허재희
(Jae-Hee Heo)
1
강영민
(Young-Min Kang)
1*
-
국립한국교통대학교 반도체신소재공학과
(Department of Materials Science and Engineering, Korea National University of Transportation,
Chungju 27469, Republic of Korea)
Copyright © 2024 The Korean Institute of Metals and Materials
Key words
Z-type hexaferrite, sol-gel method, permittivity, permeability, reflection loss, electromagnetic wave absorption
1. 서 론
Hexaferrite 소재는 페리자성 산화물로 여러 가지 물리 특성과 더불어 폭넓은 응용성으로 수십 년간 많은 연구가 진행되어 왔다[1-5]. Hexaferrite는 기본 구조의 적층 순서와 구성 양이온에 따라 M, U, X, Y, W, Z type의 6개의 서로 다른 결정상 또는 유형을
가지며 이에 따라 물리적 특성은 보다 다양해진다[3]. 그중 (Ba,Sr)3Co2Fe24O41의 조성식을 가지는 Z-type hexaferrite는 우수한 자기적, 유전적 특성과 함께 자기-전기(magnetoelectric) 결합 특성 등
매우 흥미로운 물리 특성을 보여 최근 더욱 주목을 받고 있는 소재이다[6]. Z-type hexaferrite의 기본 조성이라 할 수 있는 Ba3Co2Fe24O41 (Ba3Co2Z)은 상온에서 43-51 emu/g의 포화자화 값을 가지며, 약 417 °C의 큐리 온도를 가지는 것으로 보고된다[4]. 정적 자기 투자율 (µS)은 8-20 정도 범위를 보이며, 강자성 공명 (FMR) 주파수는 소결체에서 ~1.5 GHz 값이 보고되고 있다[3,7,8]. 평면 이방성 자계, Hθ = 0.12 kOe 정도이며, 이는 c-축 이방성 자계 (HФ = 12 kOe) 보다 훨씬 작기 때문에 자화 용이축은 c-면과 평행하게 되어 연자성의 특성을 보인다[2]. 이러한 연자성 특성으로 인해 인덕터 코어 응용, 마이크로파 통신 소자로 응용이 가능하다. 특히 안테나[9], 칩 인덕터[10], 및 전자기파 흡수체[7,11]로 우수한 특성이 다수 보고되고 있다. 고주파에서 다양한 응용을 위해서 제어가 필요한 주요 재료 물성은 주파수에 따른 재료의 복소 유전율 (ε =
ε' - jε") 및 복소 투자율 (μ = μ' - jμ")이다. 특히 자기적 손실 기구를 활용한 전자기파 흡수를 위해서는 μ" 값의 향상이 가장
중요하며 ε', ε", μ', 및 μ" 값을 해당 주파수에서 조절하여 임피던스 정합성을 높이는 방향을 찾는 것이 요구된다[12-16]. GHz 대역에서 hexaferrite의 μ" 값이 증가는 강자성 공명 (Ferromagnetic resonance, FMR)을 통해 이루어진다.
FMR이 발생하는 주파수 (fFMR)는 소재의 자기 이방성과 밀접한 관계가 있으며 아래의 식으로 표현된다[17-18].
여기서, c-축 자기 이방성을 가질 때 이방성 자계는 Ha로 표현되며, c-평면 이방성의 경우에는 Hθ와 Hφ로 각각 표현된다. γ는 자기 회전비 상수이며 μ0다는 진공 투자율이다. 일반적으로 Hφ는 수 십 ~ 수 백 Oe로 Hθ (~104 Oe) 보다 훨씬 작으며, Hθ가 Hφ에 비례한다고 할 때, 상수 α를 도입하여 식(2)를 아래 식(3)으로 근사화할 수 있다.
Ha는 결정자기이방성과 포화자화 (MS) 값에 의해 결정되며, 결정자기이방성 상수, Ku를 갖는 c-축 자기이방성의 경우 Ha = 2 Ku/MS와 같이 표현될 수 있다. Z-type hexaferrite에 다양한 양이온을 치환하면 결정자기이방성과 같은 소재의 고유한 자기적 물성이 변화될 수
있고, 이는 위 식 (1)~(3)에 의해 FMR 주파수의 변화와 직결되어 전자기파 흡수 특성을 제어할 수 있다[19]. 또한 투자율 값이 증가되는 경우 전자기파 흡수능을 향상시키는 것도 가능하다. 따라서 이러한 전자기적 능동적으로 제어할 수 있는 양이온의 종류와
치환 수준을 찾고 소재의 구조, 유전적, 자기적 자기적 특성을 변화를 평가하여 원하는 주파수 대역에서 전자기파 흡수 특성을 향상시키는 연구가 중요하다.
