김병훈
(Byung-Hoon Kim)
12
공병욱
(Byeong-Ook Kong)
2
주윤곤
(Yun-Kon Joo)
2
주영규
(Young-Kyu Ju)
3
홍현욱
(Hyun-Uk Hong)
1
이재현
(Je-Hyun Lee)
12*
-
국립 창원대학교 신소재공학부
(1Department of Materials Science and Engineering, Changwon National University, Changwon,
51140, Republic of Korea)
-
국립 창원대학교 미래에너지 혁신기술연구센터
(2Research Center for Technological Innovation on Future Energy, Changwon National University,
Changwon, 51140, Republic of Korea)
-
한화에어로스페이스 항공우주연구소
(3Aerospace Materials R&D Center, Hanwha Aerospace Co, Seongnam, 13488, Republic of Korea)
Copyright © 2024 The Korean Institute of Metals and Materials
Key words
IN738LC, Solidification rate, Tensile property, Stacking fault
1. 서 론
니켈기 초내열합금은 주로 산화 환경의 고온에서 높은 강도와 크리프 저항으로 인해 항공기 엔진 및 고정식 가스터빈의 블레이드 및 베인등에 주로 사용되고
있다[1]. 초내 열합금에서 주요 강화상인 γ', Ni3(Al, Ti) 금속간 화합물은 고온에서 인장 및 크리프 특성을 향상시키는데 주요한 역할을 한다.
니켈기 초내열합금의 강도는 γ' 석출물의 부피분율, 크기, 형상, 분포, 조대화 속도 및 조성과 같은 요인에 따라 달라진다[2]. 특히 γ' 석출물은 고온에서 역위상경계(Antiphase boundary)를 형성하여 고온 강도를 증가시키며 체적 분율이 증가할수록 고온 강도와
내크리프성 등이 증가한다[3].
IN738LC 합금은 기지에 강화상인 γ' 이 40~43%로 구성되어 있다[4]. 열처리에 의해 γ' 석출물의 크기와 형태등을 최적화 하여 고온에서 우수한 기계적 특성을 갖도록 하는 것이 중요하다[5]. γ’ 석출물 크기 외에도 부피 분율과 형상은 부분 용체화 처리 후 적용된 냉각 속도에 크게 영향을 받는다. 냉각 속도가 증가할 수록 γ' 석출물
크기를 감소[6]시키고 합금 강도를 향상시키지만 연성을 손상시킨다[7]. 특히 열처리에 따른 특성과 관련해서는 표준열처리(SHT)[8] 조건에서 TEM을 이용하여 전위-석출물 상호작용에 의해 재료의 인장 변형 거동을 연구[9], IN738LC 합금의 미세조직 특성에 미치는 열처리 온도 및 냉각속도의 영향[10], 다양한 변형 속도와 열처리 조건이 인장 강도에 미치는 영향[11], 니켈기 초내열합금의 고온인장 특성에 미치는 결정립계 형상의 영향[12], IN738LC의 일방향 응고 실험을 통해 응고속도에 따른 응고 계면의 미세조직 변화와 탄화물 형태 분석[13], 응고속도 및 온도구배가 일방향 응고조직에 미치는 영향[14], IN625 초내열합금의 응고거동과 응고변수가 계면 미세조직 형성에 미치는 영향[15] 등 많은 연구가 진행 되었으나 정밀주조후의 주조재의 응고속도를 예측하여 응고속도에 따른 기계적 특성과의 관계와 용체화 온도에 따른 γ’ 석출물의
형상과 분포가 인장 특성에 미치는 영향에 대한 연구는 중요한데 이 부분에 대해서는 아직 부족한 부분이 많다.
본 연구에서는 니켈기 초내열합금 IN738LC의 직경이 다른 봉상의 진공정밀주조재의 2차 수지상 간격을 측정하여 일방향 응고실험에서 구한 응고조직
