강지원
(Ji-Won Kang)
1a
황성미
(Seong-Mee Hwang)
1a
김세윤
(Se Yun Kim)
2a
이창우
(Changwoo Lee)
1
서원선
(Won-Seon Seo)
3
김상일
(Sang-il Kim)
1*
김현식
(Hyun-Sik Kim)
1*
-
서울시립대학교 신소재공학과
(1Department of Materials Science and Engineering, University of Seoul, Seoul 02504,
Republic of Korea)
-
경상국립대학교 나노·신소재공학부
(2School of Materials Science and Engineering, Gyeongsang National University, Jinju
52828, Republic of Korea)
-
연세대학교 신소재공학과
(3Department of Materials Science and Engineering, Yonsei University, Seoul 03722, Republic of Korea)
Copyright © 2024 The Korean Institute of Metals and Materials
Key words
thermoelectric, B-factor, weighted mobility, single parabolic band model, Callaway-von Baeyer model
1. INTRODUCTION
With the escalating threat of global warming, characterized by rising sea levels and
biodiversity loss, a significant reduction in CO2 emissions is necessary. In response, research efforts in exploring environmentally
sustainable energy alternatives, including biomass, solar, and wind power have intensified
[1-5]. Concurrently, capturing waste heat from industrial processes has emerged as a viable
strategy to address energy demands [6]. In this context, thermoelectric (TE) technology holds immense promise. TE devices
offer a compelling solution for waste heat recovery by directly converting thermal
energy into electricity [7,8]. TE materials possess the unique ability to directly convert temperature gradients
into electrical power and vice versa. This unlocks exciting possibilities for capturing
waste heat and seamlessly transforming it into usable electrical energy. Notably,
TE technology operates without requiring moving parts or fluids, making it not only
efficient but also environmentally friendly. Strategic placement of TE materials near
heat sources, such as industrial furnaces or vehicle exhausts, allows for effective
electricity generation from otherwise wasted thermal energy. However, the efficacy
of TE devices is intrinsically linked to the properties of the constituent materials,
highlighting the critical need for continuous advancements in TE material performance
[9]. The dimensionless figure of merit, zT, is a crucial parameter to quantify the TE performance of a material and is defined
as given in Equation (1) [10-12].
σ, S, κe, and κl are electrical conductivity, Seebeck coefficient, electronic thermal conductivity,
and lattice thermal conductivity, respectively. Optimizing zT necessitates maximizing the power factor (S2σ) while minimizing the thermal conductivity (κ) [13]. However, this pursuit is hindered by the inherent interdependence between S, σ, and κ [13]. Efforts to decouple these parameters and achieve a high zT have involved strategies such as band engineering and nanostructuring [14-16].
Bi–Sb–Te alloys provide the highest thermoelectric performance from room temperature
to 300 °C, with p-type Bi0.5Sb1.5Te3 being particularly notable due to its favorable valence band convergence, which significantly
enhances its power factor [17,18]. This distinctive characteristic has fueled extensive research, particularly in
doping studies, to further explore and improve the capabilities of this material.
Several studies have explored the impact of dopants on the thermoelectric properties
of Bi0.5Sb1.5Te3 alloys. Yoo et al. demonstrated that Ag doping effectively tunes the Fermi level, shifting it deeper
into the valence band with increasing Ag content [19]. This shift resulted in enhanced bipolar conduction at high temperatures and a significant
increase in peak zT (around 0.9) at a shifted peak temperature of 523 K compared to 323 K for the undoped
