최우락
(Woorak Choi)
1
윤성찬
(Sungchan Yun)
1*
-
한국교통대학교 기계공학과
(Department of Mechanical Engineering, Korea National University of Transportation,
Chungju 27469, Republic of Korea)
Copyright © 2024 The Korean Institute of Metals and Materials
Key words
superhydrophobic surface, compound material, Janus material, interfacial dynamics
1. 서 론
다중 액적(compound droplet)은 서로 섞이지 않는 두 가지 이상의 물질이 계면을 공유하는 형태로 이루어져 있다[1]. 다중 액적의 다양한 형태 중에서, 야누스(Janus) 액적은 고/저 점도(viscosity)를 가지는 두 개의 유체 성분으로 구성되고, 두 액체
간의 표면장력이 유사한 경우, 코어–쉘(core–shell) 구조의 형성을 억제할 수 있게 되어 이중 구성 체계로 가정할 수 있다[1]. Yu et al. [2]은 야누스 액적의 저 점도 성분이 비습윤(non-wettable) 표면에서 크게 반동하는 현상을 보여주었다. 실험을 통하여 고점도 유체 쪽의 점도가
증가함에 따라 비산(splash)이 시작되는 임계 충돌속도가 낮아진 것을 보여주었다. Blanken et al. [3]은 코어–쉘 액적의 반동 거동을 연구하였고, 윤활유 얇은 막의 존재로 인해 평평한 소수성 및 친수성 표면에서 액적의 반동이 관찰되었다. 최근의 액적
제어 기술의 발전에도 불구하고 많은 연구들에서 다중 액적의 복잡한 표면에 대한 충돌 역학과 거동 조절 전략은 아직 연구되지 않았다.
고체 위를 충돌하는 액적은 표면 냉각[4], 세정[5], 살 충제 도포[6], 잉크젯 프린팅[7]과 같은 기초 연구와 응용 분야에서 계속해서 많은 관심을 끌고 있다. 연꽃 잎을 모사하여 마이크로/나노 구조를 기반으로 제작된 초소수성(superhydrophobic)
표면은 젖음성(wettability)을 감소시키면서 기판과 액적 간의 접촉각을 150° 이상 가능하게 하였다[5]. 예를 들어 Park 과 Ha [8]는 분무 코팅 방법을 이용하여 접촉각 150° 이상을 갖고 투명하고 견고한 초소수성 나노복합체 필름을 제작하였다. 액적 충돌 현상에서 기판 위의
체류시간은 매우 중요하게 고려되는데, 이것은 질량, 운동량 및 에너지가 기판과 액적 간에 전달되는 정도를 평가하는 지표 중 하나이기 때문이다. 여기서
체류시간은 액적이 충돌 후 고체표면을 접촉하는 시간을 의미한다. 비점성 유체의 체류시간은 τ ~ (ρD03/8σ)1/2로 근사될 수 있으며, 여기서 ρ, D0, σ 는 각각 액체 밀도, 평형상태(equilibrium) 직경 및 표면장력이다. 또한 충돌 역학에 영향을 미치는 몇 가지 무차원 수인 웨버 수(We), 레이놀즈 수(Re), 오네소르게 수(Oh)는 유체 거동을 이해하는 기준이 될 수 있다[9,10]: 표면장력 대비 관성력을 나타내는 웨버 수 We = ρD0V02/σ, 점도력 대비 관성력을 나타내는 레이놀즈 수 Re = ρD0V0/μ, 관성력 및 표면장력 대비 점도력을 나타내는 오네소르게 수 Oh = We1/2/Re 이다. 여기서 V0 는 충돌 속도이고 μ는 액체의 점도이다.
