홍석민
(Seokmin Hong)
1
이초롱
(Cho-Long Lee)
12†
이봉상
(Bong-Sang Lee)
1
김홍덕
(Hong-Deok Kim)
3
김민철
(Min-Chul Kim)
1*
-
한국원자력연구원재료안전기술연구부
(1Materials Safety Technology Research Division, Korea Atomic Energy Research Institute,
Daejeon, 34057, Republic of Korea)
-
과학기술연합대학원대학교, 양자에너지화학공학
(2Quantum Energy Chemical Engineering, University of Science & technology, Daejeon,
34113, Republic of Korea)
-
한국수력원자력㈜중앙연구원, 재료기기그룹
(3Korea Hydro & Nuclear Power Co. Ltd., Central Research Institute, Materials Engineering
Group, Daejeon, 34101, Republic of Korea)
Copyright © 2023 The Korean Institute of Metals and Materials
Key words
Reactor pressure vessel, Ni-Cr-Mo low alloy steel, SA508 Gr.4N, temper embrittlement, Intercritical heat treatment
1. 서 론
전세계적으로 증가하는 전기 수요와 탄소중립을 동시에 실현하기 위해서 원자력발전의 필요성은 나날이 증대되고 있다. 현재 원자력발전은 원전의 활용성 확대를
위한 소형 모듈원전(SMR, Small Modular Reactor)의 개발이 주도적으로 이뤄지고 있다[1, 2]. 현재 소형모듈원전은 원전 설계 수명 80년 이상을 목표로 개발되고 있어 장기 사용에 따른 재료열화에도 기기 건전성을 유지하는 것 중요하다. 원자로압력용기는
가동 후 교체가 불가능한 부품으로 고에너지 중성자 조사로 인해 인성이 감소하고 천이온도가 증가하는 중성자 조사취화가 발생하기 때문에 원자력발전소의
수명을 결정짓는 핵심부품이다. 따라서 원자로 압력용기강은 높은 강도와 인성, 내방사선 특성을 갖는 소재의 활용이 필요하다 [3-7]. 소형모듈원전의 경우 적은 발전용량으로 인한 경제성 감소를 극복하기 위해, 원전 기기를 공장에서 제작 후 부지로 이동시켜 설치하는 방법으로 건설
기한과 비용을 단축시키고자 한다. 따라서 원자로압력용기와 같은 대형 기기들도 육상 운송을 위해서 무게를 감소시킬 필요성이 있다. 무게를 감소시키기
위해서 고강도강 활용을 통해 원자로압력용기의 두께를 감소시켜야 한다. 이를 위해 기존 상용 원자로압력용기강에 적용되던 SA508 Gr.3 Cl.1
저합금강보다 우수한 강도와 인성을 갖는 SA508 Gr.4N 강의 적용을 고려한 연구가 진행되고 있다 [8-16].
SA508 Gr.4N 강은 Ni-Cr-Mo계 저합금강으로 아직 실제 원자력환경에 적용된 사례는 없으나, 원전 적용을 위해서는 장기 사용에 대한 연구가
진행중이다. Ni은 조사취화에 취약한 원소로 Ni이 많이 포함된 SA508 Gr.4N강의 중성자 조사취화에 대한 특성평가 연구는 진행되었지만 [17], 열적 안정성과 관련된 템퍼취화에 대한 연구결과는 미흡하다. 기존 연구결과에서 SA508 Gr.4N강과 합금성분이 비슷한 rotor steel이나
Ni-Cr-Mo-V 과 같은 저합금강에서 템퍼취화가 발생하는 것으로 보고되었기 때문에 [18], 실제 원자로압력용기의 가동온도는 템퍼취화가 발생하는 온도보다 낮지만 SA508 Gr.4N강에서도 장기간 가동시 템퍼취화가 발생할 잠재적 위험이
있다. SA 508 Gr.4N 강의 템퍼취화를 연구한 기존 연구결과에서 450°C에서 장기간 열처리 했을 때 입계가 취화되며 천이특성 및 연신율이
저하되는 것을 나타났다 [19]. 원자로압력용기는 가동 후 교체가 불가능한 원자력발전소 핵심기기로 장기가동에도 안전성이 확보되어야 하기 때문에 템퍼취화에 대한 안전성 평가 및
완화를 위한 연구가 필수적이다.
템퍼취화는 300°C~500°C 온도에 금속재료가 장시간 노출될 때 P, Sn, As, Sb와 같은 불순물들의 입계편석 혹은 입계 석출물의 조대화로
인성이 감소하는 현상으로 알려져 있다 [20-22]. 템퍼취화 완화를 위해서는 입계 불순물과 석출물 생성을 최소화 할 필요가 있다. 이상영역열처리(intercritical heat treatment,
IHT)는 페라이트와 오스테나이트 상이 공존하는 온도 영역에서 유지한 후 냉각하여 페라이트 기지에 소량의 마르텐사이트 상을 분산시키는 열처리로 SA508
