The Journal of
the Korean Journal of Metals and Materials

The Journal of
the Korean Journal of Metals and Materials

Monthly
  • pISSN : 1738-8228
  • eISSN : 2288-8241

Editorial Office


  1. 두산에너빌리티㈜기술혁신연구소 (1Technology Innovation Institute, Doosan Enerbility, Changwon 51711, Republic of Korea)
  2. 경상국립대학교나노신소재공학부 (2Department of Materials Engineering and Convergence Technology, Gyeongsang National University (GNU), Jinju, Republic of Korea)



Inconel 625 superalloys, solid solution heat treatment, precipitates, grain size

1. 서 론

인코넬 625 니켈기 초내열합금은 고온에서의 우수한 강도, 내식성 및 내마모성을 가지고 있어 항공용 엔진 및 발전용 가스터빈의 고온부품 소재로 널리 사용되고 있다[1]. 니켈기 초내열합금들은 석출경화형과 고용강화형으로 나뉜다. 석출경화형 니켈기 초내열합금은 기지조직인 γ상에 γ'석출물 [L12 type ordered phase Ni3(Al, Ti)]을 미세하게 석출시켜 일정온도까지 상온과 동등수준 또는 상온보다 우수한 고온강도를 나타내며, 이는 일반적으로 고온으로 갈수록 강도가 떨어지는 일반적인 금속소재와는 다른 경향을 나타낸다[2-4]. 고용강화형 니켈기 초내열합금은 Cr, Mo, Nb와 같은 원소를 첨가시켜 용질원자(Ni)와의 원자크기 차이에 의해 기지조직인 γ상 탄성변형을 야기시켜 상온 및 고온에서 우수한 기계적 특성을 얻는다[5,6].

본 연구에 사용된 인코넬 625 합금은 대표적인 고용강화형 니켈기 초내열합금이다. 일반적으로, 인코넬 625 합금은 20-23 wt.% Cr, Mo, Nb 그리고 Fe를 함유하고 있어 우수한 내식성과 고온강도 나타낸다고 보고되고 있다[7]. 또한, 동종소재인 인코넬 718합금과 비교해서 낮은 Al, Ti를 포함하고 있어 용접성이 우수하다. 이러한 이유로 인코넬 625 합금 조성은 금속적층제조분야에서도 많은 연구가 이뤄지고 있다. 본 소재는 충분한 Nb + Ti + Al 함량을 가지고 있어, γ 기지조직에 γ" 석출물(D022 Ni3Nb ordered phase)을 형성하는 석출경화형 합금으로 포함되기도 한다[1, 8, 9]. 하지만, 준안정상인 γ" 석출물의 경우, δ 상 (orthorhombic D0a Ni3Nb ordered phase)의 석출온도 부근 또는 장시간 고온에 노출되었을 때, γ" 석출물이 δ 상으로 변태하여 석출경화효과를 감소시킨다. 또한, δ 석출상이 입계 또는 입내에 다양하게 분포할 경우, 미세조직 및 기계적특성에 큰 영향을 미치게 된다[1,10]. 일반적으로, δ 상이 입계에 미세하게 분포할 경우, δ 상들이 입계성장을 억제하여 미세한 결정립분포를 형성하는데 역할을 하고, 이는 항복강도 및 피로강도의 향상을 가져온다[11-16]. 하지만, δ 상이 침상(Widmanstätten type)으로 입계 및 입내에 조밀하게 분포할 경우, 상대적으로 불균질한 결정립 크기분포를 가지게 되며, 이로 인하여 인장강도, 연신율 및 파괴인성의 감소를 가져오게 된다[10, 17]. 따라서, 본 인코넬 625 합금에서의 δ 상 석출 위치 및 형상 제어는 우수한 기계적 특성을 얻기 위해서 매우 중요한 역할을 한다. 이러한 δ 상의 석출 및 형상은 용체화 열처리 온도와 밀접한 관계가 있는 것으로 알려져 있으며, 본 연구는 용체화 열처리 온도에 따른 δ 상의 석출 및 형상의 분포, 그리고 이러한 석출물이 인코넬 625합금의 미세조직 및 인장특성에 미치는 영향을 확인하기 위하여 용체화 열처리 온도를 δ 상 석출온도 이상과 이하의 온도로 구분하여 수행한 후, δ 상이 미세조직 및 인장특성에 미치는 영향을 고찰하고자 한다.