결과[13]와 비교하여 주조재의 응고속도를 도출 하였다. 이를 인장 특성에 미치는 응고속도의 영향에 대해 고찰 하였다. 또한 용체화 열처리 조절을 통해 γ’
석출물의 형상과 크기가 다른 소재에 대하여 인장 특성에 미치는 영향에 대하여 고찰하였다.
2. 실험 방법
본 연구에 사용된 니켈기 초내열합금 IN738LC의 화학 성분을 표 1에 나타내었다. 시편은 Cannon-Muskegon사의 모합금인 IN738LC 잉곳을 이용하여 진공 정밀 주조법을 이용하여 봉상(Mold 직경 17
mm(D17), 60 mm(D60)) 형태로 주조하여 열처리 시편으로 제작하였다. 앞선 연구에서[13] 일방향응고시험에서 구한 2차 수지상 간격과 응고 속도 관계식으로부터 진공주조후의 시험편의 2차 수지상 간격을 측정하여 응고속도를 예측하였으며 표준
열처리(SHT)[8]를 실시한 후 D17재와 D60재의 응고속도에 따른 인장 특성을 비교하였다.
가열 및 냉각과정에서 생성되는 주요상의 변태 온도를 측정하기 위하여 시차주사열량 측정법(Differential Scanning Calorimetry,
DSC)장비로 열분석 시험을 실시하였으며, 승온 및 냉각 속도는 10°C/min으로 수행 하였다. DSC로 측정한 γ' solvus 온도(1150°C
[16]) 위와 아래의 온도에서 용체화 처리와 시효 열처리로 구성된 열처리를 수행하였고, 열처리 조건은 다음과 같다.
1) S20: 용체화 처리 (1120°C에서 2시간, 공냉) +시효 처리 (843°C에서 24시간, 공냉)
2) S80: 용체화 처리 (1180°C에서 2시간, 공냉) +시효 처리 (843°C에서 24시간, 공냉)
용체화 처리 및 시효 처리 후의 시편 S20재와 S80재에 대하여 γ’ 석출물의 형상과 크기등 미세조직을 관찰하였으며 상온 및 고온 인장 시험을 수행하여
용체화 처리 온도에 따른 인장 변형 거동을 조사하였다. 각각의 시편을 연마 한 후 γ' 석출물을 관찰하기 위해 33% 질산(nitric acid)
+ 33% 아세트산(acetic acid) + 33% 증류수 + 1% 불산(hydrofluoric acid)을 혼합한 용액으로 부식 시킨 후 관찰
하였으며 결정립도, 수지상조직과 탄화물 관찰은 Kalling II (2 g CuCl2 + 80 ml Ethanol + 40 ml HCl)용액으로 부식 시켰다. 결정립도 측정은 25배 사진에서 Line intercept 방법으로 측정하였으며
2차 수지상 간격은 50배 사진에서 측정하였다.
인장 시험은 ASTM E8과 E21 규격에 따라 상온(25°C), 760°C에서 게이지 길이 30 mm, 게이지 부의 지름은 6 mm인 원통형 시편을
사용하였으며, 상온 인장 시험은 10 ton 용량의 만능인장시험기(MTDI, MINOS-100S(ULM-T10)에서 게이지 길이 25 mm인 신율계(Extensiometer)를
장착하였으며, 고온인장시험은 고온용 신율계 (Extensiometer)를 장착하여 0.025 mm/sec의 속도로 인장 실험을 하였다.
인장 시험 후 파단 양상을 관찰 하기 위해 응력 축에 평행하게 절단된 단면의 미세조직 관찰은 광학 현미경과 주사전자현미경(SEM, Scanning
Electron Microscope: JEOL, JSM-6510)을 사용하였으며 γ' 석출물의 크기와 형상은 전계 방사형 주사전자현미경(FE-SEM:
MIRA II LMH)을 이용하여 관찰 하였다. γ' 석출물의 부피분율과 평균 크기는 Image J 와 Deep learning 모델을 이용한 AI
측정법[17]을 병행하여 측정하였다. 탄화물등 석출물의 화학조성 분석은 EDS(Energy Dispersive Spectrometer)를 이용하여 분석하였다.