자연과 산업현장에서 식물 잎과 열교환용 파이프와 같은 다양한 크기의 곡률을 가진 표면이 존재한다. Liu et al. [11]은 초소수성 식물 잎에 대한 물방울 충돌에서 비대칭적인 반동을 입증하였고 곡률에 의한 물방울 거동을 보고하였다. Abolghasemibizaki
et al. [12]은 새로운 곡면 형태를 제안하여 체류시간을 더 줄일 수 있었으며 이 감소를 분석하기 위한 스케일링 모델을 개발하였다. Liu et al. [13]은 소수성 튜브에 대한 물방울 충돌의 동적 특성에 대한 결과를 제시했고 충돌 속도와 접촉각이 유체 역학에 미치는 영향을 보여주었다. Andrew
et al. [14]은 곡면의 체류시간의 감소의 역할을 입증하였다. Zhang et al. [15]은 원통 형상의 표면에 물방울 충돌을 조사하고 비대칭 반동과 분리의 결과를 제시하였다. Guo et al. [16]는 물방울 크기보다 크거나 또는 작은 다양한 반원 실린더에 대한 유체 역학을 조사했고 곡률이 높을수록 체류시간이 감소함을 확인하였다.
다양한 표면 위 체류시간을 조절하기 위한 방법 중 하나는 본 연구그룹에 의해 제안되었다. 본 연구그룹은 액적이 평평한 소수성[17] 및 초소수성 표면[18]에 충돌할 때, 초기 변형된 액적 모양이 충돌 거동을 조절하는 것을 관찰하였고, 체류시간을 상당히 감소시킬 수 있다는 것을 입증하였다. 가장 최근에,
Jung 과 Yun [19]은 초소수성 돌출 표면에서 이중액적의 반동특성 및 분리 가능성을 조사하였다. Hwang 과 Yun [20]은 야누스 액적이 곡면에 충돌할 때 반동거동을 분석하고 저 점도 유체성분의 분리 가능성을 예측하였다. 또한 효율적인 분리를 위한 웨버 수, 점도
비율(viscosity ratio), 원통 직경(d) 등의 역할을 분석하였다. 하지만 야누스 액적이 곡면과 같은 복잡한 표면에서의 퍼짐, 수축 및 반동 거동에 어떻게 영향을 주는지에 대한 연구결과는
아직 많이 알려지지 않았다. 실용적인 측면에서 이 기술을 사용하기 위해서, 야누스 액적의 반동 메커니즘을 다양한 인자로 설명하고 야누스 액적의 크기와
초기 계면각도 등이 반동 및 분리 거동에 미치는 영향을 조사할 필요가 있다.
본 연구는 야누스 액적의 크기와 초기 계면각도가 반동 거동과 액적분리에 미치는 효과를 조사하기 위하여 VOF (volume of fluid) 방법[21]을 도입하였다. 물의 웨버 수 (Wew), 계면각도(φ), 원통 대비 액적의 직경비율 (d/D0) 및 점도비율(α)에 따른 액적의 동적 특징을 조사하였다.
그림 1에서 야누스 액적은 저 점도(W-성분) 및 고 점도 액체(G-성분)으로 구성되었다. 웨버 수와 점도비율에 따른 야누스 액적의 분리효율의 상태도(regime
map)를 확보하였고, 액적크기가 액적 동역학과 분리에 미치는 효과에 대하여 토의하였다. 분리가 발생하는 임계 웨버 수를 액적크기와 점도비율에 따라
조사하였다. 또한 초기 계면각도의 변화가 반동거동과 분리 효율에 미치는 영향에 대하여 논의하였다.
2. 이론 및 해석 방법
본 연구는 곡면 위의 액적 동적 특성을 예측하기 위하여, VOF 수치해석 방법을 사용하였다[21]. 다양한 액적크기, 점도비율, 그리고 초기 계면각도에 따른 이중액적의 반동 및 분리거동을 조사하였다. 물(W-성분)과 글리세린/물 혼합물(G-성분)을