2. 실험 방법

본 연구에 사용된 소재는 인코넬 625 단조합금으로 외경은 100 mm, 길이 1000 mm 로 어닐링 된 상태로 Special Metals사로부터 구매하였으며, 화학조성은 표 1과 같다.

인코넬 625 단조합금의 열처리 전 어닐링된 상태를 광학현미경을 이용하여 관찰한 미세조직을 그림 1에 나타내었다.

조대한 결정립 영역과 미세한 결정립이 혼재된 조직을 확인할 수 있다. 미세한 결정립 영역에서 입내로 성장한 Widmanstätten형상의 δ상을 관찰할 수 있으며, 이러한 조대한 결정립과 상대적으로 미세한 결정립이 혼재되어 있는 불균질한 결정립 분포는 δ상이 입계에서 석출, 입내로 성장하는 과정에서 결정립 성장을 방해하여 국부적으로 미세한 조직을 형성하는 것으로 판단된다.

본 합금의 경우, 피로특성을 향상시키기 위해 용체화 열처리를 900 °C에서 2시간 수행하는 표준 열처리와 크리프 특성을 향상시키기 위해 용체화 열처리를 1040 °C에서 2시간 수행하는 표준 열처리, 2가지의 표준 열처리가 있으며, 본 연구의 목적인 용체화 온도에 따른 δ 상의 변화를 관찰하기 위하여 2가지의 표준 열처리조건인 용체화 온도 900 °C와 1040 °C를 기준으로 하여, 두 온도조건의 중간 온도인 970 °C에서 2시간 수행하는 것과 1040 °C보다 높은 1100 °C에서 2시간 수행하는 두가지 조건을 추가하여 용체화 열처리를 수행하였다. 4가지의 용체화 온도 조건에서 열처리 후, 시효처리는 4조건 모두 동일하게 680 °C에서 50시간을 유지 후 공냉하였다. 본 연구에서 적용한 열처리 조건은 그림 2와 같으며, 열처리에 사용된 소재는 열처리 후, 조직 및 인장시험편의 가공이 용이한 크기인 반경 50 mm, 길이 120 mm의 크기로 절단가공하여 열처리를 진행하였다.

그리고, 열처리를 수행하기 전, Thermo-Calc와 JMatPro 프로그램을 이용하여, 본 합금의 상태도(Mole fraction diagram)와 항온변태곡선(Time-Temperature-Transformation curve)을 도출하여 열처리시 생성되는 상들을 관찰하였다. 열처리 후, 미세조직 관찰을 수행하기 위하여 #200~1000 연마지를 사용하여 기계적 연마를 수행하였으며, 1 μm colloidal slica를 사용하여 최종연마를 하였다. 연마 후, 15 ml 염산(HCl), 10 ml 글리세롤(Glycerol), 5 ml 질산(HNO3)을 혼합한 용액으로 에칭하여 미세조직을 관찰 및 분석하였다. 미세조직 관찰은 광학 현미경, 주사전자현미경(Hitachi S-3400N), 전계방사형 주사전자현미경(JEOL JXA-8530F), 전자현미분석기(EPMA, Electron probe X-ray micro analyzer), 전자후방산란회절분석(EBSD, Electron BackScatter Diffraction)를 사용하였다. 그리고, 용체화 열처리온도에 따른 기계적 특성을 평가하기 위하여 상온(23 °C)과 650 °C에서 인장시험을 수행하였다. 인장시험은 상온 ASTM E8, 고온 ASTM E21을 참고하여 유압식 만능재료시험기(MTS810)를 사용하여 1 × 10-3 mm/mm/sec의 속도로 수행하였다. 그리고, 650 °C 인장시험의 경우, 시험온도에 도달 후 15분간 유지하여 인장시험편 외부와 내부의 온도를 동일하게 하여 시험을 개시하였으며, 상온 및 고온 인장시험 후, 파단면 분석은 주사전자현미경(SEM, Hitachi S-3400N)을 사용하여 관찰하였다.