material.
Jin et al. investigated the effects of 6 % ZnTe doping in single-crystal Bi0.5Sb1.5Te3 fabricated using the Bridgman method with a hexagonal structure [20]. Their findings revealed degenerate semiconductor behavior, characterized by a decrease
in electrical conductivity alongside an increase in the Seebeck coefficient. This
interplay of properties led to an optimal zT of 1.05 at 450 K.
Zhang et al. reported that Mn doping in Bi0.5Sb1.5Te3 elevates the carrier concentration and power factor [21]. Furthermore, Mn dopants suppress the onset of the bipolar effect, leading to reductions
in both lattice and bipolar thermal conductivities.
A recent work by Wang et al. focused on Pb doping in p-type Bi0.5Sb1.5Te3 [22]. Due to its low thermal activation energy for holes, Pb doping was found to be beneficial
for enhancing carrier concentration. This process not only increases hole concentration
but also expands the bandgap and effectively mitigates bipolar effects. Consequently,
Pb doping significantly boosted the zT value of Bi0.5Sb1.5Te3 alloys, with a peak zT of 1.17 achieved at a Pb concentration of 0.97 at% at 423 K.
Building on the findings of Wang et al., the present study employs the Single Parabolic Band (SPB) model to investigate
the influence of Pb doping on the electron transport characteristics of Pb-doped Bi0.5Sb1.5Te3 alloys. We conducted a detailed examination of band parameter alterations corresponding
to various Pb doping levels. This analysis involved meticulous calculations of several
key parameters, including md*, μ0, μW, and the B-factor. Our results revealed a significant increase in md* with increasing Pb doping, culminating in a peak at 0.97 at% Pb. This trend was mirrored
in the behaviors of μW, the power factor, and B-factor, all reaching their maxima at 0.97 at% Pb. Through precise manipulation of
nH, we were able to achieve a remarkable enhancement in the zT value of the 0.97 at% Pb sample, from 0.882 to 1.74.
2. EXPERIMENTAL
2.1 Materials and Methods
We derived experimental values of the Seebeck coefficient (S) and Hall carrier concentration (nH) from the research conducted by Wang et al., with S recorded at 323 K and nH at room temperature.
Utilizing Equation (2) [23], where kB, e, η and Fn(η) correspond to the Boltzmann constant, electron charge, reduced chemical potential,
and the Fermi integral of order n, respectively, with Fn(η) defined in Equation (3).
ε, T and h denote the reduced energy of carrier, temperature in Kelven, and Planck's constant,
respectively. By manipulating md* in Equation (4) [24], we generated a Seebeck Pisarenko plot. Furthermore, we employed Equation (5) [25] to compute μH, establishing a relationship between μH and η as well as the non-degenerate mobility (μ0). This approach allowed us to align the nH-dependent μH lines with the experimental μH through precise adjustment of μ0.
Ξ is characterized in Equation (6) [24]. Here, md* and μ0 were estimated via Equations (4-5). Nv represents the number of valley degeneracy and was calculated using a value of six
in the valence band of Bi0.5Sb1.5Te3 reported by Lee et al. [24]. Cl represents a longitudinal elastic constant and was calculated using a value of 54.7
GPa in Bi0.5Sb1.5Te3 reported by Kim et al. [26].
The electronic thermal conductivity can be calculated using Equation (7), where L denotes the Lorenz number and σ represents the electrical conductivity.
The weighted mobility (μW) can be calculated using Equation (8), as given in Snyder et al. [27].
The B-factor can be derived from Equation (9), where κl denotes the lattice thermal conductivity and μW refers to the value determined in Equation (8) [27].