Z-type hexaferrite는 고상법[7,8,20-22], 공침법[23], 졸겔법[11,24,25] 등과 같은 다양한 방법을 이용해 합성될 수 있지만, 순수한 Z상의 합성은 매우 어렵다고 보고된다[3,4]. Z-type hexaferrite 상이 형성되는 합성 온도와 특성은 공정법과 치환 조성에 따라 다르다. 본 연구팀의 이전 연구에서는, 고상법과
졸겔법으로 순도가 매우 높은 Sr3Co2Z를 합성하였으며 대기압 하에서 고상법과 졸겔법에서의 최적의 합성 온도는 각각 1215−1230 °C [8] 및 1195−1245 °C [25]의 범위이다. Z-type hexaferrite를 합성하기 위한 공정 윈도우가 매우 좁기 때문에 양이온을 치환하게 되면 순도가 높은 Z상을 합성하기는
더욱 어려워진다. 본 연구에서는 기본 조성식 Sr3Co2Z에서 Fe 및 Co 자리에 Mn, Zn, Ni의 치환량을 체계적으로 변화해 가는 조성식을 설계하여 이들이 Z상이 주상으로 존재하는 조성의 범위를
확인하였다. 또한 양이온의 첨가로 유도되는 다른 유형의 hexaferrite 상을 포함한 이들의 미세구조 그리고 이에 따라 변화하는 고주파 유전 및
자기 특성을 0.1−18 GHz 범위에서 평가하여 전자기파 흡수 특성과의 상관관계를 연구하였다.
2. 실험 방법
2.1 시료의 제조 방법
Sr3Co2Fe24-xMnxO41 (x = 0, 0.5, 1.0, 1.5, 2.0), Sr3Co2-yZnyFe24O41 (y = 0.5, 1.0, 1.5, 2.0), Sr3Co1-zNizZnFe24O41 (z = 0.5, 1.0) 조성의 hexaferrite 분말을 sol-gel 법으로 합성하였다. 전구체로 Sr(NO3)3 (99+%, Acros Oganics), Co(NO3)2·6H2O (99%, Acros Organics), Fe(NO3)3·9H2O (99+%, Acros Organics), Mn(NO3)2·4H2O (98%, Alfa Aesar), Zn(NO3)2·6H2O (98%, Acros Oganics), Ni(NO3)2·6H2O (99%, Acros Oganics) 분말을 사용하였고, 화학식의 양이온몰 비에 따라 이들 분말을 칭량한 후, 분말과 citric acid (C6H8O7, Acros Oganics)를 질량비 1:1로 혼합하였다. 이혼합물에 증류수 150 ml를 부어 고상 분말이 모두 용해되도록 마그네틱 바를 넣고
교반하였고, 여기에 액상 암모니아 (NH4OH, Alfa Aesar)를 용액에 조금씩 첨가해 가면서 pH = 7이 되도록 하였다. 이 혼합 용액을 100 °C에서 가열 및 교반 시키면서 용매를
모두 증발시키고 연소가 완전히 끝나도록 하였다. 연소된 분말을 전기 건조로에 넣고 180 °C, 20 시간 동안 건조시켰다. 건조된 분말은 알루미나
도가니에 담아 1210−1230 °C의 온도 범위에서 공기 중 4시간 동안 하소하고 분쇄하여 최종 분말을 얻었다[25]. 각 조성의 hexaferrite 분말들과 고체형 epoxy (YD-014, 국도 화학)를 질량비 9 : 1로 혼합 및 분쇄하였다. 이들 복합
분말을 toroid 형 금속 몰드 (내경 3.03 mm, 외경 7.00 mm)에 넣고 0.2 ton의 힘을 가해 toroid 형 성형체를 얻었다.
이후 이들 성형체를 전기 오븐에 넣고 180 °C에서 20분 동안 유지하였다. 경화된 성형체 추가 가공하여 내경 3.03 mm, 외경 7.00 mm가
되도록 하였다[26].
2.2 특성 평가 방법
결정구조는 Cu Kα radiation (λ = 0.154056 nm)을 사용하는 X-선 회절기 (XRD, D8 Advance, Bruker)를 사용하여 진행하였다. 하소된 분말 시료의 미세
구조를 전계 방출형 주사전자현미경 (FE-SEM, JSM-7610F, JEOL)을 사용하여 분석하였다. 복소 투자율 (μʹ, μʺ) 및 유전율 (εʹ,
εʺ) spectra는 toroid형 복합체가 장착된 airline 키트 (85052BR03)를 백터네트워크 분석기 (E50356A, Keysight)의
2개의 포트에 연결하여, 주파수 범위 0.1 ≤ f ≤ 18 GHz에서 측정하였다.
3. 결과 및 토의
3.1 시료의 결정상 및 미세 구조 분석
그림 1(a)−1(c)는 본 연구 대상 시료들의 XRD 패턴을 보여준다.
