현세미
(Se-mi Hyun)
12
홍석민
(Seokmin Hong)
2*
김민철
(Min-Chul Kim)
2
김종민
(Jongmin Kim)
2
손석수
(Seok Su Sohn)
1
-
고려대학교 신소재공학부
(1Korea University, Department of Materials Science and Engineering, Seoul, Republic of Korea)
-
한국원자력연구원 재료안전기술연구부
(2Korea Atomic Energy Research Institute, Materials Safety Technology Research Division,
Daejeon, Republic of Korea)
Copyright © 2024 The Korean Institute of Metals and Materials
Key words
Main steam line piping, SA508 Gr.1A low-alloy steel, Heat treatment, Mechanical property, Leak-before-break
1. 서 론
원자력발전소의 주증기배관은 동력생산을 위하여 증기발생기에서 생성된 증기를 터빈발전기계통과 기타 보조기기로 전달하는 역할을 한다. 발전용량이 1400
MWe인 APR1400 원전의 주증기배관 내부로는 약 286°C, 7 MPa의 고온, 고압의 증기가 이동한다[1]. 이러한 환경에서 배관의 건전성은 충분히 확보되어야 한다. 현재까지 안전이 중요한 1차계통 고에너지 배관에는 배관의 건전성을 확보하기 위하여 파단전누설(LBB,
leak-before-break) 개념이 적용되고 있으며, 2차계통인 주증기배관까지 파단전누설 개념의 적용을 고려하고 있다. LBB 개념의 적용은
배관이 파단에 이르기 전에 발생하는 누설을 감지하고 조치를 취함으로써 배관의 양단순간파단 (DEGB, double ended guillotine break)과
같은 극단적인 상황을 방지할 수 있어 원자력 발전소의 주요 배관에 적용되고 있다. LBB 설계개념을 배관에 적용하기 위해서는 균열이 안정적인 성장을
한다는 것을 파괴역학적으로 입증해야 하며, 이러한 균열의 안정성 평가는 소재의 인장특성과 파괴저항특성을 필요로 한다[2-3]. 따라서 배관의 LBB 안전여유도를 증가시키기 위해서는 배관에 적용되는 소재의 항복강도 및 J-R 파괴저항성을 향상시켜야 한다.
철강재료는 다양한 합금원소의 함량 변화와 열처리 공정을 통해 기계적특성을 효과적으로 향상시킬 수 있다[4-9]. 하지만 원자력발전소 구조용 강은 ASME code 규격을 준수하는 것이 필수적이므로, 합금원소 함량을 변화시키는 것은 제한적이다[10]. 기존 연구에서는 주증기배관용의 구조 용강의 기계적특성을 향상시키기 위하여 SA508 Gr.1A 저합금강에 대한 합금개발 연구를 수행하였다. C의
함량을 감소시키면서 Mo와 V의 함량을 ASME code의 한계범위까지 첨가함에 따라 저온변태상의 형성으로 강도와 인성을 함께 향상시킬 수 있었다[11-12]. 하지만 Mo, V의 함량이 감소함에 따라 그 효과 또한 감소하게 된다. 따라서 열처리 공정의 개선을 통하여 추가적으로 SA508 Gr.1A 저합금강의
기계적특성을 향상시킬 수 있는 연구가 필요하다.
기존 연구에서는 저합금강의 인성을 향상시키기 위하여 이상영역열처리 및 pre-tempering을 적용하였다[13-18]. SA508 Gr.3 저합금강의 경우, 이상영역열처리의 적용으로 저온변태상이 형성되어 결정립크기의 미세화, 그리고 조대한 막대모양의 세멘타이트가
구형화 및 미세화 되어 인성이 향상되었다[13-14]. 2.25Cr-1Mo-0.25V강에서는 용접 시 형성된 잔류 오스테나이트가 pre-tempering을 적용함으로써 페라이트와 조대한 M23C6 탄화물의 행성을 억제하고 미세한 베이나이트와 탄화물을 석출시켜 인성을 향상시킬 수 있었다[17]. 이처럼 결정립의 크기 및 석출물의 생성 거동은 재료의 인성에 중요한 영향을 미치는 요소로 알려져 있다. 그러나 기존 연구의 대부분은 저온에서
