윤준서
(Jun-Seo Yoon)
1
우태규
(Tae-Gyu Woo)
2*
박일송
(Il-Song Park)
13*
-
전북대학교 금속공학과
(1Department of Metallurgical Engineering, Jeonbuk National University, Jeonbuk 54896,
Republic of Korea)
-
전북대학교 유연인쇄전자공학과 및 로스알라모스연구소-전북대학교 한국공학연구소
(2Graduate School of Flexible and Printable Electronics, and LANL-CBNU Engineering Institute
Korea, Jeonbuk National University, Jeonbuk 54896, Republic of Korea)
-
전북대학교 신소재공학부 및 신소재개발연구센터
(3Division of Advanced Materials Engineering, Research Center for Advanced Materials
Development, Jeonbuk National University, Jeonju, Jeonbuk 54896, Republic of Korea)
Copyright © 2024 The Korean Institute of Metals and Materials
Key words
PEG, Chloride ion, Interaction plot, Electrical property, Electroplating, Copper foil
1. 서 론
전해도금(Electroplating) 방법을 이용한 구리 박막성장은 반도체 소자, 인쇄회로용 미세 배선 형성, 기능성 표면처리, 전자부품용 동박 제조
등 다양한 분야에서 이용되고 있다[1-3]. 구리는 내식성을 비롯하여 열·전기전도성에 우수하고 1.67 μΩcm의 낮은 비저항을 가지고 있어 전자 회로 소자 및 배선에서의 우수한 신호 전달
속도를 보인다. 또한 높은 일렉트로마이그레이션(Electro-migration) 저항성을 가지고 있어 소자의 신뢰성을 확보하기에 적합한 소재이다[3-4].
구리 전해도금 층의 표면 특성 및 물성은 전해액 농도 및 유동, 도금 첨가제(Additive), 도금전위 및 전류밀도 등의 전해도금 조건에 의해 변동된다.
여러 전해도금 조건 중 가장 큰 요인으로 첨가제의 종류와 첨가량을 들수 있으며, 원하는 특성의 도금층을 형성하기 위해 다양한 첨가제가 사용되고 있다[1-7]. 일반적으로 첨가제는 polyether, amine, azole, thiol(또는 disulfide) 등의 다양한 작용기를 포함하는 유기물을 사용하며
이러한 작용기의 종류에 따라 다양한 특성이 나타난다. 억제제(Inhibiter, Suppressor)로는 PEG(Polyethylene glycol),
콜라겐, 젤라틴 등의 중합체 계열 유기 화합물이 주로 사용된다[8, 9]. 그러나 Stantke [10]의 연구결과에 따르면 젤라틴은 첨가한 이후 10~50분이 경과한 후에는 분해로 인하여 억제제 효과가 감소한다고 하였다. PEG는 구리 전해도금에서
억제제로 사용되는 대표적인 첨가제이며, 일반적으로 PEG는 Cl-과 함께 첨가되며 PEG를 단독으로 첨가할 경우에는 억제효과가 거의 나타나지 않는 것으로 알려져 있다[5]. 염화이온(Cl-)은 구리 도금층 표면에 흡착한 후 억제제와 작용하여 PEG–Cu+–Cl과 같은 착화합물(Complex)을 형성하고 구리 도금층에 피막을 형성한다. 이러한 착화물 피막층은 구리 이온이 도금층 표면에 흡착하는 것을