조성별 하소 온도는 표 1에 제시된 바와 같이 1210 °C 부터 1230 °C이며 치환 조성의 반응성을 고려하여 Z-type hexaferrite (Z) 상의 합성을 최대화하기
위한 조절되었다.
먼저, 그림 1(a)은 기본조성 Sr3Co2Z의 화학식의 Fe 자리에 Mn의 양을 증가시키며 치환한 Sr3Co2Fe24-xMnxO41 (x = 0, 0.5, 1.0, 1.5, 2.0) 시료의 XRD 패턴이다. 기본조성 x = 0 및 x = 0.5에서는 단상의 Z상이 확인된다. Sr3Co2Z의 ICDD (International Center for Diffraction Data, 04-019-4353) peak 위치를 시료의 회절 패턴과
함께 matching하여 나타내었다. 2θ = 37° 부근 패턴 상에 *로 표시된 peak는 ICDD peaks 위치와 match되지 않으나 여러
선행 연구 보고[25, 27-28] 의해 Z-상으로 간주된다. x = 1.0 시료에서 소량의 Y-type hexaferrite (Y) 상이 확인되고 x = 1.5 및 2.0 시료에서는 주상이 M-hexaferrite (M) 상으로 변화하며 Y상과 함께 존재하는 것을 알 수 있다.
다음으로 그림 1(b)는 Sr3Co2-yZnyFe24O41 (y = 0, 0.5, 1.0, 1.5, 2.0) 시료에 대한 XRD 패턴으로 전 조성 범위에서 Z상이 주상으로 확인된다. 흥미롭게도 x = 0.5 시료에서는 소량의 Y상이 확인되나 x = 1.0 시료에서는 단상의 Z상이 확인된다. x = 1.5, 2.0 시료에서는 소량의 U상과 Y상이 함께 2차상으로 존재한다. 그림 1(c)은 Co 자리에 Zn을 y = 1.0 만큼 치환한 조성 Sr3CoZnFe24O41에서 Co 자리에 Ni를 치환한 Sr3Co1.0-zNizZnFe24O41 (z = 0.5, 1.0) 조성이다. Ni 치환량 z = 0.5, 1.0으로 증가함에 따라 소량의 U상과 M상이 2차상으로 검출된다.
Z상을 주상으로 갖는 시료에 대해 Z상에 대한 격자상수 a, c와 단위셀의 부피 volumes (Å3)를 표 1에 나타내었다. 이는 다음 식(4)를 따라, (1016), (1110) peak에 해당하는 dhkl의 값을 이용하여 a와 c의 값이 계산되었다.
여기서 dhkl은 면간거리이고 h, k 그리고 l은 Miller 지수이다. 기본 조성 Sr3Co2Fe24O41의 Fe3+ 자리에 Mn3+ 이 x = 0.5 만큼 고용되었을 때 cell vol.이 소폭 감소한 것을 확인할 수 있으며, Co2+ 자리에 Zn2+ 가 y = 0.5, 1.0, 1.5, 2.0 만큼 순차적으로 치환될 때 연속적으로 cell vol.이 증가한다. 2차상이 소량 존재하는 조성에서도 Z상
내에 고용되는 Zn의 치환 함량은 증가해 간다고 볼 수 있다.
기본 조성 Sr3Co2Fe24O41 및 Mn 및 Zn가 치환된 조성의 하소 후 시료들의 전자 현미경 사진은 그림 2 (a)–2(e)에 제시되어 있다.
이전의 연구 결과[22,25]와도 유사하게 하소 후 Z상이 합성되면 10 μm 이상의 큰 결정립이 형성되는 것을 알 수 있다. 기본 조성에 Mn 함량(x)이 증가할수록 결정립의 크기는 크게 증가하였으며, 반면 Zn를 첨가한 경우에는 치환량에 따라 미세구조의 변화에 영향성이 없는 것으로 확인된다. 그림 2(f)는 한 조성의 시료, Sr3CoZnFe24O41 (y = 1.0)에 대한 epoxy 복합화 후의 현미경 사진을 보여준다. 복합화 전에 grinding과정을 통해 hexaferrite 결정립들의 크기가
감소하였으며, 비교적 높은 충진 밀도를 가지고 있음을 알 수 있다. Epoxy 부분은 SEM상에 기공의 영역에 해당하며 뚜렷하게 나타나 보이지는 않는다.
3.2 고주파 복소 유전율 및 투자율 평가
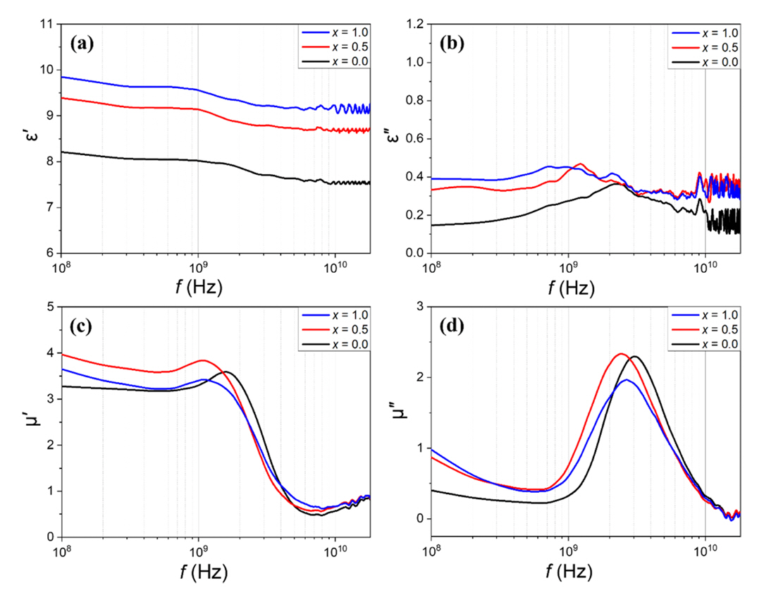
그림 3(a)–3(d)는 Z상이 주상으로 확인된 조성 영역 x ≤ 1.0, Sr3Co2Fe24-xMnxO41 (x=0, 0.5, 1.0) hexaferrite-epoxy (10 wt.%) 복합체의 유전율 실수부 (ε'), 허수부 (ε'') 및 투자율 실수부
(μ'), 허수부 (μ'') spectra를 각각 보여준다.
기본조성 Sr3Co2Z 시료는 측정 주파수 범위에서 ε' ~8 부근의 값을 대체로 유지하며 3 GHz 전후로 μ' spectra의 transition을 거치며 μ''는
