The Journal of
the Korean Journal of Metals and Materials

The Journal of
the Korean Journal of Metals and Materials

Monthly
  • pISSN : 1738-8228
  • eISSN : 2288-8241

Editorial Office


  1. 서울시립대학교 신소재공학과 (1Department of Materials Science and Engineering, University of Seoul, Seoul 02504, Republic of Korea)
  2. 연세대학교 신소재공학과 (2Department of Materials Science and Engineering, Yonsei University, Seoul 03722, Republic of Korea)



Cu3SbSe4, Single Parabolic Band model, density-of-states effective mass, non-degenerate mobility, weighted mobility

1. 서 론

화석연료를 기반으로 한 발전의 경우 인류의 지속 가능한 발전에 문제를 야기할 수 있는 대기오염과 지구 온난화에 악영향을 미치는 것으로 알려져 있다. 하지만 미국 에너지 정보청(U.E.I.A)에 따르면 천연가스를 원료로 하는 발전소에서 생산되는 전력은 2014년 28%, 2018년 35%, 2019년 36%로 매년 증가하고 있으며, 액체 연료 소비 및 생산은 2014년 중반 하루 9,400만 배럴에서 2018년 중반 1억 배럴로 증가하는 등 그 소비량에서 지속적인 성장세를 보여왔다[1]. 이는 앞서 언급한 환경적인 문제와 더불어 에너지 비용의 증가로 이어지기 때문에 최근 풍력, 태양열을 비롯한 1차 에너지원에 대한 관심과 소비가 점차 늘어나고 있는 추세이다. 하지만 이러한 1차 에너지원을 전기로 변환하는 과정에서 상당한 양의 에너지가 폐열로 손실되며 효율성이 떨어진다는 지적이 있어 왔다. 때문에 이를 활용하여 전기 에너지를 발생시킬 수 있는 열전 발전 기술이 현재 많은 주목을 받고 있다[2]. 열전 발전 기술이란 Seebeck 효과를 바탕으로 반도체 소재 내 전기를 발생시키는 원리로, 적용된 온도 차이로 인해 재료의 전하 캐리어가 온도가 높은 쪽에서 낮은 쪽으로 확산되어 회로를 통한 전류 흐름이 발생하는 현상이다[3]. 이러한 열전 소재의 효율은 무차원 성능 지수 zT로 기술될 수 있으며, 다음의 식으로 표현할 수 있다.

(1)
z T = S 2 σ T ( κ e + κ l )

위 식에서 S는 제백계수, σ는 전기전도도, T는 절대온도이며, 열전도도 κ를 구성하는 인자 중 κe는 전자 및 홀에 의한 열전도도 기여분, κl은 격자에 의한 열전도도 기여분이다. 이러한 zT를 향상시키기 위해서는 S2σ 로 표현되는 Power factor (PF)를 향상시키거나, κeκl의 합으로 정의되는 전체 열전도도κ를 감소시키는 방법이 있다. 우선, PF를 증가시키는 방법은 전하농도 변화에 따른 S-σ 의 상충 관계로 인해 쉽지 않기 때문에 밴드 중첩, resonant state 등을 통해 Density-of-state에 변화를 주는 방향으로 연구가 진행되고 있다[4-6]. κ를 감소시켜 zT를 강화하는 전략은 현재까지 보고된 대부분의 내용이 κl의 감소에 집중되어 있다. κe를 감소시킬 경우 σ 의 감소로 이어져 PF의 감소로 이어질 수 있는 반면, κlzT내 다른 인자에 영향을 주지 않으며 열전 재료 내 전위, 결정립, 계면, 석출 등의 나노 구조를 형성하여 포논 산란을 통해 격자에 의한 열전도도 κl의 감소를 유도할 수 있기 때문이다[7-10].