The alloy phase scattering parameter (ΓCvB) is defined as the ratio of κl to that of the pure phase (κlp). This relationship can be mathematically expressed using the disorder scaling parameter
(u), as shown in Equation (10). Consequently, ΓCvB can be estimated from u, as presented in Equation (11) [28,29,30].
In Equation (11), θD denotes the Debye temperature, V represents the average atomic volume of the alloy, h signifies Planck's constant, and v stands for the average phonon velocity.
3. RESULTS AND DISCUSSION
3.1. Calculation of Density-of-States Effective Mass, md*
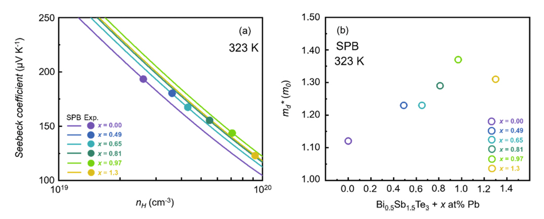
The dependence of the Seebeck coefficient (S) on the Hall carrier concentration (nH) is investigated in Bi0.5Sb1.5Te3 + x at% Pb (x = 0.00, 0.49, 0.65, 0.81, 0.97, and 1.3) at 323 K (Fig 1(a)). Experimental S values are represented by symbols, while the continuous line shows the calculated
nH dependence of S using the Single Parabolic Band (SPB) model. The close agreement between the symbols
and the line indicates a good fit of the model.
For pristine Bi0.5Sb1.5Te3 (x = 0.00), nH is 2.6 × 1019 cm-3, corresponding to an S of 193.41 μV K-1. With 0.49 at% Pb doping, nH increases to 3.6 × 1019 cm-3, while S decreases to 180.30 μV K-1. This trend demonstrates that increasing Pb doping leads to a rise in nH and a concurrent decrease in S. Further Pb addition systematically reduces S. For example, Bi0.5Sb1.5Te3 with 1.3 at% Pb has an S of 122.92 μV K-1, a 36.45% decrease from the undoped sample. Conversely, experimental nH values show a pronounced increase with Pb content, reaching 9.2 × 1019 cm-3 for the 1.3 at% Pb composition, a 253.85% increase from pure Bi0.5Sb1.5Te3.
The calculated density-of-states effective mass (md*) for Bi0.5Sb1.5Te3 + x at% Pb (x = 0.00 to 1.3) at 323 K (Fig 1(b)) increases compared to the pristine compound (x = 0.00) with Pb introduction. md* exhibits a monotonic rise from Bi0.5Sb1.5Te3 to Bi0.5Sb1.5Te + 0.97 at% Pb, reaching a maximum value of 1.37 me (electron rest mass), a 22.25% increase. Interestingly, Bi0.5Sb1.5Te3 + 0.49 at% Pb and Bi0.5Sb1.5Te3 + 0.65 at% Pb share the same md* (1.23 me), deviating from the expected trend. Furthermore, md* unexpectedly decreases from 1.37 me to 1.31 me for Bi0.5Sb1.5Te3 + 1.3 at% Pb compared to Bi0.5Sb1.5Te3 + 0.97 at% Pb. These observations suggest that md* does not strictly correlate with increasing Pb content. Instead, it may reach a plateau
or even decrease beyond certain doping levels. This behavior highlights the influence
of Pb doping on material properties, particularly the significant effect on effective
mass at varying dopant concentrations.
3.2. Calculation of Non-Degenerate Mobility, μ0
Figure 2(a) presents the variation of Hall mobility (μH) with nH for Bi0.5Sb1.5Te3 + x at% Pb (x = 0.00 to 1.3) at 323 K. Symbols represent experimental μH while lines depict values calculated from the SPB model, presenting good agreement.
The highest μH (169.85 cm2 V-1 s-1) is observed for Bi0.5Sb1.5Te3 + 0.65 at% Pb (cyan symbol). μH exhibits a decrease from the pristine state to Bi0.5Sb1.5Te3 + 0.49 at% Pb, followed by an increase to Bi0.5Sb1.5Te3 + 0.65 at% Pb. A sharp decline in μH is observed with increasing Pb content from 0.65 to 0.81 at% (169.85 cm2 V-1 s-1 to 146.23 cm2 V-1 s-1). Further increase in Pb content (0.81 to 1.3 at%) leads to a more gradual decrease
(146.23 cm2 V-1 s-1 to 132.61 cm2 V-1 s-1).