peak를 보인다. Mn이 치환될수록 ε' spectra의 높이는 증가하며 ε'' 값도 커짐을 알 수 있다. 이는 Mn은 다원자가 원소로 치환량이
증가할 수록 해당 주파수 범위에 분극에 기여하는 전하의 이동이 증가하기 때문이다. μ' 및 μ'' spectra는 Mn이 x = 0.5 만큼 치환될 때 왼쪽으로 shift하면서 높이가 높아지는 것을 알 수 있다. FMR 주파수에 해당하는 μ''의 peak 주파수 (fμ"max)도 3.05 GHz에서 2.44 GHz로 감소한다. x = 1.0에서는 μ' 및 μ'' spectra의 높이가 낮아지는데 이는 Z상 보다 투자율이 낮은 2차상이 증가한 영향이라고 볼 수 있다. 본 시료들의
1 GHz에서 ε' 및 ε" 값 100 MHz에서 μ', μ''의 최댓값 및 μ'' 최댓값에서의 주파수 값을 표 2에 정리하였다.
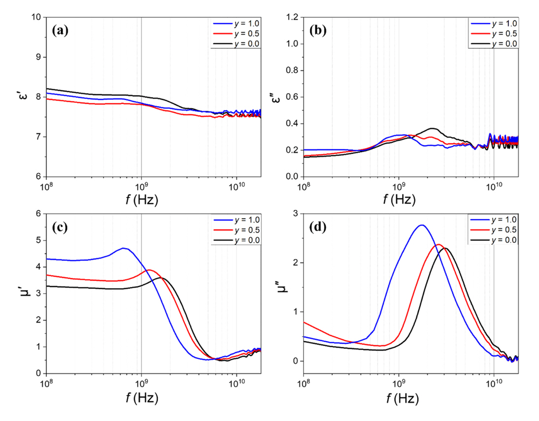
그림 4(a)–4(d)는 Sr3Co2-yZnyFe24O41 (y = 0, 0.5, 1.0) hexaferrite-epoxy (10 wt.%) 복합체의 ε', ε', μ', μ'' spectra를 각각 보여준다.
Mn 치환의 경우와는 다르게 Zn의 치환의 경우 유전율은 기본조성 Sr3Co2Z 시료와 유사한 ε' ~8 부근의 값을 대체로 유지하며 ε'' 값도 조성에 따라 두드러진 차이는 없다. 이는 Zn2+가 Co2+를 동일 원자가로 치환하여 전하의 변화에 따른 유전 분극도의 변화가 거의 없기 때문으로 사료된다. μ' 및 μ'' spectra는 Zn가 y = 0.5, 1.0으로 치환됨에 따라 저주파 방향으로 shift하면서 spectra의 높이가 높아지고 Mn의 치환 경우보다 더 큰 폭의 변화로 보인다.
특히 2차상이 없는 y = 1.0 시료가 y = 0.5시료보다 두드러진 변화를 보이며 μ'' spectra 높이 증가와 fμ"max 변화가 상대적으로 더 큰 것을 알 수 있다. 이는 Co 자리에 Zn를 치환하는 것이 자기이방성을 큰 폭으로 감소시켜 fFMR = 1.76으로 효과적으로 낮추는 것을 알 수 있다. 단상의 소재에서 조성 치환 등에 의해 fFMR이 변화할 경우 정적 투자율 (static permeability, μ's)은 아래 식의 Snoek’s limit law 따라 변화한다.
여기서 μ's 값은 저주파 범위에서 주파수에 따라 변화하지 않는 투자율 값으로 볼 수 있다. 그림 4(c), 4(d) 그래프에서도 이러한 Snoek’s limit law를 따라 μ' 및 μ'' spectra가 변화해 간다고 볼 수 있다.
그림 5 (a)–5(d)는 앞선 조성에서 효과적인 고주파 자기 특성의 변화를 보인 y = 1.0 조성 시료에서 Co 자리에 Ni을 추가적으로 z = 0.5, 1.0 만큼 치환한 Sr3Co1-zNizZnFe24O41 분말과 epoxy 복합체의 고주파 특성을 보여준다.
Ni이 치환되지 않은 경우에 비해 z = 0.5, 1.0 시료에서 ε' ~9 정도로 증가하며, μ' spectra의 높이는 큰 폭으로 감소한다. z = 0 시료가 2 GHz 정도의 주파수를 중심으로 한 번에 μ' 값이 transition하고 μ'' spectra에서도 하나의 peak을 보이는
것과 다르게 z = 0.5, 1.0 시료는 두 번에 걸쳐 transition하면서 μ' > 1에 해당하는 영역이 보다 고주파 범위까지 이어진다. 또한 μ'' spectra에서도
두 개의 peak이 보이는 것을 확인할 수 있다. 이는 그림 1(c)의 XRD 상분석 결과를 바탕으로 볼 때 주상인 Z상과 2차상으로 존재하는 M 또는 U 상의 자기적 손실 기구들이 중첩된 결과로 해석할 수 있다.
FMR 주파수에 대한 기존의 연구 결과를 보면 Z상은 치환 조성에 따라 1–3 GHz 주파수 범위에서[3, 8, 22], U 상이나 M 상은 이보다 훨씬 높은 수 GHz에서 수십 GHz까지[29-32] 이르는 것으로 보고되고 있다. 따라서 두 개의 peak 중 낮은 주파수에 해당하는 것은 Z상에 의해, 높은 주파수에 해당하는 것은 M과 U상에
의한 것으로 예측할 수 있다. 기본 조성 Z상의 FMR 주파수가 3.05 GHz이며 Zn가 Co 자리에 y = 1.0만큼 치환된 조성의 FMR 주파수가 1.76 GHz인 것을 볼 때, FMR 주파수가 1 GHz 이하로 낮아진 것은 실제 Z상 영역의 치환