최근 몇 년 동안 PbTe, GeTe, SnTe를 비롯한 높은 열전성능을 보여준 열전 재료들이 연구되며 많은 발전이 있어 왔음에도 불구하고, 높은 제조 비용, 독성 물질의 함유, 합성법 등의 이유로 이들의 대규모 적용은 여전한 어려움을 겪고 있다[11-13]. 따라서, 비용 대비 높은 열전 성능을 갖는 새로운 열전 재료를 개발함과 동시에 이를 신속하고 경제적인 방법으로 제조하는 방법이 더욱 필요한 실정이다. 이러한 관점에서 Cu 기반의 열전 재료는 풍부한 매장량, 낮은 비용, 무독성 재료 등의 장점을 기반으로 최근 들어 많은 관심을 받고 있으며, 그 중에서도 Cu3SbSe4 소재가 각광받고 있다[14]. Cu3SbSe4는 공간군 I-42 m을 갖는 zinc blend type의 tetragonal 구조로 이루어져 있다[15]. 이러한 stannite의 변형 구조는 두 종류의 왜곡된[CuSe4] 사면체와 약간 평평한 [SbSe4] 사면체로 구성된 정렬된 사면체 배열을 가진다[15,16]. 왜곡된 [CuSe4] 사면체와 더불어 밀접하게 연관된 crystal field의 분화는 Cu 3d – Se 4p 오비탈의 혼성화로 이어지고 높은 이동도의 Cu/Se framework를 형성한다[13]. 또한 앞서 언급한 1차원 배열의 [SbSe4] 사면체는 Cu/Se framework에 삽입된 형태로 존재하며, 이 때 Cu-Se의 결합 길이 대비 Sb-Se의 결합 길이가 더 길기 때문에 왜곡된 형태의 tetrahedral 구조를 가져 전자 수송 및 포논 산란의 이방성을 증가시킬 수 있다[16]. 이러한 구조는 적절한 전하 이동도와 포논에 의한 열전도를 감소시켜 우수한 효율의 zT를 갖도록 한다[17]. 이와 더불어 약 0.29 ~ 0.4 eV 내의 좁은 밴드갭과 ~1.1 me정도의 큰 유효 질량 역시 Cu3SbSe4를 우수한 열전 재료에 매우 적합한 재료로 고려될 수 있도록 만드는 요소이다[12-18]. 하지만, 별도의 도핑 되지 않은 Cu3SbSe4의 경우 낮은 전하 농도와 상대적으로 큰 전기저항성을 갖기 때문에 실제 산업에 적용하기는 어려운 수준으로 대략 550~600 K 구간에서 0.16~0.3 수준의 낮은 zT 값을 갖는다[11-20].

이러한 Cu3SbSe4의 낮은 열전 성능을 개선하기 위해 다양한 방법들이 시도되고 있다. 먼저, 이종 원소 도핑 전략의 경우 Cu3SbSe4구조 내 캐리어 전도는 Cu-Se 결합 구조를 통해 이루어지기 때문에 Sb 자리에 도핑을 하는 연구들이 많이 이루어져 왔다[14,17]. Zhang et al.은 In을 도핑한 샘플에 대해 648 K, Cu3Sb1-x Inx Se4 (x = 0.003) 조건에서 최대값 기준 도핑 되지 않은 Cu3SbSe4 대비 47% 향상된 zT 값인 0.50 을 달성하였다[20]. Li et al. 은 Al 도핑을 통해 600 K, Cu3Sb1-xAlxSe4 (x = 0.03) 조건에서 최대값 기준 0.58의 zT 를 달성하였으며, Li et al.은 Bi 도핑을 통해 600 K, Cu3Sb1-xBixSe4 (x = 0.02) 최대값 기준 0.70의 zT 값을 보고한 바 있다[19,21]. 이러한 단일 도핑 전략 이외에도 재료 내에 이차상을 형성하여 zT 를 개선하고자 하는 연구 역시 진행되었다. Wang et al.은 Cu3SbSe4의 낮은 전하 농도를 개선하기 위해 상대적으로 높은 전하 농도를 가진 p-type 반도체 물질인 SnTe 이차상을 형성하여 650 K, 2% SnTe/Cu3SbSe4 조건에서 최대값 기준 0.71의 개선된 zT 값을 달성하였다[22]. 최근 이와 유사하게 Wei et al.은 Cu3SbSe4 합성 과정에서 이차상을 형성하여 650 K서 최대값 기준 0.61의 개선된 zT 값을 보고하였으며, 이는 순수한 Cu3SbSe4 대비 약 1.2배 높은 결과값이다. 주목할만한 부분은 Cu3SbSe4 합성 간 원재료 CuCl, Sb(CH3COO)3 x mmol과 Se powder 4x mmol의 양에 따라 일정량(x = 8)을 넘어서게 되면 x mmol의 Cu3SbSe4 내 CuSe가 석출되어 이차상이 형성되는데, 이에 따라 조성 별 온도에 따른 PF 변화 경향 및 전하농도의 증가분이 확연히 달라지는 사실을 확인할 수 있었다[23]. 하지만 이러한 과정에서 도핑과 석출에 따른 열전 재료 내 밴드 인자의 거동에 대해서는 아직까지 연구된 바가 없다.

