김소진
(So Jin Kim)
12
김영도
(Young Do Kim)
2*
-
국립문화유산연구원 보존과학연구실
(1Conservation Science Division, National Research Institute of Cultural Heritage, Daejeon
34122, Republic of Korea)
-
한양대학교 신소재공학과
(2Department of Materials Science and Engineering, Hanyang University, Seoul 04763,
Republic of Korea)
Copyright © 2024 The Korean Institute of Metals and Materials
Key words
High tin bronze, Vessel, Microstructure, Manufacturing process, Chemical composition, Texture
1. 서 론
고려시대에 들어서면서 이전 시기와는 달리 청동용기가 본격적으로 사용되어 분묘에서 많은 수가 출토된다[1]. 유적지 출토 청동용기는 기종에 따라 뚜껑과 함께 짝을 이루는 합과 발, 완, 잔 등으로 구분되며 주자, 정병과 잔 등도 확인된다. 합과 발은
밥이나 국물 등을 담기 위한 용도로 사용되었을 것이며 완, 잔, 병은 물을 따라 마시는 용도일 것으로 판단된다. 주로 출토되는 기종은 발이며 합과
접시가 그 뒤를 따른다. 완과 잔, 병은 출토 빈도수가 적다[1,2]. 특히 출토 빈도수가 적은 주자, 정병 등은 술과 같은 음료를 따라 마실 목적으로 제작되었기에 상위계급에서 사용되었을 것으로 추정된다. 이렇듯
다양한 기종의 청동용기가 출토되며 기종과 기형에 따라 제작에 사용된 합금 소재와 제조 공정이 달랐을 것으로 생각된다.
일반적으로 청동용기의 제조공정은 구리와 주석의 합금 제작 단계와 기형을 제작하는 주조 단계 그리고 기계적 성질을 향상시키기 위한 열간 단조와 열처리
단계로 구분되며 제작기법에 따라 주물유기와 방짜유기로 분류될 수 있다. 합금제작 단계에서는 구리를 주성분으로 주석이나 기타 합금원소를 혼합하여 가열함으로써
액상의 합금이 제작되며 이후 주조 단계에서는 형틀에 쇳물을 부어 응고시키는 작업을 통해 제품의 형태가 만들어진다. 주물유기의 경우 여기에서 제작이
완료되나 일부는 추가적으로 실시되는 단조와 열처리를 거쳐 최종 제품으로 완성된다[1,3]. 열간 단조와 열처리 과정이 추가되어 완성된 제품을 방짜유기라고 하며, 주물유기 보다 제작과정이 복잡하고 합금 제작에 더 많은 비용이 들지만 합금
소요량이 절반 이하로 감소한다는 점과 기계적 성질이 향상된다는 점에서 조선시대까지 널리 사용되며[4] 제조공정이 규격화되는 것을 알 수 있다.
출토 청동용기의 제작에 사용된 합금 소재의 종류와 제조 공정을 확인하기 위해서는 성분 분석과 미세조직 관찰이 필수이다. 특히 미세조직 관찰을 통해
가공과 처리가 미세조직에 미치는 영향을 확인할 수 있으며 이러한 미세조직의 변화는 합금의 기계적 성질에도 영향을 준다. 또한 미세조직 뿐만이 아니라
집합조직(texture)의 특성 변화에 의해서도 금속의 기계적 성질이 현저하게 변화되는 것이 확인되어 집합조직 변화에 따른 영향을 활용하고자 하는
연구가 활발히 이루어지고 있다[5].
청동용기와 관련된 기존 연구는 주로 유적지에서 출토된 청동용기의 미세조직 관찰과 성분 분석을 바탕으로 제작기술을 추정하는 것[6-9]에 초점을 두고 있다. 또한 추정된 제작기술의 정확성을 높이기 위해 방짜유기의 재현실험을 실시, 제조공정별 미세조직의 변화 등 금속학적인 특성을
연구한 사례[10-12]도 존재한다. 청동용기의 제조공정에 따른 미세조직 변화 연구는 다양하게 수행되었으나 집합조직에 대한 연구는 거의 드물다. 청동용기는 집합조직 발달에
있어 중요한 공정인 응고, 소성변형, 열처리, 상변태를 확인할 수 있어 집합조직을 분석하기에 흥미로운 대상이다. 본 연구는 청동용기가 본격적으로 사용되는
시기인 고려시대 분묘에서 출토된 청동용기를 대상으로 미세조직 관찰과 성분 분석을 실시했으며 이들 유물에서 발견되는 미세조직을 통해 제조공정을 추론하고