Gr.1a와 Gr.3 강에 적용시 조대한 탄화물의 미세화 및 결정립 크기 감소로 인성을 향상시키는 것으로 연구되었다 [23-26]. 이상영역열처리를 통해 SA508 Gr.4N의 결정립계 특성을 변화시킨다면 인성과 템퍼취화 저항성을 향상시킬 가능성이 있다. 따라서 이번 연구에서는
SA508 Gr.4N 강의 인성향상 및 템퍼취화 현상 완화를 위해서 SA508 Gr.4N 저합금강의 템퍼취화 현상을 연구하고, 이상영역열처리가 템퍼취화
거동에 미치는 영향을 평가하였다. 미세조직과 결정립계 분석을 통해 결정립계 특성변화가 템퍼취화에 미치는 영향을 분석하였다.
2. 실험방법
본 연구에 사용된 소재는 ASME 규격내 SA508 Gr.4N 강 성분조성을 바탕으로 대형 모델합금 A강과 템퍼취화 영향을 극대화하기 위해 불순물
인(P)의 함량을 ASME 기준 규격에서 최대치로 조절한 소형 모델합금 B강을 사용하였다. 대형모델합금의 A강의 경우 1톤 규모의 잉곳(ingot)을
진공유도용해법으로 제작하였다. 이후 표면 연마 후 최종 규격(L 3900 mm, W: 170 mm, T: 150 mm)이 되도록 열간단조 하였다.
그 후 열처리를 위해 두께 35 mm의 블록으로 절단한 뒤 열처리 하였다. 템퍼취화 영향을 보기 위해 불순물 인의 함량을 극대화시킨 B강은 50 kg
규모로 진공유도용해로 제작 후 최종 두께 35 mm 이상이 되도록 열간압연하여 제작하였다. 두 모델합금의 목표 조성과 방출분광분석으로 분석한 화학성분을
표1에 나타내었다. 대형 모델합금 A강의 경우 목표조성과 실제 성분분석 결과가 잘 일치하였다. 소형 모델합금 B강의 경우 인의 목표 조성은 0.02
wt.% 였으나, 실제로는 0.029 wt.%로 제작되어 불순물의 함량이 더 높게 제작되었다. 하지만 P 첨가량은 템퍼취화 영향을 극대화해서 관찰하기
위한 목적으로 인위적으로 P의 함량을 높인 강이기 때문에, P의 과다첨가는 템퍼취화를 연구하는데 문제가 없다고 판단된다.
제작된 모델합금은 1200°C에서 균질화 열처리 후 880°C에서 2시간동안 오스테나이트화 열처리 및 공랭시킨 뒤 660°C에서 10시간 템퍼링하는
품질열처리를 수행하였다. 실제 원자로압력용기강의 제작은 수냉하여 냉각하나, 소형 블록을 활용한 이번 연구에서는 두꺼운 압력용기의 수냉시의 냉각속도를
모사하기 위해서 공냉하였다. 기존 연구결과에서 원자로압력용기강의 1/4T 위치에서의 냉각속도는 두께 대략 35 mm 블록의 공냉속도와 유사하다고 확인되었다
[27,28]. 템퍼취화를 모사하기 위한 템퍼취화 열처리는 스텝쿨링(step-cooling) 열처리[29]를 적용하였다. 템퍼취화는 450°C에서 가장 잘 발생하며 2000 hr정도에서 템퍼취화가 포화된다고 보고되었다 [19.30]. 스텝쿨링 열처리는 배관재 용접부에서 주로 사용되는 열처리 방법으로 취화 열처리 효과가 장기 열처리와 큰 차이가 없으며 시간 또한 2000시간에서
약 200시간 정도로 감소하여 배관재 용접부의 열취화 연구에서도 사용되었다. 이상영역열처리는 오스테나이트화 열처리 이후 770°C에서 6시간 유지후
공랭하였다. 이상영역열처리 온도는 dilatometer와 DSC, Andrew [31] 식으로 구한 Ac1, Ac3를 기준으로 결정하였다. 시험에 사용된 열처리 공정을 그림1에 나타내었다. 열처리 방법에 따라 원자로용기강의 품질열처리인 칭과 템퍼링을 모사한 열처리
시험편은 R(regular)로, 모사 품질열처리 이후 스텝 쿨링 열처리를 적용한 템퍼취화 시험편은 RE(regular & temper embrittlement)로,
모사 품질열처리에 이상영역열처리를 포함한 시험편은 I (IHT)로, 모사 품질열처리, 이상영역열처리와 템퍼취화 열처리를 한 시험편은 IE (IHT
& temper embrittlement)로 강종 뒤에 열처리방법을 함께 표기하였다.
미세조직 분석을 위해 종축-횡축 (Longitudinal-transverse, L-T)면을 연마 후 3% 나이탈 용액으로 에칭한 뒤 광학현미경과 주사전자현미경을
이용하여 미세조직을 관찰하였다. 인장시험은 ASTM E8M [32] 방법에 따라 T 방향으로 봉상 (표점거리 25 mm, 지름 6.25 mm) 시편을 가공한 뒤 유압식 재료시험기(model MTS 810, MTS
Corp., USA)를 사용하여 strain rate 4.6 × 10-4으로 상온과 288°C에서 실험하였다. 응력-변형률 곡선으로부터 0.2% off-set한 유동응력을 항복강도로 하고, 인장강도, 연신율을 측정하였다.
샤르피 충격시험은 ASTM E23[33]에 따라 표준 Charpy 시편을 사용하였으며, 충격 시험기(SATEC SI1D3, SATEC, USA)를 이용하여 -196~200°C의 온도범위에서
시험하였다. 저온은 이소펜탄을 냉매로 이용하여 액체질소 간접 분사방식으로 시험온도 편차를 ±0.5°C 이내로 조절하였고, 상온 이상의 고온은 물과