물리적으로 억제하여 구리 이온의 전착에 필요한 전하 전달 속도를 감소시킨다[9,11,12]. 이러한 착화물로 형성된 부동태 피막은 전착되는 구리 표면에서 구리 이온의 전착속도를 약 2배까지 억제할 수 있다 하였다[13,14]. 또한 PEG–Cu+–Cl 형태의 착화합물은 분자 크기가 커서 트렌치 내부로 진입하기 어렵기 때문에 주로 트렌치 외부에 흡착하게 되며, 구리의 표면 확산을 감소시키거나
구리 결정의 성장을 방해한다. Yokoi [15]등은 PEG의 전기화학적 분석을 통해 PEG의 분자가 염화이온과의 착화합물을 형성해 구리 표면에 흡착되어 전류를 억제하여 성장에 영향을 준다고 하였다.
또한 An 등[5]은 SO42-전해액에 PEG 단독 첨가시 억제 효과가 제한적이었으나, 염화이온과 같이 첨가된 경우 PEG–Cu+–Cl 형태의 착화합물이 아닌 PEG와 염화이온간 흡착 구조체 형성(PEG–Cl-)을 통해 강한 억제 효과를 야기 시킨다고 하였다. Yu 등[16]에 따르면 저전류 밀도(2.22 ASD)에서 PEG와 염화이온을 복합첨가 실험에서 염화이온의 첨가량을 20 ~ 100 ppm 첨가하였을 때 염화이온의
첨가량이 40 ppm 이상에서 PEG의 억제효과는 감소한다 하였다. 또한 Min 등[3]에 따르면 10 ASD 이하의 실험에서 염화이온과 PEG 100 ppm을 넣었을 경우 전착층의 경도가 증가한다 하였다.
구리전해도금에서 1970년대 후반부터 PEG에 대한 많은 연구가 이뤄져왔으나 아직까지도 도금공정에서의 역할이 정확히 규명되지 않고 있다. 또한 고전류밀도에서
염화이온(Cl-)과의 상호작용 및 물성에 대한 연구가 많이 이루어지고 있지 않다. PEG와 염화이온의 물성에 미치는 영향을 좀 더 명확하게 분석하기 위하여 PEG,
염화이온의 첨가량을 달리하여 동박을 제조하였고, 표면 및 물성 평가를 진행하였다.
2. 실험 방법
본 연구에서는 기본 도금액 제조를 위해 황산(H2SO4, >95.0%) 1.0M, 황산구리(CuSO4·5H2O, >99.0%) 0.79M을 사용하였다. 첨가제로는 구리 도금공정에서 보편적으로 사용되는 MPSA(3–mercapto–1–propane sulfonic
acid, Acclerator)을 10 ppm, JGB(Janus Green B, Leveller)는 5 ppm을 사용하였다. 억제제는 PEG(polyethylene
glycol, Inhibiter)를 사용하였으며, 염화이온 첨가를 위하여 염산(HCl, >95.0%)을 사용하였다. 염화이온은 20, 40 ppm을
첨가하였으며, 각각의 조건에 PEG 0, 30, 100 ppm 첨가하였다. 또한 염화이온 20 ppm에 PEG 300 ppm 첨가조건에 대하여 실험을
진행하였다. 사용되는 전극으로는 양극으로는 이리듐이 코팅된 타이타늄 전극(IrO2/Ti)을 음극 기지는 타이타늄판(Ti sheet)을 사용하였으며, 음극은 연마지를 이용하여 #1500까지 순차적으로 연마한 후 초음파 세척한 후
건조하여 사용하였다. 양극과 음극 간의 거리는 10 cm이며, 도금액의 온도는 50 °C(±0.5 °C)로 유지하였다. 20 ASD(A/dm2)의 정전류 인가 방식을 적용하여 도금층의 두께가 12 µm가 되도록 도금을 진행하였다. 도금 표면층의 형상 및 거칠기를 관찰하기 위하여 주사전자현미경(FESEM(SU-70),
Hitachi, Japan)과 표면조도측정기(SJ-400, Mitutoyo, Japan)를 활용하였다. 결정 방위 및 결정립 크기를 분석하기 위하여
XRD(Dmax III-A type, Rigaku Co., Japan) 장비를 비저항을 측정하기 위하여 4극 탐침법(CMT-SR1000N, AIT,