3. 결과 및 고찰

그림 3은 δ상의 석출온도 및 체적을 확인하기 위하여 Thermo-Calc를 사용하여 도출한 인코넬 625합금의 계산 상태도이다.

기지조직인 γ 상 외, γ' 석출물, δ상(Nb-rich), μ상(Morich), 탄화물(M6C, M23C6)등의 2차상들을 계산상태도에서 확인하였다. δ상의 석출온도는 906 °C로 예측되었다. 상태도에서 확인할 수 있는 γ’ 석출물은 566 °C 부근에서 석출되며, 인코넬 625 합금에 소량 첨가된 Al, Ti 원소 인한 것으로 계산상태도 상, 전체 체적이 5% 미만으로 확인되어 본 합금의 기계적 물성에는 큰 영향을 미치지 않을 것으로 판단되었다. 이는 어닐링된 열처리 전의 미세조직관찰에서도 γ’ 석출물은 관찰되지 않았다. γ" 석출물의 경우, Thermo-Calc로 계산된 상태도에서는 확인할 수 없었으며, 이는 준안정상인 γ" 석출물이 보다 안정한 δ상으로 변태하는 것을 반영한 결과로 사료된다. γ" 석출물의 석출 및 δ상으로의 변태를 확인하기 위하여 JMatPro 소프트웨어를 사용하여 항온변태곡선(Time-Temperature-Transformation curve)을 도출하였으며, 그 결과를 그림 4에 나타내었다.

항온변태곡선에서 확인할 수 있듯이 γ" 석출물은 840 °C 1시간부터 석출이 시작되며, 본 합금의 시효열처리 온도인 680 °C에서 0.8 시간에서 석출되는 것으로 확인된다. 하지만 본 합금의 표준열처리에 있어, 시효 열처리의 시간이 50시간인 점을 감안할 때, γ" 석출물은 6시간 이후 δ상으로 변태되는 것을 확인할 수 있었다. 하지만, 본 ThermoCalc와 JMatPro의 경우 평형상태도(계산상태도)이므로, 실제 조직관찰 결과와는 다소 상이할 수 있다. 그림 5는 광학 현미경으로 관찰한 용체화 온도를 달리한 열처리(용체화 처리 + 시효처리)후의 미세조직사진이며, 용체화 열처리의 온도에 따라 다른 미세조직을 나타내는 것을 확인할 수 있다. 4가지 조건의 용체화 온도 중, 상대적으로 낮은 900 °C(그림 5(a))와 970 °C(그림 5(b))에서는 결정립계에 존재하는 미세한 2차상과 결정립내로 성장한 Widmanstätten 형상의 2차상을 확인할 수 있으며, 이는 그림 1에 나타낸 어닐링된 미세조직과 유사한 것을 확인할 수 있다.

입내에 분포한 Widmanstätten 형상의 2차상은 δ상으로 유추되며 이러한 형상의 2차상은 용체화 열처리 온도 1040 °C(그림 5(c)), 1100 °C(그림 5(d))에서는 그 체적이 현저하게 감소하는 것을 확인할 수 있었다. 따라서 이러한 Widmanstätten 형상의 2차상은 용체화 온도에 크게 의존하는 것으로 판단된다. 그림 5(a), (b)의 경우, 입계와 입내에 존재하는 2차상에 의해서 그림 5(c), (d)와 비교해 상대적으로 미세한 결정립 분포를 나타내며, 이는 입계에 존재하는 2차상들이 결정립 성장을 방해는 Pinning 효과에 의해 국부적으로 미세한 결정립이 분포하는 것으로 판단된다. 용체화 온도가 높은 그림 5(c), (d)의 경우, 조대한 결정립 분포를 확인할 수 있다. 그림 6는 EBSD를 사용하여 미세조직을 관찰한 결과로 Inverse pole figure(IPF)와 Image quality(IQ) map을 중첩하여 나타내었다.