실리콘 오일을 가열하여 ±1°C 이내로 조절하여 시험을 진행하였다. 온도별 충격흡수에너지 값을 hyperbolic tangent (TANH) fitting
함수를 이용하여 회귀분석하여 에너지 천이온도 (Energy Transition Temperature, ETT), 상부흡수에너지 (Upper Shelf
Energy, USE), Index temperature T41J을 측정하였다. Index temperature T41J은 Charpy 흡수에너지가 41J일 때의 온도로 원자로용기강의 천이특성을 평가할 때 쓰이는 온도다.
3. 결 과
3.1. 이상영역열처리 온도 결정
이상영역열처리시 온도 결정을 위해서 A강의 dilatometer와 DSC(Differential scanning calorimetry) 분석과 다음의
Andrew 식을 통한 상변태 예측온도를 구하였다. Dilatometer 시험은 승온속도 3°C/min, 10°C/min, 28°C/min 세 조건에서
수행하였고, DSC 시험은 10°C/min의 속도로 승온 및 냉각하면서 수행하였다. 시험결과로부터 접선 교차점 방식을 이용하여 Ac1, Ac3 온도를 결정하였다. 그림 2에 승온 속도 3°C/min의 dilatometer 시험결과와 DSC 시험결과를 나타내었다. 또한 다음의 Andrew[28] 식을 통한 상변태 예측온도도 함께 구하였다.
AC1(°C) = 723-10.7Mn-16.9Ni+29.1Si+16.9Cr+290As+6.38W
AC3(°C) = 910-203 C-15.2Ni+44.7Si+104V+31.5Mo+13.1W
Additional factor : -(30Mn+11Cr+20Cu-700P-400Al-120As-400Ti)
표 2에 dilatomter 분석, DSC 분석, Andrew 식으로 구한 Ac1, Ac3 온도를 비교하여 나타내었다. Ac1, Ac3 상변태 온도는 측정방법 및 승온 속도에 따라 차이가 발생하였다. 실제 실험시의 승온속도를 고려하여 이상영역열처리 온도는 온도는 770°C로 설정하였다.
기존 SA508 Gr.1A, Gr.3 강의 이상영역열처리인 720°C~725°C 보다는 다소 높은 온도에서 이상영역열처리를 수행하였다 [26, 34].
3.2. 미세조직
대형모델합금 AR, ARE, AI, AIE시편과 불순물이 많은 소형모델합금 BR, BRE, BI, BIE 시편의 미세조직 및 석출물 SEM 이미지를
그림 3와 4에 나타내었다. AR 시편은 하부베이나이트와 마르텐사이트가 혼재된 복합조직을 보여주었다. 구오스테나이트 결정립계가 남아있는 것을 관찰할 수 있었고,
구오스테나이트 결정립계에서 내부로 래쓰들이 미세하게 형성되었으며, 래쓰 내부의 입계 및 입내에 수십 nm 크기의 석출물들이 균일하게 분포하고 있다.
이상영역열처리를 적용한 AI 시편도 AR 시편과 유사한 미세조직을 보여주었으나, 구오스테나이트 결정립크기가 더 미세해졌다. 석출물 크기는 뚜렷한 차이를
나타내지 않았다. 템퍼취화 열처리를 수행한 ARE, AIE시편에서도 템퍼취화 열처리로 인한 미세조직의 변화는 관찰되지 않았다. B강의 경우도 A강과
동일한 미세조직을 보여주었으나, A강에 비해서 구오스테나이트 결정립계 크기가 크게 형성된 것을 볼 수 있다.
템퍼취화된 시험편들의 이상영역열처리에 따른 결정립 크기와 불순물 편석 변화를 보여주기 위해 과포화된 피크릭산 용액에 습윤제(wetting agent)인
나트륨 트리데실벤젠설포네이트(sodium tridecylbenzene sulfonate)를 첨가하여 상온에서 2시간 30분동안 결정립계 에칭을 수행한
뒤 [35,36], 광학현미경을 활용하여 미세조직을 관찰하였다 (그림 5). A강과 B강 모두 이상영역열처리를 적용했을 때 구오스테나이트 결정립계 크기가 크게 감소한 것을 볼 수 있다. ASTM E1382 [37]의 기준에 따라 교차점 도수법을 이용하여 저배율 사진으로부터 결정립크기를 측정한 결과 A강은 이상열처리 전에는 30 µm 이상영역열처리 후에는 20
µm로 결정립 크기가 감소했고, B강은 101 µm에서 56 µm로 이상영역열처리 적용시 구오스테나이트 결정립 크기가 크게 감소하였다.
3.3. 기계적성질
A강과 B강들의 상온, 288°C 인장시험 하중-변위 곡선을 그림 6에 나타내었으며, 항복강도, 인장강도, 연신율을 표 3에 정리하였다. AR 시편은 상온에서 항복강도 573 MPa, 인장강도 729 MPa, 연신율 17%를 보여주었으며, 288°C에서는 강도와 연신율이
모두 감소하였다. 이상영역열처리후 항복강도는 10~20 MPa 정도 감소하였으나, 연신율은 1~2% 정도 증가하였다. 또한 템퍼취화 열처리시에도 10~30
MPa 정도의 항복강도 감소가 나타났으나, 연신율의 큰 변화는 나타나지 않았다. B강은 A강 보다 10~30 MPa 정도 더 높은 강도를 보여주었으나,