두 개의 위상으로 사용하였고, 이들은 실온 및 대기압 공기(세번째 위상)로 둘러싸여 있다. 다음과 같이 3차원 비압축성 연속 및 운동량 방정식은 해석
도메인에서 정의되었다.
여기서 ψi는 각 상의 부피 분율(
∑
i
=
1
3
ψ
i
=
1
), 밀도는
ρ
=
∑
i
=
1
3
ψ
i
ρ
i
, 점도는
μ
=
∑
i
=
1
3
ψ
i
μ
i
, 계면의 곡률은,
κ
=
-
(
▽
·
n
→
)
,
n
→
은 계면에 수직인 단위 벡터,
g
→
는 중력가속도이다. 계면 추적 방법은 Rider와 Kothe [22]에 기반하여 사용하였고, 부피 분율은
∂
ψ
i
/
∂
t
+
▽
·
(
ψ
i
v
→
)
=
0
를 이용하여 이송되었다. 표면장력은 방정식 (2)의 여섯번 째 항에 나타난 연속적인 표면력의 근사값으로 계산되었다[23]. 공간 및 시간 도함수는 각각 대류 모델(convective model)과 Leonard [24]에 의해 보고된 1차 음해법(implicit method)에 의해 각각 이산화 되었다. 속도장 및 압력장의 수렴을 향상시키기 위해 정규화된 잔차(residuals)는
10-5 미만으로 설정되었다. 시간 단계(time step)와 최대 내부 반복(internal iteration)은 각각 1 μs 및 30으로 설정되었다.
곡면형태의 해석영역(8 × 10 × 8 mm3)을 사용하였고, 액적 크기 당 최소 45개 셀(cell)을 적용하면서 격자 해상도를 부여하였으며, 해석 격자 수렴도는 이전 연구[20]와 동일하게 확보하였다. 본 연구에서 액적크기 변화(D0 = 1.0–4.0 mm)를 위하여 d = 8.0 mm의 고정 원통을 정의하였고, 초기계면 변화(φ = 15–75°)를 위하여 d/D0 = 2.0–8.0의 직경비율을 정의하였다. 두 성분 사이의 확산 거리는 액적 크기에 비해 매우 짧다고 가정할 수 있다[2].
W-및 G-성분의 구성도과 물성치는 그림 1과 표 1에 각각 설명되어 있다. W-성분은 상온의 순수 물에 해당하고, G-성분은 다른 중량 비율을 가지는 글리세린/물 혼합물에 해당한다. 두 유체 성분
사이의 점도비율(α = μg/μw)은 표 1에 나타난 바와 같이 α1–α4로 표현하였다. w 및 g의 하첨자는 W- 및 G-성분의 물리량을 구분하기 위해 사용하였다. 종래 연구[25]에서 W- 및 G-성분의 전진(advancing) 및 후진(receding) 접촉각이 유사하게 160°로 측정되고, 접촉각 이력이 매우 작은 결과가
보고되었다. 이를 토대로 W- 및 G-성분의 정적 접촉각 160°을 채택하여 충돌 거동을 예측하였다. 분리가 이루어지는 W-성분의 충돌 거동은 Wew = ρwDwV02/σw = 25–76 및 Ohw = μw/(ρwDwσw)1/2 = 0.003인 경우 관성력과 표면장력의 균형에 의해 지배된다. 여기서 Dw는 W-성분의 평형상태 직경으로서, D0 = 21/3Dw 의 관계가 성립한다. Ω은 분리 효율로서, W-성분의 초기 부피 대비 분리된 부피로 표현하였고, G-성분의 분리 효율은 고려하지 않았다.
3. 결과 및 고찰
야누스 형태의 이중액적의 크기 변화가 충돌 거동과 분리효율에 미치는 영향을 알아보기 위하여, 그림 2와 3에 각각 두 가지 크기(D0 = 1.0 및 3.0 mm)의 액적 충돌 거동을 나타내었다.
그림 2(a)와 (b)는 낮은 점성비율(α1) 하에서 웨버 수가 34와 58인 액적 거동을 표현하였다. 낮은 점성비율에서 W- 및 G-성분들의 동적 거동은 큰 차이가 없으나, 원주방향으로의