전위조직은 인장 시험 후의 시편을 응력 축에 수직하게 절단 후 직경 3 mm의 disc 시편을 채취하여 기계적 연마한 후 메탄올과 10% 퍼클로릭산(Perchloric
acid)을 섞은 용액을 사용하여 -25°C에서 17V의 전압으로 전해연마하여 고분해능 투과전자현미경(FETEM, Transmission Electron
Microscope: JEOL JEM-2100F)으로 관찰 하였다.
3. 결과 및 고찰
3.1. DSC 열분석
본 연구에서 사용된 니켈기 초내열합금 IN 738LC의 응고과정에서 발생하는 주요상의 상변태 온도를 확인 하기 위하여 DSC 열분석을 실시하여 승옥
곡선과 냉각 곡선의 결과를 그림 1에 나타내었다.
가열 곡선(그림 1 (a))에서 γ' solvus 온도는 1150°C, 고상선(Solidus) 온도는 1302°C 이며, MC탄화물의 용해 온도는 1331°C, 액상선 (Liquidus)
온도(TL)는 1349°C 로 각각 측정 되었다. 냉각 곡선(그림 1 (b))에서 초정 γ 상은 1342°C에서 형성되기 시작하고 MC 탄화물은 1293°C 에서 형성[13]되기 시작하여 1207°C에서 γ / γ' 공정이 형성되기 시작하여 최종 응고는 1196 °C에서 완료 되었으며 γ' 상은 1096 °C에서 석출
되는 것이 확인 되었다.
3.2. 2차 수지상 간격과 응고속도 예측
그림 2는 진공정밀주조후 D17재, D60재의 응고조직을 관찰 한 것이다. 주조재의 결정립의 크기를 측정한 결과 D17재 (그림 2 (a))의 경우 결정립은 약 646 μm 이었으며 D60재(그림 2 (b))는 2291 μm로 D17재에 비해 약 3배이상 조대한 것을 알 수 있다. 대부분의 주조용 니켈기 초내 열합금은 주조시 수지상 형태로 응고되며 최종적으로
응고되는 부분에 조대한 γ / γ' 공정조직이 관찰 되며 편석에 의하여 수지상 내부와 공정조직내의 γ' 고용 온도와 γ 기지의 용융온도등이 달라 진다[18]. D17와 D60재의 정밀 주조 후 응고속도를 예측하기 위하여 2차 수지상 간격(Secondary Dendrite Arm Spacing, SDAS)을
측정하였다. D17재 (그림 2 (c))의 경우 2차 수지상 간격은 약 39.36 μm이었으며 D60재 (그림 2 (d)) 는 80.81 μm로 2차 수지상 간격이 2배 정도로 넓은 것을 알 수 있다. 2차 수지상 간격은 응고속도 뿐만 아니라 온도구배가 증가할수록 감소하게
되며 온도구배와 응고속도에 따른 이차 수지상 간격의 관계는 다음의 이론식으로 나타낼 수 있다.
Hunt 등[19]은 온도구배의 존재는 수지상간 영역에서 용질원소 확산의 구동력이 되어 고체에서 용질원소의 재분배를 일으킬 수 있고 2차 수지상은 온도구배에 따라
이동을 일으킬 수 있다. 따라서 2차 수지상 간격은 응고조건과 밀접한 관계가 있다. McLean 등[20]은 2차 수지상 간격은 공정조건과의 관계에서 냉각속도(GV)와 관련된다는 것을 다음식으로 나타내었다.
여기서 K2는 상수이고, 수지상 간격(λSDAS)은 온도구배(G)와 응고속도(V)에 의해 결정된다. 식(1)에 의하면 2차 수지상 간격(SDAS)은 온도구배와 응고속도가 증가 할수록 감소하게 된다.
응고거동과 특성 등을 고찰하기 위해 일방향 응고로를 이용하여 각 응고 조건별로 IN738LC 초내열합금에서 2차 수지상 간격(SDAS)을 측정한 선행연구결과[13]를 이용하여 다결정 주조재의 응고속도를 유추 할 수 있으며, 그림 2 (c), (d)의 직경 17 mm (D17재)와 60 mm (D60재)의 2차 수지상 간격 측정 결과를 그림 3에 함께 나타내었다.
그림 3으로부터 예측한 D17재의 응고속도는 약 19.35 μm/s 이었으며 D60재의 응고속도는 약 4.21 μm/s로 예측할 수 있다. 2차 수지상 간격(SDAS)은