이에 따른 기계적 성질을 확인하고자 했다. 또한 강과 마그네슘 합금 등의 압연재 특성 분석[13,14]에 활용되는 후방전자산란 회절(EBSD, Electron Backscatter Diffraction) 분석을 통해 열간 단조와 열처리에 따른 집합조직의
변화와 기계적 성질과의 관계를 비교 분석하였다.
2. 연구 방법
본 연구의 대상은 고려시대에 제작된 것으로 추정되는 청동용기 18점으로, 단양 현곡리 고려고분에서 출토된 청동합 7점(HG-1~7), 광주 쌍촌동주거지에서
출토된 청동용기 2점(SC-1, SC-2), 김해 대청유적 출토 청동발 1점(DC-1) 및 경주 망덕사지 출토 청동정병, 청동완 등 7점(MD-1~7)이다.
경주 망덕사지 출토 청동용기의 분석 결과는 기존에 출판된 논문을 참고하였다[15]. 분석에는 접합이 불가한 부분에서 인위적으로 채취한 시편 또는 파손된 부분을 사용했다. 현미경을 이용한 미세조직 관찰을 통해 제작기술을 확인하고자
했으며 성분 분석으로 용기 제작에 사용된 합금 소재를 추정하고자 했다. 분석을 위해 채취한 시편을 세척한 후 에폭시 수지를 이용하여 마운팅했으며 이후
SiC 연마포(#1,200~#4,000)와 광택천 등으로 연마했다. 연마한 시편을 에칠알콜에 침적시켜 초음파세척기로 세척하여 건조한 후 염화철 부식액(FeCl3+HCl+H2O)으로 에칭했다. 미세조직은 광학현미경(Optical Microscope; Carl Zeiss, Axiotech 100HD, DEU)으로 관찰했으며
성분 분석은 주사전자현미경에 부착된 에너지분광분석기(Energy Dispersive Spectroscopy; X-MAX 7, Oxford, UK)를
이용했다. 정확한 상분석을 위해 X-선 회절분석기(X-Ray Diffraction; Empyrean, Malvern PANalytical, DEU)를
이용, Cu target으로 40 kV, 40 mA의 조건에서 1/8 및 1/16의 슬릿을 사용하여 비파괴 방법으로 5°~90° 범위에서 scan
speed를 0.017°로 하여 분석했다. 또한 일부 시편에 대해 결정립의 분포, 집합조직, 내부 변형에너지 등을 확인하고자 전계방출주사현미경(Field
Emission Scanning Electron Microscope; SU5000, Hitachi, JPN)에 부착된 후방전자산란 회절(Electron
Backscatter Diffraction; Velocity super, EDAX, USA) 분석을 실시했으며 OIM Analysis(Version
8.6)를 활용하여 Phase Map과 KAM Map 분석을 수행했다. 청동용기에서 관찰되는 미세조직과 기계적 성질간의 상관관계를 확인하기 위해 비커스
경도(Micro Vickers Hardness tester; MVK-HVL, Akashi, JPN)를 측정했으며 이 때 부식된 부분은 측정에서 제외했다.
15~16번 측정하여 평균을 산출했으며 측정하중은 100 gf로 5초간 실시했다.
3. 연구 결과
고려시대 청동용기 18점의 미세조직 관찰 및 성분 분석 결과를 표 1에 정리하였다. 청동용기 15점은 Cu-Sn의 이원계 합금으로 제작했으며 3점은 Cu-Sn-Pb의 삼원계 합금임을 알 수 있다. Sn의 함량은 11.8
wt%에서 34.2 wt%까지 다양하며 Pb의 함량 또한 6.8 wt%에서 18.5 wt%의 범위를 가진다. Cu-Sn 이원계 합금은 Sn의 함량이
대부분 20~23 wt% 이나 단양 현곡리 고려고분에서 출토된 청동합(HG-3)에서는 Sn이 34.2 wt% 검출되었다. 이는 출토 청동유물에서 관찰되는
α상 부식으로 인한 것으로, Cu 함량이 높은 α상의 선택부식은 호기성의 환경에서 발생한다[16]. α상 선택부식으로 인해 Cu가 용해되어 빠져나가 상대적으로 Sn이 높은 함량으로 검출되게 된다. 기타 As, Sb, Fe 등이 미량 검출되나
이는 인위적 첨가가 아닌, 원료 광석에서 기안한 성분으로 판단된다.
