(Woo Lim Choi)
1
(Jong-Hyun Lee)
1*
Copyright © 2024 The Korean Institute of Metals and Materials
Key words(Korean)
Sinter-bonding, die bonding, Cu complex particle, Cu formate, in situ reduction, shear strength
1. INTRODUCTION
As Si semiconductors are replaced by SiC and GaN in power modules to enhance their
efficiency and reduce switching loss, the current solder alloy chip bonding materials
need to be substituted with a metal that has both a high melting point and thermal
conductivity, because the chip junction temperature can reach 300 °C [1-6]. Transient liquid phase (TLP) sinter-bonding, developed as a better alternative
to soldering, has not been considered as an eventual alternative for automotive applications
because of its long bonding time and brittle bond-line characteristics [7-9]. Efficient sinter-bonding techniques based on silver (Ag) have been researched [10-12], however, the Ag powder-based sinter-bonding paste is a large burden to industry
because of the inherently high cost of Ag and long bonding time [13-15]. Accordingly, Cu-based pastes are considered to be more practical sinter-bonding
materials, and relevant studies are being conducted [16,17].
Copper easily oxidizes in air, and as a result Cu has a native oxide layer on its
surface. Moreover, this oxidation tendency accelerates when temperature increases
[18] and the layer acts as an obstacle to sinter-bonding. To address this, the adoption
of Ag-coated Cu particles and in situ reduction of the oxide layers on Cu particles
at sinter-bonding temperatures using a reducing atmosphere and ingredient have been
suggested [19,20].
In this study, a paste containing Cu formate particles was chosen as the material
for sinter-bonding, using a more aggressive concept. A pioneering study by Yabuki
et al. on the application of a copper complex paste containing Cu formate particles
introduced the low-temperature fabrication of pure Cu films by thermal decomposition
under a nitrogen atmosphere. [21,22]. At the same time, Lee et al. reported the formation of Cu films under an identical
atmosphere using a paste formulation containing Cu complex [23-25]. The results of these studies indicated that pastes containing Cu complex could
be employed as effective sinter-bonding materials when assisted by the application
of external pressure. Therefore, the objective of the present study was to implement
high-speed sinter-bonding at a relatively low bonding temperature of 250 °C in air
using low-cost Cubased (Cu formate and pure Cu) particles and a Cu-finished chip and
substrate. In addition, we synthesized filler particles mixed in situ with Cu formate
and pure Cu during the reduction of Cu2O particles, because the reduction of Cu formate causes the volume to shrink significantly
(approximately 90%) [26].
2. EXPERIMENT
2.1 Particle synthesis and paste preparation
Filler particles mixed with Cu and Cu formate were synthesized using a simple wet
reaction [27]. First, 25–75 g of Cu2O powder (95%, Daejung Chemical) was added into 252 mL of formic acid (HCOOH, 85%,
Samchun Pure Chemical). Second, the slurry was stirred at 250 rpm for 15-25 min. The
resultant slurry was washed three times with ethanol. Finally, the sludge was decanted
and dried in a lowvacuum oven for 5 h. Subsequently, a paste containing the obtained
particles was prepared by mixing the dried particles with α-terpineol (98.5%, Samchun Pure Chemical) at the weight ratio of 7:3 using a spatula.
2.2 Sinter-bonding
Dummy Cu substrates and chips were polished with a 2000-mesh sandpaper and then etched
in a 10% H2SO4 solution for 1 min. The prepared paste was screen-printed on a dummy Cu substrate
over an area of 3×3 mm, followed by drying at 150 °C for 3 min to decrease the amount
of solvent by evaporation. Subsequently, a 3×3×1 mm dummy Cu chip was placed on the
printed pattern to form a sandwich structure. For sinter-bonding, the sandwich-structured
sample was heated at 250 °C at a continuously applied external pressure of 5 or 10
MPa using a thermo-compression bonder, and held for 1-10 min at that temperature.
2.3 Characterization
The morphology of the initial Cu2O and synthesized Cu complex particles, the cross-sectional microstructures of the
bond-lines, and the fracture surfaces were characterized using high-resolution scanning
electron microscopy (HR-SEM, SU8010, Hitachi High-Technologies Co.). Thermal analysis