동일한 온도구배 조건에서 응고속도의 증가에 따라 감소하며 그 기울기(log-log plot)가 -0.38 로서 위의 식 (1) 과 유사한 경향을 가지고 있다.
3.3. 응고속도에 따른 미세조직
그림 4는 1120°C에서 용체화 처리 후 843°C에서 시효 처리한 D17재, D60재의 응고속도에 따른 주사전자현미경 조직을 나타낸 것이다. 그림 4 (a)의 응고속도가 빠른 D17재는 입내 및 입계에 Ta, Ti rich 한 문자형(Script)의 MC 탄화물(그림 4 (e))이 석출 하였으며 낮은 밀도로 결정립계를 따라 관찰되는 미세한 탄화물은 Cr rich M23C6 탄화물(그림 4 (f)) 인 것으로 확인 되었다. 그림 4 (c)의 응고속도가 느린 D60재는 γ / γ′ 공정 조직 근처에 조대한 문자형의 MC 탄화물이 관찰 되었다. H.C.Kim 등[13]은 일방향 응고 실험에서 탄화물의 형태는 응고속도가 낮은 1 μm/s 에서는 평면계면에서 괴상형(Blocky)과 막대형(Rod)이었으며, 조대한
문자형(Script type) MC 탄화물이 형성되는 응고속도는 5 μm/s 이며 미세한 문자형(Script type) MC 탄화물은 50 μm/s
에서 관찰되며 응고속도가 100 μm/s 로 증가함에 따라 탄화물 형상은 문자형(Script)에서 반점형(Spotty)으로 변화한다고 보고 하였다.
본 실험에서 예측한 D17재(19.35 μm/s)와 D60재(4.21 μm/s)의 응고속도에서는 주로 문자형의 MC 탄화물이 석출되었으며 응고속도가
느린 D60재에서는 그림 4 (c)와 같이 조대한 문자형의 MC 탄화물이 석출되어 유사한 경향을 나타내었다.
그림 4 (b), (d)는 용체화 처리 및 시효 처리 후의 수지상 입내에 석출한 γ′ 의 형상을 관찰 한 것으로 D17재와 D60재는 용체화 처리를 수행한 후 냉각 중에
cuboidal 형태의 조대한 1차 γ′ 석출물과 미세한 구형의 2차 γ′ 석출물이 혼재한 bimodal 형태의 미세조직이 관찰 되었으며 시효 처리
후 석출물은 약간 성장 하였다.
그림 5에 D17재와 D60재의 응고속도에 따른 γ′ 석출물 크기 분포를 Histogram 으로 나타내었다. 그림 5 (a), (b)에서 D17재 와 D60재의 조대한 1차 γ′ 석출물의 크기는 각각 341 nm, 443.3 nm 이었으며 미세한 구형의 2차 γ′ 석출물의 크기는
각각 52.6 nm, 58.9 nm 크기를 가진 bimodal 형태의 γ′ 석출물이 관찰 되었다. 응고속도가 느린 D60재의 γ′ 석출물의 크기가
크고 분포도 불균일 한 것을 알 수 있다. D17재와 D60재의 응고속도에 따른 시효 열처리 후의 γ′ 석출물의 부피분율과 γ′ 석출물 간의 거리를
그림 6에 나타내었다.
γ′ 석출물의 부피분율은 D17재와 D60재는 각각 38.0%, 27.3%로 D17재의 γ′ 석출물의 부피분율이 크며 1차 γ′ 석출물 간의 거리는
각각 154 nm, 195.3 nm 로 응고속도가 빠를수록 γ′ 석출물 간의 거리는 감소하였다. 이러한 γ′ 석출물의 부피분율 차이와 γ′ 석출물
간의 거리의 차이가 기계적 성질에 영향을 미칠 것으로 예상된다.
3.4. 응고속도에 따른 인장특성
그림 7은 응고속도에 따른 상온 및 고온 인장 강도 변화를 나타낸 것이다. 응고속도가 19.35 μm/s로 빠른 D17재가 응고속도가 4.21 μm/s로
느린 D60재에 비해 상온 및 760°C 인장강도와 항복강도가 높은 값을 나타내었다. 니켈기 초내열합금에서 기계적 성질에 미치는 인자로는 γ' 석출물의