때문에 본 연구에서는 ‘마이크로파를 활용한 액상 합성법’을 통해 제조된 Cu3SbSe4 내 CuSe 이차상 형성이 밴드 인자에 미치는 영향을 고찰하였다. 앞선 Wei et al.의 연구를 기반으로 300 K에서 측정한 실험값에 대해 Single Parabolic Band(SPB) 모델을 이용하여 상태밀도 유효 질량(md*, density-of-states effective mass), 비축퇴이동도(μ0, non-degenerate mobility), 가중이동도(μw, weighted mobility), B-factor와 같은 밴드 인자를 계산하였다. 이를 통해 CuSe의 형성이 각각의 밴드 인자에 미치는 영향을 분석하고 계산된 밴드 인자들을 바탕으로 상온인 300 K서 최대 zT 달성에 최적화된 조건을 구할 수 있었으며, 결과적으로 x = 8일 때 4.4 × 1019cm-3의 전하 농도에서 기존 대비 약 15.5% 향상된 zT 값인 0.048이 계산되었다.

2. 실험 방법

SPB모델은 전자 전도에 기여하는 포물선 밴드가 하나이며, 음향 포논 산란이 지배적이라는 가정하에 열전 재료의 특성을 분석하기 위한 모델로 해당 모델 내 밴드 인자는 다음과 같은 수식을 이용하여 계산하였다[24]. S는 아래와 같으며(식(2)), 식을 구성하는 인자 kB, e, η, Fn(η)은 각각 볼츠만 상수, 전하량, 페르미 준위, n차수에 대한 페르미 적분이다(식(3)) [25].

(2)
S = k B e ( η - 2 F 1 ( η ) F 0 ( η ) )
(3)
F n ( η ) = 0 ε n 1 + e x p ( ε - η ) d ε

전하 농도(nH)는 다음과 같이 상태밀도 유효질량(md*, density-of-states effective mass)과 페르미 준위(η)를 이용해 표현할 수 있으며 hT는 플랑크 상수와 절대 온도를 의미한다[25].

(4)
n H = 16 π 3 2 m d * k B T h 2 3 2 ( F 0 η ) 2 F - 1 / 2 ( η )

제벡계수는 식(2)에서 볼 수 있듯 η값에 따라 달라지며, η에 영향을 미치는 변수인 온도, 도핑 농도 등에 따라 변동되는 값이다. 때문에 실험 간 원재료의 양(x)에 따라 다른 η값을 가지며 이를 바탕으로 식(4)에 대해 동일한 온도 300 K에서 측정된 제벡계수와 이론값 간의 피팅을 md* 를 조정하여 진행한 결과, x에 따른 md* 를 얻을 수 있었다.

홀 이동도(μH)는 비축퇴 이동도(μ0, non-degenerate mobility) 와 η를 이용해 다음과 같이 표현할 수 있다[25]. μHμ0η에 의존하기 때문에 동일한 온도 300 K서 제벡 계수 측정을 통해 얻은 η와, 측정된 μH값과 이론값 피팅을 위한 μ0값 조정 과정을 통해 x에 따른 μ0를 얻을 수 있었다.

(5)
μ H = μ 0 F - 1 / 2 η 2 F 0 η

가중이동도(μw, weighted mobility)는 다음과 같이 정의할 수 있으며, 상기 과정을 통해 얻은 md*μ0를 이용하여 계산하였다[25].

μ w = μ 0 m d * m 0 3 / 2

B-factor는 앞선 μwκl를 포함한 형태의 식(7)로 정의할 수 있다[25].

(7)
B = k B e 2 8 π e ( 2 m 0 k B ) 3 / 2 h 3 μ w T 5 / 2 κ l

격자 열전도도(κl) 및 전체 열전도도(κ)는 Wei et al.의 실험 결과를 참조하였다.

