ด๋ฌํ ์์ธ์ ๋ํด์๋ ์ถํ ์ฐ๊ตฌ๋ฅผ ํตํด ๊ท๋ช
๋์ด์ผ ํ๋ค.
TPSA์ ๋ฐ๋ฅธ ERW ์ฉ์ ๋ถ์ ๊ฒฝ๋๋ถํฌ๋ฅผ ํ์ธํ๊ธฐ ์ํด bondline์์๋ถํฐ ๋ชจ์ฌ์ ๊ฐ๊น์์ง๋ ๋ฐฉํฅ์ผ๋ก FGHAZ, CGHAZ, HAZ 4๊ฐ์ง ์์ญ์์
๋น์ปค์ค ๊ฒฝ๋๋ฅผ ์ธก์ ํ์๋ค. ์ธก์ ๊ฒฐ๊ณผ(๊ทธ๋ฆผ 12), ๋ชจ๋ PSA ์กฐ๊ฑด์์ FGHAZ์ ๊ฒฝ๋๊ฐ ๊ฐ์ฅ ๋๊ฒ ๋ํ๋๊ณ , ๋ชจ์ฌ์ ๊ฐ๊น์์ง์๋ก ๊ฒฝ๋๊ฐ ๋ฎ์์ง๋ ๊ฒ์ผ๋ก ๊ด์ฐฐ๋์๋๋ฐ, ์ด๋ ๊ฒฐ์ ๋ฆฝ ํฌ๊ธฐ ๋ณํ๊ฐ
์์ธ์ผ๋ก ํ๋จ๋๋ค. ํํธ, FGHAZ์ ๊ฒฝ๋๋ TPSA๊ฐ ๋ฎ์์๋ก ๋๊ฒ ๋ํ๋๋๋ฐ, ์ด๋ TPSA๊ฐ ๋์์๋ก ์ด์ ํ์ฑํ์ ์ํ ๊ฒฐ์ ๋ฆฝ ์กฐ๋ํ๊ฐ ๋ํ๋๋ ๋ฐ๋ฉด, TPSA๊ฐ ๋ฎ์์๋ก ๊ฒฐ์ ๋ฆฝ์ด ๋ฏธ์ธํ ๋๋ ๊ฒ์ ๊ธฐ์ธํ๋ค. FGHAZ์์ ๋ชจ์ฌ์ ๊ฐ๊น์์ง์๋ก PSA1040์ ๊ฒฝ๋ ๊ฐ์ํญ์ PSA870๊ณผ PSA950 ๋๋น
๋งค์ฐ ์๊ฒ ๋ํ๋๋๋ฐ, ์ด๋ ๊ฒฐ์ ๋ฆฝ ํฌ๊ธฐ๊ฐ ์ปค์ง์๋ ๋ถ๊ตฌํ๊ณ ํ๋ผ์ดํธ์ ํ์ฑ์ด ํ์ฑํ๋ ๊ฒ์ด ์์ธ์ผ๋ก ๋ณด์ธ๋ค.
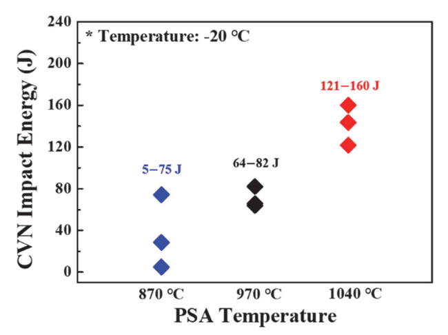
TPSA์ ๋ฐ๋ฅธ ์ ์จ์ธ์ฑํน์ฑ์ ํ๊ฐํ๊ธฐ ์ํด โ20 ยฐC์์ CVN ์ถฉ๊ฒฉ ์ํ์ ์ํํ์๋ค. ๊ทธ ๊ฒฐ๊ณผ(๊ทธ๋ฆผ 13), PSA870์ ๊ฒฝ์ฐ 5โ72 J ๊ฐ์ฅ ๋ฎ๊ฒ ๋ํ๋๊ณ PSA970์ 64โ82 J, PSA1040๋ 121โ160 J๋ก TPSA๊ฐ ๋์ ์๋ก ์ถฉ๊ฒฉ์๋์ง ๊ฐ์ด ๋๊ฒ ๋ํ๋ฌ๋ค. SEM์ ํตํ ํ๋จ๋ฉด ๊ด์ฐฐ ๊ฒฐ๊ณผ, 29 J์ ์ถฉ๊ฒฉ์๋์ง๋ฅผ ๋ณด์ธ PSA870 ์ํํธ์ V-notch ๋ถ๊ทผ์์
์ทจ์ฑํ๊ดด์ ํน์ง์ธ cleavage ํ ๋จ๋ฉด์ด ๊ด์ฐฐ๋์๋ค(๊ทธ๋ฆผ 14(a)). ํํธ, 64 J์ ์ถฉ๊ฒฉ์๋์ง๋ฅผ ๋ณด์ธ PSA950 ์ํธ๊ณผ 120 J์ ์ถฉ๊ฒฉ์๋์ง๋ฅผ ๋ณด์ธ PSA1040 ์ํธ์ ๊ฒฝ์ฐ ์ฐ์ฑํ๊ดด์ ํน์ง์ธ ๋คํ๋ค์ด ์ง๋ฐฐ์ ์ผ๋ก