Korea) 장치를 사용하였다. 또한 전기화학적 부식 특성을 확인을 위해 동전위 분극시험기(Potentiometer(VersaSTAT4), AMETEK,
U.S.A.)로 분극 시험을 진행하였다. 전해질은 0.9 wt% NaCl 용액을 사용하였으며, 기준전극으로 Ag·AgCl/KCl(197mV vs SHE)
전극을, 상대전극으로 백금판을 사용하였다. 시편의 유효 노출면적은 1.0 cm2로 하였다. 인가전압 범위는 –1 V ~ 0 V(V vs ref.)이며, 전압인가 속도는 1 mV/s로 설정하였다. 측정된 분극 곡선을 타펠 외삽법을
이용하여 부식전위 및 부식전류밀도 값을 계산하였다.
3. 결과 및 고찰
그림 1은 염화이온 20 ppm, MPSA 10 ppm, JGB 5 ppm을 첨가한 도금액에 억제제 역할을 하는 PEG 첨가제의 첨가량을 달리하여 12 µm
두께가 되도록 전해도금한 동박 표면을 분석한 결과이다. PEG를 첨가하지 않은 경우(a) 도금 표면에 2 µm 내외의 거대한 결정들이 존재하며 이러한
현상은 표면 전체에서 나타나고 있다. PEG를 30-100 ppm 첨가한 경우(b, c) PEG 무첨가 조건대비 표면의 결정의 크기가 감소하였고 표면의
평활도는 상승하였다. 그러나 억제제인 PEG와 평활제인 JGB의 상호간의 경쟁효과로 인하여 표면에 미세 함몰이 다량 발생하였다. PEG 첨가량이 300
ppm인 경우(d)에는 30-100 ppm 표면에서 관찰되었던 미세 함몰은 관찰되지 않았으나, 표면이 매우 불규칙한 형태를 보이고 있다. Kang
[17]의 연구에서 염화이온, MPSA(10 ppm), PEG(10-50 ppm) 및 JGB(5 ppm)가 복합 첨가된 실험에서 JGB 첨가로 표면거칠기가
감소하였으나, 도금층 표면 전체에서 골이 관찰되었다. 고전류밀도에서 평활제 JGB의 역할이 약화되었음을 유추할 수 있으며 , 이러한 결과는 본 연구
결과와 유사한 결과를 보이고 있다. Jang 등[18]은 저전류밀도인 15 mA/cm2 하에서 평활제 JGB 10-20 ppm 첨가하였을 때 20 ppm 조건에서만 내부 결함 없는 도금층을 확인하였으나, 전류밀도를 20 mA/cm2 이상으로 상승시킨 조건에서는 결함이 다시 존재한다고 하였다. 또한 Kang 등[19]은 염화이온, SPS 및 PEG와 함께 JGB를 복합 첨가한 연구에서 JGB 20 ppm 첨가시 도금층 표면이 매끈하고 우수하였으나 길쭉하고 뾰족한
이차상이 생성되었다고 하였다. 따라서 적절한 첨가제 혼합이 필요함을 시사하고 있다.
염화이온을 40 ppm 첨가한 조건에서의 PEG 첨가량별 도금 표면을 관찰한 결과(그림 2)를 살펴보면, PEG 0 ppm의 경우 표면에서의 결정의 크기가 조대화 되었다. 그러나 PEG 30-100 ppm 첨가한 조건에서는 염화이온 20
ppm 첨가한 조건보다 미세 함몰은 감소한 경향을 보이고 있다. Choi [20] 등에 따르면 (111) 집합조직이 발달하는 경우에는 표면이 평판한 면을 갖게 되고 (110) 집합조직의 경우에는 뾰족한 산 모양을 이루는 표면을
가지게 된다고 하였다. 또한 표면거칠기는 집합조직과 연관이 있다고 하였으며, (111)집합 조직을 갖는 시편의 경우가 가장 표면이 완만하며, (110)
집합조직을 갖고 있는 경우의 표면은 산 모양을 하고 있어 거친 표면을 형성한다고 하였다. PEG를 첨가하지 않아 표면에 각진 형태의 결정들이 많이
발생되고 있는 표면과 PEG 30 ppm을 첨가하여 미세한 결정을 가지고 있는 표면에서의 집합조직의 차이가 있음을 확인 할 수 있다(그림 7).
그림 3은 도금층의 표면거칠기(Rz)를 분석한 결과이며, 염화이온의 첨가 농도와 무관하게 PEG 첨가량이 0-100 ppm까지 증가하는 동안 표면조도는 감소하는