3. 결과 및 고찰

그림 1 (a)-(d)는 Cu3SbSe4 원재료의 첨가량(x)별 제벡계수, md*, μH, 및 μ0의 실험값 및 계산값을 나타낸다. 그림 1(a)는 Seebeck pisarenko 그래프이며 이 중 심볼은 Wei et al.이 보고한 실험값을, 실선은 실험값에 상태밀도 유효 질량(md*, density-of-states effective mass)을 피팅하여 얻은 계산값을 나타낸다[23]. 그래프를 살펴보면, 실험값의 경우 동일한 온도(300 K) 조건하에서 원재료의 첨가량(x)에 비례하여 nH는 증가하고 S는 감소하는 것을 확인할 수 있으며, 계산값의 경우 Sx = 8까지 증가하며 최고값을 보인 뒤 점차 감소하는 경향임을 알 수 있다. 또한 x에 따른 주요 밴드 인자인 md*의 변화를 확인하기 위해 Single Parabolic Band(SPB) 모델을 통해 실험값(심볼)에 md* 를 피팅하였다. 이를 그림 1(a) 내 심볼을 통과하는 실선으로 표시하였으며, x에 따른 md*값은 그림 1(b)에 심볼 형태로 표시하였다. 그림 1(b)를 살펴보면 원재료의 첨가량(x)에 따른 md* 변화를 확인할 수 있다. 가장 높은 md* 를 가지는 조성(x = 8)의 경우 약 1.33m0이며, 이는 가장 낮은 조성(x = 6)의 md*값인 0.68 m0 대비 약 1.95배 높은 결과이다(m0: 전자의 정지 질량). x = 6 ~ 8 구간에서 md*가 가파르게 증가하고 x = 8일 때 가장 높은 값을 보이는 반면, x = 10 ~ 20 구간에서는 오히려 감소하는 경향을 확인할 수 있으며 그 감소폭이 x = 6 ~ 8 구간의 증가폭보다는 적다는 사실 또한 확인할 수 있다. Wei et al.는 x = 10 이상부터 CuSe의 석출을 보고하였다. 이로 인한 밴드 구조의 변화가 md* 의 증감 경향성에 영향을 미쳐 결과적으로 도핑의 효과만 존재하는 x ~ 8 까지는 원재료의 양에 비례하는 md* 의 증가를, 이후 도핑-석출이 동시에 일어나는 조성인 x >10에 대해서는 x의 증가에 따라 감소하는 md* 경향을 각각 확인할 수 있다.

그림 1(c)는 mobility pisarenko 그래프를 나타낸 것이며 이 중 심볼은 Wei et al.이 보고한 실험값을, 실선은 실험값에 비축퇴 이동도(μ0, non-degenerate mobility)를 피팅하여 얻은 μH 계산값을 나타낸다[23]. 실험값과 계산값 모두 동일한 온도(300 K) 조건하에서 x에 비례하여 nH는 증가하고 μH는 감소하는 것을 확인할 수 있다. 계산값의 경우 그림 1(a)~(b) 계산값을 구하는 과정에서 얻은 x에 따른 md*를 고정한 상태로 식(5)를 이용하여 μH 실험결과에 μ0를 피팅하여 얻었으며, 해당 과정에서의 μ0의 조성별 값을 그림 1(d)에 나타내었다. 그림 1(d)를 살펴보면, 원재료의 첨가량이 증가할수록 μ0가 감소하는 경향을 볼 수 있으며, 원재료가 가장 많이 첨가된 x = 20의 경우 11.52 cm2s-1V-1로 가장 높은 35.47 cm2s-1V-1 를 가지는 x = 6 조성 대비 67.5% 감소된 값을 보인다. 또한 x = 8을 기준으로 x = 6 ~ 8 구간에서의 μ0는약 28.6% 감소하며 x = 10 ~ 20 의 19.1% 대비 더욱 크게 감소한 것을 알 수 있다. μ0 는 재료의 defect 및 impurity가 존재하지 않는 경우를 가정한 고유의 이동도로, 전하와 포논의 상호작용을 나타내는 md* 및 deformation potential(Edef)과 연관된 지표이다. 앞선 x = 6 ~ 8 구간에서 md*값의 큰 증가는 μ0의 감소에 영향을 주었다고 볼 수 있으나, x = 10 ~ 20 구간에서는 md*의 약한 감소폭이 μ0에서도 동일한 경향으로 나타나는 것으로 미루어 볼 때, 이차상의 석출 간 μ0에 영향을 줄 수 있는 Edef를 비롯한 다른 지표들의 변화는 크지 않은 것으로 보여진다.