๊ด์ฐฐ๋์๋ค(๊ทธ๋ฆผ 6(b), 14(c)). ์ผ๋ฐ์ ์ผ๋ก ๊ฒฐ์ ๋ฆฝ ํฌ๊ธฐ๊ฐ ์์ ์๋ก ์ถฉ๊ฒฉ์๋์ง๋ฅผ ํก์ํ๊ธฐ ์ ๋ฆฌํ๋ฏ๋ก ๋ชจ์ฌ ๊ฒฐ์ ๋ฆฝ ํฌ๊ธฐ๊ฐ ๊ฐ์ฅ ์์ PSA870์ ์ถฉ๊ฒฉ์๋์ง๊ฐ ๊ฐ์ฅ ๋์ ๊ฒ์ผ๋ก
์์๋์์ผ๋, ์คํ๋ ค ์น์ฑํ๊ธฐ๋ฅผ ๋ณด์ด๋ฉฐ ์ถฉ๊ฒฉ์๋์ง๊ฐ ๊ฐ์ฅ ๋ฎ๊ฒ ๋ํ๋ฌ๋ค. ์ด๋ ์ ์จ์ถฉ๊ฒฉํน์ฑ์ด TPSA์ ๋ฐ๋ฅธ ๊ฒฐ์ ๋ฆฝ ํฌ๊ธฐ๊ฐ ์๋ ๋ค๋ฅธ ์ธ์์ ๋ํ ์ํฅ์ด ์ง๋ฐฐ์ ์์ ์๋ฏธํ๋ค.
3.3 PSA ์จ๋์ ๋ฐ๋ฅธ ์๋ฅ์๋ ฅ
TPSA๊ฐ ๋ฎ์ ์๋ก ๊ฒฐ์ ๋ฆฝ์ด ์์์๋ ๋ถ๊ตฌํ๊ณ ์ ์จ์ถฉ๊ฒฉ์๋์ง๊ฐ ๊ฐ์ฅ ๋ฎ๊ฒ ๋ํ๋๋ฉฐ, ์ถ์ํ๋ค ๊ฑฐ๋์ ๋ณด์๋ค. ์ด๋ ๊ฒฐ์ ๋ฆฝ ํฌ๊ธฐ๊ฐ ์๋ ๋ค๋ฅธ ์ธ์์ ์ํด
๋ ํฐ ์ํฅ์ ๋ฐ๋๋ค๋ ๊ฒ์ ๋ดํฌํ๋ค. TPSA๊ฐ ๋ฎ์ ๊ฒฝ์ฐ ์ฉ์ ์งํ ๊ธ๋์ผ๋ก ์ธํด ์์ฑ๋๋ ๋ฒ ์ด๋์ดํธ ๋ฑ์ ์ ์จ๋ณํ์กฐ์ง์ด ์๋ฅํ ์ ์๋ค. ํ์ง๋ง ์์ ์ธ๊ธํ ๋ฐ์ ๊ฐ์ด, PSA870์์๋ ๊ทธ๋ฌํ
์ ์จ๋ณํ์กฐ์ง์ ๊ด์ฐฐ๋์ง ์์๋ค(๊ทธ๋ฆผ 8(a)). ๋ถ์ถฉ๋ถํ ์ด์ ํ์ฑํ๋ก ์ธํด ์๋ฅ์๋ ฅ์ด ์์ ํ ํด์๋์ง ์์ ์ ์๋ค[30]. EBSD ๋ถ์์ ํตํด ์๋ฅ์๋ ฅ์ ๋ฏธ์ ๋ถํฌ๋ฅผ ํ์ธํ๊ธฐ ์ํด kernel average misorientation (KAM) map์ ์ ์ฉํ์ฌ
์๋ฅ์๋ ฅ์ ๋ํด ๋ถ์ํ๊ณ ์ ํ์๋ค. KAM map์์ strain level์ ๊ฐ์ฅ ๋ฎ์ ๊ฒฝ์ฐ ํ๋์์์ ์ฆ๊ฐํ ์๋ก ์ด๋ก์, ๋
ธ๋์, ๋นจ๊ฐ์์ผ๋ก
๋ํ๋๋ค. ๊ด์ฐฐ ๊ฒฐ๊ณผ, ๊ทธ๋ฆผ 15(a)์ ๋ํ๋ ๋ฐ์ ๊ฐ์ด PSA870 ์ํํธ์ ๊ฒฝ์ฐ ๋ค์ ๋์ strain level์ด ๊ท ์ผํ๊ฒ ๋ถํฌํ๋ ๋ฐ๋ฉด, PSA950์ ๊ฒฝ์ฐ PSA870 ๋๋น