수행되는 충격인성에 미치는 영향에 대한 연구이며, 고온에서 수행되는 J-R 파괴저항성에 미치는 영향에 대한 연구는 부족하다. 따라서 열처리 공정 변화를
통한 결정립 및 석출물 크기 변화 등의 미세조직 변화가 고온 J-R 파괴저항성에 미치는 영향에 대한 연구가 필요하다.
본 연구에서는 강도 및 인성을 향상시키기 위하여 Mo, V을 첨가한 SA508 Gr.1A 저합금강에 이상영역열처리 및 pre-tempering을 적용하고,
열처리 후 미세조직의 변화가 강도 및 J-R 파괴저항성에 미치는 영향을 분석하고자 하였다. 또한 실제 원전의 주증기배관에 적용했을 때의 LBB 안전여유도를
평가함으로써 소재의 기계적특성 변화가 배관의 안전성에 미치는 영향을 정량적으로 분석하였다.
2. 실험 방법
본 연구에서는 소재의 강도를 향상시키기 위해 Mo와 V의 함량을 조절하여 제작한 SA508 Gr.1A 저합금강을 사용하였다[11-12]. ASME code의 SA508 Gr.1A 저합금강의 합금조성[10]과 Mo과 V가 첨가된 SA508 Gr.1A저합금강의 합금조성을 표 1에 정리하였다.
실제 주증기배관은 퀜칭과 템퍼링 공정을 통해 제작되며, 본 연구에서는 인성을 향상시키기 위하여 템퍼링 공정 이전에 이상영역열처리를 수행하고pre-tempering을
추가로 진행하였다. 이상영역열처리 및 pre-tempering은 기존문헌에서 선정한 최적의 조건 (IHT: 725 °C-2 h / pre-tempering:
400 °C-1 h)으로 진행하였으며, 열처리 공정은 그림 1에 나타내었다.
기본 주증기배관의 열처리 조건인 퀜칭-템퍼링 시편은 QT, 인성 향상을 위하여 이상영역열처리를 적용한 시편은 QIT, IHT 후 pre-tempering을
적용한 시편은 QIPT, 그리고 pre-tempering효과를 확인하기 위하여 퀜칭-템퍼링-pre-tempering을 적용한 시편은 QPT로 표기하였다.
각 열처리된 시편들의 L-T면을 1 µm까지 연마하고 3% 나이탈(natal)용액으로 에칭한 뒤 광학현미경(OM, optical microscope,
Eclipse-MA200, Nikon, Japan)과 전계방출주사전자현미경(FE-SEM, thermal type field-emission scanning
electron microscope, Thermo Scientific Scios 2, USA)을 이용하여 미세조직을 관찰하였다. 유효결정립의 크기를
분석하기 위하여 열처리된 시편들의 L-T면을 3 μm까지 연마하고, 에탄올 1 L와 과염소산 70 ml 용액으로 전해연마(electrolytic polishing,
Struers, LectroPol-5)한 뒤 후방산란전자회절(EBSD, electron back scattered diffraction, JSM-7200)을
이용하였다. 각 시편들의 미세조직 분석은 동일한 위치와 방향에서 분석을 진행하였다.
인장시험은 ASTM A370[19]에 따라 수행되었으며, 인장시험편은 표점거리 25 mm, 직경 6.25 mm의 봉상시험편을 T (transverse)방향으로 채취하였다. 시험은
5.2×10-4/s의 변형속도로 수행하였으며, 시험 온도는 상온과 주증기배관의 가동 온도인 286°C에서 수행되었다. 시험온도는 ± 1°C이내로 조절하였으며, 목표온도에서
30분간 유지한 후 실험을 진행하였다. 시험을 통하여 도출된 응력-변형률 곡선으로부터 0.2 % offset 방법으로 항복강도, 인장강도 그리고 연신율을
구하였다.
충격천이특성시험은 T-L (transverse-longitudinal)방향으로 채취한 표준 충격시험편을 사용하여 –140~80°C의 범위에서 ASTM
E23[20] 방법에 따라 수행되었다. 온도별 충격흡수에너지 값을 hyperbolic tangent (TANH) curve fitting 방법을 사용 사용하여
천이온도 곡선을 구하였다[21]. 충격천이곡선으로부터 상부흡수에너지(USE), 지시온도(T41J, T68J) 그리고 연성취성천이온도 (DBTT, ductile-brittle transition temperature) 구하였다. T41J, T68J은 충격흡수에너지가 41J, 68J 일 때의 온도로, 원자로용기강의 천이특성을 평가할 때 사용되는 값이다.