Figure 2(b) presents the non-degenerate mobility (μ0) for various Bi0.5Sb1.5Te3 + x at% Pb (x = 0.00, 0.49, 0.65, 0.81, 0.97, and 1.3) at 323 K. The pristine Bi0.5Sb1.5Te3 (x = 0.00) exhibits a μ0 of 230.5 cm2 V-1 s-1. Interestingly, μ0 remains unchanged with 0.49 at% Pb doping. However, μ0 increases to 234.5 cm2 V-1 s-1 at 0.65 at% Pb, indicating a complex relationship between doping and mobility. This
trend becomes non-linear with further doping. At 0.81 at% Pb, μ0 decreases to 208.0 cm2 V-1 s-1. This seesaw behavior reflects the intricate interplay between Pb concentration and
carrier transport. Interestingly, μ0 plateaus at around 208.0 cm2 V-1 s-1 for higher Pb doping levels (0.97 and 1.3 at%), suggesting a saturation effect. The
highest μ0 (234.5 cm2 V-1 s-1) is achieved at 0.65 at% Pb, while the lowest (208.0 cm2 V-1 s-1) is found at 0.81 at% Pb. Despite these variations, the overall μ0 values remain relatively close across all compositions. This emphasizes the importance
of precise Pb doping control to achieve desired mobility characteristics in Bi0.5Sb1.5Te3.
Table 1 presents the deformation potential (Ξ) calculated using the SPB model at 323 K for Bi0.5Sb1.5Te3 thermoelectric alloys with varying Pb doping concentrations (as determined by Equation (6)). Ξ signifies the interaction strength between charge carriers and phonons [31]. The pristine Bi0.5Sb1.5Te3 (0.00 at% Pb) exhibits the highest Ξ of 16.06 eV. Introducing 0.49 at% Pb doping reduces Ξ to 14.30 eV, a decrease of 10.7%, marking the largest change observed. As Pb doping
increases further, Ξ shows a steady decline. Compositions with 0.65, 0.81, and 0.97 at% Pb exhibit similar
Ξ values in a range of 14.17 - 14.18 eV. A further increase in Pb content to 1.3 at%
leads to a slight decrease in Ξ to 13.91 eV. A higher Ξ value indicates a stronger interaction between charge carriers and phonons, consequently
hindering charge mobility. The observed decrease in Ξ with increasing Pb doping (up to 0.97 at%) suggests that Pb doping suppresses this
interaction in Bi0.5Sb1.5Te3, potentially leading to enhanced charge mobility.
3.3. Calculation of Weighted Mobility, μW
Figure 3 presents the weighted mobility (μW) calculated using the SPB model (symbols) and the experimental power factor (bars)
for Bi0.5Sb1.5Te3 + x at% Pb (x = 0.00, 0.49, 0.65, 0.81, 0.97, and 1.3) at 323 K. The data reveal a positive correlation
between μW and the power factor, consistent with the predictions of Equation (8).
For the pristine Bi0.5Sb1.5Te3 (x = 0.00), μW is 273.47 cm2 V-1 s-1 and the power factor is 27.13 μW cm-1 K-2. Doping with 0.49 at% Pb leads to a modest increase in both μW (283.06 cm2 V-1 s-1) and the power factor (28.87 μW cm-1 K-2), suggesting improved thermoelectric performance. A further increase in Pb content
to 0.65 at% results in a more significant rise in μW (320.30 cm2 V-1 s-1) and the power factor (32.77 μW cm-1 K-2). However, this trend is not monotonic: increasing the Pb content to 0.81 at% reduces
μW (304.75 cm2 V-1 s-1) and the power factor (31.09 μW cm-1 K-2), highlighting a non-linear relationship between Pb doping and thermoelectric properties.
The peak performance is observed at 0.97 at% Pb doping. Here, μW reaches a maximum of 333.54 cm2 V-1 s-1 and the power factor attains a value of 33.28 μW cm-1 K-2. This composition exhibits a 21.97% increase in μW and a 22.66% increase in the power factor compared to the undoped sample, indicating
it has the optimal doping level for thermoelectric efficiency at 323 K. Increasing
the Pb concentration further to 1.3 at% leads to decreases in both μW (311.87 cm2 V-1 s-1) and the power factor (29.49 μW cm-1 K-2). This underscores the importance of precise doping control. Among the investigated