물의 퍼짐이 상대적으로 큰 것을 알 수 있다(그림 2(b)의 1.0 ms). 이후 축방향으로의 수축과정에서 상대적으로 큰 웨버 수를 가진 액적은 원주방향 양 끝의 작은 액적들을 분리함으로써 약 50%의 분리효율을
보여주었다(즉, Ω ~ 0.46). 본 연구의 작은 크기의 액적충돌 영역에서도 높은 분리효율을 위하여 충돌속도가 중요한 인자임을 보여주는 결과이다.
그림 2(c)와 (d)는 높은 점성비율 하에서 웨버 수가 34와 58인 액적 거동을 표현하였다. 높은 점성비율에서 W- 및 G-성분들의 동적 거동은 상대적으로 큰 차이를
보였고, 특히 원주방향으로의 물의 퍼짐 현상이 두 성분 사이에 매우 상이한 것을 알 수 있다(그림 2(d)의 1.0 ms). 퍼짐 및 수축과정에서 상대적으로 큰 웨버 수를 가진 액적은 마찬가지로 원주방향 양 끝의 작은 액적들을 분리함으로써 약 50% 이상의
분리효율을 도출하였다(즉, Ω ~ 0.51). 그림 2에서 얻어진 결과로 두 가지 점성비율을 가진 액적거동의 분리 메커니즘은 서로 유사한 것으로 판단되었다.
그림 2(e)는 원통형 표면에서 작은 크기를 가진 액적의 분리/비분리 상태도(regime map)를 웨버 수와 점성비율의 함수로 조사한 그림이다. 그림에서 표현한
높은 웨버 수와 낮은 웨버 수 영역은 W- 및 G-성분 간의 분리 및 비분리(non-separation) 결과를 각각 조사한 결과이다. 그림의 점선에서
알 수 있듯이 분리가 시행되는 임계 웨버 수는 점도비율이 증가할수록 대체적으로 감소한다. 그림에서 높은/낮은 웨버 수 영역은 점도비율 α1 과 α4 에서 각각 웨버 수(Wew) 약 58과 50에서 전환되었다. 이 결과는 높은 점도비율의 이중액적은 낮은 점도비율의 액적보다 약 14% 작은 운동에너지에서 분리가 가능하다는
것을 의미한다. 높은 점도비율의 액적은 W- 및 G-성분 간의 큰 거동차이를 유도하고, 운동량 분포의 비대칭성으로 인하여 분리가 촉진되는 것으로 보인다.
그림 3에는 큰 크기를 가진 액적 충돌 거동을 나타낸다. 그림 2와 같은 방법으로 두 가지의 점성비율과 두 가지의 웨버 수에 따라 액적의 시간적인 형상 변화를 조사하였다. 그림에서 볼 수 있듯이 큰 부피의 유체가
원주방향으로의 퍼짐 현상에 참여하여 액적의 큰 동적 변화가 생성되었다. 낮은 웨버 수 액적은 분리가 되지 못하였지만, 높은 웨버 수 액적은 원주방향
양 끝의 작은 액적들을 분리함으로써 약 50%의 분리효율을 보여주었다(그림 3(b)에서 Ω ~ 0.44). 그림 3(c)와 (d)는 높은 점성비율 하에서 두 가지 웨버 수를 가진 액적 거동을 표현하였다. 높은 점성비율에서 W- 및 G-성분들의 원주방향 동적 거동은 상대적으로
큰 차이를 보였고, 두 가지 웨버 수에서 모두 분리 결과를 얻었다(그림 3(c)와 (d)에서 Ω ~ 0.5). 그림 3에서 얻어진 결과로 상대적으로 큰 크기의 액적충돌 영역에서 높은 웨버 수와 높은 점성비율이 큰 분리효율을 도출하기 위하여 중요하다는 것을 알 수 있었다.
그림 3(e)는 원통형 표면에서 작은 크기를 가진 액적의 분리/비분리 상태도를 웨버 수와 점성비율의 함수로 조사한 그림이다. 그림의 점선에서 알 수 있듯이 분리가
시행되는 임계 웨버 수는 점도비율이 증가할수록 대체적으로 감소한다. 그림에서 높은/낮은 웨버 수 영역은 점도비율 α1 과 α4 에서 각각 웨버 수 약 56과 40에서 전환되었다. 이 결과는 높은 점도비율의 이중액적은 낮은 점도비율의 액적보다 약 29% 작은 운동에너지에서