of the particles was carried out while heating to 400 °C in air, at a heating rate
of 10 °C/min using thermogravimetry-differential thermal analysis (TG-DTA, DTG-60,
Shimadzu) to estimate the thermal behavior of the Cu complex particles during heating.
Phase transformation in the particles after wet synthesis or heating was determined
by X-ray diffraction (XRD, DE/D8 Advance, Bruker). The solidity of the formed bond-line
was measured during shearing at 200 μm/s at a shear height of 200 μm using a bond
tester (DAGE 4000, Nordson Corp.), and the bonding strength was defined as the measured
maximum stress.
3. RESULTS AND DISCUSSION
3.1 Synthesis of Cu complex particles
Fig 1 shows the morphologies of the initial Cu2O particles and back-scattered electron (BSE) images of particles mixed with Cu formate,
and Cu particles obtained using different amounts of Cu2O, following wet synthesis for 15 min in formic acid. The synthesized particles indicated
two completely different morphologies. The white and tiny pseudo-spherical shapes
and grey flake-type particles in the BSE images represent pure Cu and Cu formate phases,
respectively [27], which were in situ mixed during the synthesis. However, the degree of aggregation
of the synthesized particles differed significantly based on the initial amount of
Cu2O. The best dispersion among the samples was accomplished when 50 g Cu2O was used.
Fig 2 shows the BSE images of the Cu complex particles obtained at various synthesis times
when 50 g Cu2O particles was added. In principle, the aggregation between particles intensified
and the number of pure Cu particles decreased with increasing synthesis time. The
XRD patterns of the particles measured as a function of synthesis time are shown in
Fig 3.
In every sample of 15-25 min synthesis times, pure Cu, Cu formate, and slight Cu oxide
phases were indexed. However, the peaks of Cu formate were slightly higher with an
increase in synthesis time, indicating that the amount of Cu formate increased with
time. The Cu oxide phase seemed to be the result of the oxidation of the synthesized
pure Cu in air.
The formation of Cu formate from Cu2O can be accomplished through following two reactions [27]:
Thus, with insufficient synthesis time, a pure Cu phase will be obtained. The 15-min
synthesis using 50 g Cu2O particles was chosen as an optimal synthesis condition to prepare a filler for a
paste with both less aggregation and a higher total amount of pure Cu particles in
the filler material.
3.2 Thermal properties of the synthesized particles
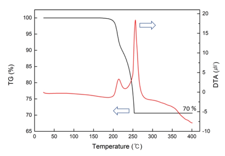
The TG-DTA results of the synthesized particles mixed with Cu formate and Cu are presented
in Fig 4.
The Cu formate in the particles began to decompose at approximately 200 °C via the
sequential reactions of Equations (3) and (4) [28,29], resulting in abrupt weight loss and heat generation:
Accordingly, exothermic peaks of the two steps were observed in the DTA curve during
the weight-loss period; the appearance of the peaks was slightly delayed compared
to that observed in a previous report due to the fast heating rate [28]. The generated heat (26±2 kJ/mol [30]) can substantially contribute to sinter-bonding behavior. The weight loss approached
approximately 30% at 251 °C, which implies that the amount of Cu formate in the mixed
particles was 62 % in weight.
The XRD result indexed after heating the Cu complex particles at 300 °C is shown in
Fig 5. The peaks of Cu formate disappeared and those of pure Cu were strongly indexed as
a product of the pyrolysis. The Cu generated in situ during the pyrolysis would be
inherently active, thus we expected that it would exhibit strong sinterability under
physical contact. In the results, the peaks of copper oxides were also indexed owing
to the heating in air. However, the degree of oxidation can be significantly reduced
in a real bond-line if the bond-line can be rapidly compacted by an external pressure,
unlike the heating conducted without pressure for this measurement. This result clearly
demonstrates that the Cu formate used in the Cu complex particles was transformed
to Cu by pyrolysis through heating in air.
3.3 Sinter-bonding properties of the paste containing synthesized particles
Fig 6 shows the average shear strength values of dummy Cu chips sinter-bonded at 250 °C
in air as a function of bonding time. Overall, the strength increased, with an increase