부피 분율, 크기, 형태, 분포와 탄화물(MC 및 M23C6) 등이 있다[2,21]. 응고시 생성되는 2차 수지상 간격(SDAS)이 좁을 수록 인장강도 및 경도등이 증가한다고 보고되고 있다[22,23,24]. 따라서 응고속도가 빠를수록 상온 및 고온 인장강도와 항복강도가 증가한 것은 D17재의 2차 수지상 간격(SDAS)이 작고 γ′ 석출물의 크기가
작고 균일하며 부피분율이 많고 γ′ 석출물 간의 거리가 짧아 진 것에 기인한 것으로 판단된다.
그림 8은 1120°C에서 용체화 처리 후 843°C에서 시효 처리한 표준 열처리를 수행한 D17재, D60재의 응고속도에 따른 상온 인장 파면의 응력축에
평행한 단면을 관찰 한 것이다. D17재 (그림 8 (a))의 인장 파면은 수지상 입계를 따라 입계 파면이 관찰 되었으며 D60재 (그림 8 (b))의 인장 파면은 조대한 수지상 입계를 따라 파단된 입계 파면을 나타내고 있다. 760°C 인장 파면은 그림 8 (d)와 같이 응고속도가 느린 D60재는 수지상 조직이 상대적으로 조대하고 수지상 입계근처에 기공(삼각형 표시)이 많이 관찰 되었으며 균열이 쉽게 전파할
수 있게 된다. 따라서 응고속도가 느릴수록 수지상 입자도 조대하고 수지상 입계를 따라 균열의 생성 및 전파가 용이하여 인장 강도가 저하된 것으로 생각된다.
3.5. 용체화 온도에 따른 미세조직
용체화 온도와 시효 처리 후의 γ' 석출물 형상의 변화를 FE SEM으로 관찰한 결과를 그림 9에 나타내었다.
그림 9 (a)는 그림 1의 DSC로 측정한 γ' solvus(1150°C) 이하의 온도인 1120°C에서 용체화와 시효 처리한 S20재의 γ' 형상을 관찰 한 것으로 cuboidal
형태의 조대한 1차 γ′ 석출물과 미세한 구형의 2차 γ′ 석출물이 혼재한 bimodal 형태의 미세조직이 관찰 되었다. 그림 9 (b)의 γ' solvus 이상의 온도인 1180°C에서 용체화와 시효 처리한 S80재는 조대한 1차 γ′ 석출물은 용체화 처리시에 대부분 γ 기지내에
완전히 고용이 되고 시효 처리 후에는 용체화 처리시 냉각 중에 생성된 미세한 구형의 γ′ 석출물이 성장한 monomodal 형태의 미세조직이 관찰
되었다.
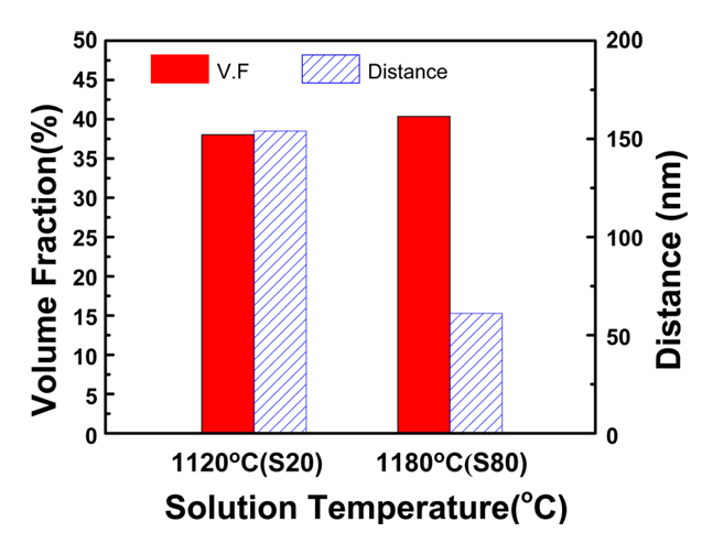
S20재와 S80재의 용체화 온도에 따른 시효 처리 후의 γ′ 석출물의 부피분율과 γ′ 석출물 간의 거리를 그림 10에 나타내었다.
용체화 온도에 따른 γ′ 석출물의 부피분율은 1120°C와 1180°C에서 각각 38.0%, 40.4%로 차이가 적었으나 γ′ 석출물 간의 거리는
각각 154 nm, 61.2 nm로 용체화 온도가 높을수록 γ′ 석출물 간의 거리는 감소하였다. 이러한 γ′ 석출물의 부피분율 차이와 γ′ 석출물
간의 거리, 형상의 차이가 기계적 성질에 영향을 미칠 것으로 예상된다.
S20재와 S80재의 용체화 온도에 따른 γ′ 석출물 크기 분포를 그림 11의 Histogram 으로 나타내었다. 그림 11 (a)의 S20재는 조대한 1차 γ′ 석출물의 평균크기가 약 341nm 이었으며 미세한 구형의 2차 γ′ 석출물의 평균크기는 약 52.6 nm 크기를 가진
bimodal 형태의 γ′ 석출물이 관찰 되었으며 그림 11 (b)의 S80재는 응고과정에서 생성된 조대한 γ′ 석출물은 완전히 용해된 후 시효 처리 후 냉각 동안에 생성된 구형의 2차 γ′ 석출물의 평균 크기는
약 121 nm 크기를 가진 monomodal 형태를 갖는 것으로 확인 되었다.
3.6. 용체화 온도에 따른 인장 특성과 변형 기구
용체화 온도에 따른 상온 및 760°C의 인장 강도 변화를 그림 12에 나타내었다.
Bimodal 형상을 가진 S20재의 상온 인장 강도는 1065 MPa, 항복 강도는 886.6 MPa, 연신율은 5.9% 이었다. S80재의 상온
인장 강도는 1075 MPa, 항복 강도는 947 MPa, 연신율은 3.1% 이었다. Monomodal 형상을 가진 S20재는 760°C 인장 강도는