열처리 방법에 따른 인장특성 변화는 A강과 유사하게 나타났다.
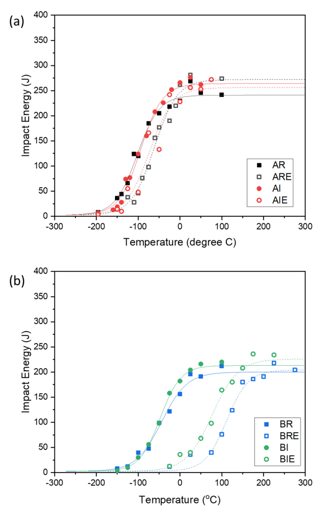
A강과 B강의 온도별 충격흡수에너지와 천이곡선을 그림 7에 나타내었으며, 천이곡선으로부터 구한 상부흡수에너지 (USE), 연성취성 천이온도(DBTT), index 온도(T41J, T68J) 값을 표 4에 정리하였다. AR 시편의 경우 USE는 241J, DBTT -103°C, T41J -140°C로 우수한 인성과 천이특성을 보여주었다. 템퍼취화 열처리시 USE는 30J 증가하였으나 DBTT는 40°C, T41J은 30°C 증가해 천이특성은 저하되는 것으로 나타났다. 이상영역열처리를 적용한 AI 시편은 AR 시편보다 상부흡수에너지는 증가하고 천이특성에는 큰
차이를 보이지 않았다. 다만 이상영역열처리 후 템퍼취화 열처리를 한 AIE 시편의 경우에는 DBTT와 T41J은 각각 20°C 증가하여 템퍼취화에 의한 천이온도 증가량이 감소하는 것으로 나타났다. 불순물 인의 함량이 높은 BR 시편의 경우 인장시험과 다르게
AR 시편보다 상부흡수에너지는 40J 감소하고 DBTT는 60°C 증가해 충격특성이 크게 감소하였다. 이상영역열처리를 적용한 BI 시편은 상부흡수
에너지는 증가하고 DBTT는 감소해 충격특성이 향상되었다. 템퍼취화 열처리를 수행한 BRE 시편은 DBTT는 155°C, T41J은 160°C 가량 증가해 템퍼취화 열처리로 인해 충격천이온도 증가가 매우 크게 나타났다. 이상영역열처리 후 템퍼취화 열처리를 수행한 BIE 시편도
템퍼취화 열처리로 인해 DBTT는 125°C, T41J은 113°C 증가해 천이온도 열화가 크게 나타났지만, BRE 시편보다 천이온도 증가량은 크게 감소하였다.
4. 고 찰
상부 베이나이트가 주요 미세조직인 SA508 Gr.3강과는 다르게 SA508 Gr.4N강에서는 저온변태상인 하부 베이나이트와 마르텐사이트가 주요 미세조직으로
형성되었다. 이는 Ni, Cr 함량 증가로 인해 경화능이 향상되었기 때문이다. 석출물 생성 거동 역시 Mn-Mo-Ni계 SA508 Gr.3에서는 석출물이
래스 사이에 조대한 세멘타이트가(Fe3C)가 주로 생성되는 것과 다르게 SA508 Gr.4N은 낮은 온도에서 상변태로 인해 베이나이트 래스 입계 및 입내에 수십 nm크기의 미세하게 석출되었다.
기존 연구에서 SA508 Gr.4N의 석출물들의 TEM 분석결과 면심입방격자 (face centered cubic, fcc) 구조를 갖는 Cr계 탄화물인
Cr23C6로 밝혀졌다 [9, 38].
이상영역열처리 적용 후에도 미세조직은 하부 베이나이트와 마르텐사이트로 구성되어 있어 전체적인 미세조직의 모습은 변화하지 않았으나, 구오스테나이트 결정립계
크기가 감소하였다. 이는 이상영역열처리로 인해 구오스테나이트 결정립계 혹은 래쓰 결정립계에서 새로운 오스테나이트가 생성되고 다시 냉각하는 과정에서
다시 마르텐사이트와 베이나이트로 변태하면서 새로운 오스테나이트 결정립계가 남아있기 때문이다 [39,40]. 석출물의 경우에는 수십 nm 크기로 미세하기 때문에 SA508 Gr.3 Cl.1 강의 이상영역 열처리에서 나타나는 것과 같은 석출물 미세화 효과는
뚜렷하게 관찰할 수 없었다. 이러한 경향은 불순물의 함량이 높은 B강에서도 동일하게 나타났다. 다만 B강은 A강보다 구오스테나이트 결정립계 크기가
조대하였다. 이는 잉곳 제작시 잉곳 크기차이로 인해 제작시 단조량의 차이로 발생한 것으로 판단된다.
SA508 Gr.4N 강은 하부 베이나이트와 마르텐사이트 같은 저온변태상 형성과 입내 및 입계에 분포하고 있는 미세한 석출물의 형성으로 항복강도는
570MPa 이상으로 일반적으로 450MPa 전후의 항복강도를 갖는 SA508 Gr.3 강에 비해 더 높은 강도를 보여주었다. 이는 마르텐사이트와
같은 저온변태상은 변태 과정 중 체적 팽창에 의해 생성된 전위로 인해 더 높은 전위밀도를 가지고 있어 전위의 이동을 방해하여 기지의 강도를 올리기
때문이다 [41]. 이상영역열처리시 항복강도는 10~20MPa 정도 감소했지만 연신율은 1~2% 정도 증가하였다. SA508 Gr.3, Gr.4N과 같은 고강도
SA508강에서 이상영역 열처리시 강도 감소가 발생하는데 이는 이상영역열처리 온도에서 오스테나이트로 변태하지 못한 저온변태상 기지에서 overtempering으로
인한 전위밀도 감소로 인한 기지 연화로 인한 것으로 판단된다. 템퍼취화 열처리시 상온 항복강도 변화는 적은 반면 인장 강도는 소폭 감소하였다. 하지만
288°C에서는 항복강도와 인장강도가 더 크게 감소하였다. 인의 함량이 높은 B강은 A강보다 강도가 더 높게 나타났으며, 특히 인장강도의 증가는 항복강도
증가보다 더 크게 나타났다. 이는 인은 페라이트의 고용강화를 일으키는 원소로, 탄소와 질소를 제외하면 가장 강력한 고용강화 원소 중 하나로 첨가량이