미세조직 사진을 통해 제조공정을 파악하기 위해 출토 유적지별로 광학현미경 사진을 정리했으며 이를 그림 1과 2에 나타냈다. 또한 비파괴 XRD 분석이 가능한 용기 6점의 상분석 결과는 그림 3과 같다. 단양 현곡리 고려고분은 10세기 후반에서 14세기에 걸쳐 축조되었으며 중심 축조 연대는 12~13세기로, 다수의 자기와 도기, 동기가 출토되어
고려 사회를 이해하는 데 중요한 정보를 얻을 수 있다[17]. 단양 현곡리 고려고분에서 출토된 청동합 7점 중 6점은 Cu-Sn 이원계 합금 소재로 제작했으며 미세조직을 통해 주조 이후 단조와 열처리 공정이
진행되었음을 알 수 있다. 이들 시편에서는 γ상 또는 침상의 β(M)의 바탕조직과 α상이 관찰되며 α상 내부에서는 쌍정(twin)이 확인된다(그림 1-a, b). 쌍정은 소성변형으로 인한 재결정 현상을 보여주는 것으로, 열간 단조(Hot forging)로 인한 변형가공 작업이 수행되었음을 보여준다[4]. 또한 γ상과 β(M)상을 통해 담금질(Quenching)이 수행되었다는 것과 실시된 온도 범위가 600°C 근처였음을 알 수 있다. 단양 현곡리
고려 고분에서 출토된 청동합 중 Cu-Sn-Pb의 삼원계 합금 소재로 제작된 것도 존재한다. Pb가 17.6 wt% 포함되어 있는 청동합의 미세조직은
α상의 바탕조직과 황색의 γ상, 그리고 원형의 Pb 편석물로 구성되어 있다(그림 1-c). 이는 중력편석으로, Cu-Pb와 같이 액상 상태에서 용해도간극을 갖거나 초정과 잔류융체 사이에 현저한 밀도차이가 있을 때 발생한다. 이미 응고된
중력편석은 열처리 등의 가공으로 인해 없애거나 감소시키는 것을 불가능하며 주조 시 급속 주조로 인해 편석물의 크기 등은 줄일 수 있다. 청동합은 Cu-Sn-Pb의
삼원계 합금의 소재를 이용하여 주조한 후, 520~586°C에서 담금질을 수행한 것이 특징이다.
광주 쌍촌동 주거지는 원삼국시대에는 주거지로 사용되다가 삼국시대 이후 매장지역으로 활용된 유적으로, 당시의 사회상을 종합적으로 이해할 수 있는 중요한
유적이다[18]. 광주 쌍촌동 주거지에서 출토된 청동합과 청동완 3점은 Sn이 24.0 wt% 가량 포함된 Cu-Sn 합금이며 침상의 β(M)상 또는 γ상을 바탕으로
α상이 분포되어 있다(그림 1-d, e). 청동완 1점에서 담금질 조직인 γ상과 β(M)상이 혼합되어 있으며 α상이 방향성을 가지고 연신되어 있는 것을 확인할 수 있다(그림 1-d). 다른 청동완에 비해 martensite 조직이 발달되지 않은 것으로 보아 martensite 상을 생성할만한 가열온도에 도달하지 않았거나 냉각속도가
느렸을 것으로 판단된다.
김해 대청유적에서는 청동기시대에서 조선시대에 이르기까지의 다양한 유적과 유물이 출토되어 취락 단위의 가야 사회 생활상을 확인할 수 있다[19]. 김해 대청유적에서 출토된 청동발 1점은 Pb가 포함되지 않은 이원계 청동으로, 미세조직이 앞서 언급한 청동용기와는 다른 양상을 보인다. 어둡게
보이는 바탕에는 γ상이 자리하고 있으며 dendrite상의 α상이 길게 위치하고 있다(그림 1-f). α 결정립 내 쌍정이 확인되지 않아 열간 단조는 수행되지 않았으며 520~586°C 구간에서 담금질 처리가 수행되었음을 알 수 있다. 한편 γ상의
바탕조직에서 미세한 α상이 석출된 것을 관찰할 수 있는데, 이러한 조직은 martensite상을 뜨임(tempering)처리할 때 발생하는 것이다[3]. 따라서 청동발은 600°C 이상에서 담금질 처리한 후 다시 520~586°C의 온도구간으로 가열한 후 서냉한 것으로 추정된다.
경주 망덕사지에서 고려시대 유물로 판단될 수 있는 청동유물 10점이 출토되었다. 그 중 청동정병, 청동완 5점 및 청동발의 금속학적 분석을 실시했으며
미세조직을 통해 제작기술을 확인하고자 했다. 7점 중 청동정병을 포함하여 3점은 주조 기법으로 제작되었으며 4점은 열간 단조 후 담금질을 실시했다.
청동정병(그림 2-a), 청동완(그림 2-b) 및 청동발(그림 2-f)은 α상의 바탕조직에 α상과 δ상이 혼합된 공석조직으로 구성되어 있다. 청동정병과 청동발에서는 Pb 편석이 빠져나간 흑색의 공극이 관찰된다. 고려시대