조성 변화에 따른 결과로 보인다. 그림 4와 그림 5의 그래프에서 나타난 구체적인 고주파 물성 값은 표 2에 정리하였다. μ'' spectra에서 2개의 peak을 보이는 z = 0.5, 1.0 시료에 대해서는 μ'' 최댓값 및 그때의 주파수 값 (fμ"max)도 2개씩 제시하였다.
3.3 전자기파 흡수 특성 평가
그림 3, 4, 5의 측정된 복소 유전율 (εʹ, ε″) 과 복소 투자율 (μʹ, μ″) spectra 값으로부터 전자기파 흡수능을 대표하는 반사손실 (Reflection
loss, RL)을 계산하였다. RL의 계산은 전송선 이론을 통해 아래 두 식(6), (7)을 활용하였다[33].
여기서 Zin은 전자기파의 재료 내 입사 시 임피던스, Z0는 진공 상에서의 임피던스이다. εr = εʹ – jε″, μr = μʹ - jμ″이며, c는 빛의 속도, f는 전자기파의 주파수, 그리고 d는 흡수체의 두께를 의미한다. 유전율과 투자율은 두께에 무관한 물성으로 주파수 범위 100 MHz ≤ f ≤ 18 GHz에서 확보한 εʹ, ε″, μʹ, μ″ spectra로부터 임의의 두께 범위에서 RL 값을 계산할 수 있다. 본 연구에서는 측정 주파수
범위와 흡수체의 두께 범위 0 mm ≤ d ≤ 10 mm의 2차원 map 상에서 RL 값을 등고선 형태로 plot한 RL map을 그림 6(a)-6(g)에 제시하였다.
그림 6의 각 RL map에서 바깥쪽 첫 실선 내부 영역은 RL < −10 dB을 만족하고 흡수체 내에서 전자기파의 에너지가 90% 이상 흡수되는 영역이다.
첫 실선 내 존재하는 두 번째 실선의 내부는 RL < −20 dB로 99% 이상을 만족한다. 등고선 가장 안쪽의 검은색 영역은 RL < −30 dB를
만족하는 영역으로 전자기파가 99.9% 이상 흡수된다.
그림 6 (a) 기본 조성 Sr3Co2Fe24O41의 RL map을 보면 3 GHz 부근에서 첫 번째 강한 흡수 영역이 나타나고 11 GHz 부근에서 두 번째 강한 흡수 영역이 나타난다. 선행연구에서
Z-type hexaferrite에서 이러한 전자기파 흡수 특성은 강자성 공명에 의한 투자율 허수부 peak에 의한 것임이 밝혀져 있다[25]. 본 연구에서도 첫 번째 최대 흡수 주파수 (fRL1)는 fFMR 부근에서 발생하며 두 번째 흡수 주파수 (fRL2)에서의 강한 흡수도 μ″ > 0 값에 의한 것으로 임피던스 정합 조건을 만족할 때 두 번째 최대 흡수가 발생한다. 선행 연구에서 보인 바와 같이
측정된 εʹ, ε″, μʹ, μ″ spectra에서 μ″ = 0 두고 RL map을 계산하면 첫 번째 및 두 번째 강한 흡수 영역이 사라지기 때문에
해당 주파수 영역에서 전자기파 흡수 기구는 자기적 손실(μ″)에 기인한다고 할 수 있다. 그림 6(b)−6(e)의 RL map에서는 Mn과 Zn가 각각 x = 0.5 및 1.0, y = 0.5, 1.0 수준으로 치환될 때의 강한 흡수가 일어나는 주파수 및 두께 영역이 그림 6(a) 기본조성과 비교했을 때 어떻게 변화하는지 알 수 있다. Mn과 Zn의 치환에 따라 변화하는 fFMR를 따라 첫 번째 최대 흡수 주파수 영역도 변화한다. 표 2에서 제시된 조성에 따른 fFMR 값과 최대 흡수 영역의 주파수 (fRL1)를 보면 이를 잘 확인할 수 있다. 두 번째 강한 흡수 영역의 주파수 fRL2는 임피던스 정합 조건에 따라 다소 불규칙하게 변화할 수 있으나 조성에 따라 fFMR 값이 변화하는 방향으로 변화하는 것을 알 수 있다. 그림 6 (f), 6(g)는 Ni이 z = 0.5 및 z = 1.0 추가로 치환된 시료의 RL map으로 그림 5(g)의 μ″ spectra에서 두 개의 peak을 보이는 경우이다. 두 샘플의 첫 번째 및 두 번째 강한 흡수 영역의 주파수 fRL1 = 3.05, 3.77 GHz는 μ″ spectra의 두 번째 peak 주파수 3.01, 3.82 GHz 와 유사하게 변화하는 것을 볼 때 GHz
대역의 흡수 특성은 두 번째 FMR peak에 대응하는 것으로 이해할 수 있다. 1 GHz 이하에 존재하는 첫 번째 FMR peak에 대응하는 흡수
영역은 1 GHz 이하의 주파수와 더 높은 두께 (d > 10 mm) 범위에 있을 것으로 예상할 수 있다.