928.6 MPa 이었으며 항복 강도는 798.7 MPa 이며 연신율은 14.2% 이었다. S80재는 760°C 인장 강도는 1041 MPa 이었으며
항복 강도는 899 MPa 이며 연신율은 9.8% 이었다.
Monomodal 형태의 균일한 구형의 γ′ 석출물 분포를 가진 S80재가 bimodal 형태의 γ′ 석출물을 가진 S20재에 비해 상온과 760°C의
인장강도와 항복강도는 높은 것을 알 수 있다. 용체화 온도를 1120°C, 1180°C로 γ’ solvus 온도 위와 아래의 온도로 변화 시킨 후
시효 처리한 주조재 S20과 S80재의 경우 결정립도나 이차 수지상 간격(SDAS)은 비슷하기 때문에 인장강도와 항복강도에 미치는 영향은 적은 것으로
보여지며, 조대한 1차 γ′ 석출물의 생성 여부와 상관없이 γ′ 석출물의 크기와 분포등이 더 중요한 역할을 한 것으로 판단된다. IN738LC 초내열합금에서
γ’ 석출물의 크기와 형태가 기계적 성질에 미치는 영향에 대한 연구에서 Cuboidal 형태의 γ’ sizes 가 0.35 ~ 0.45 μm 일때
크리프 수명이 가장 높은 값[25]을 나타내었으며, 70 nm크기의 구형의 γ′ 석출물을 가진 monomodal 분포를 가진 열처리재와 50 nm 이하의 구형의 γ′ 석출물과 450
nm 크기의 cuboidal γ′ 석출물을 가진 bimodal 분포를 가진 열처리재는 구형의 미세한 γ’ 석출물 크기를 가진 열처리재가 bimodal
크기를 가진 열처리재에 비해 항복 강도가 약간 우수하였으며 이는 γ’ 석출물의 크기 효과로 보고하였다[26]. 따라서 γ′ 석출물의 크기가 작고 석출물간의 간격이 좁은 monomodal 형태의 균일한 석출물 분포를 가진 S80재가 더 높은 상온 및 고온
인장 강도값을 나타내었다.
S20재와 S80재의 인장 시험 후 응력축에 평행한 파단면 측면의 미세조직을 비교하기 위하여 상온 및 고온 인장 시험한 시험편의 균열 인접부를 FE
SEM으로 관찰한 것을 그림 13에 나타내었다.
그림 13 (a)에 S20재의 상온 인장 시험 후에는 슬립 밴드(slip band)가 잘 관찰 되지 않았으나 γ' 석출물의 형상이 연신 되었다. 그림 13 (b)의 S80 재의 상온 인장 시험재 에서는 응력축에 45도 방향의 슬립 밴드들이 장범위에 걸쳐서 관찰되었다. 이 조건에서 전위들이 γ' 을 자르고 지나가며
전위의 진입이 용이한 특정부분에서 변형이 집중되는 것을 알 수 있다.
그림 13 (c), (d)의 S80재의 760°C 고온 인장 시험 후에도 S20재의 인장 시험 후에도 슬립 밴드는 잘 관찰 되지 않았으나 γ' 석출물의 형상이 응력축에 45도
방향으로 연신 되고 있는 것을 알 수 있다. S80재는 S20재에 비해 더 높은 밀도의 슬립밴드가 관찰 되었으며 이는 변형기구나 국부적인 전단강도의
변화가 γ' 형상의 차이에서 비롯된다는 것을 의미한다.
S20재와 S80재의 인장 시험 전/후의 TEM 미세조직을 비교하기 위하여 상온 및 760°C 인장 시험한 시험편의 [011]방향에서 관찰한 전위조직을
그림 14에 나타내었다.
인장 시험전 (그림 14 (a), (b))의 시효 처리 상태에서 전위는 γ 채널이나 γ’ 석출물 내에서도 관찰 되지 않았다. 상온에서 인장 시험한 경우 그림 14 (c)의 bimodal 형태의 γ’ 석출물의 크기가 큰 S20재는 상온에서 완전전위가 역위상경계를 만들며 전단함으로 나타나는 슬립밴드가 많이 관찰되었다.
반면 그림 14 (d)의 구형의 monomodal 형태를 가진 S80재는 γ’ 석출물의 크기가 충분히 작아서 역위상경계(APB) 전단에 의한 슬립밴드 뿐만 아니라 한번