경향을 보이고 있다. 염화이온을 20 ppm 조건 대비 40 ppm 첨가한 조건에서 전체적으로 표면조도는 상승하는 경향을 보였다. PEG를 과도하게
첨가한 경우(d)에는 평활제의 역할이 감소되어 표면 전체의 평활도가 감소하여 표면조도가 증가되는 현상이 관찰되었다.
전기회로의 배선 금속은 속도 지연(RC delay)이 일어나지 않아야 하기에 전기저항을 분석한 결과를 그림 4에 나타내었다. 벌크형태의 구리(1.67 μΩ-cm)보다는 높은 비저항 값을 보이고 있으나, PEG 첨가량이 증가하면서 비저항이 감소하는 현상을 보이고
있다. Huh [21], Yoon 등[22]에 따르면 나노사이즈의 결정립에서는 결정립의 크기가 증가하면 결정립계면의 분율이 감소하고 경계면에서 일어나는 비탄성산란에 의한 비저항이 감소한다고
하였다. 본 연구에서 PEG 첨가량의 증가로 비저항이 감소한 원인으로는 결정립의 크기 증가와(그림 8), 결정성장 방위(그림 7)등의 복합적인 효과로 보여진다.
그림 5는 도금층의 인장강도 시험을 통하여 항복강도와 인장강도를 분석한 결과이다. 항복강도의 경우, 염화이온의 첨가량 20 ppm, 40 ppm 두 조건에서
PEG 30-100 ppm 조건에서 무첨가(a) 대비 평균 14.3%, 21.6% 증가하였다. 그러나 PEG 첨가량의 증가에 따른 항복강도의 변화는
유의한 값을 보이지 않았다(p-vlaue : 0.963(20 ppm), 0.490(40 ppm)). PEG 30-100 ppm 첨가한 조건에서 염화이온의
첨가량에 따른 변화를 살펴보면, 염화이온 20 ppm 대비 40 ppm 조건에서 항복강도가 증가되는 현상을 보이고 있으나 변화량이 크지는 않았으며(p-vlaue
: 0.366(30 ppm), 0.057(100 ppm)), 인장강도 또한 유사한 경향을 보이고 있다. PEG 300 ppm을 첨가한 경우(d)에는
항복강도는 증가하였음에도 불구하고 인장강도는 감소하였다(b-d). 이러한 현상은 과도한 PEG 첨가의 경우 표면의 불균일화를 초래하여 물성에 악영향을
미치게 됨을 보여준다.
인장시험을 통하여 연신율을 분석한 결과(그림 6)에서 PEG 첨가량이 0-100 ppm으로 증가되면서 연신율이 증가되나 과도한 PEG 첨가(d)는 연신율을 감소시키고 있다. 같은 농도의 PEG
조건에서 염화이온 농도에 따른 연신율은 유의한 차이를 보이지 않고 있다. Kim [23]의 연구결과에서 PEG 첨가량을 100-900 ppm 첨가한 실험에서 첨가량이 100 ppm을 초과하는 경우 연신율이 감소하는 경향을 보이고 있어
본 연구결과와 유사한 결과를 보이고 있다. 전해 도금이 진행되는 동안 첨가제들 간의 경쟁관계에 있게 되고 과도한 첨가제 첨가는 표면 특성을 악화시키는
경향을 초래한다(그림 1(d)). 이로 인하여 인장강도 및 연신율 감소의 물성 열화로 이어지게 된다.
그림 7은 XRD 분석결과와 분석결과를 이용하여 표면의 결정방위를 확인하기 위하여 식(1)으로 분석한 결과를 나타내었다.
IFR(h1k1l1)은 JCPDS cards에 표준 분말 시편의 (h1k1l1)면 X-선 회절강도이며, IR(h1k1l1)은 실험을 통해 구한(h1k1l1)면 회절 강도이다. 임의의 (hkl)면의 M이 1보다 크면 결정립의 (hkl)면이 기판면에 평행하게 성장하는 우선 성장방위(또는 집합조직)를 가진다[24]. PEG 무첨가 조건에서 우선결정 성장방위는 (220) 방위 이며, 그림 1, 2에서 확인 되었던 것과 같이 도금 표면에서의 각진 형태의 결정들이 많이 존재하였다. 이러한 결과는 기존 연구자의 결과와 일치하였다[20]. PEG가 첨가된 모든 조건에서 우선결정성장 방위는 (111)이였고, PEG 첨가량이 100 ppm 이하의 경우에서는 (111) 방위로 결정이