그림 6의 각 치환 조성별 RL map에서 1차 및 2차 강한 흡수 지점에서의 RL spectra를 각각 그림 7에 나타내었다.
위쪽 세 개 그림 (그림 7 (a), 7(c), 7(e))은 첫 번째 강한 흡수 지점의 두께 dRL1에서, 아래쪽 세 개 그림 (그림 7(b), 7(d), 7(f))은 두 번째 강한 흡수 지점의 두께 dRL2에서 각 샘플의 RL spectra이다. 치환 조성에 따라 fRL1 및 fRL2 가 어떻게 변화해 가는지를 쉽게 볼 수 있다. 그림 7(a), 7(b)에서 Fe 자리 Mn의 치환은 이차상 없이 치환된 x = 0.5 조성일 때 fRL1 및 fRL2 모두 가장 저주파 방향 이동한다. 그림 7(c)에서 Co 자리에 Zn가 y = 0.5, 1.0 수준으로 치환될 때 fRL1은 y 증가에 따라 단계적으로 저주파 방향으로 이동한다. 그림 7(e)에서 보는 바와 같이 Zn가 y = 1.0 만큼 치환된 조성에서, Ni이 추가로 z = 0.5, 1.0 수준으로 치환되면 다시 고주파 방향으로 fRL1 이 단계적으로 이동하는 것을 알 수 있다. 이러한 최대 흡수 주파수의 이동은 치환 조성에 따른 자기이방성 변화, 곧 FMR 주파수 변화에 따른 변화로
해석된다. 모든 샘플은 임피던스 정합이 발생하는 두께와 주파수에서 RLmin < -40 dB의 우수한 전자파 흡수 성능을 보인다. 각 시료들의 첫 번째 및 두 번째 강한 흡수 흡수가 일어나는 반사 손실 최솟값 (RLmin1, RLmin2)들과 이들에 해당하는 주파수 (fRL1, fRL2)와 두께 (dRL1, dRL2) 값들을 표 3에 제시하였다.
4. 요약 및 결론
Z-type hexaferrite (Sr3Co2Fe24O41)의 Fe3+ 자리에 Mn3+, Co2+ 자리에 Zn2+ 및 Ni2+을 치환한 조성을 sol-gel 법으로 합성하였다. Z-type 상이 단상으로 얻어지거나 주상으로 얻어진 치환 조성에 대해 고주파 자기 및 유전 특성
(εʹ, ε″, μʹ, μ″) 측정 및 반사 손실 (RL) spectra를 계산하여 전자기파 흡수 특성을 연구하였다. Fe 자리에 Mn을 x = 0.5 만큼 치환했을 때 단상의 Z상이 유지되면서 μʹ, μ″ spectra가 저주파 방향으로 이동되었다. Co 자리에 Zn를 y = 0.5, 1.0, 1.5, 2.0 수준으로 치환했을 때 Z상을 주상으로 유지하면서 μʹ, μ″ spectra를 저주파 방향으로 단계적으로 이동시키는
결과를 보였다. Z상 단상이 얻어진 y = 1.0 조성에서 Ni을 z = 0.5, 1.0 만큼 치환하면 μʹ, μ″ spectra가 고주파 방향으로 단계적으로 이동하였다. 이러한 고주파 자기 특성의 변화는 양이온 치환에
따른 결정자기 이방성의 변화에 기인하며, 이는 FMR 주파수 변화로 이어져 RL map 상에서 전자기파 흡수 주파수 영역 역시 같은 방향으로 변화시켰다.
Z-type hexaferrite 기본조성의 에폭시 복합체는 FMR 주파수인 3 GHz 부근에서 RLmin=-42 dB의 최대 흡수 특성을 보이며 치환 조성의 시료들 역시 FMR 주파수 부근에서 RL min 의 절댓값 42–58 dB 범위로 우수한 전자파
흡수 성능을 보였다. Mn 및 Zn의 적절한 치환은 L-S-band (1~4 GHz), 4–7 mm 정도의 두께 범위에서 RL ≤ -10 dB을 만족하는
강한 흡수를 구현할 수 있으며, 보다 얇은 두께 2–4 mm 두께를 활용하면 2차 강한 흡수 영역을 통해 X-band (8–12 GHz)의 흡수체로도
활용이 가능하다. 따라서 Z-type hexaferrite는 GHz 대역에서 Mn, Zn, Ni 등과 같은 양이온 치환 원소 및 치환 수준에 따라
전자기파 흡수 특성을 조절할 수 있는 매우 유망한 전자기파 흡수 소재라고 할 수 있다.
Acknowledgements
본 연구는 2023년도 과학기술정보통신부의 재원으로 한국연구재단의 지원을 받아 수행된 기본 연구 (NRF-2022R1F1A1062933)와 교육부의
재원으로 한국기초과학지원연구원 국가연구시설 장비진흥센터의 지원을 받은 기초과학연구역량강화사업 핵심연구지원센터 조성 지원 과제에서 열-전기 핵심연구
지원센터(2019R1A6C1010047)를 조성하여 수행된 연구의 결과입니다.
REFERENCES
Smit J., Wijn H. P. J., Ferrites,369Philips Techbical Library (1959)