분해된 부분전위가 γ’ 석출물을 자르는 것 뿐만 아니라 γ 기지도 연속적으로 활주하여 결과적으로는 γ’ 석출물과 γ 기지를 이어주는 연속적인 확장된
적층 결함(Extended Stacking Fault)이 관찰 되었다.
D. Bettge 등[27]은 IN738LC합금에서 인장시험결과 450°C 에서는 역위상경계(APB) 전위쌍에 의해 γ’ 전단이 일어나며 750°C 에서는 고온 적층 결함(SF)
이 전형적인 특징이라고 보고하였다. 760°C 인장 시험 후에는 그림 14(e)의 S20재는 고온에서 전위의 활성화 과정이 활발하여 적층결함(SF) 에너지가 역위상경계(APB) 에너지 보다 낮아서 적층결함이 용이하여 이러한 역위상경계(APB)
전단에 의한 슬립밴드가 상당히 줄어 들고 γ’ 석출물의 크기가 커서 분해된 선행하는 부분전위가 γ’ 석출물을 자르고 지나가고 나서는 γ 기지까지 연속적으로
활주 하지 않고 γ 기지로 활주 할 때는 완전전위로 합체한 후에 γ 기지로 활주 하게 되어 결과적으로 γ 기지에는 적층 결함이 발생하지 않고 큰 γ’
석출물내에서만 적층 결함이 관찰된 고립된 적층 결함(Isolated Stacking Fault)이 관찰 되었다.
그림 14 (f)의 S80재의 경우에는 γ’ 석출물 크기가 S20재에 비해 균일하고 작기 때문에 γ / γ′ 계면의 면적이 넓어져서 고온에서는 전위와 미세한 γ′
석출물사이에 상호작용하는 빈도수가 증가하여 계면 주위에 엉킨(tangled) 전위가 많이 관찰 되어 전위밀도가 높아져서 항복강도를 높이게 되었다
4. 결 론
본 연구에서는 IN738LC 초내열합금의 인장 특성에 미치는 응고속도와 용체화 온도의 영향에 대하여 연구하였으며 다음과 같은 결론을 얻었다.
1. 주조재의 2차 수지상 간격을 측정한 결과 D17재의 응고속도는 약 19.35 μm/s 이었으며 D60재의 응고속도는 약 4.21 μm/s 으로
예측 할 수 있다.
2. 응고속도가 빠른 D17재가 응고속도가 느린 D60재에 비해 상온 및 고온 인장 강도와 항복 강도는 증가하였다. 이는 2차 수지상 간격(SDAS)이
작고 γ′ 석출물의 크기가 작고 균일하며 부피분율이 많고 γ′ 석출물 간의 거리가 짧아 진 것에 기인하였다.
3. 용체화 온도에 따른 상온 및 760°C 인장 강도는 γ' 석출물의 크기가 미세하고 γ‘ 석출물 사이의 거리가 짧은 구형의 monomodal 형상을
가진 S80 재에서 높은 값을 나타내었다.
4. 상온 인장 시험시 변형 거동은 S20재에서 상온에서 완전전위가 역위상경계(APB)를 만들며 전단함으로 나타나는 슬립밴드가 많이 관찰되었다. S80재는
γ’ 석출물의 크기가 충분히 작아서 역위상경계(APB) 전단에 의한 슬립밴드 뿐만 아니라 γ’ 석출물 과 γ 기지를 이어주는 연속적인 확장된 적층
결함(Extended Stacking Fault)이 관찰 되었다.
5. 760°C에서의 변형 거동은 S20재는 γ 기지에는 적층 결함이 발생하지 않고 큰 γ’ 석출물내에서만 적층 결함이 관찰된 고립된 적층 결함(Isolated
Stacking Fault)이 관찰되었다. S80재는 γ’ 석출물 크기가 작은 것이 고온에서는 전위와 미세한 γ’ 석출물사이에 상호작용하는 빈도수가
증가하여 계면 주위에 엉킨(tangled) 전위가 많이 관찰 되어 전위밀도가 높아져서 항복강도를 높이게 되었다.
Acknowledgements
본 연구는 산업통상자원부의 재원으로 한국산업기술평가관리원(항공우주부품기술개발사업(No. 20002737), 항공용경량소재 국산화를 위한 소재데이터
시험개발사업(No. 20016472))의 지원을 받아 수행 되었음.
REFERENCES
Balikci E., Raman A., Journal of Materials Science,35, 3593 (2000)