작지만 그 효과가 크기 때문이다 [20,42,43]. 불순물이 많은 B강도 열처리에 따른 강도변화는 A강과 동일한 경향을 보여주었다.
열처리 방법에 따라 인장특성이 큰 차이가 나지 않은 반면에 충격특성은 열처리 방법과 불순물의 함량에 따라 큰 차이가 나타났다. 이상영역열처리 적용시
상부흡수에너지가 소폭 증가하지만 천이온도에는 큰 차이가 없었다. 템퍼취화 열처리시 상부흡수에너지는 소폭 증가하지만 천이온도는 크게 증가하였다. 이상영역열처리
적용 후 템퍼취화 열처리를 한 경우 천이온도 증가량이 감소하였다. 불순물 함량이 많은 B강은 A강보다 상부흡수에너지는 감소하고 천이온도가 크게 증가하였다.
특히 템퍼취화 열처리시 천이온도 증가량이 100°C 이상으로 매우 크게 나타났다. 시편 및 열처리에 따른 충격천이특성 변화 원인 분석을 위해 A강
B강들의 천이온도 구간에서 파단된 충격시편 파면사진을 그림 8, 9에 나타냈다. A강의 경우 AR 시편은 저온에서 벽개파괴로 파단되었다. 템퍼취화 열처리를 한 ARE 시편의 경우 벽개파괴와 약간의 입계파괴가 혼재된
모습을 보여주었고, 입계 균열이 관찰되었다. 이상영역열처리를 적용한 AI 시편은 벽개파괴로 파단되었지만, 템퍼취화 열처리 적용에도 벽개파괴로 파단되었고,
다수의 짧은 입계 균열이 관찰되었지만 입계파괴는 발생하지 않았다. B강의 경우 BR 시편은 템퍼취화 열처리 없이도 입계파괴와 벽개파괴가 혼재된 파면
양상을 보였다. 템퍼취화 열처리 적용한 BRE 시편은 완전 입계파괴로 파단되었다. 이상영역열처리를 적용한 BI 시편의 경우 입계파괴는 관찰되지 않는
완전 벽개파괴로 파단되었으며, 템퍼취화 열처리를 한 BIE 시편은 벽개파괴와 입계파괴가 혼재된 파면의 형태를 보여주었다. 또한 입계파면 주변에 ductile
shear가 동반된 형태로 입계파괴가 형성되어 BRE 시편의 입계파면모습과는 차이가 있었다.
SA508 Gr.4N 강에서 템퍼취화가 발생하며, 인의 함량이 많은 B강이 A강보다 더 많은 입계파괴 형태를 보이는 것을 볼 수 있다. 철강에서 인은
강도를 강화하는 역할이 있지만 결정립계에 편석되어 결정립계를 약화시켜 충격인성을 약화시키는 원소로 알려져 있다[20-22, 43-46]. B강에서의 상부흡수에너지 감소, 천이온도 증가와 같은 충격특성 감소는 인의 결정립계 편석으로 인한 결정립계 약화가 주요 원인으로 작용하는 것을
볼 수 있다. A강과 B강 모두 템퍼취화 열처리 시 천이온도에서 입계파괴가 촉진되고 입계균열이 생성을 관찰할 수 있다. 이는 템퍼취화로 인한 충격특성
감소의 주요 원인이 결정립계 약화로 발생한 것을 의미한다. 주목할 만한 점은 A강과 B강 모두 이상영역 열처리 적용시 입계파괴 발생이 감소한다는 것이다.
결정립계 입계 편석의 영향을 살펴보기 위해서 BRE, BIE 시편을 -196°C의 고진공에서 파단시킨 후 Auger electron spectroscopy(AES)를
통해서 입계표면에서의 화학성분을 분석하고 sputtering 분석을 통해 깊이에 따른 화학성분 분석을 수행하였다. AES 분석결과를 그림 10과 같이, BRE 시편의 입계파면에서는 평균 Fe 76.3 at.%, P 10.2 at.%, Ni 8.5 at.%, Cr. 5.1 at.%가 검출되었고,
BIE 시편에서는 평균 Fe 80.3 at.%, P 8.8 at.%, Ni 8.0 at.%, Cr 2.9 at.%가 검출되었다. 이상영역열처리 적용
시편의 입계에서 인의 편석 정도가 감소한 것을 확인할 수 있다. 이러한 경향은 스퍼터링(sputtering)을 이용한 입계 파면 깊이 분석에서 더
뚜렷하게 관찰할 수 있다. BRE 시편의 경우 73nm 깊이부터 표면으로 갈 수록 인의 편석이 급격히 증가 하였다. 또한 Ni 역시 인과 마찬가지로
표면에서 편석이 발생한 것을 확인할 수 있다. 이는 Ni은 Sb, P, Sn과 같은 불순물들과의 강력한 상호작용으로 불순물과 함께 결정립계에 편석해
Ni-Cr 강에서 천이온도를 올린다고 보고되고 있다 [19,23]. 또한 Cr은 Ni과 P의 편석을 촉진하는 것으로 알려져 있다[23]. 이러한 경향은 SA508 Gr.4N강의 템퍼취화를 연구한 기존 연구결과에서도 나타나며, P, Mn, Ni, Cr의 함량이 증가할수록 템퍼취화로
인한 천이온도 증가가 많이 나타난다고 보고되고 있다 [19]. 이상영역열처 리를 적용한 BIE 시편의 경우 21 nm 깊이부터 인과 Ni의 편석이 나타나 편석이 나타나는 깊이가 감소했고, 표면에서의 편석량도
감소하였다. 이상영역열처리 적용은 표면에서의 불순물 편석량과 깊이를 크게 감소시켜 템퍼취화 저항성을 증가시킬 수 있었다. 일반적으로 석출물 거동의
변화 역시 취성파괴에 큰 영향을 주는 원인으로 알려져 있으나, 이번 연구에서는 열처리 방법에 따라 석출물의 생성 거동에 큰 변화가 없었다. 또한 파면