in bonding time under 10 MPa pressure. The strength finally approached the excellent
value of 22.2 MPa after bonding for 10 min, surpassing the strength of Pb-5Sn bond-lines
[31]. When the bonding pressure was 5 MPa, however, the strength decreased to less than
half for an identical bonding time. These results indicate that rapid sinter-bonding
within 10 min at 250 °C in air using Cu-based particles is feasible under a pressure
of 10 MPa, which is a significantly faster method compared to those performed at higher
temperatures in inert atmospheres using Cu-based particles [32].
The BSE images of bond-lines sinter-bonded at 250 °C under 10 MPa are shown in Fig 7. In cases where the density of the formed bond-line is high, there may be instances
where micro voids are filled due to the influence of debris during the polishing process.
However, in this study, it was distinctly observed that there were hardly any instances
of voids being filled, as the density of the bond-line was not high or only macro
voids primarily exist.
For the samples bonded up to 3 min, compact microstructures were not formed in the
bond-lines although three-dimensional connections between the remnant particles were
formed. However, compact bond-line structures were observed in the 5-min bonded samples,
and bonding areas at the chip/bond-line particles and bond-line particles/substrate
interfaces were significantly enhanced in the samples. Detailed observation of the
bond-lines revealed the formation of oxide shells on the surfaces of the remnant Cu
particles. The formation of such oxide shells is anticipated to have a somewhat detrimental
effect on the thermal conductivity property within the bond-line.
3.4 Fractography
Fig 8 shows images of the fracture surfaces on the dummy chips sinter-bonded at 250 °C
with respect to bonding time. Bond-line/substrate interfacial failures were observed
in the 1- and 3-min bonded samples, indicating that the interface was weakest owing
to insufficient sintering. However, the failure mode changed to coherent failure within
a bond-line from the bonding of 5 min, implying that sinter-bonding at the bond-line/substrate
interface was reinforced. Furthermore, shear bands indicating the ductile fracture
were clearly observed on the fracture surfaces, and the number of shear bands increased
in the 10-min samples. Although oxide layers existed on both substrate and chip, the
sinter-bonding at the interface seemed to be responsible for the in-situ reduction
of the oxide layers during the bonding. The hydrogen gas emitted by Equations (3) and (4) during the pyrolysis facilitated robust interfacial sintering on the Cu finish by
reducing the surface oxide at that temperature with the assistance of external pressure.
Immediately after the reduction, active Cu already reduced in the bond-line began
to sinter with the Cu finishes of both substrate and chip, and solidity at the interfaces
was attained with an increase in the interfacial sintering area by the increase in
bonding time.
4. CONCLUSIONS
Robust die bonding using a Cu-finished substrate and chip was achieved at high speed
by sinter-bonding in air at a low temperature of 250 °C, using a paste containing
a mixture of Cu formate and pure Cu. The filler mixture of Cu formate and Cu particles
was spontaneously formed by the simple wet reaction of Cu2O particles for a short time of 15 min. During bonding, the Cu generated in situ by
pyrolysis at temperature exceeding 200 °C exhibited significant sinterability, and
the simultaneously emitted hydrogen reduced oxide layers on the Cu finishes. As a
result, dies that were sinter-bonded even for 10 min under 10 MPa compression exhibited
a sufficient shear strength of 22.2 MPa even though Cu oxide shells formed in the
bond-line, since the process was conducted in air. Compared to the use of Cu formate
particles alone, the filler mixture resulted in low volume shrinkage in the bond-line
during bonding. The simple wet reaction provides an efficient preparation method for
an effective filler system for sinter-bonding.
Acknowledgements
This study was supported by the Research Program (U2023-0102) funded by SeoulTech
(Seoul National University of Science and Technology).
REFERENCES
Chin H.S., Cheong K.T., Ismail A.B., A review on die attach materials for SiC-based
high-temperature power devices, Metall. Mater. Trans,41, 824 (2010)