compositions, 0.97 at% Pb doping maximizes both μW and the power factor, establishing it as the optimal concentration for thermoelectric
performance [32,33].
3.4. Calculation of B-factor
The B-factor, a crucial parameter in Bi0.5Sb1.5Te3, is 0.39 for the pristine material. Introducing 0.49 at% Pb doping increases the
B-factor slightly to 0.42. A more pronounced effect is observed at 0.65 at% Pb, where
the B-factor significantly rises to 0.56. This suggests a substantial alteration in material
properties due to Pb inclusion. Interestingly, the B-factor plateaus at 0.81 at% Pb, with minimal change from the previous value. This
implies a threshold beyond which additional Pb has minimal impact. The B-factor then exhibits a significant increase to 0.87 at 0.97 at% Pb doping, representing
the largest change observed. This highlights a highly responsive behavior at this
concentration. However, a slight decrease to 0.74 is observed at 1.3 at% Pb. Analysis
reveals that the B-factor peaks at 0.97 at% Pb, a 121.46% increase compared to the pristine state. This
peak presents the most pronounced response to Pb doping within the studied range,
providing insights into the optimal Pb concentration for tuning material properties.
Figure 4(b) presents the lattice thermal conductivity (κl) of Bi0.5Sb1.5Te3 + x at% Pb (x = 0.00 to 1.3) at 323 K. Equation (7) was used to determine the electronic thermal conductivity (κe), which was then subtracted from the total thermal conductivity to obtain κl. The pristine Bi0.5Sb1.5Te3 exhibits a κl of 0.56 W m-1 K-1. Introducing 0.49 at% Pb doping leads to a minor reduction in κl to 0.54 W m-1 K-1. As the doping concentration increases to 0.65 at%, κl further decreases to 0.46 W m-1 K-1, indicating a trend of decreasing κl with increasing Pb doping. A small decrease to 0.43 W m-1 K-1 is observed at 0.81 at% Pb, suggesting a deceleration of the reduction rate. A significant
decrease in κl to 0.31 W m-1 K-1 occurs at 0.97 at% Pb, marking a critical point where Pb addition significantly suppresses
lattice thermal transport. However, increasing Pb doping to 1.3 at% deviates from
this trend, resulting in a slight rise in κl to 0.34 W m-1 K-1. Analysis reveals that the most pronounced reduction in κl (44.93% compared to undoped Bi0.5Sb1.5Te3) occurs at 0.97 at% Pb doping, where κl reaches its minimum value. This highlights the optimal Pb concentration for minimizing
κl, which is crucial for enhancing thermoelectric performance by reducing phonon heat
conduction. This result is attributed to the formation of point defects, caused by
the difference in ionic radius and mass between Pb and Bi/Sb [22]. This difference leads to lattice strain and the creation of energetically favorable
defect sites.
Figure 4(c) presents the relationship between the figure-of-merit (zT) and the Hall carrier concentration (nH) for Bi0.5Sb1.5Te3 + x at% Pb compositions (x = 0.00 to 1.3) at 323 K. The symbols represent experimentally determined zT values, while the lines depict theoretical zT values from the SPB model calculations, demonstrating good agreement. The pristine
Bi0.5Sb1.5Te3 exhibits a zT of 1.01 with an nH of 1.35 × 1019 cm-3. Introducing 0.49 at% Pb leads to a slight increase in zT to 1.06 at an nH of 1.55 × 1019 cm-3. A notable rise in zT to 1.30 is observed at 0.65 at% Pb doping (nH = 1.36 × 1019cm-3). Increasing Pb content to 0.81 at% maintains zT at 1.31 (nH = 1.46 × 1019 cm-3). A significant jump in zT to 1.74 (nH = 1.27 × 1019 cm-3) occurs at 0.97 at% Pb doping, representing the peak performance. However, increasing