청동 정병은 청원 만수리 유적에서도 3점 출토된 바 있다[20]. Pb가 6~10 wt% 포함된 Cu-Sn-Pb 합금을 이용, 주조로 제작하여 경주 망덕사지 출토 청동정병과 합금 소재 및 제조공정이 유사함을
알 수 있다. 정병의 경우 다른 용기류에 비해 기형이 복잡하여 주조성 향상을 위해 Pb를 첨가한 것으로 추정된다. 청동완은 Cu-Sn 이원계 합금으로
제작되었으며 담금질 조직인 γ상과 β(M)상이 확인된다. 담금질 조직을 바탕조직으로 Cu의 함량이 높은 α상이 분포하고 있으며 특히 그림 2-e에서 방향성을 가지고 연신된 α상을 확인할 수 있다. 이는 광주 쌍촌동 주거지 출토 청동합의 미세조직 사진과 유사하다(그림 1-d). α상의 크기는 가열시간과 관련이 있다. 가열시간이 적을수록 주조 시 형성되어 있던 수지상정의 형태를 그대로 유지하는데, 광주 쌍촌동 주거지 출토
청동합과 경주 망덕사지 출토 청동완의 제조 시 martensite가 생성될 수 있을 만큼의 충분한 가열시간을 유지하지 못해 γ상의 바탕조직과 연신된
α상이 생성된 것으로 추정된다.
고려시대로 추정되는 청동용기 18점 중 15점은 Sn의 함량이 20~30 wt% 내외인 Cu-Sn의 이원계 합금 소재를 주조하여 제작했다. 특히 상
선택부식으로 인해 Sn의 함량이 34.2 wt%인 시편(HG-3)을 제외한 나머지 시편의 Sn 함량은 20~24 wt%로, 용기의 특성에 맞게 강도와
경도 등의 기계적 성질이 우수하도록 설계했음을 알 수 있다. 하지만 Sn 함량이 20 wt% 내외일 경우, 취성이 강한 δ상이 출현하여 냉간가공이
불가능해진다. 따라서 열간가공을 통해 용기의 형태를 제작하고 두드림 공정으로 인한 변형을 수용할 수 있는 γ상 또는 martensite상을 석출시키기
위해 마무리 공정으로 담금질 처리를 실시한 것을 알 수 있다. Cu-Sn-Pb 삼원계 합금소재로 제작된 청동용기는 3점으로, 모두 주조 이후 공기
중에서 서냉하여 마무리 했다. 경주 망덕사지 출토 청동완(MD-2)의 경우, Sn의 함량이 11.8 wt%인 Cu-Sn 합금을 이용하여 주조 방법으로
제품을 제작했다. 경주 망덕사지에서 출토된 청동완은 총 5점으로, 1점을 제외한 나머지는 방자유기 제조공정으로 제작하였는데 동일 기종에 대해 합금
설계를 포함한 제조공정을 달리한 이유에 대해서는 알 수 없었다. 김해 대청유적에서 출토된 청동발은 Sn의 함량이 23 wt%인 청동 합금으로 주조하여
기형을 제작한 후, 취성이 강한 δ상의 출현을 억제하기 위해 담금질 처리를 실시했다. martensite가 생성되는 온도인 600°C 이상에서 담금질
처리 한 용기를 γ상이 생성되는 온도인 500°C 근처에서 뜨임처리한 후 서냉하여 제조를 완료했다. 일반적으로 철강에서 martensite의 연실율
향상과 취성감소를 위해 뜨임처리를 실시하는데 뜨임 처리에 의해 martensite상이 부분적으로 ferrite와 pearlite상으로 변태됨으로써
강도는 다소 저하되지만 연성이 향상된다. 또한 낮은 온도에서 뜨임 처리 하는 경우, 잔류응력을 감소시켜 강도의 저하 없이 연성을 높일 수 있다[20]. 청동발의 경우 γ상이 안정한 570°C 내외에서 뜨임 처리하여 불안정한 β(M)상이 α상과 γ상으로 분해되는데 이때 분해 생성되는 상은 매우
미세할 뿐만 아니라 β(M)상보다 Sn의 함량이 높다. 따라서 경도는 증가하게 되나 뜨임의 시간이 증가함에 따라 상이 성장하여 경도는 감소하게 된다[21]. 따라서 청동발 역시 연성을 향상시키기 위해 뜨임 처리를 실시한 것으로 판단된다.
청동용기의 기종과 제조공정과의 관계를 확인하고자 단양 현곡리 고려고분, 김해 대청유적, 광주 쌍촌동주거지 및 경주 망덕사지에서 출토된 청동용기 18점을
기종별로 분류한 결과, 용기는 합 9점, 완 7점, 정병 1점, 발 1점으로 구분된다. Cu-Sn-Pb 합금으로 제작한 것은 정병 1점과 합 2점이며
주조로 공정을 마무리 했다. 정병은 다른 용기류보다는 기형이 복잡하여 가공성과 주조성 향상을 위해 Pb을 첨가했을 것이라 추정된다. Cu-Sn 합금을