Bai J.G., Yin J., Zhang Z., Lu G.-Q., van Wyk J.D., High-temperature operation of
SiC power devices by low-temperature sintered silver die-attachment,IEEE Trans. Adv.
Packag,30, 506 (2007)

Hong W.S., Kim M.S., Oh C., Low-pressure silver sintering of automobile power modules
with a silicon-carbide device and an active-metal-brazed substrate,J. Electron. Mater,49,
188 (2020)

Zhang Z., Lu G.-Q., Pressure-assisted low-temperature sintering of silver paste as
an alternative die-attach solution to solder reflow,IEEE Trans. Electron. Packag.
Manuf,25, 279 (2002)

Ishihara S., Takemasa T., Suganuma K., Kano J., Analysis of the formation mechanism
of coarse-dense structure of silver paste in die bonding,Adv. Powder Technol,32, 2020
(2021)

Chen T.F., Siow K.S., Comparing the mechanical and thermal-electrical properties of
sintered copper (Cu) and sintered silver (Ag) joints,J. Alloy. Compd,866, 158783 (2021)

Pouranvari M., Ekrami A., Kokabi A.H., Effect of bonding temperature on microstructure
development during TLP bonding of a nickel base superalloy,J. Alloy. Compd,469, 270
(2009)

Ning P., Lei T.G., Wang F., Lu G-Q., Ngo K.D.T., Rajashekara K., A novel high-temperature
planar package for SiC multichip phase-leg power module,IEEE Trans. Power Electron,25,
2059 (2010)

Yoon S.W., Glover M.D., Shiozaki K., Nickel-tin transient liquid phase bonding toward
high temperature operational power electronics in electrified vehicles,IEEE Trans.
Power Electron,28, 2448 (2013)

Mustain H.A., Brown W.D., Ang S.S., Transient liquid phase die attach for high-temperature
silicon carbide power devices,IEEE Trans. Compon. Packaging Technol,33, 563 (2010)

Shao H., Wu A., Bao Y., Zhao Y., Zou G., Microstructure characterization and mechanical
behavior for Ag3Sn joint produced by foil-based TLP bonding in air atmosphere,Mater.
Sci. Eng. A,680, 221 (2017)

Bajwa A.A., Wilde J., Reliability modeling of Sn-Ag transient liquid phase die-bonds
for high-power SiC devices,Microelectron. Reliab,60, 116 (2016)

Lee C.H., Choi E.B., Lee J-H., Characterization of novel high-speed die attachment
method at 225 °C using submicrometer Ag-coated Cu particles,Scr. Mater,150, 7 (2018)

Fu S., Mei Y., Lu G-Q., Li X., Chen G., Chen X., Pressureless sintering of nanosilver
paste at low temperature to joint large area (≥100 mm2) power chips for electronic
packaging,Mater. Lett,128, 42 (2014)

Kim Y., Han B.J., Lee J.-H., Paste containing 1.5 μm Ag particles with enhanced surface
area: ultrafast thermocompression sinter-bonding and annealing effects,Korean J. Met.
Mater,60, 827 (2022)

Liu X., Nishikawa H., Low-pressure Cu-Cu bonding using in-situ surface-modified microscale
Cu particles for power device packaging,Scr. Mater,120, 80 (2016)

Jianfeng Y., Guisheng Z., Anming H., Zhou Y.N., Preparation of PVP coated Cu NPs and
the application for low-temperature bonding,J. Mater. Chem,21, 15981 (2011)

Kaimori S., Nonaka T., Mizoguchi A., The development of Cu bonding wire with oxidation-resistant
metal coating,lEEE Trans. Adv. Packag,29, 227 (2006)