그림 6의 EBSD 결과에서 광학현미경 관찰결과에서 뚜렷하게 확인할 수 없었던 어닐링 쌍정을 보다 명확하게 확인할 수 있으며, 그림 5의 결과와 동일하게 인코넬 625 합금의 미세조직은 용체화 열처리 온도에 크게 의존하는 것을 확인할 수 있다. 그림 6(a), (b)와 같이 δ상 석출온도 부근에서 용체화 열처리를 수행한 경우, 미세한 결정립 분포를 확인할 수 있으며, 그림 6(c), (d)와 같이 δ상 석출온도보다 높은 온도에서 용체화 열처리를 수행한 경우에는 6(a), (b)과 비교해 상당히 조대한 결정립 분포를 확인할 수 있다. 그림 6(c)의 경우, 전반적으로 조대한 결정립 분포를 가지고 있으나, 조대한 결정립 사이로 국부적으로 미세하게 분포한 결정립들도 함께 관찰되는 bi-modal 결정립 분포를 EBSD 분석을 통해서 확인할 수 있었다. 이는 앞서 설명한 것과 같이 δ상이 석출되어 결정립 성장을 방해하여 발생한 것으로 판단된다. 이러한 국부적으로 미세하게 분포한 결정립은 용체화 온도가 증가함에 따라 감소하는 것을 EBSD분석을 통해 확인할 수 있었다. 용체화 열처리 온도에 따른 결정립 크기를 그림 7에 나타내었으며, 용체화 열처리 온도가 증가할수록 평균 결정립 크기가 증가하는 것을 확인할 수 있으며, 이러한 결정립 크기의 차이는 인코넬 625 합금의 항복 및 인장강도 특성에 큰 영향을 미칠 것으로 판단된다.

이러한 미세조직적 차이가 기계적 특성에 미치는 영향을 알아보기 위하여, 상온 및 고온인장 시험을 수행하여 그림 8에 나타내었다.

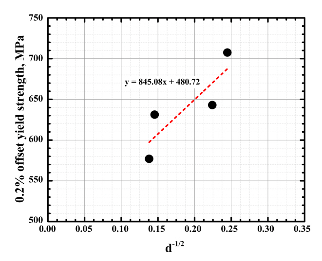
상온 및 고온인장 모두, 용체화 열처리 온도의 영향을 관찰할 수 있다. 상온인장 및 고온인장의 경우, 용체화 온도가 증가함에 있어 항복강도 및 인장강도는 서서히 감소하며, 연신율은 반대로 서서히 증가하는 것을 확인할 수 있다. 이러한 강도 및 연신율의 변화는 용체화 열처리 온도가 증가로 결정립 크기가 조대해졌기 때문인 것으로 판단된다. 용체화 열처리 온도에 따른 결정립 크기와 상온과 650 °C 항복강도의 변화를 Hall-Petch 관계식을 이용하여 그림 9, 그림 10에 나타내었으며, 결정립 크기가 증가할수록 항복강도가 감소하는 경향을 확인할 수 있으며, 이는 상온과 고온 항복강도가 결정립크기에 의존하는 것을 나타낸다.

하지만, 고온 인장결과와 결정립 크기와의 관계에서는 grain boundary sliding 효과에 대한 영향이 추가적으로 고려되어야 한다. 따라서, 고온 인장결과에 grain boundary sliding에 대한 추가적인 분석이 필요한 실정이다.

상온 및 고온 인장시험 후, 파단면 관찰을 수행하여 그림 11, 12에 나타내었다.

파면관찰 결과, 용체화 열처리 온도에 따른 결정립 크기의 변화에서 기인하는 차이점은 확인할 수 없으며, 상온과 고온 모두 연성파괴가 확인되었다. 연성파괴에서 대표적으로 관찰되는 Dimple이 상온 및 고온인장파면 전체에 고르게 분포하고 있는 것을 확인할 수 있었다.

4. 결 론

본 논문은 인코넬 625 니켈기 초내열합금의 용체화 열처리 온도에 따른 미세조직의 변화와 이러한 미세조직의 변화가 상온 및 고온 인장강도, 파괴에 미치는 영향을 고찰하였으며, 다음과 같은 결론을 도출하였다.

본 합금의 미세조직 및 인장특성은 용체화 열처리 온도에 크게 의존한다. 용체화 열처리 온도 900 °C 및 970 °C와 같이 δ상의 석출온도 부근의 영역에서 열처리를 수행하는 경우, 입계와 입내에 분포한 Widmanstätten형상의 δ상이 결정립 성장을 방해하여 미세한 결정립 크기를 가지는 반면, 1040 °C 및 1100 °C와 같이 δ상 석출온도 이상의 온도에서 용체화 열처리를 수행할 경우, Widmanstätten형상의 δ상이 석출되지 않아 조대한 결정립을 얻을 수 있다.