분리가 가능하다는 것을 의미한다.
액적크기가 증가할수록 분리를 위한 임계 웨버 수는 대체적으로 감소하는 경향을 보였다. 본 연구에서 임계 웨버 수의 경향을 더 자세히 분석하기 위하여,
몇 가지 액적크기의 분리를 위한 임계 웨버 수를 두 가지 점도비율을 가지고 조사하였다(그림 4).
액적크기가 증가함에 따라, 낮은 점도비율에서 임계 웨버 수는 조금씩 감소하지만, 모든 액적크기에서 약 60 정도의 임계 웨버 수를 가진 것으로 보인다.
반면에 높은 점도비율에서 임계 웨버 수는 약 50에서 약 40으로의 대체적인 감소 결과가 도출되었다. 수치적으로, 높은 점도비율에서 임계 웨버 수는
낮은 점도비율과 비교하여 최대 30% 이상 낮았다. 이 결과는 낮은 점도비율에서는 액적크기를 조절하는 것이 큰 분리 효율을 위하여 중요하지 않지만,
높은 점도비율에서는 액적크기를 조절하는 것이 분리 효율을 위하여 중요한 역할을 할 수 있다는 것을 의미한다.
웨버 수의 정의에 의하여 액적의 관성력이 표면장력을 능가할 경우, 액적 관성력이 분리를 촉진시키는 기준 힘이 된다. 그림 4에서 볼 수 있듯이 액적크기가 증가하면 임계 웨버 수가 서서히 감소하는 결과와 동일하다. 또한 임계 웨버 수 감소 현상은 G- 및 W-성분의 고체표면
위 체류시간 차이로 설명할 수 있다. G-성분의 체류시간(τv)이 W-성분의 것(τi)보다 대략적으로 Ohg 배율만큼 클 수 있다는 점이다. 이 관계는 두 성분 간의 밀도와 표면장력이 유사하다고 가정했을 때, 체류시간의 비율은 τv/τi ~ (μgDg/σg)/(ρwDw3/8σw)1/2 ~ Ohg 와 같이 근사할 수 있기 때문이다[20]. 여기서 G-성분의 체류시간(~ μD0/σ)은 점성유체의 변형이 완화되기 위하여 요구되는 시간으로 근사되었다[26]. 이를 정리하면 액적의 점도비율이 증가할 때 G-성분의 체류시간이 상대적으로 크게 증가하게 되고 같은 웨버 수에서 분리가 더 촉진될 수 있다.
초기 계면각도가 비대칭 반동 거동에 미치는 영향을 조사하기 위해, 두 가지 점도비율을 가지고 여러 각도에서 액적 형상 변화를 조사하였다(그림 5). 계면각도 0°에서 G-및 W-성분은 각각 축방향을 기준으로 대칭적인 거동을 보였지만, 계면각도가 증가할수록 비대칭적인 반동 거동 및 분리 현상이
발생하였다. 낮은 계면각도(φ = 30°)에서 W-성분은 초기 액적부피 분포로 인해 좌측(x < 0)이 우측(x > 0)과 비교하여 원주방향의 큰 퍼짐현상이 나타났다(그림 5(a)). 상대적으로 우측의 W-성분은 원통 표면 위에서 비교적 작은 부피의 분리가 나타났고, 따라서 약 35%의 분리효율을 도출되었다. 계면각도가 75°로
증가함에 따라, 좌측에 위치하는 액적 부피가 커지게 되고 W-성분의 원주방향의 큰 운동량 전환 현상이 나타나면서 분리효율이 증가하였다(그림 5(c)에서 Ω ~ 0.85). 큰 분리효율을 유도하기 위하여, 계면각도를 조절하여 액적 초기 질량분포를 변화시키는 것이 중요하다는 것을 알 수 있었다.
높은 점도비율(그림 5(d)–(f))에서 액적은 대체적으로 큰 분리효율(Ω > 0.5)이 도출되었다. 이는 높은 점도비율에서 G-성분의 상대적으로 긴 체류시간과 W-성분의 원주방향의