strain level์ด ๋ฎ๊ณ (๊ทธ๋ฆผ 15(b)), PSA1040์์ strain level์ด ๊ฐ์ฅ ๋ฎ์ ๊ฒ์ผ๋ก ๋ํ๋ฌ๋ค(๊ทธ๋ฆผ 15(c)). ์ด๋ TPSA๊ฐ 870 ยฐC์ผ ๊ฒฝ์ฐ ์ด์ ํ์ฑํ๊ฐ ์ถฉ๋ถํ์ง ๋ชปํ๋ฏ๋ก ์๋ฅ์๋ ฅ์ด ํด์๋์ง ๋ชปํ๊ณ ์กด์ฌํจ์ ์๋ฏธํ๋ค.
ํน์ ์์ญ์ ๋ํ ๋ถ์์ ์ํด FIB๋ฅผ ์ด์ฉํ์ฌ bondline์์ ์ํธ์ ์ฑ์ทจํ์ฌ TEM์ผ๋ก ๊ด์ฐฐํ ๊ฒฐ๊ณผ, PSA870 ์ํํธ์์ ๊ทธ๋ฆผ 16(a)์ ๋ํ๋ ๋ฐ์ ์ ์๊ฐ ๊ท ์ผํ๊ณ ์ข์ ๊ฐ๊ฒฉ์ผ๋ก ๋์ ๋ฐ๋๋ฅผ ๋ณด์ด๋ฉฐ ๋ถํฌํ๋ ๊ฒ์ผ๋ก ํ์ธ๋์๋ค. ํํธ, PSA950์ ๊ฒฝ์ฐ ์ ์ ๊ฐ๊ฒฉ์ด ๋ ๋๊ณ ๋ฐ๋๊ฐ
๋ ๋ฎ๊ฒ ๋ํ๋๊ณ (๊ทธ๋ฆผ 16(b)), PSA1040์ ๊ฒฝ์ฐ ์ ์ ๋ฐ๋๊ฐ ์์ฃผ ๋ฎ๊ฒ ๋ํ๋ฌ๋ค(๊ทธ๋ฆผ 16(c)). EBSDKAM map๊ณผ TEM ์ ์ ๋ฐ๋ ๊ด์ฐฐ๋ก๋ถํฐ ํ์ธ๋ ๋ฐ์ ๊ฐ์ด, TPSA๊ฐ ๋์ ์๋ก ์ ์๋ฐ๋๊ฐ ๋ฎ์์ง๊ณ , 1040 ยฐC ์ด์ฒ๋ฆฌ ์ ์ ์๋ฐ๋๊ฐ ๊ธ๊ฒฉํ ๊ฐ์ํ ๊ฒ์ผ๋ก ๋ณด์ TPSA์ ๋ฐ๋ฅธ ์๋ฅ์๋ ฅ์ ์ ๋๊ฐ ๊ฒฐ์ ๋ฆฝํฌ๊ธฐ ์ด์์ผ๋ก ์ ์จ์ถฉ๊ฒฉ์ธ์ฑ์ ๋ฏธ์น๋ ์ค์ํ ์ธ์๋ก ์์ฉํ ๊ฒ์ผ๋ก ํ๋จ๋๋ค.
4. ๊ฒฐ ๋ก
API X70 ์ ๊ธฐ์ ํญ์ฉ์ ๊ฐ๊ด์ ์ฉ์ ์กฐ๊ฑด ๋ฐ PSA ์จ๋์ ๋ฐ๋ฅธ ๋ฏธ์ธ์กฐ์ง๊ณผ ์ถฉ๊ฒฉ์ธ์ฑํน์ฑ์ ์๊ด๊ด๊ณ๋ฅผ ๊ณ ์ฐฐํ์๋ค. ๋ฏธ์ธ์กฐ์ง ์ ๋ํ ๋ฐ ์ถฉ๊ฒฉ์ธ์ฑํน์ฑ
๋ถ์์ ๋ํ ๊ฒฐ๊ณผ๋ฅผ ๋ค์๊ณผ ๊ฐ์ด ์ ๋ฆฌํ์ฌ ๋ํ๋ด์๋ค.
1) ERW API X70 ๊ฐ๊ด์ ๋ฉํ ํ๋ก์ฐ ๊ฐ๋์ bondline ํญ์ 279-320 kW ๋ฒ์๋ด์์์ ์
์ด๋๊ณผ ๊ด๊ณ์์ด ์ ์ฌํ๊ฒ ๋ํ๋ฌ๋ค.
โ20 ยฐC ์ ์จ์ถฉ๊ฒฉ์ธ์ฑ ์ํ ๊ฒฐ๊ณผ, ๋ชจ๋ ๋์ ์ถฉ๊ฒฉ์ธ์ฑํน์ฑ๊ณผ ์ฐ์ฑํ๊ดด๋ฅผ ๋ณด์๋ค.
2) PSA ์จ๋์ ๋ฐ๋ผ ERW ๊ฐ๊ด์ bondline ๋ถ๊ทผ ferrite ๊ฒฐ ์ ๋ฆฝ์ ํฌ๊ธฐ๊ฐ ์์ดํ๊ฒ ๋ํ๋ฌ์ผ๋ฉฐ, PSA ์จ๋๊ฐ ๋์ ์๋ก ๊ฒฐ์ ๋ฆฝ