J-R 파괴저항성 시험은 ASTM E1820 [22]에 준하여 표준 1T-CT (compact tension)시험편을 사용하였다. 시험기는 100 kN 용량의 MTS사의 유압식 재료시험기(MTS 810.24,
MTS systems corporation, USA)를 사용하였으며, 0.5 mm/min의 시험속도로 주증기배관의 가동 온도인 286 °C에서 시험을
수행하였다. 시험편의 초기균열길이가 시편 폭의 약 55 %가 되도록 상온에서 예비피로균열을 생성한 후 시편 두께의 20 %(양쪽 각 10 %)가 되는
측면 홈을 가공하였다. 고온에서의 균열열림변위를 측정하기위하여 고온 COD gage를 사용하였다. J-R 곡선은 각 시험편에 대한 하중-변위 데이터를
이용하여 도출하였다. 시험 후 시험편을 약 300°C 부근에서 30분 이상 열착색한 후 액체질소의 온도에서 완전히 파단하고 profile projector를
이용하여 초기 균열길이와 균열진전량을 측정하였다. J-R 파괴저항성 결과값은 normalization 방법을 이용하여 나타내었다.
3. 실험 결과
본 연구에서는 IHT 및 pre-tempering 적용에 따른 미세 조직 변화를 확인하기 위하여 각 시편의 OM및 SEM 이미지를 관찰하고 그림 2와 그림 3에 나타내었다.
네 시편 모두 페라이트(F)와 저온변태상인 템퍼드 베이나이트(TB) 조직이 나타났다. QIT, QIPT시편은 IHT의 적용으로 QT, QPT시편에
비하여 결정립 및 석출물의 크기가 더욱 미세화 되었다.
상온과 286°C에서의 인장 응력-변형률 곡선을 그림 4에 나타내었으며, 인장특성을 표 2에 정리하였다.
그림 4의 응력-변형률 곡선에서 286°C의 인장거동에서는 상온과 다르게 연속 항복거동이 나타났다. 이는 고온에서 탄소 원자들이 빠르게 확산하여 전위와의
결합이 어려워지고, 결과적으로 탄소원자와 전위 간의 Cottrell 분위기의 형성이 억제되기 때문이라고 판단된다. QIT강은 QT강과 비교했을 때,
상온에서의 강도는 약 10 MPa정도로 소폭 감소한 반면 286°C에서의 항복강도 및 인장강도는 큰 차이를 보이지 않았다. QPT강은 pre-tempering의
적용으로 상온과 286°C에서의 항복강도 및 인장강도가 QT강에 비해 모두 증가하였다. 상온에서의 항복강도는 420 MPa에서 445 MPa로, 인장강도는
558 MPa에서 571 MPa로 증가하였으며, 286°C에서의 항복강도는 약 40 MPa 정도 향상되어 가장 우수한 강도를 보였다. 반면 상온과
286°C에서의 연신율은 각각 32.7 %에서 28.7 %로, 31.2 %에서 27.7 %로 소폭 감소하는 경향이 나타났다. IHT 후 pre-tempering을
적용한 QIPT강의 상온과 286°C 에서의 강도는 QT강 대비 약 30 MPa 정도 감소하였다. SA508 Gr.1A 저합금강의 ASME code
규정에는 항복강도가 최소 250 MPa, 인장강도는 485-655 MPa를 만족해야 한다고 기재되어 있다[10]. QIT, QIPT강의 항복강도 및 인장강도가 소폭 감소하는 경향이 나타나지만 ASME code요건에는 충분히 만족하는 것을 확인할 수 있었다.
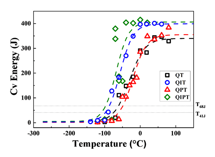
각 소재의 온도별 충격천이곡선은 그림 5에 나타내었으며, 천이곡선으로부터 얻은 충격특성을 표 3에 정리하였다.
IHT를 적용한 QIT강은 QT강보다 상부흡수에너지가 약 60 J정도 향상되었으며, 지시온도인 T41J, T68J 그리고 DBTT는 20°C 이상 낮게 나타났다. pre-tempering을 적용한 QPT 시험편의 경우, 상부흡수에너지가 360 J로 QT시험편보다
20 J 증가하였다. pre-tempering 적용에 따른 천이특성의 큰 변화는 관찰되지 않았다. 이상영역열처리를 적용한 QIT, QIPT의 경우,