이용해서 합 7점, 완 7점, 발 1점을 제작했으며 경주 망덕사지 출토 청동완 1점을 제외하고는 주조 이후 열간 단조와 담금질 처리를 실시했다. 이를
통해 정병을 제외하고는 기종의 특징에 따라 제조공정을 설계하지 않았음을 알 수 있다. 기종과 제조공정과의 관계는 더 많은 시편을 관찰하고 분석하면
확인될 것이라 생각된다.
합금 조성과 미세조직을 바탕으로 고려시대 청동용기의 제조공정에 대해 확인해보았다. 제조공정에 따라 다양한 미세조직이 관찰되었으며 이러한 미세조직이
금속재료의 기계적 성질에 미치는 영향을 확인하기 위해 경도를 측정하여 이를 표 2에 정리했다. 주조로 제작된 경주 망덕사지 출토 청동정병(MD-1)의 경도값이 가장 낮으며 경주 망덕사지에서 출토된 청동완(MD-4)의 경도값이 310
Hv로 가장 높다. 특히 주조로 제작되어 α+δ의 공석조직이 출현한 청동용기 4점의 경도값은 102~146 Hv로, 담금질 조직인 martensite상
또는 γ상이 출현한 청동용기보다 현저하게 낮음을 알 수 있다. α상과 β(M)상의 경도값 차이는 면심입방격자인 α상과 체심입방격자인 β상의 근본적인
격자구조에 기인하는 것이다. 즉 슬립계의 작용이 용이한 면심입방격자인 α상의 연성효과가 경도값 저하를 유발하는 것으로 볼 수 있다[22]. γ상 역시 체심입방격자인 β상의 규칙격자 구조로 α상보다 경도값이 크다. 이를 통해 α+δ상의 조합보다 α+β(M)상 또는 α+γ상의 조합이
경도값도 높으며 인성과 내충격성 등의 기계적 성질도 우수함을 알 수 있다.
열간 단조와 담금질 처리로 제작된 청동용기 중 6점을 선별하여 기계적 특성에 영향을 주는 인자를 확인하기 위해 후방전자산란 회절분석을 통한 상분석을
실시했다(그림 4). 단양 현곡리 고려고분 출토 청동합 3점과 경주 망덕사지 출토 청동완 3점은 Sn의 함량이 23~24 wt%인 Cu-Sn의 이원계 합금으로 제작되었으며
미세조직은 재결정화된 α상과 β(M)상으로 구성되어 있다. 일부 시편(HG-2)은 α상 부식으로 인해 α상이 흑색이나 대부분의 시편에서 α상은 적색으로,
β(M)상(또는 γ상)은 녹색으로 표현되어 있다. 대부분의 시편에서 구상의 α상이 고르게 분포되어 있는 것이 확인되며 α상이 길게 연신되어 방향성을
띄는 시편(MD-4)도 존재한다.
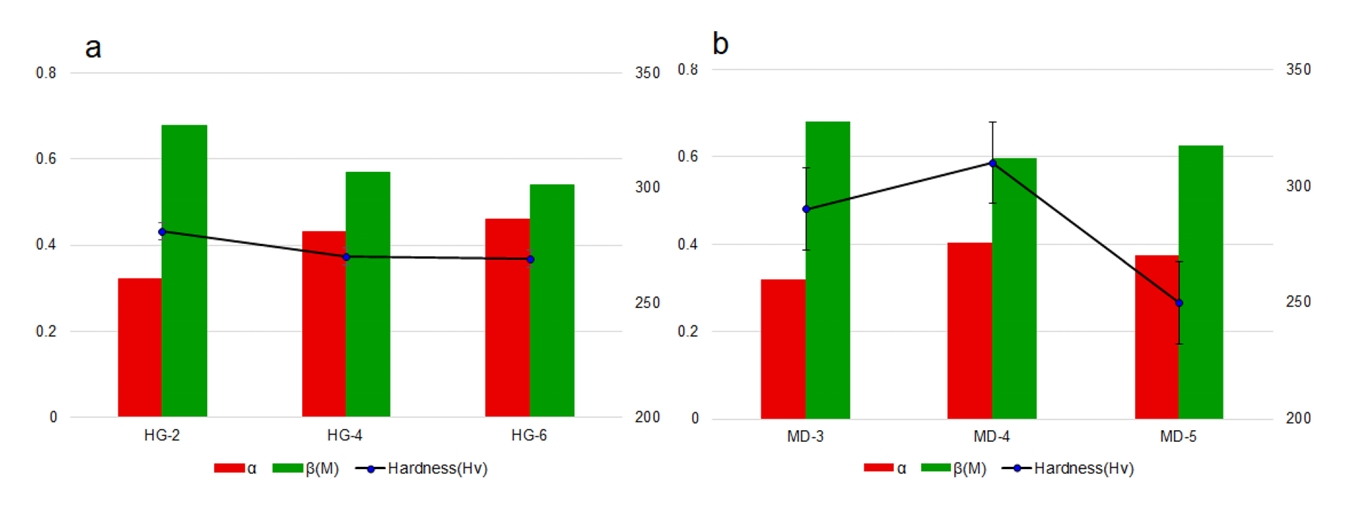
EBSD 분석을 통해 얻어진 상분율 정보와 비커스 경도를 그림 5에 정리했다. 단양 현곡리 고려고분 출토 청동합은 평균 40%의 α상과 60%의 β(M)상으로 이루어져 있으며 경주 망덕사지 출토 청동완은 평균 37%의
α상과 63%의 β(M)상으로 구성되어 있다. 청동합의 평균 비커스 경도값은 272 Hv이며 청동완의 평균 경도값은 283 Hv로, 경주 망덕사지
출토 청동완의 경도값이 더 크다. 일반적으로 Cu-Sn 합금에서 α상은 경도가 낮은 반면, martensite와 δ상은 경도가 높다고 알려져 있다[23]. 따라서 martensite 상분율의 차이로 인해 경주 망덕사지 출토 청동완의 미소 경도값이 크게 측정되었음을 알 수 있다. 이러한 경향은 단양
현곡리 고려고분 출토 청동합의 상분율과 미소 경도값의 관계에서도 확인할 수 있다. 하지만 경주 망덕사지 출토 청동완의 경우, martensite 상분율이
68%인 청동완(MD-3)이 60%인 청동완(MD-4)보다 비커스 경도값이 작다.
그 이유를 EBSD의 커널 평균 방위차(Kernel Average Misorientation, KAM)에서 찾을 수 있다(그림 6). KAM은 개별 측정 지점에서 이와 인접하는 측정 지점들 사이의 국부적인 방위차에 대한 평균값을 나타낸 것으로, 이는 전위와 관련된 결정 격자의
curvature와 elastic strain field의 영향에 의해 결정되는 값이다. 따라서 KAM값이 시편에 축적된 변형 에너지나 전위 밀도(dislocation
density)가 증가함에 따라 KAM 수치가 증가하는 경향을 보인다[13,14]. 경주 망덕사지 출토 청동완 3점 중 미소 경도가 큰 시편(MD-4)의 KAM값은 평균 0.816으로, 이는 시편에 축적된 변형 에너지 또는 전위