상온 및 고온 인장특성은 용체화 열처리온도에 따른 결정립 크기에 의존한다. 용체화 열처리 온도 900 °C 및 970 °C의 경우, 입계에서 석출하여, 입내로 성장한 Widmanstätten형상의 δ상이 존재함에도 불구하고 1040 °C 및 1100 °C보다 높은 인장특성을 확인할 수 있다. 이는 δ상의 Pinning 효과에 의해 결정립 성장을 억제, 상대적으로 미세한 결정립을 형성하여 결정립이 미세할수록 상온과 고온의 항복강도가 증가하는 것을 확인할 수 있으며, 이를 Hall-Petch 관계식을 사용하여 증명하였다. 하지만, 고온 인장결과와 결정립 크기와의 관계에서는 grain boundary sliding 효과에 대한 영향이 추가적으로 고려되어야 한다.

인장시험 후, 파단면 관찰에서 용체화 열처리 온도와 관계없이 동일한 연성이 지배적인 파단면을 관찰할 수 있었으며. 이는 상온 및 고온 인장파면에서 파면 전체에 고르게 분포하고 있는 shallow dimple을 확인할 수 있으며, 본 합금의 파괴모드는 연성파괴인 것을 알 수 있다.

Acknowledgements

본 연구는 산업통상자원부의 재원으로 한국에너지기술평가원(KETEP)의 지원(과제번호 20181110100410)을 받아 수행되었으며 이에 감사드립니다.

REFERENCES

1 
Floreen S., Fuchs G.E., Yang W.J., In Proceedings of: Superalloys 718, 625, 706 and Various Derivatives(E.A. Loria),13-37, The Minerals, Metals & Materials Society (1994)Google Search
2 
Reed R. C., The Superalloys: Fundamentals and Application,Cambridge University Press (2006)Google Search
3 
Geddes B., Leon H., Huang X., Superalloys: Alloying and Performance,ASM international (2010)Google Search
4 
Donachie M. J., Donachie S. J., Superalloys: A Technical Guide,ASM international (2002)Google Search
5 
Lass E. A., Stoudt M. R., Williams M. E., Katz M. B., Levine L. E., Phan T. Q., Gnaeupel-Herold T. H., Ng D. S., Metall. Mater. Trans. A,48, 5547-5558, (2017)Google Search
6 
Shin Y. K., Kang B. I., Youn J. I., Kwon Y. N., Kim Y. J., Korean J. Met. Mater,60, 940 (2022)Google Search
7 
Shankar V., Valsan M., Rao K. B. S., Mannan S. L., Metall. Mater. Trans A,35, 3129 (2004)Google Search
8 
Suave L.M., Cormier J., Villechaise P., Soula A., Hervier Z., Bertheau D., Laigo J., Metall. Mater. Trans. A,45, 2963 (2014)Google Search
9 
Sundararaman M., Mukhopadhyay P., Banerjee S., Metall. Mater. Trans A,19, 453 (1988)Google Search
10 
Shankar V., Rao K. B. S., Mannan S. L., J. Nucl. Mater,288, 222 (2001)Google Search
11 
Desvallees Y., Bouzidi M., Bois F., Beaude N., In Proceedings of: Superalloys 718, 625, 706 and Various Derivatives(E.A. Loria),281-291, The Minerals, Metals & Materials Society (1994)Google Search
12 
Mahadevan S., Nalawade S., Singh J. B., Verma A., Paul B., Ramaswamy K., In Proceedings of: Superalloys 718 and Derivatives(E. A. Ott, J. R. Groh, A. Banik, I. Dempster, T. P. Gabb, R. Helmink, X. Liu, A. Mitchell, G. P. Sjöberg and A. W. Sarnek),737-750, The Minerals, Metals & Materials Society (2010)Google Search
13 
Rafiei M., Mirzadeh H., Malekan M., J. Alloy. Comp,795, 207 (2019)Google Search
14 
Medeiros M. A. R., Melo C. H. d., Pinto A. L., Almeida L. H. d., Araújo L. S., Mater. Sci. Eng. A,726, 187 (2018)Google Search
15 
Gao Y., Zhang D., Cao M., Chen R., Feng Z., Poprawe R., Schleifenbaum J. H., Ziegler S., Mater. Sci. Eng. A,767, 138327 (2019)Google Search
16 
Kañetas P. P., Özturk U., Calvo J., Cabrera J. M., Mata M. G., J. Mater. Proce. Tech,255, 204 (2018)Google Search
17 
Mittra J., Banerjee S., Tewari R., Dey G. K., Mater. Sci. Eng, A,574, 86 (2013)Google Search