상기 그림 2 (a) ~ (d)μw, PF, B-factor, κl의 실험값 및 계산값을 나타내었다. 그림 2(a)는 앞선 그림 1에서 계산한 x에 따른 μ0md*를 이용하여 계산한 가중이동도(μw, Weighted mobility)를 나타낸다. 계산된 μw를 살펴보면 x = 6 ~ 8구간에서 증가하여 x = 8서 가장 높은 값을 보이고 그 이후로는 점차 감소하는 것을 볼 수 있다. 우선 x = 6, 8 샘플의 경우, 그림 1(d)의 계산된 μ0값이 타 조성 대비 높기 때문에 μ0md*의 곱으로 구성된 μw(식 (6)) 역시 타 조성 대비 상대적으로 높은 값을 갖는다고 볼 수 있다. 그 중에서도 x = 8은 x = 6과 비교하여 높은 md*값을 가지고 있기 때문에 μw값이 크게 증가하며 최대값인 38.79 cm2s-1V-1를 기록하였고, 이는 가장 낮은 값인 6.79 cm2s-1V-1(x = 20) 대비 5.71배 높은 수준이다. 전체적인 trend를 살펴보면 x의 양이 증가함에 따라 이차상이 석출되기 시작하는 구간인 x = 8 이후의 조성부터는 μw값이 점차 감소하는 것을 확인할 수 있다.

그림 2(b)는 제벡계수와 σ의 곱으로 표현되는 파워팩터 (=S2σ)를 막대 형태로 나타내었으며, 이 중 색칠된 부분은 실험값을, 비어 있는 부분 계산을 통해 얻은 이론 최대 PF값이다. 이론 최대 PF값의 경우 앞선 그림 2(a)에서 계산한 μw에 비례하는 값으로 x에 따라 동일한 증감 경향을 나타내며, 최대값을 가지는 조성(x=8) 역시 동일하다. 그래프 내 색칠된 부분은 Wei et al.이 보고한 실험 PF값을 나타내며, 전체적인 경향은 이론 최대 PF값과 동일하나 전반적으로 낮은 값을 가진다. 가령, 가장 높은 PF값을 갖는 x=8 조성의 경우, 이론 최대 PF값은(그래프 내 비어 있는 부분) 353.72μWcm-1K-2를 갖는 반면 보고된 실험 PF 값은 301.82μWcm-1K-2이다. 이는 x=8 조성 내에서도 추가적인 도핑을 통해 nH값을 최적화하여 약 17.2% 증가한 PF값을 달성할 수 있음을 의미한다.

그림 2(c)는 원재료의 양(x)에 따라 Wei et al.이 보고한 격자 열전도도(κl)의 실험값을 나타낸 그래프이다[23]. x에 비례하여 점차 증가하다 x = 20에서 최고값인 2.51Wm-1K-1 를 보이는데, 이는 최저값 2.04Wm-1K-1 대비(x = 6) 약 23.2% 증가된 값이며, 이 때 주목할만한 부분은 앞서 언급한 이차상이 석출 되기 시작한 조성인 x=10 이후로 급격한 증가를 보인다는 점이다. 실제로 x = 6 ~ 8 구간 동안 κl는 2.037 Wm-1K-1에서 2.126 Wm-1K-1로 약 4.4% 증가하였으나, x = 8 ~ 10 구간 동안은 2.126 Wm-1K-1에서 2.365 Wm-1K-1로 약 11.2% 증가하며 다른 도핑 구간 대비 1.5배 넘는 증가율을 보였고, 이를 바탕으로 이차상의 석출이 격자 열전도도 증가에 기여한다는 사실을 알 수 있다.

그림 2(d)에서는 B-factor값을 나타내었으며, 해당 밴드인자는 μw/κl에 비례하는 동시에 열전성능지수(zT)와 직접적으로 연관된 값이다. 그래프를 살펴 보면 x ~ 8 구간까지 증가하다 그 이후의 조성부터는 감소하는 것을 확인할 수 있으며, 최고값은 0.0123(x = 8)로 최저값 0.0018(x = 20) 대비 약 6.7배 가량 높은 것을 알 수 있다. B-factor의 전반적인 개형은 그림 2(a)μw와 동일하고 그림 2(c)κl와는 반비례하는 것을 알 수 있는데, 이는 식(7)과 어느정도 일치하는 결과이나 x ~ 8 구간을 살펴보면 μw의 변화 경향이 더욱 강하게 나타나는 것을 확인할 수 있다. 이러한 결과는 B-factor내 μwκl대비 더욱 큰 영향력을 발휘하고 있음을 의미하며, 이는 x에 따른 μw의 변화가 κl의 변화 대비 더욱 크기 때문인 것으로 해석할 수 있다.