큰 운동량 전환 덕분에 W-성분이 분리되기가 용이하다고 할 수 있다. 높은 계면각도(φ = 75°)에서 두 점도비율 사이에 분리효율의 작은 차이가 발생하였지만, 국부적인 유동 정체에 의한 영향에 의한 결과이고, 두 경우의 분리 메커니즘은
동일한 것으로 판단되었다.
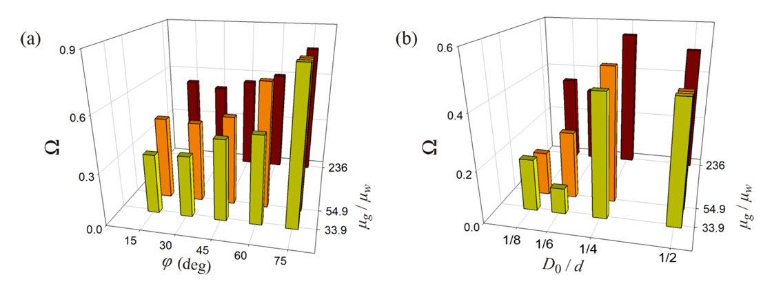
분리효율 결과에 영향을 미치는 인자들을 더 종합적으로 조사하기 위하여 그림 6과 같이 계면각도, 점도비율, 그리고 직경비율(D0/d)의 함수로 분리효율을 조사하였다. 그림 6(a)에서 계면각도와 점도비율이 증가하면서 대체적으로 분리효율이 증가하는 결과를 얻었다. 예를 들어, 고정된 점도 비율 α1(α4)에서 분리효율은 계면각도 변화에 따라 약 2.5배(약 1.5배)로 증가할 수 있음을 보였다. 또한 고정된 계면각도 15°(75°)에서 분리효율은
점도비율 변화에 따라 최대 약 1.5배(약 1.1배)로 증가할 수 있음을 보였다. 그림 6(b)에서 직경비율(D0/d)과 점도비율이 증가하면서 대체적으로 분리효율이 증가하는 결과를 얻었다. 예를 들어, 고정된 점도비율 α1(α4)에서 분리효율은 직경비율 변화에 따라 최대 약 4.6배(약 1.7배)로 증가할 수 있음을 보였다. 그림 6(b)에서 직경비율이 1/8에서 1/4까지 증가함에 따라 분리효율이 크게 상승하지만, 직경비율 1/4 이상 커지는 경우 분리효율에 큰 변화는 나타나지 않았다.
4. 결 론
본 연구에서 야누스 형태의 이중액적 크기와 초기 계면 각도가 액적 거동 및 분리효율에 미치는 영향을 수치해석적으로 분석하였다. 이를 위하여 다양한
점도비율과 웨버 수의 조건 하에, 분리가 시작되는 임계 웨버 수가 조사되었다. 주어진 액적크기 범위에서 야누스 액적은 동일한 분리 메커니즘을 보였으며,
높은 웨버 수와 높은 점성비율이 큰 분리효율을 도출하기 위하여 중요하다는 것을 알 수 있었다. 높은 점도비율의 이중액적은 낮은 점도비율의 액적보다
최대 약 29% 작은 운동에너지에서도 분리가 가능하다는 예측 결과를 얻었다.
초기 계면각도가 비대칭 반동 거동에 미치는 영향을 조사하였다. 계면각도가 증가함에 따라, 원통의 축방향의 좌측(x < 0)에 위치하는 액적 부피가 커지게 되고 W-성분의 원주방향의 큰 운동량 전환 현상이 나타나면서 분리효율이 증가하였다. 큰 분리효율을 유도하기
위하여, 계면각도를 조절하여 액적 초기 질량분포를 변화시키는 것이 중요하다는 것을 알 수 있었다. 또한 분리효율 결과에 영향을 미치는 요인들을 더
종합적으로 분석하기 위하여 계면각도, 점도비율, 그리고 직경비율의 함수로 분리효율 결과를 얻었고, 분리효율과 관련된 충돌시스템 설계 요인(design
factor)들의 민감도를 파악하였다. 본 연구는 액체 정제(liquid purification) [1,2], 응고(solidification), 경화(curing)와 같은 제어 기술[27]과 같은 응용 분야에서 액적거동 제어 및 분리에 유용한 방법을 제시할 수 있을 것으로 기대한다.
Acknowledgements
이 성과는 정부(과학기술정보통신부)의 재원으로 한국연구재단의 지원을 받아 수행된 연구임 (No. 2022R1C1C1003711).
REFERENCES
Blanken N., Saleem M. S., Thoraval M.-J., Antonini C., Curr. Opin. Colloid Interface
Sci,51, 101389 (2021)