상부흡수에너지가 399 J, 406 J로 약 50 J 이상 크게 증가하였으며, 천이온도도 감소해 우수한 충격천이특성을 보였다. 이상영역열처리의 적용
후 pre-tempering을 추가적으로 적용했을 때엔 미세하지만 상온 흡수에너지는 더 증가하고 더 낮은 온도까지 높은 충격인성을 보여주었다..
J-R 파괴저항성 시험 후 각 시험편들의 Normalized data를 그림 6에 나타내었다. J-R 곡선을 통하여 얻은 JIc 값과 상수 C1, C2, 그리고 균열성장량이 2 mm와 4 mm 일때의 J-integral 값을 표 4에 정리하였다.
열처리 시험편은 ASTM E1820 [22]에 따라 JIc 유효성 조건을 만족하여 JIc 값으로 평가될 수 있었다. QIT강은 QT강보다 JIc 값이 707 kJ/m2에서 757 kJ/m2로 약 50 kJ/m2 정도 크게 향상되었다. 반면 QPT강의 JIc 값과 균열 길이 2 mm, 4 mm일 때의 J-integral 값은 QT강보다 감소하는 경향을 보이나 큰 차이는 나타나지 않았다. IHT 후 pre-tempering을
적용한 경우엔 JIc 값이 약 70 kJ/m2이상 향상되어 가장 우수한 J-R 파괴저항특성을 보였다.
4. 고 찰
1. 열처리적용에 따른 미세조직 변화
이상영역열처리 적용 시 저온변태상인 베이나이트의 형성으로 결정립 및 석출물의 크기가 미세해졌다. 열처리 적용에 따른 결정립크기의 변화를 확인하기 위하여
EBSD를 이용하여 결정립계 특성을 분석하고 그림 7에 나타내었다.
노란색 원으로 표시된 것처럼 이상영역열처리 후 결정립계에서 미세한 고경각 입계를 갖는 결정립들이 새롭게 형성되었다. 일반적으로 이상영역열처리-수냉
시 형성되는 마르텐사이트는 이상영역열처리 온도에서 오스테나이트 상으로 존재하게 된다. 이후 이상영역열처리 동안 기존에 형성된 탄화물들이 분해되고,
분해된 탄화물들로 인해 결정립계의 탄소량은 증가하게 된다. 따라서 오스테나이트는 이상영역열처리 동안 탄소량이 많은 결정립계를 따라 형성되고, 냉각과정에서
베이나이트와 같은 새로운 결정립들을 형성하면서 결정립계의 특성이 달라지게 된다[23-25]. 이로 인해 이상영역열처리 적용 시 결정립 크기가 감소한 것으로 판단된다. EBSD 분석을 통해 결정립 크기의 변화를 정량적으로 측정하였다. 결정립
간 방위차가 20° 이상[26]인 결정립계를 분석하고 line intersection method를 통해 유효결정립 크기를 측정하였다. 이상영역열처리를 적용하기 전 QT시편의
유효 결정립 크기는 9 μm, 그리고 이상영역열처리를 적용한 QIT, QIPT강은 유효결정립 크기가 5 μm, 7 μm로 모두 이상영역열처리 후 결정립크기가
감소하는 경향을 보였다.
2. 열처리 적용에 따른 기계적특성 변화
이상영역열처리를 적용함에 따라 항복강도 및 인장강도가 약간 감소하였다. 이상영역열처리 적용 시 강도가 감소하는 경향은 다른 강재에서도 관찰되었다[13-14]. 저온변태상인 베이나이트로 형성된 강재의 경우 이상영역열처리 적용 후 오스테나이트로 변태하지 못한 베이나이트는 이상영역열처리 온도에서 softening되어
강도가 감소하게 된다. SA508 Gr.3저합금강의 경우, 이상영역열처리 시 항복강도가 63 MPa정도 감소한 반면 이번연구에서는 11 MPa 정도
감소하였다. SA508 Gr.3저합금강은 fully bainite 미세조직을 갖는 반면 SA508 Gr.1A 저합금강의 경우 bainite + ferrite
미세조직을 갖기 때문에 matrix의 softening 양이 상대적으로 적게 나타났을 것으로 판단된다. pre-tempering을 적용한 QPT강은
항복강도와 인장강도의 값이 증가하였고, 그 중 286°C에서 항복강도는 더욱 크게 증가하였다. 이전 연구결과에서 SA508 Gr.1A저합금강에 Mo와
V의 첨가는 nano-size의 MC 석출물과 저온변태상을 형성시켜 강도가 크게 향상된다고 보고되어 있다[12-13]. Therm°Calc. 프로그램을 활용하여 온도에 따른 석출상들의 생성 거동을 그림 8에 나타내었다.