그림 3 (a)-(d)서 전체 열전도도(κtot), κe, 로렌츠 넘버(L), 및 σ의 실험값 및 계산값을 나타내었다. 먼저 κtot의 경우, x에 따른 300 K 조건하에서 Wang et al.이 보고한 실험값을 나타낸 그래프이며 앞선 그림 2(c)κl그림3(c)κe 의 합으로 이루어져 있다[23]. 다만, 전체적인 κtot 그래프의 개형은 κl 와 유사한 것을 알 수 있으며, 이는 κe 대비 κl 가 매우 큰 값을 갖기 때문이다. 그림 3(b)x에 따른 κe 변화를 나타낸 것으로 그림 3(c)σ 와 같이 x에 비례하여 전반적으로 증가하는 모습을 볼 수 있다. 이러한 경향은 아래의 식(8)을 통해 유추해 볼 수 있다.

(8)
κ e = L σ T

κe 의 경우 후술할 Lσ 로 이루어져 있으며 Lσ 모두 x 증가에 따라 증가하기 때문에 κe 역시 x 증가에 따라 증가하는 것으로 판단된다.

그림 3(d)는 Wang et al.이 보고한 σ 측정값을 나타낸다. 그래프를 살펴 보면 x에 비례하여 전반적으로 증가하는 경향이나 특히 x = 8, 20이 타 조성 대비 높은 것을 알 수 있다. x = 8 의 경우, 실험군 내에서 두번째로 높은 μH 값과 더불어 가장 우수한 md* 값으로 인한 높은 nH 값을 바탕으로 높은 σ 를 달성할 수 있던 것으로 판단된다. x = 20의 경우, μH 는 가장 낮았으나 nH 값이 실험군 내에서 가장 높았기 때문에 결과적으로 가장 높은 σ 를 보였다. 다만, 높은 nH에 대해 x = 20의 md*가 타 조성 대비 높지 않음에도 높은 nH값을 보이는 이유는 페르미 준위(η)의 증가에 의한 것으로 해석될 수 있다. 그림 3(d)L은 앞선 식(8)을 통해 계산하였다. 다만 x = 6 대비 x = 12, 20의 경우 높은 σ 에도 불구하고 L 에 대해 큰 감소가 보이지 않았으며, 특히 x =12의 경우 x = 6과 유사한 수준의 L 을 보인다. 이는 식(9)를 통해 알 수 있듯 η 와 비례하는 L의 특성에서 기인한 결과로 판단된다.

(9)
L = k B e 2 3 F 0 η F 2 η - 4 F 1 2 η F 0 2 η

앞서 언급하였듯 nH 의 경우 x에 비례하여 증가하는데 이 때 x = 6, 12, 20의 경우 동일한 수준의 md*를 가지기 때문에 이들 간의 nHη 의 차이에서 기인한 것으로 유추할 수 있다.

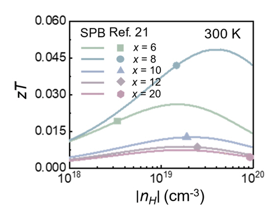
다음으로 300 K 조건에서 Wei et al.이 보고한 zT 실험값(심볼)과 상기 그림 2(d)B-factor를 바탕으로 SPB 모델을 이용하여 계산한 nH 에 따른 이론 최대 zT값(실선)을 그림 4에 표현하였으며, 전 조성(x)에 걸쳐 실험 zT 값과 최대 이론 zT 값 간의 차이가 있는 것을 확인할 수 있다[23]. 대표적으로 x = 8 조성을 살펴보면 zT 실험값의 경우 nH 가 1.47 × 1019 cm-3 일 때 0.0419를 나타내는 반면, 이론 최대 zT 의 경우, nH가 4.44 × 1019 cm-3인 지점에서 0.0484로, 실험값 대비 약 15.5% 향상된 수준의 zT 값을 가진다. 그림 2(d)B-factor와 그림 3의 계산된 최대 이론 zT 값을 비교하여 살펴보면 전반적으로 동일한 경향성을 갖는 것을 볼 수 있다. 앞선 그림 2(a)에서 보았듯 x = 6, 8 조성의 경우 높은 μw의 영향으로 x = 10, 12, 20 대비 우수한 B-factor값을 보이며, x의 양에 비례하여 증가하는 κl 또한 B-factor의 경향을 결정하는 인자로 작용하였음을 알 수 있다. 가장 높은 B-factor값을 갖는 x = 8 조성이 zT에서도 마찬가지로 가장 높은 이론 최대 zT 값인 0.0484를, 가장 낮은 값을 가졌던 x = 20 조성의 경우 0.00737의 이론 최대 zT 값을 확인할 수 있으며, 이들 간의 차이는 6.6배 정도로 앞선 B-factor에서의 차이인 6.7배와 유사한 결과를 나타내었다.