관찰시 템퍼취화 열처리로 인해 나타나는 주요 취화기구가 입계파괴로 작용하는 것으로 보아 석출물 거동 변화가 템퍼취화에 미치는 영향은 미미할 것으로
판단된다.
이상영역열처리가 결정립계 편석에 미치는 영향을 분석하기 위해 BRE, BIE 시편의 결정립계 특성을 EBSD (electron back scattered
diffraction)를 통해 분석하였다. EBSD IQ (image quality) map에 15~55° 방위를 갖는 고경각 랜덤 결정립계(high
angle random boundary)와 CSL (coincidence site lattice) 결정립계(3 boundary)를 각각 파란색과 빨간색으로
구별하여 그림 11에 나타냈다. 구오스테나이트 결정립계는 고경각 랜덤 결정립계로 형성되었고, 마르텐사이트 래스 결정립계는 CSL 결정립계로 형성된 것을 볼 수 있다.
3 결정립계는 {111} 방위에서 60° 방위관계를 갖는 특수한 결정립계로 결정립계 에너지가 현저히 낮은 결정립계인 반면 고경각 랜덤 결정립계는 결정립계
에너지가 높은 결정립계로 알려져 있다 [19, 47]. 인의 편석은 상대적으로 에너지가 높은 결정립계에서 편석되는 것으로 보고된다 [48]. 이상영역열처리는 구오스테나이트 결정립 크기를 감소시켜 구오스테나이트 결정립계를 많이 만들기 때문에 인의 편석을 분산시켜 템퍼취화 저항성을 향상시키는데
기여한다. 게다가 고경각 입계 형성은 균열전파 저항성을 증가시켜 인성을 향상시키는 것으로 보고되고 있기 때문에 결정립 미세화로 인한 인성 향상을 기대할
수 있다 [26, 49-51].
이번 연구를 통해서 SA508 Gr.4N강에서 템퍼취화 발생은 불순물 편석에 의한 결정립계 접촉에너지 감소가 주요 원인으로 작용하고, 이상영역열처리는
구오스테나이트 결정립계 형성증가로 불순물 편석 집중도를 감소시켜 템퍼취화 저항성을 향상시키는 것을 확인할 수 있었다. 인위적으로 불순물 인을 많이
넣은 B강에서는 취화특성이 좋지 않았지만, 불순물을 조절한 A강에서는 템퍼취화가 발생함에도 현재 상용 원전 원자로압력용기강에 사용중인 SA508 Gr.3
Cl.1강보다 낮은 천이온도를 보여주었다.
5. 결 론
본 연구에서는 이상영역 열처리 적용이 SA508 Gr.4N Ni-Cr-Mo계 저합금강의 템퍼취화 거동에 미치는 영향을 평가하였다. 이를 위해 불순물
인의 함량이 다른 두 종류의 SA508 Gr.4N 모델합금을 제조한 뒤 이상영역열처리와 템퍼취화 열처리 적용에 따른 기계적특성 변화를 평가하고, 미세조직
및 파면 분석을 통해 이상영역열처리가 템퍼취화 거동이 미치는 영향을 고찰하였다.
1. SA508 Gr.4N 강의 미세조직은 구오스테나이트 결정립계에서 결정립계 내부로 래쓰가 미세하게 형성된 하부 베이나이트와 마르텐사이트의 복합조직으로
되어 있으며,래스 내부 및 입계에 수십 nm 크기의 석출물이 미세하게 형성되어 있었다. 이상영역열처리 적용시 구오스테나이트 결정립계 미세화로 결정립
크기 감소가 발생했지만, 석출물의 크기는 열처리 방법 차이에 따라 큰 차이를 보이지 않았다.
2. 이상영역열처리 적용시 항복강도는 10~20 MPa 정도 소폭 감소하지만 연신율은 1~2% 정도 증가하였다. 스텝쿨링을 통한 템퍼취화 열처리시
대략 20 MPa 정도의 항복강도 감소가 나타났다. 불순물 P의 함량이 높은 B강은 P의 고용강화 효과로 인해 10~30 MPa 정도 더 높은 강도를
보여주었다. 열처리에 따른 인장특성 변화 거동은 A강과 B강이 유사하게 나타났다.
3. SA508 Gr.4N강의 템퍼취화 열처리시 천이온도가 증가하는 템퍼취화 현상이 나타났다. 불순물 P의 함량이 높은 강에서 충격특성은 감소하고,
템퍼취화도 더 크게 나타났다. 파면분석결과 템퍼취화시 입계파괴가 증가했으며, Ni이 P와 같은 불순물과 함께 결정립계에 편석으로 템퍼취화가 발생하였다.
4. 이상영역열처리를 적용한 SA508 Gr.4N강은 템퍼취화 열처리시 천이온도 증가가 적게 발생했다. 이상영역열처리를 적용한 시편은 템퍼취화 열처리
후 입계파괴 발생이 감소하였고, 입계파면에서의 불순물의 편석량과 편석이 발생하는 깊이가 감소하였다. 이는 이상영역열처리는 결정립계 에너지가 높은 고경각
랜덤 결정립계를 갖는 구오스테나이트 결정립계를 형성시켜 입계에 편석되는 불순물을 분산시켜 템퍼취화 저항성을 증가시키기 때문이다.
Acknowledgements
이 성과는 정부(과학기술정보통신부)의 재원으로 한국연구재단의 지원을 받아 수행된 연구임 (No. RS-2022-00144399)
REFERENCES
OECD_NEA, Small Modular Reactors: Challenges and Opportunities,Nuclear Technology
Development and Economics (2021)