평형 상태일때에 VC 석출물은 400°C에서 석출되며, 템퍼링 온도인 655°C 보다 더 많은 양의 VC 석출물이 석출된다. 따라서 pre-tempering은
VC의 핵 생성 site의 수를 증가시켜 VC 석출물에 의한 석출강화를 일으켜 강도를 증가시키며, 이 효과는 고온에서 더 크게 나타난 것으로 판단된다.
반면, 이상영역열처리 시에는 세멘타이트가 모두 용해되고 VC 석출물은 그대로 존재하기 때문에 이상영역에서는 VC 석출물의 효과가 나타나지 않았다.
또한 이상영역열처리를 적용한 뒤 pre-tempering을 적용한 QIPT강은 pre-tempering으로 인한 강도증가 효과는 관찰되지 않고, QIT강보다
강도 감소가 나타났다. 이는 이상영역열처리 온도인 725°C에서 이미 VC 석출물이 형성되므로 이상영역열처리 이후 pre-tempering에 의한
추가적인 VC 석출 강화 효과가 미미하기 때문이라고 판단된다. 이상영역열처리 온도에서 생성된 오스테나이트 내부에는 세멘타이트가 용해되어 있으며, 이후
냉각 과정에서 오스테나이트가 페라이트로 변태될 때 세멘타이트가 재석출된다. 따라서 이상영역열처리를 거친 후의 석출물 거동은 기존의 QT강과 비교했을
때 큰 차이를 보이지 않을 것으로 예상된다.
이상영역열처리를 적용한 QIT, QIPT강 모두 USE는 증가하고, 천이온도가 감소하여 충격인성이 향상되었다. 두 시험편의 J-R 파괴저항성도 향상되어
고온에서의 균열전파 저항성 또한 향상된 것을 확인할 수 있었다. 저온 취성파괴의 거동에서 미세한 결정립 크기는 균열 전파의 장애물로 작용하여 충격천이특성을
향상시킨다고 알려져 있다[27-30]. J-R 파괴저항성 시험을 통해 연성파괴가 발생할 때의 균열 전파저항성을 분석한 연구에서도 결정립 미세화로 인하여 연성파괴 저항성을 향상시킬 수
있었다[12, 16]. 따라서 이상영역열처리의 적용 후 저온과 고온에서의 인성증가는 결정립 크기의 감소효과가 나타났기 때문이다. 반면 pre-tempering 적용으로
인한 인성 향상은 뚜렷하게 관찰되지 않았다. SA508 Gr.3 저합금강의 경우 pre-tempering의 적용으로 퀜칭 후 생성되는 RA/MA 생성상이
분해되어 인성을 향상시킬 수 있었다[23]. 이번 연구에 사용된 SA508 Gr.1A 저합금강은 SA508 Gr.3 저합금강보다 Ni, Mn 그리고 Mo의 함량이 적어 오스테나이트 안정화원소의
감소, 그리고 경화능 원소의 감소로 인하여 상대적으로 MA/RA 형성이 어렵고, 조직상으로도 MA/RA상은 관찰되지 않았다. 따라서 이번 연구에서
pre-tempering으로 인한 RA/MA 상의 분해로 인한 인성 향상효과는 확인할 수 없었다. 이를 통해 pre-tempering 적용으로 인한
석출상의 생성 거동 차이는 충격 및 J-R 파괴저항성에 영향을 미칠 정도로 크지 않다는 것을 확인할 수 있었다.
3. 강도 및 파괴저항성의 변화에 따른 LBB 안전여유도 평가
IHT 및 pre-tempering 적용에 따른 기계적특성 변화가 배관의 안전성에 미치는 영향을 정량적으로 분석하기 위하여 LBB 안전여유도 평가를
수행하였다. LBB 안전여유도를 평가하기 위해서는 인장물성에 대한 Ramberg-Osgood(R-O) 상수(α, n)가 필요하다. R-O 식은 응력-변형률
사이의 비선형 관계를 정리하여 나타낸 것이다. α, n값은 재료의 진응력-진변형률 곡선과 R-O 관계식으로 곡선 적합을 통하여 결정된다. 여기서 α,
n은 각각 R-O 곡선적합 상수와 가공경화지수이다[31-33]. R-O 상수가 결정되면 미국 전력 연구원(EPRI)에서 개발한 PICEP (pipe crack evaluation program)을 사용하여
가상누설균열길이(DLC, detectable leakage crack)를 계산한다[34]. 가상누설균열길이란 누설감지계통이 감지할 수 있는 정도의 누설을 허용할 수 있는 관통균열의 크기를 의미한다[34]. 마지막으로 GE/EPRI (General electric/Electric power research institute) 방정식을 통하여 배관에