밀도가 크다는 것을 의미한다. 전위 밀도가 크다는 것은 변형에 필요한 응력이 증가한다는 것으로, 항복강도와 연신강도 등의 금속의 기계적 성질이 향상된다.
경주 망덕사지 출토 청동완의 미소 경도값은 KAM값에 비례하는 것을 확인할 수 있다.
경주 망덕사지 출토 청동완의 경도값은 KAM값과 비례하는 경향을 보이나 단양 현곡리 고려고분 출토 청동용기의 경우, KAM값과 비커스 경도값이 비례하지
않는다. 단양 현곡리 고려고분 출토 청동합에서는 KAM값이 가장 작고 β(M)상의 분율이 큰 시편(HG-2)의 경도값이 크다. 청동용기의 KAM값은
열간 단조와 열처리 등의 가공으로 인해 청동용기에 가해진 기계적 에너지 중 쌍정과 martensite 형성에 사용하고 남은 에너지로 생각할 수 있다.
KAM값이 작은 시편(HG-2)의 경우, 기계적 에너지를 martensite상 형성을 위해 사용하여 β(M)상이 분율이 다른 시편에 비해 컸으며 그로
인해 KAM값이 제일 작았다. 따라서 청동용기의 경도에 영향을 주는 요인은 β(M)상의 분율과 KAM값이며 KAM값이 작은 경우 β(M)상의 분율이
경도에 기여하며 KAM값이 큰 경우 KAM값에 비례하여 경도가 커짐을 알 수 있다.
4. 결 론
청동용기가 본격적으로 사용되는 시기인 고려시대의 단양 현곡리 고려고분, 김해 대청유적, 광주 쌍촌동주거지 및 경주 망덕사지에서 출토된 청동용기 18점을
대상으로 미세조직과 집합조직을 관찰하고 이를 통한 기계적 성질과의 관계를 비교 분석한 결과는 다음과 같다.
1. 상 선택 부식이 심한 시편을 제외하고 청동용기 13점은 Sn의 함량이 20~24 wt%인 Cu-Sn 합금 소재를 이용하여 제작되었으며 미세조직
관찰을 통해 주조 이후 열간 단조와 담금질 처리를 실시한 것을 확인하였다. 이를 통해 취성이 강한 δ상의 출현을 억제하고 열간가공을 할 수 있도록
합금과 제조공정을 설계한 것을 알 수 있다.
2. 청동용기 3점은 Cu-Sn-Pb 합금 소재로 제작되었으며 주조로 기형을 만들고 서냉하여 공정을 완료했다. 청동정병의 경우 가공성과 주조성 향상을
위해 Pb를 첨가했으며 Cu-Sn 합금으로 제작된 용기 1점 또한 주조로 기형을 만들고 서냉하였다. 청동용기 기종과 제조공정의 상관 관계는 정병을
제외하고 확인되지 않았다.
3. 제조공정에 따라 다양한 미세조직이 생성되었으며 이에 기계적 성질도 달라짐을 확인하였다. 주조 공정으로 인해 α상과 α+δ상으로 구성된 청동용기는
담금질 조직인 β(M)상 또는 γ상이 출현한 청동용기에 비해 미소 경도값이 작았다. 이를 통해 α+δ상의 조합보다 α+β(M)상 또는 α+γ상의 조합이
경도값도 높으며 인성과 내충격성 등의 기계적 성질도 우수함을 알 수 있다.
4. 열간 단조와 담금질 처리를 실시하여 α상과 β(M)상으로 구성된 청동용기 6점을 선별하여 상분석과 커널 평균 방위차 분석을 실시했다. 단양 현곡리
고려고분에서 출토된 청동합 3점은 β(M)상의 분율에 비례하여 경도값이 증가했으며 경주 망덕사지 출토 청동완 3점은 KAM값에 비례했다. 이를 통해
경도에 영향을 미치는 요인이 β(M)상의 분율과 KAM값임을 알 수 있었으나 이들이 어떠한 비율로 기계적 성질 향상에 영향을 주는지는 확인할 수 없었다.
청동용기는 제조공정이 다양하여 그에 따른 미세조직도 다양하게 생성된다. 우리는 미세조직 관찰을 통해 옛 기술자들의 기술체계를 확인할 수 있으며 공정별로
숨겨져 있는 재료공학적 의미를 파악하고자 노력한다. 다양한 시대에서 제작된 다양한 형태의 청동용기를 분석하여 데이터를 축적한다면 본 연구를 통해 확인할
수 없었던 청동용기의 기종 및 기형과 제조공정과의 상관 관계 및 제조공정별 기계적 성질의 변화 메커니즘을 확인할 수 있을 것이라 생각된다.
Acknowledgements
본 논문은 국가유산청 국립문화유산연구원 문화유산 조사연구(R&D) 사업의 지원을 받아 수행된 연구이며, 이에감사드린다.
REFERENCES
Joo Y. M., History Education Review,57, 185 (2015)