Han B.J., Kim Y., Lee J.-H., A review of recent research trends of forming of metallic
bondlines using core-shell particles and bonding properties according to particle
type,Korean J. Met. Mater,61, 679 (2023)

Gao R., He S., Li J., Shen Y.-A., Nishikawa H., Interfacial transformation of preoxidized
Cu microparticles in a formicacid atmosphere for pressureless Cu-Cu bonding,J. Mater.
Sci.: Mater. Electron,31, 14635 (2020)

Yabuki A., Arriffin N., Yanase M., Low-temperature synthesis of copper conductive
film by thermal decomposition of copper-amine complexes,Thin Solid Films,519, 6530
(2011)

Yabuki A., Tanaka S., Electrically conductive copper film prepared at low temperature
by thermal decomposition of copper amine complexes with various amines,Mater. Res.
Bull,47, 4107 (2012)

Joo M., Lee B., Jeong S., Lee M., Laser sintering of Cu paste film printed on polyimide
substrate,Appl. Surf. Sci,258, 521 (2011)

Lee B., Jeong S., Kim Y., Jeong I., Woo K., Moon J., Hybrid copper complex-derived
conductive patterns printed on polyimide substrates,Met. Mater. Int,18, 493 (2012)

Joo M., Lee B., Jeong S., Lee M., Comparative studies on thermal and laser sintering
for highly conductive Cu films printable on plastic substrate,Thin Solid Films,520,
2878 (2012)

Farraj Y., Grouchko M., Magdassi S., Self-reduction of a copper complex MOD ink for
inkjet printing conductive patterns on plastics,Chem. Commun,51, 1587 (2015)

Lee B.Y., Synthesis and characterization of conductive paste using copper complex,Ph.
D. Thesis,Yonsei University (2011)

Lee B., Jeong S., Kim Y., Jeong I., Woo K., Moon J., Hybrid copper complex-derived
conductive patterns printed on polyimide substrates,Met. Mater. Int,18, 493 (2012)

Rosenband V., Gany A., Preparation of nickel and copper submicrometer particles by
pyrolysis of their formats,J. Mater. Process. Technol,153-154, 1058 (2004)

Vecher A.A., Dalidovich S.V., Gusev E.A., Decomposition of copper(Ⅱ), nickel(Ⅱ) and
cobalt(Ⅱ) formats in self-generated atmospheres,Thermochim. Acta,89, 383 (1985)

Suganuma K., Kim S.-J., Kim K.-S., High-temperature lead-free solders: properties
and possibilities,JOM,61, 64 (2009)

Rebhan B., Hesser G., Duchoslav J., Dragoi V., Wimplinger M., Hingeri K., Low-temperature
Cu-Cu wafer bonding,ECS Trans,50, 139 (2013)

Figures
Fig. 1.
(a) SEM image of used Cu2O particles and BSE images of Cu complex particles synthesized through a wet reaction
for 15 min in formic acid with different amounts of Cu2O: (b) 25, (c) 50, and (c) 75 g.
Fig. 2.
BSE images of Cu complex particles synthesized using 50 g of Cu2O for different synthesis times: (b) 15, (c) 20, and (c) 25 min.
Fig. 3.
XRD patterns of particles synthesized for different synthesis times.
Fig. 4.
TG-DTA curves of the synthesized Cu complex powder.
Fig. 5.
XRD pattern measured after heating the Cu complex particles at 300 °C in air.
Fig. 6.
Average shear strength of the dummy Cu chips sinter-bonded at 250 °C in air for different
times under pressures of 5 or 10 MPa.
Fig. 7.
BSE images of the representative bond-lines sinter-bonded at 250 °C under 10 MPa for
different bonding times: (a) 1, (b) 3, (c) 5, and (d) 10 min.
Fig. 8.
Representative SEM images of the fracture surfaces on dummy chips obtained after shearing
the chips sinter-bonded at 250 °C for different bonding times: (a) 1, (b) 3, (c) 5,
and (d) 10 min.