ํฌ๊ธฐ๊ฐ ํฌ๊ฒ ๋ํ๋ฌ๋ค. ์ด๋ ์ด์ ํ์ฑํ์ ์ํ ๊ฒฐ์ ๋ฆฝ ์ฑ์ฅ์ ๊ธฐ์ธํ ๊ฒ์ผ๋ก ํ๋จ๋๋ค.
3) PSA ์จ๋์ ๋ฐ๋ผ โ20 ยฐC ์ถฉ๊ฒฉ์ธ์ฑ ํน์ฑ์ด ์์ดํ๊ฒ ๋ํ๋ฌ๋ค. PSA ์จ๋๊ฐ ๋ฎ์ ๊ฒฝ์ฐ ๊ฒฐ์ ๋ฆฝ ์ฑ์ฅ์ด ํ๋ฐํ ์งํ๋์ง ์์ ๊ฒฐ์ ๋ฆฝ ๋ฏธ์ธํ์
์ํด ๋์ ์ถฉ๊ฒฉ ์ ํญ์ฑ์ ๋ํ๋ผ ๊ฒ์ด๋ผ๋ ์์๊ณผ ๋ฌ๋ฆฌ ๊ฐ์ฅ ๋ฎ์ ์ถฉ๊ฒฉ์ธ์ฑ ๊ฐ๊ณผ ์ทจ์ฑํ๋จ์ ๋ณด์๋ค. ํํธ, PSA ์จ๋๊ฐ ๋์ ๊ฒฝ์ฐ ๋ชจ๋ ์ถฉ๊ฒฉ ์๋์ง
๊ฐ์ด ๋๊ณ ์ฐ์ฑํ๋จ์ ๋ณด์๋ค.
4) EBSD-KAM map๊ณผ TEM ๊ด์ฐฐ ๊ฒฐ๊ณผ, PSA ์จ๋๊ฐ ๋ฎ์ ๊ฒฝ์ฐ ์๋ฅ์๋ ฅ์ด ๊ฐ์ฅ ๋์ ์์ค์ผ๋ก ๊ด์ฐฐ๋์๋ค. ์ด๋ ๋ฎ์ ์จ๋์ ์ํด ์๋ฅ์๋ ฅ์ด
ํด์๋์ง ๋ชปํ ๊ฒฐ๊ณผ๋ก, ๊ฒฐ์ ๋ฆฝ ๋ฏธ์ธํ ํจ๊ณผ๋ณด๋ค ์๋ฅ์๋ ฅ์ ์ ๋๊ฐ ์ ์จ์ถฉ๊ฒฉ์ธ์ฑ์ ์ฃผ์ ์ธ์์ธ ๊ฒ์ผ๋ก ํ์ธ๋์๋ค.
Acknowledgements
This work was supported by the Development of Technology for Materials and Components
(Package-Type) funded by the Ministry of Trade, Industry & Energy (MOTIE, Korea) (20016064,
The development of ERW steel pipe manufacturing technology for oil/gas production
and transportation with โ45โ low temperature and HIC sour service). The authors also
acknowledge the financial support of the National Research Foundation of Korea (NRF)
grant funded by the Korean government (Ministry of Science and ICT/MSIT, RS-2023-00208509).
REFERENCES
Boyer C., Clark B., Jochen V., Lewis R., Miller C. K., Oilfield Review,23, 28 (2011)