4. 결 론

본 논문은 최근 보고된 Cu3SbSe4 합성 간 원재료인 CuCl, Sb(CH3COO)3, Se의 양(x)의 변화가 전자 밴드 구조에 어떤 영향을 미치는지 Single Parabolic Band(SPB) 모델을 이용하여 고찰하였다. Cu3SbSe4 합성 간 원재료의 양이 일정 수준(x = 8)을 초과할 경우, 도핑이 아닌 이차상(CuSe)이 석출되었는데 이는 밴드 인자들(상태밀도 유효질량 및 비축퇴 이동도)에 영향을 미쳤다. 상태밀도 유효질량(md*, density-of-states effective mass)의 경우, x = ~8까지 가파르게 증가하다 이후부터는 눈에 띄는 감소를 보이며 도핑군(x = 6, 8)과 석출군(x = 10, 12, 20)간의 경향성 차이를 보여주었고 비축퇴 이동도(μ0, non-degenerate mobility)의 경우 x에 따라 점차 감소하긴 하나 도핑군과 석출군 간의 수준 차이 및 앞선 md* 와 마찬가지로 경향성 차이를 보여주었다. 결과적으로 이로부터 유도되는 가중 이동도(μw, weighted mobility)의 차이를 발생시키며 x = 8 조성에 대해 최고값인 38.79 cm2s-1V-1를 보였다. 이후 격자 열전도도(κl)의 경우 x와 비례하는 κl의 증가 경향이 확인되었으며, 이차상의 석출을 기점으로 증가율이 4.36%(x = 6→ 8)서 11.21%(x = 8→ 10)로 크게 증가하는 모습을 보여주며 앞선 μw의 값과 결합되어 결과적으로 x = 8서 가장 높은 B-factor값인 0.0123을 나타내었다. 계산된 Bfactor값을 토대로 전하농도(nH)를 함수로 하는 이론 zT를 계산한 결과, 여러 조성들 중 B-factor가 가장 높았던 x = 8 조성이 0.0484로 300 K에서 가장 우수한 이론 최대 zT 를 가지는 것을 확인할 수 있었다. 해당 zT 값은 300 K에서 x = 8 조성에 대해 nH를 기존의 1.47 × 1019 cm-3 에서 4.44 × 1019 cm-3로 조정할 경우, Wei et al.의 실험 결과값인 0.0419 대비 약 15.5% 개선된 결과에 대한 가능성을 제시한다.

Acknowledgements

This work was supported by Basic Science Research Program through the National Research Foundation of Korea (NRF) funded by the Ministry of Education (NRF-2019R1A6A1A11055660) for Won-Seon Seo.