Baldan A., J. Mater. Sci,37, 2379 (2002)

Mitchell R. J., Preuss M., Tin S., Hardy M. C., Mater. Sci. Eng. A,473, 158 (2008)

Mukherji D., Jiao F., Chen W., Wahi R.P., Acta. Metall,39, 7, 515 (1991)

El-Bagoury N., Waly M., Nafal A., Mater. Sci. Eng. A,487, 152 (1991)

Huang H., Liu G., Wang H., Wang Z., Zhang H., Shao Y., Hu B., Journal of Alloys and
Compounds,805, 1254 (2019)

Preuss M., Hardy M., Tin S., Hardy M., Materials Sci. Eng. A,473, 158 (2008)

“Alloy IN-738 Technical Data”,The International Nickel Company, Inc,15Cl-81, 5789
(1981)

Bettge D., Osterle W., Ziebs J., Z. Metallkd,86, 190 (1995)

Balikci E., Mirshams R.A., Raman A., J. Mater. Eng,9, 324 (2000)

Gopinath K., Gogia A.K., Kamat S.V., Balamuralikrishnan R., Ramamurty U., Metallurgical
and Mat. Transctions A,39A, 2340 (2008)

Shin Y. K., Kang B. I., Youn J. I., Kwon Y. N., Kim Y. J., Korean J. Met. Mater,60,
940 (2022)

Kim H.C., Kim Y.H., Jung Y.G., Lee J.H., Jo C.Y, Materials Science Forum,510, 450
(2006)

Ye D.H., Kim H.C., Lee J.H., Yoo Y.S., Jo C.Y., Korean Journal of Materials Research,12,
897 (2002)

Ham S., Park J., Jo C., Yang S., Joo Y., Gu J., Lee J., Korean J. Met. Mater,61, 261
(2023)

Kim B.H., Kong B.O., Joo Y.K., Jo C.Y., Lee J. H., Proceedings of Spring conference
of the Korean Institute of Metals and Materials, 55Korea Institute of Metals and Materials
(2023)

Kong B. O., Kim M. S., Kim B.H., Lee J. H., Metals and Materials International,29,
1334 (2023)

Choi B. G., Kim I. S., Do J. H., Jung J. E., Seok W. Y., Lee Y. H, Journal of Korea
Foundry Society,40, 118 (2020)

Hunt J. D., Lu S. Z., Metall. Mater. Trans. A,27, 3, 611 (1996)

McLean M., Directionally solidified material for high temperature service,32The Metals
Society (1983)

Boyraz M. T., M.S. Thesis,30-195, Middle East Technical University (2018)

Milenkovic S., Sabirov I., Lorca J. L, Materials Letters,73, 216 (2012)

Dong Q.Z., Cho I.S., Hwang H.Y., Journal of Korea Foundry Society,32, 225 (2012)

Li Q., Zhang H., Cheng Y., Du M., Gao M., Hong T., Jin Y., Zhang H., Journal of Alloys
and Compounds,923, 166390 (2022)

NATHAL M. V., Metallurgical Transactions A,18A, 1961 (1987)

Balikci E., Mirshams R.A., Raman A., Journal of Materials Engineering and Performance,9,
324 (2000)

Bettge D., Österle W., Ziebs J., Z. Metallkd,86, 190 (1995)

Figures and Table
Fig. 1.
DSC results for IN738LC superalloy.
(a) heating and (b) cooling processes.
Fig. 2.
Grain size and secondary dendrite arm spacing of IN738LC superalloy.
(a), (c) D17 (mold diameter of 17 mm) and (b), (d) D60 (mold diameter of 60 mm).
Fig. 3.
Secondary dendrite arm spacing with solidification rate.
Fig. 4.
SEM images of the carbides and γ’ morphology with solidification rate.
(a), (b) D17, and (c), (d) D60, EDS analysis of the carbides (e) Ta,Ti rich MC carbide,
(f) Cr rich M23C6 carbide.
Fig. 5.
Histogram of precipitate size distribution plot.
(a) D17 and (b) D60.
Fig. 6.
γ’ volume fraction and distance between γ’ precipitates after aging heat treatment
of D17 and D60.
Fig. 7.
Variation of tensile strength and yield strength with solidification rate.
(a) Tensile strength of D17 and D60, (b) Yield strength of D17 and D60.
Fig. 8.
Fractographs of a specimen with solidification rate. fractured at room temperature
(a) D17, (b) D60, and fractured at 760°C (c) D17, (d) D60.
Fig. 9.
FE SEM micrographs after solution treatment and aging. (a) Solution at 1120°C and
aging at 843°C of S20, (b) Solution at 1180°C and aging at 843°C of S80.
Fig. 10.
γ’ volume fraction and distance between γ’ precipitates with solution temperature
of S20 and S80.
Fig. 11.
Histogram of γ’ size distribution after aging of S20 and S80.
Fig. 12.
Tensile strength and elongation after aging with solution temperature of S20 and
S80. (a) Room temperature, (b) 760°C.
Fig. 13.
FE SEM micrographs of sections parallel to loading axis after tensile test. at room
temperature (a) S20, (b) S80, at 760°C (c) S20, (d) S80.
Fig. 14.
TEM micrographs (z=[011]) showing dislocation structure. (a) after solution(1120°C)
and aging of S20, (b) after solution (1180°C) and aging of S80, (c) after tensile
test at room temperature of S20, (d) S80, (e) after tensile test at 760°C of S20,
(f) S80.
Table 1.
Chemical composition of the IN738LC superalloy.
|
Element
|
C
|
Cr
|
Co
|
Al
|
Ti
|
Mo
|
W
|
Ta
|
Nb
|
B
|
Zr
|
Ni
|
|
wt%
|
0.11
|
16.0
|
8.28
|
3.32
|
3.31
|
1.74
|
2.6
|
1.7
|
0.92
|
0.01
|
0.04
|
Bal.
|