Kushida T., Higuchi Y., Numata M., Yamamoto A., Ohnishi K., Teraguchi A., Fujino J.,
The Sumitomo Search,58, 24 (1996)

Hong H. U., Lee J. B., Choi H. J., Met. Mater. Int,15, 133 (2009)

Shin S. Y., Woo K. J., Hwang B., Kim S., Lee S., Metall. Mater. Trans. A,40, 867 (2009)

Cho C., Nam S., Yu S., Choi M., Kang N., Korean J. Met. Mater,60, 673 (2022)

Hwang C., Joe M., Kim S., Han D., Yoo K., Kim S., Kim Y., Lee S., Park J., Korean
J. Met. Mater,60, 873 (2022)

Bae D.-S., Baek U.-B., Nahm S.-H., Jo I., Met. Mater. Int,28, 466 (2022)

Kim Y. M., Lim Y. J., Kim N. J., ISIJ Int,42, 1571 (2002)

API Specification 5L, Specification for Line Pipe, 46th Edition, American petroleum
institute, (2018)
Hong H. U., Kim C. M., Lee J. B., Kim J. K., Korean J. Met. Mater,43, 729 (2005)

Sharma N. K., Kannan R., Li L., Anderson N., Rashid M., Collins L., Poplawsky J. D.,
Unocic R., Metall. Mater. Trans. A,40, 867 (2009)

Gรผngรถr ำฆ. E., Yan P., Thibaux P., Liebeherr M., Bhadeshia H. K. D. H., Quidort D.,
Proc. 8th Int. Pipeline Conf. (IPC2010), IPC2010-31372, 1ASME (2010)

Haga H., Aoki K., Sato T., Weld. Res. Suppl. June,104-s (1981)

Kim C.-M., Kim J.-K., J. Mater. Proc. Tech,209, 838 (2009)

Kim C.-M., Kim J.-K., Met. Mater. Int,15, 141 (2009)

Kim D., Kim T., Park Y. W., Sung K., Kang M., Kim C., Lee C., Rhee S., Weld. J. March,72-s
(2007)

Hasegawa N., Hamatani H., Fukami T., Nakaji T., Takeda Y., Motoyoshi T., Tanimoto
M., Ohsawa T., Nippon Steel & Sumitomo Metal Tech. Report,107, 114 (2015)

Chung P. C., Ham Y., Kim S., Lim J., Lee C., Mater. Des,34, 685 (2012)

Olabi A. G., Hashmi M. S. J., J. Mater. Process. Technol,56, 88 (1996)

Jo Y.-H., Kim T.-H., Kim C., Moon J., Lee C.-H., Jung S.-J., Hong H.-U., J. Weld.
Join,40, 295 (2022)

Bae S.-H., Kwon S.-I., Yoon J.-G., Lee J.-H., Do J.-H., Kim I.-S., Choi B.-G., Jo
C.-Y., Hong H.-U., Metall. Mater. Trans. A,45, 537 (2014)

Kim T.-H., Master Thesis,Changwon National University (2023)

ASTM A370-17a: Standard test methods and definitions for mechanical testing of steel
products (2017),
Liu D., Dong Y., Li R., Jiang J., Li X., Wang Z., Zuo X., Metals,12, 1616 (2022)

Yokoyama E., Yamagata M., Kano N., Watanabe S., Kawasaki Steel Giho,10, 23 (1978)

Loodgard L., Ryum N., Mater. Sci. Eng. A,283, 144 (2000)