성장하려는 경향이 증가되는 경향을 보이고 (220), (311) 방위로의 결정성장은 감소하는 경향을 보이고 있다. 그러나 염화이온의 농도에 의한 영향은
미비한 것으로 파악되었다. Lee 등[25,26]과 Yang 등[27]은 결정구조에서 원자 충진 밀도가 높은 면일수록 낮은 표면에너지를 가진다고 하였다. 따라서 전해도금이 이루어지는 과정에서 도금층의 표면에너지가 낮추어지려는
경향에 의해 표면의 구리원자가 FCC 구조에서 최조밀도를 가진 (111)면으로 이동 및 결정립 성장이 이루어진다고 하였다. 또한 PEG–Cu+–Cl 형태의 착화합물 또는 PEG–Cl-결합구조로 음극 주변의 구리 농도가 잦아지게 되어 표면에너지가 낮은 (111) 방위의 성장이 이루어지는 것으로 보여진다[28]. FCC구조에서 가장 치밀한 (111)면으로 결정이 성장하는 경우에 (200)면으로 성장하는 결정 대비 일반적으로 일렉트로마이그레이션(EM) 저항성이
우수하다 하였다. 또한 일렉트로마이그레이션이 입계확산을 통해 주도적으로 발생되는데, 결정립이 (111)면으로 배향성을 가질 때 입계확산계수를 낮추어
가장 효과적으로 일렉트로마이그레이션에 대한 내성을 갖는다고 하였다[25,26].
X-ray diffractometer(XRD) 패턴 분석결과를 바탕으로 도금된 결정립의 크기를 계산하기 위하여 Scherer식[29-31]으로 알려져 있는 다음 식(2)을 이용하여 구한 결정립 크기를 그림 8에 나타내었다. 여기서 θ는 회절피크의 위치의 2θ의 절반 값이고 λ는 XRD 장비의 타켓 파장인 0.154056 nm(Cu)이다. B는 각각의 시편에서
측정된 피크의 반가폭(FWHM)을 이용하여 계산하였다.
염화이온 20 ppm을 첨가한 경우 PEG 첨가량이 증가하면서 결정립의 크기는 증가하는 경향을 보이다 PEG 300 ppm에서 감소하는 경향을 보이고
있다. 염화이온을 40 ppm을 첨가한 경우에는 PEG 100 ppm을 첨가한 조건에서 결정립의 크기가 감소하는 경향을 보이고 있다. Min [3] 등에 따르면 전해액에 PEG를 100 ppm 첨가하였을 때 결정립 크기가 급격히 감소하였으며, 이로 인하여 경도가 증가되었다 하였다. 그러나 100
ppm 이상의 첨가조건에서 결정립의 크기 변화 및 경도 변화는 미비하였다. 본 연구에서도 PEG 첨가량이 0-100 ppm 구간에서는 결정립의 크기가
증가하였으나, 300 ppm 조건에서 결정립의 크기가 감소하는 경향을 보였다.
본 연구에서는 동전위 분극곡선(potentiostatic polarization curve)에서 타펠외삽법으로 부식전류밀도를 구하였고, 이를 아래
식(3)을 이용하여 부식속도를 계산하였다.
M은 구리의 밀도(63.54 g/mol)이며, 는 부식 전류밀도(mA/cm2), m은 구리의 전하수(2), ρ는 구리의 밀도(8.92 g/cm3)이다. 그림 9에서 보는 바와 같이 PEG를 첨가하지 않은 조건에서 가장 낮은 부식속도를 보이고 있으며, PEG 첨가량이 증가할수록 부식속도가 빨라지는 것을 볼
수 있다. 이러한 부식속도는 동일 PEG 첨가량에서 염화이온이 많이 들어간 조건(e-g)에서 부식속도가 빠르게 일어나는 것을 확인할 수 있었다. Kim
등[8]에 따르면 (220)면과 같은 상대적으로 조밀하지 못한 결정방위는 부식속도를 감소시키고 (111)면과 같은 최조밀면은 부식속도를 증가시키는 요인이