REFERENCES

1 
Jaziri N., Boughamoura A., Müller J., Mezghani B., Tounsi F., Ismail M., Energy Rep,6, 264-287, (2020)Google Search
2 
Massetti M., Jiao F., Ferguson A. J., Zhao D., Wijeratne K., Würger A., Blackburn J. L., Crispin X., Fabiano S., Chem. Rev,121, 12465-12547, (2021)Google Search
3 
Zhang X., Zhao L.-D., Materiomics,1, 92-105, (2015)Google Search
4 
Snyder G. J., Toberer E. S., Nat. Mater,7, 105-114, (2008)Google Search
5 
Xi L., Yang J., Wu L., Yang J., Zhang W., J. Materiomics,2, 114-130, (2016)Google Search
6 
Heremans J. P., Jovovic V., Toberer E. S., Saramat A., Kurosaki K., Charoenphakdee A., Yamanaka S., Snyder G. J., Science,321, 554-557, (2008)Google Search
7 
Lan T.-W., Su K.-H., Chang C.-C., Chen C.-L., Chen C.-L., Ou M.-N., Wu D.-Z., Wu P.M., Su C.-Y., Wu M.-K., Chen Y.-Y., Mater. Today Phys,13, 100215 (2020)Google Search
8 
Shi X. -L., Zou J., Chen Z. -G., Chem. Rev,120, 7399-7515, (2020)Google Search
9 
Kwon S. -H., Kim S. -i., Shin W. H., Hwang S. -M., Lee K., Seo W. -S., Kim H. -S., Chemistry Open,12, (2023)Google Search
10 
Kim J., Hwang S., Park, Tang H., Seo Y, W., Ryu C., Yang H., Shin W., Kim H.-S., Korean J. Met. Mater,61, 857-866, (2023)Google Search
11 
Zevalkink A., Toberer E. S., Zeier W. G., Larsen E. F., Snyder G. J., Energy Environ. Sci,4, 510-518, (2011)Google Search
12 
Lee J., Park H., Kim J., Seo W., Yang H., Aydemir U., Kim S., Shin W., Kim H.-S., Korean J. Met. Mater,61, 915-922, Google Search
13 
Xie D., Zhang B., Zhang A., Chen Y., Yan Y., Yang H., Wang G., Wang G., Han X., Han G., Lu X., Zhou X., Nanoscale,10, 14546-14553, (2018)Google Search
14 
Prasad K. S., Rao A., J. Mater. Sci.: Mater. Electron,30, 16596-16605, (2019)Google Search
15 
Lee G. -E., Kim I. -H., Mater,14, 1116 (2021)Google Search
16 
Yang C., Huang F., Xu L., Xu K., J. Phys. D: Appl. Phys,44, 295404 (2011)Google Search
17 
García G., Palacios P., Cabot A., Wahnón P., 57, 7321-7333, (2018)
18 
Zhao D., Bo D. Wu L., Energies,10, 1524 (2017)Google Search
19 
Li Y., Qin X., Li D., Li X., Liu Y., Zhang J., Song C., Xin H., RSC Adv,5, 31399-31403, (2015)Google Search
20 
Zhang D., Yang J., Jiang Q., Fu L., Xiao Y., Luo Y., Zhou Z., Mater. Des,98, 150-154, (2016)Google Search
21 
Li X. Y., Li D., Xin H. X., Zhang J., Song C. J., Qin X. Y., J. Alloys and Compd,561, 105-108, (2013)Google Search
22 
Wang W., Wang Y., Bo L., Wang L., Li F., Zuo M., Zhao D., J. Alloys and Compd,878, 160358 (2021)Google Search
23 
Wei S., Ji Z., Li W., Zheng S., Wang Q., Li Z., Yu L., Luo S., Song W., J. Materiomics,10, 366-376, (2023)Google Search
24 
Zhu J., Zhang X., Guo M., Li J., Hu J., Cai S., Zhang Y., Sui J., npj Comput. Mater,7, 116 (2021)Google Search
25 
Heo M., Kwon S. -H., Kim S. -i., Park H., Lee K. H., Kim H. -S., J. Alloys and Compd,954, 170144 (2023)Google Search
26 
Park H., Kim S. -i., Lee K., Seo W. -S., Kim H. -S., ChemNanoMat,8, (2022)Google Search

Figures

Fig. 1.

Hall carrier concentration (nH)-dependent (a) Seebeck coefficient (S) and (c) Hall mobility (μH) of Cu3SbSe4 where its starting material content (x mmol of CuCl, Sb(CH3COO)3 and 4x mmol of Se) is varied from 6 to 20. x-dependent density-of-states effective mass (md*) and non-degenerate mobility (μ0) at 300 K [22].

../../Resources/kim/KJMM.2024.62/kjmm-2024-62-6-487f1.jpg
Fig. 2.

(a) Weighted mobility (μw), (b) power factor (PF), (c) lattice thermal conductivity (κl), and (d) B-factor as a function of x at 300 K [22].

../../Resources/kim/KJMM.2024.62/kjmm-2024-62-6-487f2.jpg
Fig. 3.

(a) Total thermal conductivity (κtot), (b) electronic contribution to thermal conductivity (κe), (c) Lorenz number (L), and (d) electrical conductivity (σ) as a function of x [22].

../../Resources/kim/KJMM.2024.62/kjmm-2024-62-6-487f3.jpg
Fig. 4.

zT as a function of Hall carrier concentration (nH) for different x at 300 K.

../../Resources/kim/KJMM.2024.62/kjmm-2024-62-6-487f4.jpg