작용하는 하중에 대한 생성된 균열이 불안정하게 전파할 때의 하중을 계산할 수 있다[35]. 계산에 사용된 배관의 하중 및 내부 압력 등은 국내 APR1400 원전의 주증기배관의 설계와 동일하게 적용되었다. LBB 계산을 위한 상세한
조건은 이전 연구에 보고되어 있다[36]. 소재의 LBB 안전여유도는 286°C에서 인장 및 J-R 파괴저항특성을 사용하여 평가되었으며, 열처리적용에 따른 LBB 안전여유도를 비교하여
표 5에 정리하였다.
R-O 상수는 α와 n 두가지이므로 α를 기존 논문에서 제시된 수식을 이용하여 결정하였다[32-33]. α를 고정하는 이유는 R-O 곡선이 진응력-진변형률 곡선의 0.2 % 오프셋 점을 따라서 반드시 지나도록 하기 위함이다[33]. α값은 항복강도가 증가할수록 감소하였다. 가상누설균열길이는 유동응력이 증가할수록 그 값이 증가하였다.
GE/EPRI 방정식을 이용하여 LBB 안전여유도를 평가한 결과, QT강의 LBB 안전여유도는 1.37, QIT강은 1.42, QPT강은 1.41,
QIPT강은 1.35로 추가적으로 이상영역열처리 및 pre-tempering을 적용한 경우, LBB 안전여유도가 모두 증가하였다. 일반적으로 LBB
안전여유도는 항복강도와 파괴저항성이 우수할수록 증가한다고 알려져 있다. QIT강의 경우, QT강과 비슷한 유동응력을 가지지만 JIc값과 균열진전저항성을 판단할 수 있는 m값이 모두 증가하여 LBB 안전여유도가 1.37에서 1.42로 증가하였다. 또한 QPT강은 JIc값과 m값이 QT강에 비하여 모두 감소함에도 불구하고 QT강보다 유동응력이 30 MPa이상 향상되어 LBB 안전여유도는 1.41로 증가하였다. 이처럼
LBB 안전여유도 해석에는 파괴저항성 특성보다 소재의 인장특성이 더 큰 영향을 미치는 것을 확인할 수 있었다. 이는 LBB 안전여유도가 항복강도에
더 민감하다고 알려져 있기 때문이다[3]. 따라서 QIPT강은 네 가지 열처리된 강 중에서 가장 높은 JIc값 (784kJ/m2)과 높은 m값을 가짐에도 불구하고 낮은 강도로 인하여 미세하지만 LBB 안전여유도는 QT강보다 감소한 것을 확인할 수 있었다. 이를 통해 Mo,
V이 첨가된 SA508 Gr.1A 저합금강에 IHT 및 pre-tempering 열처리 수행 시 강도의 큰 감소 없이 인성을 증가시킬 수 있어 LBB
안전여유도를 향상시킬 수 있었다.
4. 결 론
본 연구에서는 인성향상에 영향을 주는 열처리의 적용을 통한 SA508 Gr.1A 저합금강의 미세조직 변화와 그에 따른 기계적특성을 평가하고 다음과
같은 결론을 얻었다.
1. 이상영역열처리의 적용은 결정립계에 미세한 저온변태상인 베이나이트를 형성시켜 결정립 및 석출물의 크기를 미세화 시킬 수 있었다. 반면, pre-tempering
적용에 따른 미세조직 변화는 관찰할 수 없었다.
2. pre-tempering의 적용은 많은 양의 미세한 VC 석출물을 형성시켜 VC 석출물에 의한 석출강화로 인하여 강도가 크게 향상되었다. pre-tempering은
MA/RA을 분해해 인성향상에 도움을 준다고 알려져 있지만 SA508 Gr.1A 저합금강에서는 MA/RA상의 형성이 어려워 pre-tempering으로
인한 인성 향상은 관찰되지 않았다.
3. pre-tempering의 적용으로 인한 강도의 향상, 그리고 IHT 적용에 따른 인성향상으로 인하여 LBB 안전여유도를 모두 향상시킬 수 있었다.
그러나 LBB 안전여유도는 소재의 강도에 더 큰 영향을 받으므로 IHT와 pre-tempering을 함께 적용할 때에 가장 높은 인성을 가짐에도 불구하고
강도의 감소로 인하여 LBB 안전여유도의 증가는 나타나지 않았다.
Acknowledgements
이 성과는 정부(과학기술정보통신부)의 재원으로 한국연구재단의 지원을 받아 수행된 연구임 (No. RS-202200144399).
REFERENCES
Chang Y.S., Jung M.J., Lee B.S., Kim H.S., Huh N.S., Structural Integrity of Nuclear
Component,30-32, Hanshouse (2013)