된다하였다. 본 연구에서 (111) 결정 우선성장 방위를 보이고 있으며(그림 7), 첨가제 간의 경쟁 관계를 통한 도금층 내부의 첨가제 혼입 등의 다양한 원인으로 인하여 부식속도가 증가된 것으로 판단된다[32].
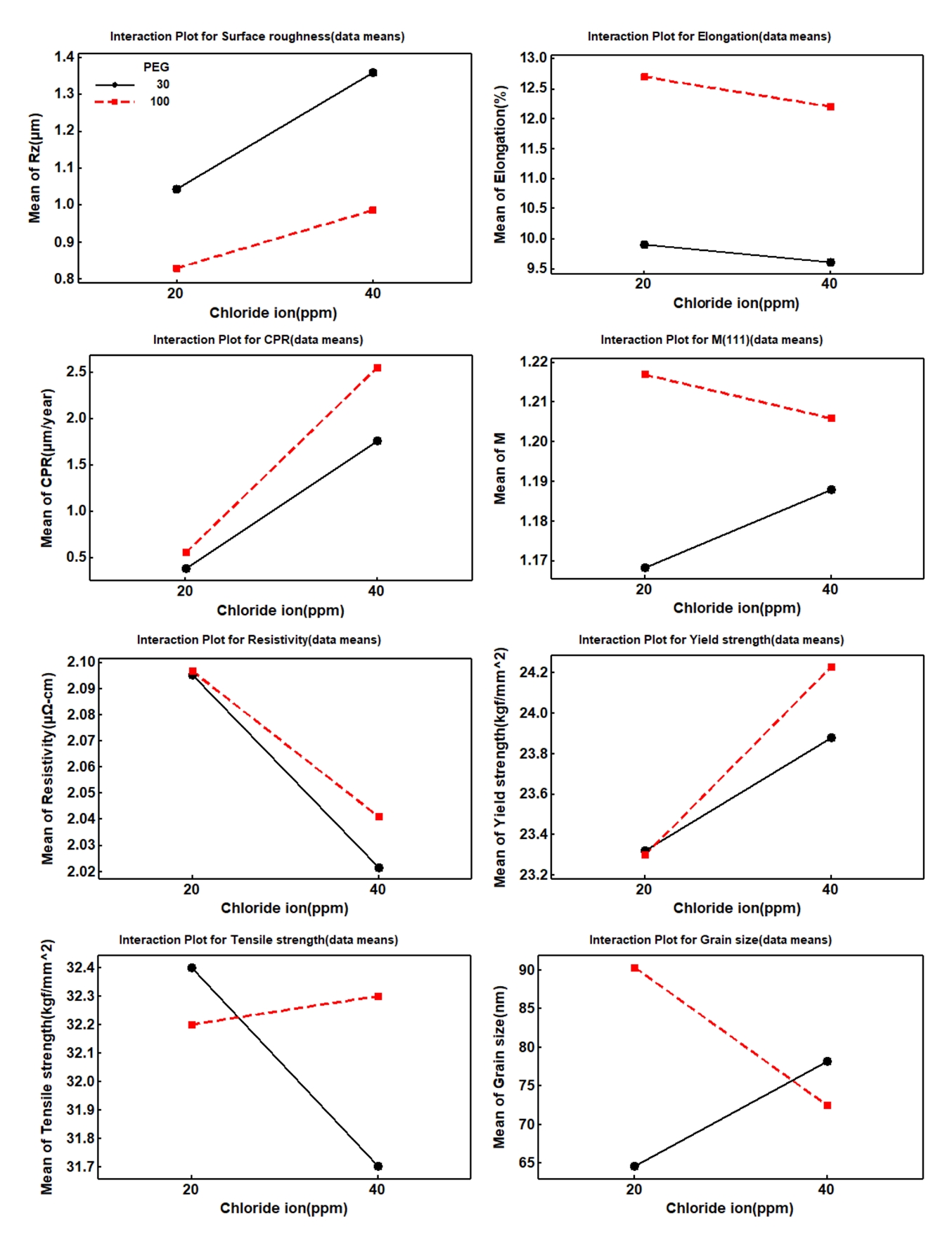
그림 10은 염화이온과 PEG 첨가량의 교호작용에 대하여 분석한 결과이며, PEG 300 ppm의 경우 표면이 매우 거칠고, 결정립크기의 변곡점 등이 존재하여
제외하고 분석하였다. 두 직선이 평형관계에 있으면 두 첨가제 간의 교호작용 효과는 없음을 의미하며, 평형이 아니거나 교차를 하였을 경우 교호작용 효과가
있음을 의미하며, 교차각도가 90°에 근접할수록 교호작용 효과가 큼을 의미한다. 연신율의 경우 두 직선이 평행에 가까우며, 교호작용 효과가 없는 것으로
파악된다. 염화이온의 첨가량과 PEG 첨가량에 대한 교호작용 효과가 강하게 나타나고 있는 물성은 인장강도 이며, 이는 결정립의 크기에 대한 교호작용
효과가 크게 나타나는 영향으로 보여진다.
4. 결 론
정전류 인가방식의 20 ASD 고전류밀도를 이용하여 MPSA, JGB 첨가제를 첨가한 기본욕에 억제제 역할을 하는 PEG 및 염화이온의 농도를 달리하여
전해도금 과정에서 첨가제 간의 역할에 대하여 연구를 진행하였다. 전해도금을 통하여 제작된 동박의 표면 특성 및 물성에 미치는 영향을 파악하기 위하여
표면 분석 및 기계적 특성 그리고 전기적 특성을 평가한 결과 다음과 같은 결론을 도출하게 되었다.
1. PEG를 첨가하지 않은 경우 도금 표면에 2 µm 내외의 결정들이 도금층 표면에 전체적으로 존재하였으나, PEG를 30–100 ppm 첨가한
경우 표면의 결정의 크기가 감소하였고 표면의 평활도는 증가하였다. 그러나 억제제인 PEG와 평활제인 JGB의 상호간의 경쟁효과로 인하여 표면에 미세
함몰이 다량 발생하였다. 이러한 미세함몰은 염화이온의 농도가 20 ppm에서 40 ppm으로 증가된 경우 감소하였다. PEG 첨가량이 300 ppm인
경우 미세 함몰은 관찰되지 않았으나, 표면이 매우 불규칙하고 높은 표면거칠기를 나타내었다.
2. PEG 첨가량 30–100 ppm 구간에서 결정립의 크기 증가 및 (111) 면에 평형하게 결정들이 우선성장하려는 경향으로 비저항이 감소하였으며,
이로 인한 전기회로 배선 금속으로의 속도 지연 현상을 방지 할 수 있다. 또한 결정들의 (111) 우선 성장방위를 가짐으로 인하여 일렉트로마이그레이션에
대한 저항성이 증가됨을 확인할 수 있었다.
3. PEG 첨가로 인하여 무첨가 조건 대비 항복강도, 인장강도 및 연신율이 증가하여 기계적 특성이 향상되었으며, 염화이온 첨가량에 대한 연신율은
유의미한 차이는 없었다.
4. 염화이온과 PEG의 상호작용이 강하게 나타나는 물성은 인장강도이며, 이러한 요인으로는 결정립의 크기의 변화 주요 요인이라 할 수 있다.
20 ASD의 고전류밀도에서의 첨가제 연구를 통하여 표면의 거칠기가 낮고, 전기적 특성이 우수하고, EM에 대한 저항성 및 부식속도 낮은 동박 층을
형성하기 위해서는 적절한 첨가제 투입이 필요함을 확인 할 수 있었다. 따라서 PEG 첨가량은 100 ppm을 염화이온은 부식속도를 낮추기 위해서는
20 ppm을 높은 기계적 특성을 위해서는 40 ppm을 추가하는 것이 효율적이라 할 수 있었다.
Acknowledgements
이 논문은 2024년도 정부(산업통상자원부)의 재원으로 한국산업기술진흥원의 지원을 받아 수행된 연구임 (RS-2024-00410332, 2024년
산업혁신인재성장지원사업).
REFERENCES
Lee J., Shin Y.M., Bang D., Cho S.K., J. Korean Electrochem,25, 81 (2022)