Sim J.-H., Kim T.-Y., Kim J.-Y., Kim C.-W., Chung J.-H., Moon J., Lee C.-H., Hong
H.-U., Met. Mater. Int,28, 337 (2022)

Nes E., Ryum N., Hunderi O., Acta Metall,33, 11 (1985)

Park B.-H., Kim C., Lee K.-W., Park J.-U., Park S.-J., Hong H.-U., Metall. Mater.
Trans. A,52, 4191 (2021)

Seong D., An G., Park J.-U., J. Weld. Join,40, 16 (2022)

Figures and Tables
Fig. 1.
OM images of ERW seam welds showing the width of bondline and metal flow angle depending
on different heat inputs: (a) low heat input (279 kW), (b) moderate heat input (292
kW), and (c) high heat input (320 kW).
Fig. 2.
SEM images of ERW seam welds with different heat inputs: (a) low heat input (279 kW),
(b) moderate heat input (290 kW), and (c) high heat input (320 kW).
Fig. 3.
Results of EPMA analysis of the penetrators in ERW bondline with different heat inputs:
(a) low heat input (279 kW), (b) moderate heat input (292 kW), and (c) high heat input
(320 kW).
Fig. 4.
Schematic diagram showing the examined area for the calculation of PAR.
Fig. 5.
Results of CVN impact tests at โ20 ยฐC for ERW bondline with different heat inputs
(each test was conducted three times for the reproducibility).
Fig. 6.
SEM normal directional images of impact-fractured ERW bondlines with different heat
inputs: (a) low heat input (279 kW), (b) moderate heat input (292 kW), and (c) high
heat input (320 kW).
Fig. 7.
OM images showing the width of bondline and metal flow angle in the ERW seam welds
subjected to different PSA temperatures: (a) 870 ยฐC, (b) 950 ยฐC, and (c) 1040 ยฐC.
Fig. 8.
SEM images showing ERW seam welds subjected to different PSA temperatures: (a) 870
ยฐC, (b) 950 ยฐC, and (c) 1040 ยฐC.
Fig. 9.
SEM images showing ERW HAZ subjected to different PSA temperatures: (a) 870 ยฐC, (b)
950 ยฐC, and (c) 1040 ยฐC.
Fig. 10.
EBSD-Grain size maps showing grain size distribution near the bondline subjected to
different PSA temperatures: (a) 870vC, (b) 950 ยฐC, and (c) 1040 ยฐC.
Fig. 11.
Results of EPMA analysis showing Mn and C distribution near bondlines of (a) non-PSAed
and (b) PSAed (at 950 ยฐC).
Fig. 12.
The results of Vickers hardness measurement of ERW seam welds subjected to different
PSA temperatures: 870 ยฐC, 950 ยฐC, and 1040 ยฐC.
Fig. 13.
Results of CVN impact tests at โ20 ยฐC of ERW bondline subjected to different PSA temperatures
(each test was conducted three times for the reproducibility).
Fig. 14.
SEM normal directional images of impact-fractured ERW bondline subjected to different
PSA temperatures: (a) 870 ยฐC and (b) 1040 ยฐC.
Fig. 15.
KAM maps of ERW seam welds subjected to different PSA temperatures: (a) 870 ยฐC and
(b) 1040 ยฐC.
Fig. 16.
TEM images of CGHAZs taken by FIB sampling of ERW seam welds subjected to different
PSA temperatures: (a) 870 ยฐC and (b) 1040 ยฐC.
Table 1.
Chemical composition of hot-rolled API X70 coil (all in wt %).
|
Fe
|
C
|
Si
|
Mn
|
Nb + V + Ti
|
Cr
|
Cu
|
Ni
|
P
|
S
|
|
Bal.
|
0.05
|
0.16
|
1.15
|
โค 0.15
|
โค 0.3
|
โค 0.3
|
โค 0.3
|
0.0068
|
0.0008
|
Table 2.
ERW welding and PSA heat treatment conditions of API X70 ERW linepipe.
|
|
ERW Condition
|
PSA Temp. (ยฐC)
|
|
Voltage (V)
|
Current (A)
|
Heat input (kW)
|
|
Low heat input
|
310
|
901
|
279
|
950
|
|
Moderate heat input
|
320
|
915
|
292
|
|
High heat input
|
335
|
958
|
320
|
|
Low PSA temperature
|
320
|
915
|
292
|
870
|
|
High PSA temperature
|
320
|
915
|
292
|
1040
|