the Pb content further to 1.3 at% reduces zT to 1.56 (nH = 1.30 × 1019 cm-3). Therefore, the optimal zT of 1.74 is achieved at 0.97 at% Pb doping, highlighting the critical role of precise
Pb doping for maximizing thermoelectric efficiency in Bi0.5Sb1.5Te3 alloys at this temperature. To attain the anticipated optimal zT of 1.74, adjusting the carrier concentration by incorporating excess Te emerges as
a promising approach. Kim et al. effectively mitigated hole formation arising from SbTe anti-site defects within
Bi0.5Sb1.5Te3, culminating in the realization of the theoretically predicted maximum zT of 1.05 [34]. Notwithstanding variations in experimental methodologies, excess Te incorporation
is as a viable strategy that minimally impacts band parameters.
3.5. Calculation of Scattering Parameter from Callaway & von Baeyer (CvB) Model
Figure 5(a) presents the ratio of the measured κl for Bi0.5Sb1.5Te3 + x at% Pb (x = 0.00, 0.49, 0.65, 0.81, 0.97, and 1.3) to the κl of the pristine Bi0.5Sb1.5Te3 samples (κlP). The sample with x = 0.00 serves as the reference (κlP) and has a κl/κlP ratio of unity, corresponding to undoped Bi0.5Sb1.5Te3. The κl/κlP ratio directly reflects the influence of point defects on phonon scattering, evident
in its decrease with increasing x up to 0.97. At x = 0.49, 0.65, and 0.81, the ratio exhibits a relatively gradual decrease to 0.96,
0.82, and 0.78, respectively. However, a sharp drop to 0.55 occurs at x = 0.97, which is approximately 45 % lower than the pristine phase. This trend does
not persist, as the ratio increases again at x = 1.3.
Figure 5(b) shows the scattering parameters (Γ) for Bi0.5Sb1.5Te3 + x at% Pb (x = 0.00, 0.49, 0.65, 0.81, 0.97, and 1.3). These parameters were calculated using
Equations (10-11) and the κl/κlP ratio presented in Fig 5(a). In contrast to the trend of the κl/κlP ratio, Γ exhibits a sharp increase to 0.221 at x = 0.97 and decreases to 0.163 again at x = 1.3. In agreement with the observed decrease in κl, the influence of point defects appears to be maximized at a specific composition,
x = 0.97.
4. CONCLUSIONS
Our comprehensive analysis of Pb-doped p-type Bi0.5Sb1.5Te3 alloys using the Single Parabolic Band model reveals the crucial impact of dopant
concentration on thermoelectric performance. The study identifies 0.97 at% as the
optimal Pb doping level for maximizing thermoelectric efficiency at 323 K. This composition
yields the highest weighted mobility, power factor, and B-factor while minimizing lattice thermal conductivity. The observed 44.93 % reduction
in lattice thermal conductivity aligns well with predictions from the Callaway-von
Baeyer model, highlighting the significant influence of point defect scattering. These
factors culminate in a theoretical peak zT of 1.74 for the 0.97 at% Pb-doped sample, marking a substantial improvement over
the undoped material. Our findings underscore the importance of precise doping control
in optimizing the thermoelectric properties of Bi0.5Sb1.5Te3 alloys and provide valuable insights for the development of high-performance thermoelectric
materials for room-temperature applications. Future work should focus on further exploring
the interplay between doping concentration, microstructure, and thermoelectric performance
to advance the development of these promising materials.
Acknowledgements
This work was supported by Basic Science Research Program through the National Research
Foundation of Korea (NRF) funded by the Ministry of Education (NRF-2019R1A6A1A11055660).
REFERENCES
Gasser T., Guivarch C., Tachiiri K., Jones C.D., Ciais P., Nat. Commun,6, 7958 (2015)