Hong S., Min K.D., Hyun S.M., Kim J.M., Lee Y.S., Kim H.D., Kim M.C., Int. J. Press.
Vessel. Pip,191, 104359 (2021)

Kim M.W., Lee Y.S., Shin I.W., Yang J.S., Kim H.D., Trans. of the KPVP,16, 42 (2020)

Lee B.S., Kim M.C., Yoon J.H., Hong J.H., Int. J. Press. Vessel. Pip,87, 74 (2010)

Lee K.H., Park S.G., Kim M.C., Lee B.S., Wee D.M., Mater. Sci. Eng. A,529, 156 (2011)

Kim M.C., Park S.G., Lee K.H., Lee B.S., Int. J. Press. Vessel. Pip,131, 60 (2015)

Lee K.H., Kim M.C., Yang W.J., Lee B.S., Mater. Sci. Eng. A,565, 158 (2013)

Kim M.C., Lee B.S., Yang W.J., Hong J.H., Key Eng. Mater,297, 1672 (2005)

Hong S., Lee C.L., Kim M.C., Lee B.S., Korean J. Met. Mater,55, 752 (2017)

ASTM Standard A508/A508M-16, Annual Book of ASTM Standards,ASTM (2016)

Hong S.M., Hyun S.M., Kim J.M., Lee Y.S., Kim M.C., Metall. Mater. Trans,53, 1499
(2022)

Hyun S.M., Hong S.M., Kim M.C., Kim J.M., Sohn S.S., Hong S.I., Mater. Sci. Eng. A,811,
141069 (2021)

Ahn Y.S., Kim H.D., Byun T.S., Oh Y.J., Kim G.M., Hong J.H., Nucl. Eng. Des,194, 161
(1999)

Ahn Y.S., Oh Y.J., Kim H.D., Kim G.M., J. Kor. Inst, Met & Mater,38, 466 (2000)

Tao P., Yu H., Fan Y., Fu Y., Mater. Des,54, 914 (2014)

Hyun S.M., Hong S.M., Kim M.C., Kim J.M., Sohn S.S., Met. Mater. Int,28, 2907 (2022)

Li X., Jiang Y., Wu K., Dong W., Yang F., Jia X., Xu X., Chen J., Cao R., Int. J.
Press. Vessel. Pip,193, 104455 (2021)

Hong S.M, Lee C.L., Lee B.S., Kim H.D., Kim M.C., Korean J. Met. Mater,61, 10 (2023)

ASTM Standard A370-23, Annual Book of ASTM Standards,ASTM (2023)

ASTM Standard E23-23a, Annual Book of ASTM Standards,ASTM (2023)

Oldfield W., ASTM Standardization News,3, 24 (1975)

ASTM Standard E1820-23b, Annual Book of ASTM Standards,ASTM (2023)

Jiang Z., Wang P., Li D., Li Y., Mater. Sci. Eng. A,742, 10 (2019)

Xie C., Liu Z., Wang X., He X., Qiao S., Mater. Charact,160, 110070 (2020)

Xie C., Liu Z., He X., Wang X., Qiao S., Mater. Charact,161, 110139 (2020)

Kim M.C., Oh Y.J., Hong J.H., Scripta Mater,43, 205 (2000)

Lee S.I., Lee S.Y., Nam S.H., Hwang B.C., Korean J. Mater. Res,25, 559 (2015)

Yi I.C., Ha Y., Lee H., Zargaran A., Kim N.J., Met. Mater. Int,23, 283 (2017)

Torkamani H., Raygan S., Garcia-Mateo C., Rassizadehghani J, Palizdar Y., San-Martin
D, Met. Mater. Int,24, 773 (2018)

Lee S.I., Lee S.Y., Lee S.G., Jung H.G., Hwang B., Met. Mater. Int,24, 1221 (2018)

Kumar V., German M D, Elastic-Plastic Fracture Analysis of Through-Wall and Surfaces
Flaw in Cylinders: Final report,EPRI Report NR-5596 (1988)

Bae K.D., Ryu H.W., Kim Y.J., Kim J.W., Kim J.S., Oh Y.J., Trans. Korean Soc. Mech.
Eng. A,39, 645 (2015)

Kim Y.J., Huh N.S., Kim Y.J., Choi Y.H., Yang J.S., J. Pressure Vessel Technol,126,
277 (2004)

Norris D.M, Chexal B., PICEP: pipe crack evaluation program (Revision 1): special
report,EPRI Report NP-3596-SR-Rev. 1 (1987)

Rodríguez-Galeano R., Rodríguez-Baracaldo Karol Felipe, Mestra-Rodríguez A., Cabrera-Marrero
J.J., Olaya-Florez Jose Maria, Theor. Appl. Fract. Mech,86, 351 (2016)

Hong S., Kim J., Kim M.W., Kim H.D., Lee B.S., Kim M.C., Int. J. Pres. Ves. Pip,188,
104226 (2020)