Verwell J., Magnetic properties of materials,64McGraw-Hill (1971)

Pullar R. C., Prog. Mater. Sci,57, 1191 (2012)

Kong L. B., Li Z. W., Liu L., Huang R., Abshinova M., Yang Z. H., Tang C. B., Tan
P. K., Deng C. R., Matitsine S., Int. Mater. Rev,58, 203 (2013)

Kobayashi Y., Hosokawa S., Oda E., Toyota S., J. Jpn. Soc. Powder Powder Metallurgy,55,
541 (2008)

Kitagawa Y., Hiraoka Y., Honda T., Ishikura T., Nakamura H., Kimura T., Nat. Mater,9,
797 (2010)

Magham S.B.S., Sharma M., Shannigrahi S.R., Tan H.R., Sharma V., Meng Y.S., Idapalpati
S., Ramanujan R.V., Repaka D.V.M., J. Magn. Magn. Mater,441, 303 (2017)

Park M.-H., Kang Y.-M., J. Magn. Magn. Mater,491, 165628 (2019)

Neveu N., Hong Y.-K., Lee J., Park J., Abo G., Lee W., Gillespie D., IEEE Trans. Magn,49,
4265 (2013)

Kimura O., Shoji K., Maiwa H., J. Eur. Ceram. Soc,26, 2845 (2006)

Shen J., Chen K., Li L., Wang W., Jin Y., J. Alloy. Compd,615, 488 (2014)

Singh P., Babbar V.K., Razdan A., Puri R.K., Goel T.C., J. Appl. Phys,87, 4362 (2000)

Kumar A., Singh S., Mater. Sci. Eng,330, 012006 (2018)

Lim E.-S., Kang Y.-M., Mater. Today. Commun,25, 101411 (2020)

Lim E.-S., Kim H.K., Kang Y.-M., J. Magn. Magn. Mater,517, 167397 (2021)

Kim J.-K., Yu P.-Y., Kang Y.-M., J. Magn. Magn. Mater,537, 168235 (2021)

Snoek J. L., Physica,4, 207 (1948)

Nakamura T., J. Appl. Phys,88, 348 (2000)

Lee S.-M., Lee T.-W., Kang Y.-M., J. Alloy. Compd,962, 171060 (2023)

Lee W., Hong Y.-K., Park J., LaRochelle G., Lee J., J. Magn. Magn. Mater,414, 194
(2016)

Wu T., Su H., Ding Q., Zhang H., Jing Y., Tang X., Physica B,429, 85 (2013)

Kang Y.-M., You J.-Y., Lee S.-M., J. Magn,27, 286 (2022)

Rashad M.M., El-Sayed H.M., Rasly M., Sattar A.A., Ibrahim I.A., J. Mater. Sci. Mater.
Electron,24, 282 (2013)

Dhruv P.N., Meena S.S., Pullar R.C., Carvalho F.E., Jotania R.B., Bhat P., Prajapat
C. L., Machado J.P.B., Rao T.V.C., Basak C.B., J. Alloy. Compd,822, 153470 (2020)

Heo J.-H., You J.-Y., Kang Y.-M., J. Magn. Magn. Mater,550, 169051 (2022)

Heo J.-H., Kang Y.-M., Korean J. Met. Mater,61, 183 (2023)

Al-Hwaitat E.S., Mahmood S.M., Al-Hussein M., Bsoul I., Adv. Mater. Sci. Eng,2018,
6152020 (2018)

Al-Hwaitat E.S., Hussein M.A., Bsoul I., Buqain R.A., Mahmood S.H., Acta. Phys. Pol.
A,136, 548 (2019)

Kumar S., Dubey D.P., Shannigrahi S., Chatterjee R., J. Alloy. Compd,774, 52 (2019)

Kumar S., Meena R.S., Chatterjee R., J. Magn. Magn. Mater,418, 194 (2016)

Thompson S., Shirtcliffe N.J., O’Keefe E.S., Appleton S., Perry C.C., J. Magn. Magn.
Mater,292, 100 (2005)

Jeong K.-P., Yang S.-W., Choi J.-H, Kim J.-G., Met. Mater. Int,27, 2782 (2021)

Naito Y., Suetake K., IEEE Trans. Microw. Theory Tech,19, 65 (1971)

