김지호
(Jiho Kim)
1
김유성
(Yu-Sung Kim)
2
최진영
(Jin-Young Choi)
2
이연학
(Yeon-Hak Lee)
3
공영민
(Young-Min Kong)
1
김대일
(Daeil Kim)
1*
-
울산대학교 첨단소재공학부
(1School of Materials Science and Engineering, University of Ulsan, Ulsan 44776, Republic of Korea)
-
한국생산기술연구원 울산기술실용화 본부
(2Ulsan Technology Application Division, Korea Institute of Industrial Technology, Ulsan
44413, Republic of Korea)
-
고려아연(주)
(3Onsan Complex, Korea Zinc, Ulsan 44997, Republic of Korea)
Copyright © 2024 The Korean Institute of Metals and Materials
Key words
TiO2, Ag, Figure of merit, Electromagnetic interference shielding, Heat radiation
1. 서 론
종래의 표시소자와 태양전지 산업계에서는 금속 산화물 투명전극(Transparent conducting oxide; TCO)으로 광범위하게 활용된 주석(Sn)이
첨가된 산화인듐 (Sn doped In2O3; ITO) 박막[1]의 전기전도성(≤100 Ω/Sq.)과 가시광 투과율(≥80%)의 지속적인 제고를 위하여 아연(Zn) [2] 또는 니켈(Ni) [3]을 비롯한 금속첨가물 합성과 다양한 열처리공정(≤300°C) [4]을 개발해왔다. 최근에는 대면적 표시소자의 경량화, 유연화에 적합한 플라스틱 기판 활용을 위하여 종래의 박막 후면 열처리를 지양하고 급속 열처리기술인
전자빔 조사 처리[5]와 TCO/metal/TCO(OMO) [6] 구조를 이용한 Transparent Composite Electrode(TCE) [7] 박막이 대체 투명전극재로 보고되었다. 특히 Y. Kim [8]과 J, Park [9]은 Au와 Ni등의 Noble metal을 중간 금속층으로 채택한 TCE 박막을 증착하고 종래의 열처리공정 없이 단층의 ITO 박막특성 보다 우수한
전기적, 광학적 특성을 보고하였다. 이에 본 연구에서는 개선된 OMO 구조의 TCE 박막을 개발하기 위하여 ITO 투명전극 재료를 사용하지 않고 자기방오효과(Self-antisoiling
effect) [10]를 갖는 TiO2 박막과 반사방지효과(Anti-reflection effect) [11]로 가시광 투과도 향상 성능이 보고된 Ag 박막을 라디오 주파수(Radio frequency, RF)와 직류(Direct current, DC)
마그네트론 스퍼터링 공정으로 Polyimide(PI) 필름에 증착하고 층간 Ag 박막의 두께에 따른 TiO2/Ag/TiO2 (TAT) 박막의 결정성, 전기전도성, 투광성 변화를 분석하며 이상적인 Ag 두께를 갖는 TAT 적층구조를 고찰하고, 박막의 면상발열체 특성과 더불어
자율주행을 포함한 미래 모빌리티 탑승객의 전파환경 개선과 전자통신 기기의 활용 안정성 제고에 필요한 전자파 차폐성능 (Electromagnetic
interference shielding effectiveness, EMI-SE)을 검증하였다.
2. 실험 방법