Kim S. K., Kang M. C., Koo H. C., Cho S. K., Kim J. J., Yeo J. K., J. Korean Electrochem,10,
94 (2007)

Min S. K., Lee J. J., Hwang W. S., Corrosion Science and Technology,10, 143 (2011)

Kim H. C., Kim J. J., Kor. Chem. Eng. Res,54, 723 (2016)

An E. G., Choi S. G., Lee J. W., Cho S. K., J. Korean Electrochem,25, 113 (2022)

Woo T. G., Park I. S., Korean J. Met Mater,61, 347 (2023)

Woo T. G., Kang B. J., Park J. J., Park I. S., J. Sur. Sci. Eng,55, 222 (2022)

Kim M. H., Cha H. R., Choi C. S., Kim H. S., Lee D. Y., Korean J. Met. Mater,48, 757
(2010)

Gallaway J. W., Willey M. J., West A. C., J. Electrochem. Soc.,156, D287 (2009)

Stantke P., JOM,April, 19 (2002)

Gallaway J. W., Willey M. J., West A. C., J. Electrochem. Soc.,156, D146 (2009)

Gallaway J. W., Willey M. J., West A. C., J. Electrochem. Soc.,155, D632 (2008)

Moffat T. P., Wheeler D., Josell D., J. Electrochem. Soc.,151, C262 (2004)