이 지민, 소형모듈원자로(SMR) 해외 기술개발 동향, 한국원자력연구원원자력정책 Brief Report,64, (2022)

Chapelle B., Nucl. Energy,31, 417 (1992)

Druce S. G., Edward B. C., Nucl. Energy,19, 347 (1980)

Suzuki K., Sato I., Tsukada H., Nucl. Eng. Des,151, 523 (1994)

Hong S., Lee C., Kim M.C., Lee B.S., Korean J. Met. Mater,55, 752 (2017)

Hong S., Song J., Kim M.C., Choi K.J., Lee B.S., Met. Mater. Int,22, 196 (2016)

Lee B.S., Kim M.C., Yoon J.H., Hong J.H., Int. J. Pres. Ves. Pip,87, 74 (2010)

Kim M.C., Park S.G., Lee K.H., Lee B.S., Trans. of the KPVP,10, 100 (2014)

Kim M.C., Lee B.S., Lee K.H., Kim W.W., Proc. ASME 2010 Pres. Ves. Pip., PVP2010-26002,ASME,
Vellevue (2010)

Lee K.H., Park S.G., Kim M.C., Lee B.S., Wee D.M., Mater. Sci. Eng. A,529, 156 (2011)

Lee K.H., Park S.G., Kim M.C., Lee B.S., Mater. Sci. Eng. A,534, 75 (2012)

Park S.G., Kim M.C., Lee B.S., Wee D.M., J. Nucl. Mater,407, 126 (2010)

lee K.H., Kim M.C, Lee B.S., Wee D.M., J. Nucl. Mater,403, 68 (2010)

Kim M.C., Park S.G., Lee K.H., Lee B.S., Int. J. Pres. Ves. Pip,131, 60 (2015)

Lee K.H., Jhung M.J., Kim M.C., Lee B.S., Nucl. Eng. Tech,46, 413 (2014)

Kim M.C., Lee B.S., Proc. ASME 2010 Pres. Ves. Pip., PVP2016-63446,ASME (2016)

Bandyopadhyay N., Briant C. L., Hall E. L., Metall. Trans. A,16A, 721 (1985)

Park S.G., Ph. D. Thesis,KAIST (2011)

Bhadeshia H.K.D.H., Honeycombe S.R., Steels,Butterworth-Heinemann (2006)

Arabi H., Mirdamadi S., Abdolmaleki A. R., ISIJ Int,47, 1363 (2007)

Smith J. F., Reynolds J. H., Southworth H. N., Acta Metall,28, 1555 (1980)

Ahn Y.S., Kim H.D., Byun T.S., Oh Y.J., Kim G.M., Hong J.H., Nucl. Eng. Des,194, 161
(1999)

Ahn Y.S., Kim G.M., Oh Y.J., Hong J.H., Kim H.D., Korean J. Met. Mater,38, 466 (2000)

Ahn Y.S., Oh Y.J., Kim G.M., Hong J.H., Korean J. Met. Mater,38, 1309 (2000)

Hyun S.M., Hong S., Kim M.C., Sohn S.S., Met. Mater. Int,28, 2907 (2022)

Hong S., Min K.D., Hyun S.M., Kim J., lee Y.S., Kim H.D., Kim M.C., Int. J. Pres.
Ves. Pip,191, 104359 (2021)

Kim J.T., J. Kor. Ins. Mech,37, 43 (1997)

Woodford D. A., Stepien R. W., Metall. Trans. A,11A, 1951 (1980)

Visanahan R., Dherlock T.P., Metall. Trans,3, 459 (1972)

Andrews K.W., JISI,203, 721 (1965)

ASTM E8/E8M-15, Annual Book of ASTM Standards,ASTM (2015)

ASTM Standard E23-12c, Annual Book of ASTM Standards,ASTM (2012)

홍 준화, 한국원자력연구원 연구보고서, KAERI/RR2225/2001,한국원자력연구원 (2001)

Ogura T., Makino A., Masumoto T., J. Japan Inst. Metals,45, 1093 (1981)

Jo M.G., Ryu S.H., Kim K.I., Kim D.E., Kim J.I., Kim K.T., Kim S.S., Cho G.S., Korean
J. Met. Mater,60, 251 (2022)

ASTM E1382-97, Annual Book of ASTM Standards,ASTM (2015)

김 민철, 한국원자력연구원 기술보고서, KAERI/TR3965/2009,한국원자력연구원 (2009)

Furuhara T., Kikumoto K., Saito H., Sekine T., Ogawa T., Morito S., Maki T., ISIJ
Int,48, 1038 (2008)

Nasiri Z., Ghaemifar S., Naghizadeh M., Mirzadeh H., Met. Mater. Int,27, 2078 (2021)

Kim J.Y., Ko S.W., Hwang B., Korean J. Met. Mater,60, 811 (2022)

Hong S., Shin S.Y., Lee J., Lee C.H., Lee S., Mater. Sci. Eng. A,564, 461 (2013)

Hong S., Lee J., Park K.S., Mater. Sci. Eng. A,589, 165 (2014)

Lee S., Lee D.Y., Asaro R.J., Metall. Trans. A,20A, 1089 (1989)

Kim B.C., Lee S., Lee D.Y., Kim N.J., Metall. Trans. A,22A, 1889 (1991)

Hashimoto M., Acta Metall,32, 13 (1984)