Figures and Tables
Fig. 1.
XRD patterns of (a) Sr3Co2Fe24-xMnxO41 (x = 0, 0.5, 1.0, 1.5, 2.0) and (b) Sr3Co2-y ZnyFe24O41 (y = 0.5, 1.0, 1.5, 2.0) and (c) Sr3Co1-zNizZnFe24O41 (z = 0.5, 1.0) powders.
Fig. 2.
SEM micrographs of (a) Sr3Co2Fe24O41 and (b, c) Sr3Co2Fe24-xMnxO41 (x=0.5, 1.0) and (d, e) Sr3Co2-yZnyFe24O41 (y=0.5, 1.0) powders, and (f) SCZFO (y=1.0)-epoxy composites.
Fig. 3.
(a-b) Real and imaginary parts of the complex permittivity (ε′ and ε″) and (c-d) permeability
(μ′ and μ″) spectra of Sr3Co2Fe24xMnxO41 powders–epoxy (10 wt%) composites with x=0.0, 0.5 and 1.0.
Fig. 4.
(a-b) Real and imaginary parts of the complex permittivity (ε′ and ε″) and (c-d) permeability
(μ′ and μ″) spectra of Sr3Co2yZnyFe24O41 powders–epoxy (10 wt%) composites with y = 0.0, 0.5 and 1.0.
Fig. 5.
(a-b) Real and imaginary parts of the complex permittivity (ε′ and ε″) and (c-d) permeability
(μ′ and μ″) spectra of Sr3Co1zNizZnFe24O41 powders–epoxy (10 wt%) composites with z = 0.0, 0.5 and 1.0.
Fig. 6.
RL map as functions of the sample thickness (d) and frequency (f) for Z-type hexaferrite
powders–epoxy (10 wt%) composites of (a) Sr3Co2Fe24O41, (b, c) Sr3Co2Fe24-xMnxO41 (x = 0.5, 1.0), (d, e) Sr3Co2-yZnyFe24O41 (y = 0.5, 1.0), (f-g) Sr3Co1-zNizZnFe24O41 (z = 0.5, 1.0).
Fig. 7.
RL spectra at the first and second minimum RL point of Z-type hexaferrite-epoxy (10
wt%) composites of (a-b) Sr3Co2Fe24-xMnxO41 (x=0.0, 0.5, 1.0), (c-d) Sr3Co2-yZnyFe24O41 (y=0.5, 1.0), (e-f) Sr3Co1-zNizZnFe24O41 (z=0.5, 1.0).
Table 1.
Calcination temperature (Tcal), sample composition with substitution content (x, y, z), hexaferrite phases, lattice parameter (a, c), cell volume (Vol.) of the hexaferrite samples.
|
Composition
|
Tcal (°C)
|
x, y, z |
Phase
|
a (Å)
|
c (Å)
|
Vol. (Å3)
|
|
Sr3Co2Fe24O41 (x = y = z = 0)
|
1230
|
-
|
Z
|
5.858
|
51.95
|
1543.9
|
|
Sr3Co2Fe24-xMnxO41 (y = z = 0)
|
1230
|
x = 0.5
|
Z
|
5.855
|
51.89
|
1540.6
|
|
1230
|
x = 1.0
|
Z+Y
|
5.861
|
51.88
|
1543.1
|
|
1210
|
x = 1.5
|
M+Y
|
-
|
-
|
-
|
|
1210
|
x = 2.0
|
M+Y
|
-
|
-
|
-
|
|
Sr3Co2-yZnyFe24O41 (x = z = 0)
|
1230
|
y = 0.5
|
Z+Y
|
5.862
|
51.95
|
1546.0
|
|
1220
|
y = 1.0
|
Z
|
5.863
|
51.98
|
1547.7
|
|
1220
|
y = 1.5
|
Z+U+Y
|
5.866
|
52.03
|
1550.4
|
|
1220
|
y = 2.0
|
Z+U+Y
|
5.870
|
52.00
|
1551.8
|
|
Sr3Co1.0-zNizZnFe24O41 (x = 0, y = 1.0)
|
1220
|
z = 0.5
|
Z+U+M
|
5.856
|
51.91
|
1541.4
|
|
1220
|
z = 1.0
|
Z+M+U
|
5.854
|
51.93
|
1541.2
|
Table 2.
Real (ε') and imaginary (ε") parts of the permittivities at 1 GHz, real (μ') part of the permeability at 100 MHz, maximum imaginary permeability value (μ"max), frequencies of the maximum μ" values (fμ"max) of hexaferrite powder–epoxy (10 wt%) composites.
|
Composition
|
x, y, z |
ε′ (1 GHz)
|
ε′′ (1 GHz)
|
μ′ (100 MHz)
|
μ"max (GHz)
|
fμ"max (GHz)
|
|
Sr3Co2Fe24O41 (x = y = z = 0)
|
0
|
8.02
|
0.27
|
3.28
|
2.31
|
3.05
|
|
Sr3Co2Fe24-xMnxO41 (y = z = 0)
|
x = 0.5
|
9.14
|
0.43
|
3.97
|
2.35
|
2.44
|
|
x = 1.0
|
9.56
|
0.45
|
3.65
|
1.98
|
2.67
|
|
Sr3Co2-yZnyFe24O41 (x = z = 0)
|
y = 0.5
|
7.81
|
0.29
|
3.69
|
2.38
|
2.61
|
|
y = 1.0
|
7.85
|
0.31
|
4.30
|
2.78
|
1.76
|
|
Sr3Co1.0-zNizZnFe24O41 (x = 0, y = 1.0)
|
y = 0.5
|
9.07
|
0.30
|
3.00
|
1.01 / 0.89
|
0.635 / 3.01
|
|
y = 1.0
|
8.82
|
0.27
|
3.03
|
0.923 / 0.88
|
0.868 / 3.82
|
Table 3.
First minimum RL (RLmin1), second minimum RL (RLmin2) values, and the respective frequencies (fRL1, fRL2) and thicknesses (dRL1, dRL2) at the first and second minimum RL point of hexaferrite powder–epoxy (10 wt%) composites.
|
Composition
|
x, y, z |
fFMR (GHz)
|
fRL1 (GHz)
|
RLmin1 (dB)
|
dRL1 (mm)
|
fRLmin2 (GHz)
|
RLmin2 (dB)
|
dRL2 (mm)
|
|
Sr3Co2Fe24O41 (x = y = z = 0)
|
0
|
3.05
|
3.05
|
-41.8
|
4.38
|
11.4
|
-57.6
|
2.87
|
|
Sr3Co2Fe24-xMnxO41 (y = z = 0)
|
x = 0.5
|
2.44
|
2.51
|
-52.4
|
4.96
|
10.4
|
-42.2
|
2.87
|
|
x = 1.0
|
2.67
|
2.69
|
-43.1
|
4.89
|
10.8
|
-55.1
|
2.60
|
|
Sr3Co2-yZnyFe24O41 (x = z = 0)
|
y = 0.5
|
2.61
|
2.78
|
-46.0
|
4.80
|
9.68
|
-51.2
|
3.32
|
|
y = 1.0
|
1.76
|
1.89
|
-46.9
|
6.42
|
7.98
|
-48.5
|
4.03
|
|
Sr3Co1.0-zNizZnFe24O41 (x = 0, y = 1.0)
|
z = 0.5
|
0.635/3.01
|
3.05
|
-46.5
|
6.10
|
7.35
|
-46.3
|
3.66
|
|
z = 1.0
|
0.868/3.82
|
3.77
|
-45.2
|
5.01
|
8.52
|
-46.9
|
3.27
|