Ragauskas A.J., Williams C.K., Davison B.H., Britovsek G., Cairney J., Eckert C.A.,
Frederick W.J., Hallett J.P., Leak D.J., Liotta C.L., Mielenz J.R., Murphy R., Templer
R., Tschaplinski T., Science,311, 484 (2006)

Vassiliades C., Agathokleous R., Barone G., Forzano C., Giuzio G.F., Palombo A., Buonomano
A., Kalogirou S., Renewable and Sustainable Energy Reviews,164, 112482 (2022)

Kiunke T., Gemignani N., Malheiro P., Brudermann T., Energy Policy,165, 112962 (2022)

Moriarty P., Honnery D., Renewable and Sustainable Energy Reviews,16, 244 (2012)

Bu Z., Zhang X., Hu Y., Chen Z., Lin S., Li W., Xiao C., Pei Y., Nat. Commun,13, 237
(2022)

Zhao K., Liu C., Shao T., Fan Y., Chen R., Pan X., Materials Today Sustainability,23,
100476 (2022)

Ando Junior O.H., Maran A.L.O., Henao N.C., Renewable and Sustainable Energy Reviews,91,
376 (2018)

Sootsman J.R., Chung D.Y., Kanatzidis M.G., Angew. Chem. Int. Ed,48, 8616 (2009)

Snyder G.J., Toberer E.S., Nat. Mater,7, 105 (2008)

Mori R., Mayuzumi Y., Yamaguchi M., Kobayashi A., Seki Y., Takashiri M., J. Alloys.
Compd,818, 152901 (2020)

Hu L., Fang Y.W., Qin F., Cao X., Zhao X., Luo Y., Repaka D.V.M., Luo W., Suwardi
A., Soldi T., Aydemir U., Huang Y., Liu Z., Hippalgaonkar K., Snyder G.J., Xu J.,
Yan Q., Nat. Commun,12, 4793 (2021)

Nguyen P K, Lee K H, Moon J, Kim S I, Ahn K A, Chen L H, Lee S M, Chen R K, Jin S,
Berkowitz A E, Nanotechnology,23, 41 (2012)

Mori T., Hara T., Scr. Mater,111, 44 (2016)

Wang Z., Vemishetti A., Ejembi J.I., Wei G., Zhang B., Wang L., Zhang Y., Guo S.,
Luo J., Chepko C., Dai Q., Tang J.K., Zhao G.L., Mater. Sci. Eng. B,205, 36 (2016)

Lin C.C., Ginting D., Lydia R., Lee M.H., Rhyee J.S., J. Alloys Compd,671, 538 (2016)

Liu S., Lan M., Li G., Piao Y., Ahmoum H., Wang Q., Energy,225, 120320 (2021)

Kim H.-S., Heinz N.A., Gibbs Z.M., Tang Y., Kang S.D., Snyder G.J., Materials Today,20,
8 (2017)

Seo S., Lee K., Jeong Y., Oh M.W., Yoo B., J. Phys. Chem. C,119, 18038 (2015)

Qin C., Jin M., Zhang R., Zhou L., Bai X., Yang M., Li W., Mater. Lett,292, 129619
(2021)

Qin H., Liu Y., Zhang Z., Wang Y., Cao J., Cai W., Zhang Q., Sui J., Materials Today
Physics,6, 31 (2018)

Wei Z., Wang C., Zhang J., Yang J., Li Z., Zhang Q., Luo P., Zhang W., Liu E., Luo
J., ACS Appl. Mater. Interfaces,12, 20653 (2020)

Chen Cheng-Lung, Wang Heng, Chen Yang-Yuan, Day Tristan, Snyder G. Jeffrey, J. Mater.
Chem. A,2, 11171 (2014)

Lee K.H., Kim S.-i., Kim H.-S., Kim S.W., ACS Appl. Energy Mater,3, 2214 (2020)

Naithani H., Dasgupta T., ACS Appl. Energy Mater,3, 2200 (2020)

Kim H.-S., Kim S.-i., Lee K.H., Kim S.W., Snyder G. Jeffrey, Phys. Status Solidi B,254,
5 (2016)

Snyder G.J., Snyder A.H., Wood M., Gurunathan R., Snyder B.H., Niu C., Adv. Mater,14,
2001537 (2020)

Zhou Y., Meng F., He J., Benton A., Hu L., Liu F., Li J., Zhang C., Ao W., Xie H.,
ACS Appl. Mater. Interfaces,12, 31619 (2020)