Wafula F., Liu Y., Yin L., Bliznakov S., Borgesen P., Cotts E. J., Dimitrov N., J.
Electrochem. Soc,157, D111 (2010)

Yokoi M., Konishi S., Hayashi T., Denki Kagaku,52, 218 (1984)

Yu H. C., Cho J. K., Kor. Inst. Surf. Eng,46, 158 (2013)

Kang B. J., M. S. Thesis,42Jeonbuk National University (2023)

Jang S. H., Choi K. S., Lee J. H., J. Microelectron. Packag. Soc,22, 99 (2015)

Kang I. S., Koo Y. S., Lee J. H., J. Microelectron. Packag. Soc,19, 67 (2012)

Choi C. H., Nam H. S., Jeong J H., Lee D. N., J. of the Korean Inst. of Met. Mater.,36,
1115 (1998)

Huh S. H., Jeon H. J., Chu H. S., Song Y. S., Lee S. K., Lee H. J., Lee U. H., Kor.
J. Met. Mater,52, 943 (2014)

Yoon J. S, Park C. S., Hong S. H., Lee H. J., Lee S. J., Kim Y. D., Kor. J. Mate.
Res,24, 105 (2014)

Kim S. S., M. S. Thesis,20-24, Inha University (2012)

Yoshimura S., Yoshihara S., Shirakashi T., Sato E., Electrochim. Acta,39, 589 (1994)

Lee H. S., Kim H. S., Lee C. M., J. Kor. Inst. Met. & Mater,39, 920 (2001)

Lee H. S., Kwon D. K., Park H. A., Lee C. M., Kor. J. Mater. Res,13, 174 (2003)

Yang C. H., Lee S. C., Wu M., Lin T. C., Appl. Surf. Sci,252, 1818 (2005)

Koo S. B., Jeon J. M., Lee C. M., Hur J. Y., Lee H. K., J. Korean Inst. Surf. Eng,51,
191 (2018)

Cullity B. D., Stock S. R., Elements of X-ray diffraction,170Pearson Education (2001)

Lee S. H., Park N. J., J. Kor. Inst. Met. & Mater,44, 556 (2006)

Ho C. E., Chen C. C., Lu M. K., Lee Y. W., Wu Y. S., Surface Coatings Technology,86,
303 (2016)

Osaka T., Yamachika N., Yoshino M., Hasegawa M., Negishi Y., Okinaka Y., Electrochem.
Solid-State Lett,12, D15 (2009)

Figures
Fig. 1.
SEM micrographs of copper foil electroplated using chloride ion 20 ppm and PEG 0,
30, 100, 300 ppm(a-d). (right side is a high magnification of the image on the left)
Fig. 2.
SEM micrographs of copper foil obtained from chloride ion 40 ppm and PEG 0, 30, 100
ppm(e-g). (left is low magnification, right is high magnification)
Fig. 3.
Surface roughness(Rz) of copper foil with PEG: (a, e) 0 ppm, (b, f) 30 ppm, (c, g)
100 ppm, (d) 300 ppm.
Fig. 4.
Resistivity of copper foil with PEG: (a, e) 0 ppm, (b, f) 30 ppm, (c, g) 100 ppm,
(d) 300 ppm.
Fig. 5.
Yield strength and Tensile strength of copper foil with PEG: (a, e) 0 ppm, (b, f)
30 ppm, (c, g) 100 ppm, (d) 300 ppm.
Fig. 6.
Elongation of copper foil with PEG: (a, e) 0 ppm, (b, f) 30 ppm, (c, g) 100 ppm, (d)
300 ppm.
Fig. 7.
XRD peak and orientation index(M) of copper foil with PEG: (a, e) 0 ppm, (b, f) 30
ppm, (c, g) 100 ppm, (d) 300 ppm.
Fig. 8.
Grain size of copper foil with PEG: (a, e) 0 ppm, (b, f) 30 ppm, (c, g) 100 ppm, (d)
300 ppm.
Fig. 9.
Potentiostatic polarization curves and corrosion penetration rate(CPR) of copper foil
with concentration of PEG and Cl- ion: (a, e) 0 ppm, (b, f) 30 ppm, (c, g) 100 ppm, (d) 300 ppm.
Fig. 10.
Interaction Plot of copper foil with concentration of PEG and Cl- ion.