본 실험에서는 TiO2 타겟과 Ag 타겟이 설치된 마그네트론 스퍼터를 이용하여 PI 필름(3×3 cm2, 65 μm Thick)에 TiO2 단층박막과 적층형태의 TAT 박막을 증착하였다. PI 기판은 이소프로판올(Isopropyl alcohol)과 증류수로 초음파 세정하고 질소가스로
건조하였으며, Table 1에 증착 조건을 나타 내었다.
증착 후, 표면단차측정기 (Dektak-1500, Varian)을 사용하여 박막 두께와 증착율을 측정하였고, 박막의 적층형태는 X-ray photoelectron
spectrscopy(XPS, NEXSA, Thermoscientific)로 분석하였다. 박막의 중간층 Ag (10, 15, 20 nm) 두께 변화에
따른 가시광 투과도(Visible transmittance, 380‒780 nm)는 UV.-Visible 분광분석기(Cary 100 cone, Varian)로
측정하였다. 박막의 결정성 변화는 X선 회절분석기(X-Ray Diffractometer, Cu-Kα 0.15406 nm, ULTIMA-4, Rigaku)로
측정하였으며, 박막의 결정립 크기는 회절피크의 반치폭(Full width at half maximum, FWHM)과 Squrrrer 관계식[12]으로 구하였다. 박막의 표면형상과 Root mean square 조도 (Roughnesss) 변화는 원자간력현미경(Scan area 10×10 μm2, XE-100, Park system)으로 측정하였고, 전기비저항(Resistivity)은 Van der Pauw 원리를 적용한 홀-효과 측정기(HMS-3000,
Ecopia)로 분석하였다. TAT 박막의 발열온도는 시편에 전압(10, 15 Volt.)을 인가하며 적외선 열화상카메라(FLIR-E86, Teledyneflir)를
이용하여 측정하였다. 전기적, 광학적 특성 개선 효과는 Figure of merit (FOM)[13] 수치를 비교하여 평가하였고 검출된 면저항을 이용하여 전자파 차폐효과를 분석하였다.
3. 결과 및 고찰
깊이방향 XPS 분석을 통한 상부와 하부의 TiO2 층과 Ag 중간층으로 이루어진 삼층구조 형태를 Fig 1에 나타내었다.
Fig 2는 TiO2 단층박막과 Ag 중간층의 두께가 다른 TAT 박막의 X선 회절분석 결과로서, Ag 박막의 두께에 따른 X선 회절피크의 변화가 측정되었다.
선행보고에서 Y. Park [14]은 ZnO/Au/ZnO 적층박막에서 Au 중간막 채택에 따른 ZnO 박막의 결정성 향상 효과는 약한 것으로 발표하였다. 본 연구에서도 Ag 중간층의
두께가 증가할수록 Ag(200) 결정립의 크기는 18.7 nm 에서 22.1 nm로 성장하였으나, TiO2 박막의 결정립의 크기는 상대적으로 감소하여 중간 Ag 박막이 TiO2 박막의 결정성을 상대적으로 감소시키는 것을 알 수 있었다. Table 2에 TiO2와 Ag 박막의 결정립 크기(D)를 나타내었다.
위 Squrrrer 식(1)에서 λ는 X선의 파장(0.1546 nm), B는 반치폭(FWHM), θ는 X선 회절각이다[12]. 투명전극용 박막의 표면거칠기는 전기전도도와 가시광의 흡수 및 산란에 영향을 미치는 중요한 요소이다. Fig 3에 원자간력현미 경을 이용한 박막의 표면형상과 RMS거칠기를 나타내었다.
TiO2 단층박막의 거칠기는 2.4 nm이며, 15 nm 두께의 Ag 중간층을 적용한 TAT 박막의 거칠기는 1.9 nm로서 감소하였고, 20 nm 두께의
Ag 중간층을 적용한 박막의 거칠기는 2.1 nm로 미약하게 증가하였다. 이러한 표면거칠기 변화는 선행보고된 ITO/Au/ITO[8] 박막의 특성과 유사하며, 층간금속의 성막화에 따른 표면평탄화 효과로 사료되며, Ag 두께 20 nm 조건에서 측정된 표면거칠기 증가는 Ag 박막의