Figures and Tables
Fig. 1.
Schematic illustration of heat treatment conditions of the specimens
Fig. 2.
The OM images of specimens: (a) QT, (b) QIT, (c) QPT and (d) QIPT
Fig. 3.
The SEM images of specimens: (a) QT, (b) QIT, (c) QPT and (d) QIPT
Fig. 4.
Stress-strain curves of the specimens: (a) room-temperature and (b) 286
Fig. 5.
Charpy ductile–brittle transition curves of the specimens: QT, QIT, QPT and QIPT
Fig. 6.
Normalized J-R fracture resistance curves of the specimens
Fig. 7.
EBSD inverse pole figure map and image quality map with effective grain boundaries
of the specimens: (a) QT, (b) QIT, (c) QPT and (d) QIPT
Fig. 8.
Precipitation behavior of Mo+V added SA508 Gr.1A low-alloy steel calculated using
Thermo-Calc software
Table 1.
Chemical composition of SA508 Gr.1A low-alloy steel (wt%)
|
SA508 Gr.1A
|
C
|
Mn
|
Si
|
Ni
|
Cr
|
Mo
|
V
|
Cu
|
Al
|
|
ASME spec.
|
0.35
|
0.40
|
0.40
|
0.40
|
0.25
|
0.10
|
0.05
|
0.20
|
-
|
|
max
|
-1.35
|
max
|
max
|
max
|
max
|
max
|
max
|
|
Mo+V added SA508 Gr.1A steel
|
0.19
|
1.27
|
0.26
|
0.38
|
0.22
|
0.08
|
0.048
|
0.05
|
0.017
|
Table 2.
Tensile properties of the specimens: QT, QIT, QPT and QIPT
|
ID
|
RT
|
286°C
|
Remark
|
|
YS (MPa)
|
TS (MPa)
|
U. El. (%)
|
T. El. (%)
|
YS (MPa)
|
TS (MPa)
|
U. El. (%)
|
T. El. (%)
|
|
QT
|
420
|
558
|
13.3
|
32.7
|
344
|
551
|
13.8
|
31.2
|
Quenching & Tempering
|
|
QIT
|
409
|
544
|
13.6
|
33.2
|
346
|
548
|
13.4
|
28.8
|
IHT
|
|
QPT
|
445
|
571
|
11.8
|
28.7
|
380
|
571
|
12.0
|
27.7
|
Pre-tempering
|
|
QIPT
|
393
|
522
|
13.4
|
31.1
|
320
|
525
|
13.1
|
28.5
|
IHT + Pre-tempering
|
Table 3.
Charpy impact properties of the specimens: QT, QIT, QPT and QIPT
|
ID
|
USE (J)
|
T41J (°C)
|
T68J (°C)
|
DBTT (°C)
|
|
QT
|
340
|
-74.5
|
-60.9
|
-30.1
|
|
QIT
|
399
|
-97.7
|
-86.5
|
-56.6
|
|
QPT
|
360
|
-61.0
|
-48.9
|
-19.7
|
|
QIPT
|
406
|
-107.8
|
-96.9
|
-67.9
|
Table 4.
J-R fracture resistance properties of the specimens
|
ID
|
JIc (kJ/m2)
|
J-Integral at 2 mm (kJ/m2)
|
J-integral at 4 mm (kJ/m2)
|
a0* (mm)
|
af* (mm)
|
J=C(Δa)m
|
|
C
|
m
|
|
QT
|
707
|
935
|
1232
|
29.18
|
33.73
|
709.8
|
0.398
|
|
QIT
|
757
|
1005
|
1359
|
29.14
|
32.95
|
742.1
|
0.437
|
|
QPT
|
683
|
917
|
1193
|
27.74
|
33.67
|
705.3
|
0.379
|
|
QIPT
|
784
|
997
|
1333
|
27.77
|
33.32
|
744.9
|
0.420
|
Table 5.
The results of the LBB safety margin evaluation using GE/EPRI model
|
ID
|
Tensile properties (at 286°C)
|
DLC (5gpm, in.)
|
J-R curve (at 286°C)
|
LBB safety margin
|
|
σf* |
R-O constant
|
JIc (kJ/m2)
|
J=C(Δa)m
|
|
(MPa)
|
α
|
n
|
C
|
m
|
|
QT
|
448
|
1.085
|
9.682
|
9.234
|
707
|
709.8
|
0.398
|
1.37
|
|
QIT
|
447
|
1.076
|
9.382
|
9.236
|
757
|
742.1
|
0.437
|
1.42
|
|
QPT
|
476
|
0.980
|
9.557
|
9.253
|
683
|
705.3
|
0.379
|
1.41
|
|
QIPT
|
423
|
1.165
|
8.532
|
9.222
|
784
|
744.9
|
0.42
|
1.35
|