Ganghwa National Research Institute of Cultural Heritage, Construction and Culture
of Goryeo Tombs,120-141, Ganghwa National Research Institute of Cultural Heritage
(2019)

Park J. S., J. of the Korean Society for Heat Treatment,17, 189 (2004)

Lee J. S., Ph.D. Thesis,42-44, Hongik University (2010)

Park N. J., Jeong H. D., Texture Analysis Program System for Cubic and Hexagonal Crystal
Symmetry,1-7, Hongreung Publish company (2011)

Jeon I. H., Lee J. S., Park J. S., MUN HWA JAE - Annual Review in Cultural Heritage
Studies,46, 208 (2013)

Park J. S., Joo J. O., Korean J. Met. Meter,54, 937 (2016)

Han W. R., Kim S. J., Hwang J. J., MUN HWA JAE – Annual Review in Cultural Heritage
Studies,49, 4 (2016)

Han W. R., Kim S. J., Lee E. W., Hwang J. J., J. Conserv. Sci,35, 187 (2019)

Lee J. S., Park J. S., J. Conserv. Sci,27, 421 (2011)

Lee J. S., Park J. S., J. Conserv. Sci,30, 417 (2014)

Lee J. S., Jeon I. H., Park J. S., J. Conserv. Sci,34, 493 (2018)

Kang M. S., Kang J. H., Park H. U., H J., Pyoun Y. S., Baek M. J., Lee D. J., Lee
S. J., Partk S. H., Kim H. M., Park S. H., Choi Y. S., Korean J. Met. Mater,60, 169
(2022)

Lee S. J., Kim Y. J., Lee J. H., Park S. H., Korean J. Met. Mater,57, 1 (2019)

Kim S. J., Kim Y. D., J. Conserv. Sci,40, 224 (2024)

Schweizer F., Bronze objects from lake sites: from patina to ‘biography’ in Ancient
and Historic Metals,33-50, The Getty Conservation Institute (1994)

Park H. H., Report on the excavation of Hyeongong-ni site, Danyang,The University
of Seoul Museum (2008)

Im Y. J., Cho J. S., Report on the excavation of Ssangchon-dong site,Gwangju, Chonnam
National University Museum (1999)

Hur S. Y., Journal of the Korea Middle Ages Archaeological Society,5, 125 (2019)

Kim W. H., Journal of Central Institute of Cultural Heritage,4, 213 (2008)

Jeong M. S., Lee H. H., Han J. H., J. of the Korean Society for Heat Treatment,33,
65 (2020)

Choe B. H., Lee B. G., Shim J. H., Go H. S., Jo N. C., Lee J. S., Park K. G., Kim
Y. C., Korean J. Mater. Res,26, 528 (2016)

Park J. S., Park C. W., Lee K. J., Materials Characterization,27, 1268 (2009)