Yu F., Lin S., Yang J., Fan Y., Wang D., Chen L., Deng X., Adv. Sci,7, 1902687 (2020)

Blanken N., Saleem M. S., Antonini C., Thoraval M.-J., Sci. Adv,6, (2020)

Breitenbach J., Roisman I. V., Tropea C., Exp. Fluids,59, 1 (2018)

Marmur A., Langmuir,20, 3517 (2004)

Wirth W., Storp S., Jacobsen W., Pestic. Sci,33, 411 (1991)

Wijshoff H., Curr. Opin. Colloid Interface Sci,36, 20 (2018)

Park S., Ha Y.-G., Korean J. Met. Mater,61, 54 (2023)

Richard D., Clanet C., Quéré D., Nature,417, 811 (2002)

Clanet C., Béguin C., Richard D., Quéré D., J. Fluid Mech,517, 199 (2004)

Liu Y., Andrew M., Li J., Yeomans J. M., Wang Z., Nat. Commun,6, 1 (2015)

Abolghasemibizaki M., McMasters R. L., Mohammadi R., J. Colloid Interface Sci,521,
17 (2018)

Liu X., Zhao Y., Chen S., Shen S., Zhao X., Phys. Fluids,29, 062105 (2017)

Andrew M., Liu Y., Yeomans J. M., Langmuir,33, 7583 (2017)

Zhang H., Yi X., Du Y., Zhang R., Zhang X., He F., Hao ... P., Phys. Fluids,31, 032104
(2019)

Guo C., Sun J., Sun Y., Wang M., Zhao D., Appl. Phys. Lett,112, 263702 (2018)

Yun S., Lim G., J. Fluid Mech,752, 266 (2014)

Kim J., Yun S., Korean J. Met. Mater,61, 371 (2023)

Jung H. J., Yun S., Phys. Fluids,35, 062105 (2023)

Hwang D., Yun S., Phys. Fluids,35, 062015 (2023)

Hirt C. W., Nichols B. D., J. Comput. Phys,39, 201 (1981)

Rider W. J., Kothe D. B., J. Comput. Phys,141, 112 (1998)

Brackbill J. U., Kothe D. B., Zemach C., J. Comput. Phys,100, 335 (1992)

Leonard B. P., Comput. Methods Appl. Mech. Eng,19, 59 (1979)