Figures and Table

Fig. 1.

Optical microstructure for as received.

../../Resources/kim/KJMM.2024.62/kjmm-2024-62-1-32f1.jpg
Fig. 2.

Schematic of the employed heat-treatment process for producing Inconel 625 alloy nickel-based superalloys.

../../Resources/kim/KJMM.2024.62/kjmm-2024-62-1-32f2.jpg
Fig. 3.

Phase diagram of the current Inconel 625 alloy composition calculated by Thermo-Calc.

../../Resources/kim/KJMM.2024.62/kjmm-2024-62-1-32f3.jpg
Fig. 4.

Time-Temperature-Transformation curve for Inconel 625 alloy nickel-based superalloy, predicted by JMatPro.

../../Resources/kim/KJMM.2024.62/kjmm-2024-62-1-32f4.jpg
Fig. 5.

Optical microstructures of the studied Inconel 625 alloy samples subjected to various solution temperatures at (a) 900 °C, (b) 970 °C, (c) 1040 °C, and (d) 1100 °C, respectively.

../../Resources/kim/KJMM.2024.62/kjmm-2024-62-1-32f5.jpg
Fig. 6.

EBSD IPF plus IQ maps of Inconel 625 alloy samples subjected to solution-treated temperatures at (a) 900 °C, (b) 970 °C, (c) 1040 °C, and (d) 1100 °C, respectively.

../../Resources/kim/KJMM.2024.62/kjmm-2024-62-1-32f6.jpg
Fig. 7.

Average grain sizes of Inconel 625 alloy with various solution temperatures (a) 900 °C, (b) 970 °C, (c) 1040 °C, and (d) 1100 °C, respectively, as determined by EBSD.

../../Resources/kim/KJMM.2024.62/kjmm-2024-62-1-32f7.jpg
Fig. 8.

Results of Tensile properties of Inconel 625 alloy with various solution temperatures (a) RT tensile results, and (b) 650 °C tensile results.

../../Resources/kim/KJMM.2024.62/kjmm-2024-62-1-32f8.jpg
Fig. 9.

Hall-Petch relation between RT-yield strengths and inversed grain sizes for the studied Inconel 625 alloy.

../../Resources/kim/KJMM.2024.62/kjmm-2024-62-1-32f9.jpg
Fig. 10.

Hall-Petch relationship between 650 °C yield strength and inversed grain size of Inconel 625 alloy.

../../Resources/kim/KJMM.2024.62/kjmm-2024-62-1-32f10.jpg
Fig. 11.

Fracture surfaces after RT-tensile tests of Inconel 625 alloy samples subjected to solution treatments at (a) 900 °C, (b) 970 °C, (c)1040 °C, and (d)1100 °C, respectively.

../../Resources/kim/KJMM.2024.62/kjmm-2024-62-1-32f11.jpg
Fig. 12.

Fracture surfaces after 650 °C-tensile tests of Inconel 625 alloy samples subjected to solution treatments at (a) 900 °C, (b) 970 °C, (c)1040 °C, and (d)1100 °C, respectively.

../../Resources/kim/KJMM.2024.62/kjmm-2024-62-1-32f12.jpg
Table 1.

Nominal chemical composition of investigated Inconel 625 nickel-based superalloy (wt.%)

Cr Fe Mo Nb Al Ti C Mn Bal.
20.0 -23.0 Max. 5.0 8.0 – 10.0 3.15 – 4.15 Max. 0.40 Max. 0.40 Max. 0.10 Max. 0.50 Ni