Callaway J., Baeyer H.C. von, Phys. Rev,120, 1149 (1960)

Yang J., Meisner G. P., Chen L., Appl. Phys. Lett,85, 1140 (2004)

Wang H., Pei Y., LaLonde A. D., Snyder G. J., Proc. Natl. Acad. Sci,109, 9705 (2012)

Kim S.-i., Lim J.-C., Yang H., Kim H.-S., Korean J. Met. Mater,59, 54 (2021)

Kim S.-i., Kim H.-S., Korean J. Met. Mater,59, 127 (2021)

Kim H.-S., Heinz N.A., Gibbs Z.M., Tang Y., Kang S.D., Snyder G. J., Mater. Today,20,
8 (2017)

Figures and Table
Fig. 1.
(a) Hall carrier concentration (nH) - dependent Seebeck coefficient (S) of Bi0.5Sb1.5Te3 + x at% Pb (x = 0.00, 0.49, 0.65, 0.81, 0.97 and 1.3) at 323 K. The solid line represents the calculated
value using the SPB model, and the symbols represent the experimentally measured values
from Wang et al. (b) Calculated density-of-states effective mass (md*) of Bi0.5Sb1.5Te3 + x at% Pb (x = 0.00, 0.49, 0.65, 0.81, 0.97 and 1.3) at 323 K.
Fig. 2.
(a) Hall carrier concentration (nH) - dependent Hall mobility (μH) of Bi0.5Sb1.5Te3 + x at% Pb (x = 0.00, 0.49, 0.65, 0.81, 0.97 and 1.3) at 323 K. The solid line represents the value
calculated using the SPB model, and the symbols represent the experimentally measured
values from Wang et al. (b) Non-degenerate mobility (μ0) of Bi0.5Sb1.5Te3 + x at% Pb (x = 0.00, 0.49, 0.65, 0.81, 0.97 and 1.3) at 323 K.
Fig. 3.
Weighted mobility (μW) of Bi0.5Sb1.5Te3 + x at% Pb (x = 0.00, 0.49, 0.65, 0.81, 0.97, and 1.3) at 323 K. The symbols denote μW values, calculated using the SPB model, whereas the bars depict experimental power
factor data from Wang et al.
Fig. 4.
(a) B-factor and (b) lattice thermal conductivity (κl) of Bi0.5Sb1.5Te3 + x at% Pb (x = 0.00, 0.49, 0.65, 0.81, 0.97 and 1.3) at the fixed 323 K. (c) Hall carrier concentration
(nH) dependent figure-of-merits (zT) of Bi0.5Sb1.5Te3 + x at% Pb (x = 0.00, 0.49, 0.65, 0.81, 0.97 and 1.3) at 323 K. The lines are values calculated
by using the SPB model, while the symbols are experimentally measured values from
Wang et al.
Fig. 5.
(a) The ratio of the lattice thermal conductivity (κl) to that of the pure phase (κlp) and (b) the scattering parameter for Bi0.5Sb1.5Te3 + x at% Pb (x = 0.00, 0.49, 0.65, 0.81, 0.97, and 1.3) at 323 K.
Table 1.
Calculated density-of-states effective mass (md*), non-degenerate mobility (μ0), and deformation potential (Ξ) of Bi0.5Sb1.5Te3 + x at% Pb (x = 0.00, 0.49, 0.65, 0.81, 0.97 and 1.3) at 323 K.
|
Sample (at % Pb)
|
md* (me)
|
μ0 (cm2 s-1 V-1)
|
Ξ (eV)
|
|
0.00
|
1.12
|
230.5
|
16.06
|
|
0.49
|
1.23
|
230.5
|
14.30
|
|
0.65
|
1.23
|
234.5
|
14.14
|
|
0.81
|
1.29
|
208.0
|
14.18
|
|
0.97
|
1.37
|
208.0
|
18.15
|
|
1.3
|
1.31
|
208.0
|
13.91
|