Abolghasemibizaki M., Dilmaghani N., Mohammadi R., Castano C. E., Langmuir,35, 10752
(2019)

Bartolo D., Josserand C., Bonn D., J. Fluid Mech,545, 329 (2005)

Kolesky D. B., Truby R. L., Gladman A. S., Busbee T. A., Homan K. A., Lewis J. A.,
Adv. Mater,26, 3124 (2014)

Figures and Table
Fig. 1.
(a) Schematics of the Janus droplet impact on a curved superhydrophobic surface with
a diameter of d. The Janus droplets have high-viscosity (G-) and low-viscosity components (W- component),
and the impact point is set to be the apex of the cylinder. (b) Top view of the impact
configuration with an initial interface angle φ and a diameter of the droplet D0.
Fig. 2.
Bouncing feature of the droplet with D0 = 1 mm at d/D0 = 8.0 under several impact velocities and viscosity ratios. (a) and (b) Bouncing
behavior of the Janus droplet with Wew = 34 and 58, respectively, under the constant viscosity ratio of α1. (c) and (d) Bouncing behavior of the Janus droplet with Wew = 34 and 58, respectively, under the constant viscosity ratio of α4. (e) Regime map of the splitting behavior on a cylindrical surface as a function
of Wew and α under d/D0 = 8.0. High- and Low-Wew regime shown in (e) indicate separation and non-separation cases between W- and G-components,
respectively.
Fig. 3.
Bouncing feature of the droplet with D0 = 3 mm at d/D0 = 8/3 under several impact velocities and viscosity ratios. (a) and (b) Bouncing
behavior of the Janus droplet with Wew = 40 and 56, respectively, under the constant viscosity ratio of α1. (c) and (d) Bouncing behavior of the Janus droplet with Wew = 40 and 56, respectively, under the constant viscosity ratio of α4. (e) Regime map of the splitting behavior on a cylindrical surface as a function
of Wew and α under d/D0 = 8/3. High- and Low-Wew regime shown in (e) indicate separation and non-separation cases between W- and G-components,
respectively.
Fig. 4.
Threshold Weber number (Wec,w) for the effective separation under various droplet sizes. Filled and open symbols
denote Wec,w obtained for two viscosity ratios of α1 and α4, respectively.
Fig. 5.
Bouncing features depending on the initial interface angle and viscosity ratio at
Wew = 63 and d/D0 = 4.0. Snapshots of morphological behavior of droplets at (a–c) φ = 30, 45, 75°, respectively, under the constant viscosity ratio of α1 and (d–f) φ = 30, 45, 75°, respectively, under the constant viscosity ratio of α4.
Fig. 6.
Separation ratio of W-component in Janus droplet impact under several relevant factors.
(a) Ω represented as a function of φ and α under D0/d = 1/4. (b) Ω denoted as a function of D0/d and α under φ = 45°.
Table 1.
Material properties of W- and G-components. Reprinted with permission from Ref. [25]. Abolghasemibizaki et al. “Viscous droplet impact on nonwettable textured surfaces,”
Langmuir, 35(33), 10752-10761 (2019). Copyright 2019 American Chemical Society.
|
Component
|
Liquid
|
ρ [kg/m3]
|
μ [Pa s]
|
σ [N/m]
|
Viscosity ratio (α) (μg / μw) [-]
|
Definition α
|
|
W
|
Water
|
998.2
|
0.001
|
0.072
|
-
|
-
|
|
G
|
Glycerin/water (75 wt %)
|
1185
|
0.0339
|
0.064
|
33.9
|
α1 |
|
Glycerin/water (80 wt %)
|
1200
|
0.0549
|
0.064
|
54.9
|
α2 |
|
Glycerin/water (85 wt %)
|
1210
|
0.0977
|
0.064
|
97.7
|
α3 |
|
Glycerin (90 wt %)
|
1235
|
0.236
|
0.064
|
236
|
α4 |