결정성 제고에 의한 것으로 판단된다.
Table 3에 TiO2 박막과 TAT 박막의 면저항(Rsh), 가시광 투과도, FOM을 나타내었다.
위 수식(2) FOM [13]은 TCE 박막의 전기광학적 특성을 비교하는 기준으로서, TiO2 단층박막의 면저항은 전기적 부도체 특성으로 측정되지 않았고, TiO2 20/Ag/TiO2 20 nm 박막이 81.2%의 가시광 투과도와 낮은 면저항(14.02Ω/Sq.) 특성으로, 측정된 TCE 박막 중 에서 8.96×10-3Ω−1의 FOM을 보임으로써, 적정 두께의 Ag 중간막을 적용한 TAT 박막이 전기적, 광학적 특성 개선에 유효함을 알 수 있었다. TAT 박막의
두께에 따른 전자기파 차폐성능(EMI-SE) 변화를 Table 3에 나타내었다. 상용 제품의 전자기파 차폐성능을 판단할 수 있는 기준은 20 db 이상이다[15]. TAT 박막의 면저항을 EMI-SE 분석에 적용하는 관계식은 아래와 같다[16].
식(3)에서 Rsh는 면저항, Zo는 자유공간에서의 파동임피던스(Wave impedance; 377 Ω)이다. Table 3과 같이 EMI-SE 값은 중간 Ag 박막의 두께에 비례하며 증가함을 알 수 있었고, TAT 박막의 전자파 차폐성능은 20 db부터 최대 45 db까지
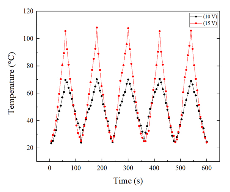
증가함을 보였다. 상대적으로 우수한 전기광학적 특성(FOM)을 갖는 TiO2 20/Ag 15/TiO2 20 nm 박막의 면상발열체의 자외선 열화상(온도)을 Fig 4(a)에 나타내었다.
박막의 온도는 인가전압(Vb)에 비례하며 증가하여 10Vb와 15Vb 조건에서 70.5°C와 108.1°C가 측정되었다. Fig 4(b)은 10Vb와 15Vb 조건에서 측정한 박막의 발열재현성 분석 결과로서 일정기간 안정된 재현성이 확보되었다.
이상의 결과로서, TAT 박막의 가시광 투과율은 층간 Ag 박막의 두께조절로 제어할 수 있으며 TiO2 25/Ag 15/TiO2 25 nm 박막의 경우에는 기존의 ITO 단층박막의 전기전도성 보다 우수하고 20 db 이상의 EMI 차폐성능을 갖기 때문에 다양한 유연 표시소자와
면상발열체 뿐 만 아니라 자율주행차량의 창호재로서의 적용도 가능한 것으로 사료된다.
4. 결 론
본 연구에서는 PI 기판에 TiO2 50 nm 박막과 Ag 중간층 두께가 다른 TiO2/Ag/TiO2 (TAT)박막을 RF와 DC 마그네트론 스퍼터로 증착하고, 박막의 전기적, 광학적, 열적 특성 변화를 비교하며 고찰하였다. TiO2 20/Ag 10/TiO2 20 nm 박막에서 Ag 중간층의 단일 성막화가 XRD 회절피크로 측정되었고, 중간층의 두께에 비례하여 Ag 중간층의 결정립 크기가 증가됨을 알
수 있었다. 15 nm 두께의 Ag 중간층을 채택한 TAT 박막에서 상대적으로 평탄한 표면조도와 낮은 전기비저항, 높은 가시광 투과율을 확보하였으며,
20 db 이상의 EMI 차폐성능이 검증되었다. 더불어 TAT 박막의 발열특성 분석에서 안정된 재현성 또한 검증되어 발열기능도 우수함을 알 수 있었다.
Acknowledgements
This work was supported by the 2024 Research Fund of University of Ulsan
REFERENCES
Kim D., Renew. energy,36, 525 (2011)