Figures and Tables
Fig. 1.
Microstructures of specimens taken from bowls excavated from Hyeongok-ri site in Danyang(a~c),
Ssangchon-dong site in Gwangju(d, e) and Daecheong site in Gimhae(f).
Fig. 2.
Microstructures of specimens taken from bowls excavated from Mangdeoksa temple site
in Gyeongju[15].
Fig. 3.
XRD patterns for the bronzes; (a) bowls excavated from Hyeongok-ri site in Danyang,
(b) bowls excavated from Mangdeoksa temple site in Gyeongju
Fig. 4.
Phase maps of bowl specimens excavated from Hyeongok-ri site in Danyang(a~c) and Mangdeoksa
temple site in Gyeongju(d~f).
Fig. 5.
Graphs of hardness and phase volume fraction of specimens from Hyeongok-ri site in
Danyang(a) and Mangdeoksa temple site in Gyeongju(b).
Fig. 6.
EBSD KAM maps of bowls excavated from Hyeongok-ri site, Danyang(a~c) and Mangdeoksa
temple site in Gyeongju(d~f)
Table 1.
Summary information including chemical composition and microstructure of bronze specimens.
|
Sample No.
|
Artifacts
|
Site
|
Composition (wt%)
|
Microstructure
|
Fabrication Method
|
Fig.
|
|
Cu
|
Sn
|
Pb
|
|
HG-1
|
Lidded Bowl
|
Danyang
|
76.1
|
23.4
|
0.12
|
α(twinned)+γ, β(M)
|
Forged
|
1-a
|
|
HG-2
|
Lidded Bowl
|
Danyang
|
75.9
|
23.7
|
0.14
|
α(twinned)+β(M)
|
Forged
|
|
|
HG-3
|
Lidded Bowl
|
Danyang
|
64.3
|
34.2
|
0.11
|
α(twinned)+β(M)
|
Forged
|
1-b
|
|
HG-4
|
Lidded Bowl
|
Danyang
|
76.3
|
23.5
|
0.11
|
α(twinned)+β(M)
|
Forged
|
|
|
HG-5
|
Lidded Bowl
|
Danyang
|
66.7
|
14.4
|
17.6
|
α+γ
|
Cast
|
1-c
|
|
HG-6
|
Lidded Bowl
|
Danyang
|
76.3
|
23.4
|
n.d.
|
α(twinned)+β(M)
|
Forged
|
|
|
HG-7
|
Lidded Bowl
|
Danyang
|
76.4
|
23.4
|
0.05
|
α(twinned)+β(M)
|
Forged
|
|
|
SC-1
|
Bowl
|
Gwangju
|
74.7
|
24.5
|
0.12
|
α(twinned)+β(M)
|
Forged
|
|
|
SC-2
|
Bowl
|
Gwangju
|
74.1
|
24.9
|
n.d.
|
α(twinned)+γ, β(M)
|
Forged
|
1-d
|
|
SC-3
|
Bowl
|
Gwangju
|
74.4
|
25.0
|
n.d.
|
α(twinned)+β(M)
|
Forged
|
1-e
|
|
DC-1
|
Bowl
|
Gimhae
|
76.6
|
23.3
|
n.d.
|
α(dendrited)+γ
|
Cast
|
1-f
|
|
MD-1
|
Ewer
|
Gyeongju
|
75.8
|
11.8
|
10.9
|
α+(α+δ)
|
Cast
|
2-a
|
|
MD-2
|
Bowl
|
Gyeongju
|
85.7
|
11.8
|
n.d.
|
α+(α+δ)
|
Cast
|
2-b
|
|
MD-3
|
Bowl
|
Gyeongju
|
76.2
|
23.6
|
n.d.
|
α(twinned)+β(M)
|
Forged
|
2-c
|
|
MD-4
|
Bowl
|
Gyeongju
|
76.0
|
23.5
|
n.d.
|
α(twinned)+β(M)
|
Forged
|
2-d
|
|
MD-5
|
Bowl
|
Gyeongju
|
76.2
|
23.5
|
n.d.
|
α(twinned)+β(M)
|
Forged
|
2-e
|
|
MD-6
|
Bowl
|
Gyeongju
|
76.8
|
23.0
|
n.d.
|
α(twinned)+γ, β(M)
|
Forged
|
|
|
MD-7
|
Bowl
|
Gyeongju
|
77.9
|
13.5
|
6.8
|
α+(α+δ)
|
Cast
|
2-f
|
Table 2.
Summary information on the microstructure, composition and vickers hardness of bronze
specimens
|
Sample No.
|
Composition (wt%)
|
Microstructures
|
Technology
|
Hardness (Hv)
|
Fig.
|
|
Cu
|
Sn
|
Pb
|
|
HG-1
|
76.1
|
23.4
|
0.12
|
α(twinned)+γ, β(M)
|
C → Hf → Q
|
268
|
|
|
HG-2
|
75.9
|
23.7
|
0.14
|
α(twinned)+β(M)
|
C → Hf → Q
|
281
|
3-a
|
|
HG-3
|
64.3
|
34.2
|
0.11
|
α(twinned)+β(M)
|
C → Hf → Q
|
286
|
|
|
HG-4
|
76.3
|
23.5
|
0.11
|
α(twinned)+β(M)
|
C → Hf → Q
|
270
|
3-b
|
|
HG-5
|
66.7
|
14.4
|
17.6
|
α+γ
|
C → Sc
|
146
|
|
|
HG-6
|
76.3
|
23.4
|
n.d.
|
α(twinned)+β(M)
|
C → Hf → Q
|
269
|
3-c
|
|
HG-7
|
76.4
|
23.4
|
0.05
|
α(twinned)+β(M)
|
C → Hf → Q
|
277
|
|
|
SC-1
|
74.7
|
24.5
|
0.12
|
α(twinned)+β(M)
|
C → Hf → Q
|
184
|
|
|
SC-2
|
74.1
|
24.9
|
n.d.
|
α(twinned)+γ, β(M)
|
C → Hf → Q
|
268
|
|
|
SC-3
|
74.4
|
25.0
|
n.d.
|
α(twinned)+β(M)
|
C → Hf → Q
|
292
|
|
|
DC-1
|
76.6
|
23.3
|
n.d.
|
α(dendrited)+γ
|
C → Q→T→Sc
|
271
|
|
|
MD-1
|
75.8
|
11.8
|
10.9
|
α+(α+δ)
|
C → Sc
|
102
|
|
|
MD-2
|
85.7
|
11.8
|
n.d.
|
α+(α+δ)
|
C → Sc
|
144
|
|
|
MD-3
|
76.2
|
23.6
|
n.d.
|
α(twinned)+β(M)
|
C → Hf → Q
|
290
|
3-d
|
|
MD-4
|
76.0
|
23.5
|
n.d.
|
α(twinned)+β(M)
|
C → Hf → Q
|
310
|
3-e
|
|
MD-5
|
76.2
|
23.5
|
n.d.
|
α(twinned)+β(M)
|
C → Hf → Q
|
250
|
3-f
|
|
MD-6
|
76.8
|
23.0
|
n.d.
|
α(twinned)+γ, β(M)
|
C → Hf → Q
|
258
|
|
|
MD-7
|
77.9
|
13.5
|
6.8
|
α+(α+δ)
|
C → Sc
|
139
|
|