Kim M.C., Oh Y.J., Hong J.H., Scripta mater,43, 205 (2000)

Bain E.C., Trans. AIME., Steel Div,70, 25 (1924)

Lee K.H., Kim M.C., Yang W.J., Lee B.S., Mater. Sci. Eng. A,565, 158 (2013)

Hyun S.M., Hong S., Kim M.C., Kim J., Sohn S.S., Mater. Sci. Eng. A,811, 141069 (2021)

Hong S., Hyun S.M., Kim J., Lee Y.S., Kim M.W., Kim M.C., Met. Mater. Int,29, 693
(2022)

Figures and Tables
Fig. 1.
The schematic diagram of heat-treatment conditions
Fig. 2.
The results of dilatometer and DSC test for determination of interciritcal heat treatment
conditions
Fig. 3.
Microsturcture images of sample A according to the heat treatment conditions
Fig. 4.
Microsturcture images of sample B according to the heat treatment conditions
Fig. 5.
Comparison of prior austenite grain size of specimens using optical microscope images
Fig. 6.
The stress and strain curve of specimens at RT and 288°C
Fig. 7.
Charpy absorbed energy and transition curves of specimens
Fig. 8.
Fractographs of Charpy impact A specimens fractured at transition temperatures
Fig. 9.
Fractographs of Charpy impact B specimens fractured at transition temperatures
Fig. 10.
The results of AES of specimens; fractographs, chemical composition analysis at surface,
and sputtering analysis
Fig. 11.
Image quality maps of specimens with boundary condition analysis by EBSD. Red line:
CSL boundary and Blue line: 15~55° high angle random boundary
Table 1.
The chemical contents of samples for SA508 Gr.4N steel
|
|
C
|
Mn
|
Si
|
P
|
S
|
Ni
|
Cr
|
Mo
|
V
|
Fe
|
|
ASTM A508 Gr.4N Spec.
|
0.23 Max
|
0.2-0.4
|
0.4 Max
|
0.020 Max
|
0.020 Max
|
2.8-3.9
|
1.5-2.0
|
0.40-0.60
|
0.03 Max
|
Bal.
|
|
A
|
Aim
|
0.2
|
0.3
|
0.25
|
0.004
|
0.003
|
3.5
|
1.8
|
0.5
|
0.004
|
Bal.
|
|
Analysis
|
0.198
|
0.228
|
0.245
|
0.003
|
0.006
|
3.41
|
1.83
|
0.51
|
0.006
|
Bal.
|
|
B
|
Aim
|
0.2
|
0.3
|
0.25
|
0.020
|
0.002
|
3.5
|
1.8
|
0.5
|
0.004
|
Bal.
|
|
Analysis
|
0.209
|
0.331
|
0.257
|
0.029
|
<0.002
|
3.63
|
1.87
|
0.541
|
0.0088
|
Bal.
|
Table 2.
The Ac1 and Ac3 temperatures of samples obtained by dilatometer, DSC, and Andrew equation
|
Specimen
|
Test method (heating rate)
|
Ac1 (°C)
|
Ac3 (°C)
|
|
AR
|
Dil. (3°C/min)
|
751
|
786
|
|
Dil. (10°C/min)
|
760
|
796
|
|
Dil. (28°C/min)
|
790
|
830
|
|
DSC (10°C/min)
|
734
|
782
|
|
Andrew eq.
|
698
|
792
|
|
BR
|
Andrew eq.
|
708
|
798
|
Table 3.
The tensile properties of specimens at RT and 288°C
|
Sample
|
Specimen
|
RT (25°C)
|
288°C
|
|
YS (MPa)
|
UTS (MPa)
|
El. (%)
|
YS (MPa)
|
UTS (MPa)
|
El. (%)
|
|
Gr.4N (A)
|
AR
|
573±1
|
729±1
|
16.7±0.2
|
507±0
|
665±2
|
12.6±0.2
|
|
ARE
|
574±7
|
701±8
|
17.9±1.0
|
484±5
|
609±6
|
12.9±0.2
|
|
AI
|
561±2
|
706±1
|
18.9±1.0
|
493±1
|
641±2
|
13.9±0.5
|
|
AIE
|
552±1
|
686±1
|
16.0±0.2
|
463±1
|
590±2
|
12±0.7
|
|
High P Gr.4N (B)
|
BR
|
594±4
|
783±1
|
16.8±0.8
|
541±0
|
730±3
|
10.8±0.7
|
|
BRE
|
593±3
|
745±1
|
17.6±0.2
|
505±1
|
647±2
|
11.7±0.1
|
|
BI
|
569±4
|
764±3
|
18.2±0.6
|
522±0
|
721±1
|
13±0.1
|
|
BIE
|
567±1
|
721±1
|
17.9±0.1
|
481±0
|
632±1
|
14.2±0.7
|
Table 4.
The Charpy impact properties of specimens
|
Sample
|
Specimen
|
USE (J)
|
DBTT (°C)
|
T41J (°C)
|
T68J (°C)
|
|
Gr.4N (A)
|
AR
|
241
|
-102.6
|
-140.1
|
-128.2
|
|
ARE
|
272
|
-61.2
|
-110.1
|
-92.2
|
|
AI
|
264
|
-93.9
|
-139.7
|
-122.5
|
|
AIE
|
256
|
-72.6
|
-120.8
|
-102.1
|
|
High P Gr.4N (B)
|
BR
|
200
|
-44
|
-87.0
|
-65.2
|
|
BRE
|
204
|
112
|
74.2
|
92.6
|
|
BI
|
213
|
-48
|
-85
|
-67.4
|
|
BIE
|
226
|
77
|
28
|
49.3
|