lei P., Chen X., Huo Z., Vacuum,195, 110645 (2022)

Taha H., Henry D. J., Jiang Z., J. Alloy. Compd,721, 333 (2017)

Nisha M., Anusha S., Antony A., Manoj R., Jayaraj M. K., Appl. Surf. Sci,252, 1430
(2005)

Kima Y. S., Heo S. B., Kim D., Appl. Surf. Sci,258, 3903 (2012)

Sibin K. P., Srinivas G., Shashikala H. D., Dey A., Sridhara N., Sharma A. K., Barshilia
H. C., Sol. Energy Mater. Sol. Cells,172, 277 (2017)

Meshram N., Loka C., Park K. R., Lee K., Mater. Lett,145, 120 (2015)

Kim Y. S., Kim D., Appl. Surf. Sci,254, 1524 (2007)

Park J. H., Chae J. H., Kim D., J. Alloy. Compd,478, 330 (2009)

Chundi N., Ramasamy E., Solar Energy,258, 194 (2023)

Lee S. Y., Yoon Y. T., Cho E. S., Kwon S. J., J. Korean Inst. Electr. Electron. Mater.
Eng,30, 162 (2017)

Cullity B. D., Elements of X-ray diffraction,Addison-Wesley Pub (1978)

Haacke G., J. Appl. Phys,47, 4086 (1976)

Park Y. J., Choe S., Kim Y., Cha B., Gong Y., Kim D., J. Korean Inst. Surf. Eng,53,
104 (2020)

Xie F., Jia F., Zhuo L., Lu Z., Si L., Huang J., Zhang M., Maa Q., Nanoscale,6, 23382
(2019)

Lee J., Hong J., Patel M., Kim J., Trans. Korean. Inst. Elect. Eng,71, 512 (2022)

Kim H., Choi D., Korean J. Met. Mater,61, 480 (2023)

Choi D., Korean J. Met. Mater,60, 511 (2022)

Figures and Tables
Fig. 1.
XPS analysis of TiO2 25/Ag 15/TiO2 25 nm tri-layer films.
Fig. 2.
XRD diffraction pattern of TiO2 single layer and TAT tri-layer films. (a) TiO2 50 nm, (b) TiO2 25/Ag 10/TiO2 25 nm, (c) TiO2 25/Ag 15/TiO2 25 nm, (d) TiO2 25/Ag 20/TiO2 25 nm.
Fig. 3.
Surface AFM images and RMS roughness of TiO2 single layer and TAT tri-layer films. (a) TiO2 50 nm, (b) TiO2 25/Ag 10/TiO2 25 nm, (c) TiO2 25/Ag 15/TiO2 25 nm, (d) TiO2 25/Ag 20/TiO2 25 nm.
Fig. 4(a).
Heat radiation images of TiO2 25/Ag 15/TiO2 25 nm tri-layer films. (a) Bias voltage; 10 Vb, (b) Bias voltage; 15 Vb.
Fig. 4(b).
Heat repetition test at the bias voltage of 10 and 15 Vb conditions.
Table 1.
Experimental conditions of TiO2 and TAT tri-layer films.
|
Parameters
|
Condition
|
|
Base pressure [Torr]
|
1.0 × 10-6 |
|
Deposition pressure [Torr]
|
1.0 × 10-3 |
|
Target size/purity [Inch/%]
|
3 / 99.99
|
|
TiO2 |
RF Power density [W/cm2]
|
4.0
|
|
Ag
|
DC Power density [W/cm²]
|
2.0
|
|
Ar gas flow rate [SCCM]
|
10
|
|
Deposition rate [nm/min]
|
TiO2 ; 1, Ag ; 45
|
|
Film Thickness [nm]
|
TiO2 |
50
|
|
TAT
|
20 / 10, 15, 20 / 20
|
|
Visible transmittance of PI film [%]
|
86.7
|
Table 2.
The grain size of the TiO2 and Ag thin films.
|
Crystal plane
|
2ϴ (Deg.)
|
FWHM (Deg.)
|
Grain size (nm)
|
|
TiO2 (004)
|
a
|
37.37
|
0.194
|
43.26
|
|
b
|
37.36
|
0.217
|
38.67
|
|
c
|
37.44
|
0.222
|
37.81
|
|
d
|
37.39
|
0.239
|
35.11
|
|
TiO2 (204)
|
a
|
63.16
|
0.582
|
16.03
|
|
b
|
63.05
|
0.641
|
14.55
|
|
c
|
63.26
|
0.648
|
14.40
|
|
d
|
63.21
|
0.658
|
14.18
|
|
Ag (200)
|
a
|
-
|
-
|
-
|
|
b
|
43.30
|
0.456
|
18.75
|
|
c
|
43.46
|
0.433
|
19.76
|
|
d
|
43.39
|
0.388
|
22.06
|
Table 3.
Comparison of figure of merit and EMI-SE of TiO2 and TAT tri-layer films.
|
Thickness (nm)
|
RSh [Ω/Sq.]
|
Transmittance [%]
|
FOM [Ω--1]
|
EMI-SE [db]
|
|
TiO2 (50)
|
—
|
92.73
|
—-
|
—
|
|
TAT (20/10/20)
|
56.80
|
81.99
|
2.42×10-3 |
12.7
|
|
TAT (20/15/20)
|
14.02
|
81.26
|
8.96×10-3 |
23.2
|
|
TAT (20/20/20)
|
10.68
|
78.18
|
7.98×10-3 |
45.0
|