The Journal of
the Korean Journal of Metals and Materials

The Journal of
the Korean Journal of Metals and Materials

Monthly
  • pISSN : 1738-8228
  • eISSN : 2288-8241

Editorial Office


  1. 동아대학교 신소재공학과 (Department of Materials Science and Engineering, Dong-A University, Busan, Republic of Korea)



Shape memory effect, β-type Ti alloy, Biomaterials, Ti-Zr-Nb-Mo-Sn

1. 서 론

Ti-Ni 기 형상기억합금은 기능재료 외에도 생체재료, 우주항공소재 등 다양한 분야에서 응용되고 있으며, 관련 연구가 지속적으로 이루어지고 있다[1]. 특히 우수한 형상기억특성, 기계적 특성, 내식성 등으로 인해 생체재료로써 의료용 스텐트, 임플란트, 교정용 와이어 등에 사용되어 왔다. 하지만 최근 단원소 Ni의 생체독성이 보고된 이후 세계적으로 생체재료로써 Ti-Ni 기 형상기억합금 사용을 줄여가고 있다[2].

β형 Ti 기 형상기억합금은 1971년 Baker에 의해 Ti-35Nb(wt.%) 2원계 합금에서 처음 보고되었다[3]. 이후 Ti-Nb 2원계 합금의 기계적 특성 및 형상기억특성에 대한 체계적인 연구가 수행되었다. Ti-(22-25)Nb(at.%) 및 Ti-(25.5-27) Nb(at.%) 합금에서 형상기억특성이 관찰되었으나, 낮은 항복강도와 변형률을 나타내었다[4]. 최근 연구에 따르면 Ti-Nb 2원계 합금에 Zr, Sn, O 등의 제 3원소 첨가 시 형상기억특성이 향상된다고 보고된 바 있다. 현재까지 보고된 β형 Ti 기 형상기억합금은 Ti-Nb-Zr [5,6], Ti-Nb-Sn [7,8], Ti-Nb-Ta [9,10], Ti-Nb-N [11], Ti-Nb-Mo [12,13], Ti-Nb-O [14], Ti-Nb-Al [15] 등이 있다. 이중에서도 Ti-Nb-Zr 3원계 합금은 우수한 형상기억특성 및 생체적합성으로 인해 많은 연구가 진행되었다. 선행연구에 따르면 상온에서 초탄성특성을 나타내는 Ti-Nb-Zr 합금에서 Nb을 Zr으로 치환함에 따라 변태변형률이 증가한다고 보고되었다[16]. 이처럼 Zr은 우수한 생체적합성 뿐만 아니라 변태변형률 향상에도 효과적이라는 이점을 지니고 있다. 하지만 해당 합금들 역시 Ti-Ni 기 형상기억합금과 비교하였을 때, 낮은 변태변형률과 슬립임계응력이 단점으로 지적되고 있다. 이에 따라 Ti-Nb-Zr 3원계 합금을 기준으로 추가 합금 원소를 첨가한 Ti-Nb-Zr-Ta [17], Ti-Nb-Zr-Al [18], Ti-Nb-Zr-Sn [19], Ti-Nb-Zr-Ta-O [20] 등의 4원계 및 5원계 합금 개발이 이루어지고 있다. Sn은 높은 변태변형률을 얻기 위한 {001}β<110>β 재결정 texture를 형성하는데 효과적이라고 알려져 있다. Ti-Nb-Zr 3원계 합금에서 Sn을 첨가함에 따라 변태변형률이 향상되었으며, 안정적인 초탄성특성을 나타낸다고 보고되었다[19]. 한편 β 안정화원소인 Mo은 경화를 위해 여러 합금에서 사용되고 있으며 내식성 또한 우수하다[21]. 본 연구에서는 Ti-Nb-Zr 3원계 합금에 Sn과 Mo을 첨가하여 Ti-Zr-Nb-Mo-Sn 5원계 합금을 설계하였다.

생체용 형상기억합금은 변태온도가 체온 부근이 되도록 설계하는 것이 중요하다. Ti-Nb 2원계 합금에서 변태온도 감소 효과는 Mo 1at.%가 Nb 1at.%의 약 3~3.5배라고 보고된 바 있다[22]. 한편 Zr의 변태온도 감소 효과는 Ti-22Nb-(2~8)Zr(at.%) 합금에서는 38K/1at.%인 반면[6], Zr 함량이 증가함에 따라 변태온도 감소에 미치는 Zr의 영향은 급격히 줄어든다[16]. 즉, Zr 함량이 증가할수록 적은 변태온도 감소와 함께 변태변형률 향상을 기대할 수 있다.

형상기억특성은 β 상과 α" 상 간에 격자대응에 따른 격자 변형으로 나타나게 되고, [100]α"-[100]β, [010]α"-[011]β, [001]α"-[0-11]β의 격자대응을 형성한다. <110>β 방향은 모든 결정학적 방향 중에서 가장 큰 변태변형률을 나타낸다고 알려져 있다[16]. 최근 연구에 따르면 {001}β<110>β 형 texture 강도를 증가시킴으로써 변태변형률을 향상시킬 수 있다고 보고되었다[19]. 즉, 첨가원소, 어닐링 조건, 냉간가공 조건 등을 달리하여 이때 형성되는 격자대응에 상응하는 방향으로 집합조직을 제어하면 형상기억특성을 향상시킬 수 있다.

본 연구에서는 각 합금 원소가 변태온도 감소에 미치는 영향을 고려해 Ti-(14-22)Zr-6Nb-2Mo-2Sn(at.%) 합금을 설계하여 Zr이 형상기억특성에 미치는 영향을 조사하였다. 또한 Ti-(14-22)Zr-6Nb-2Mo-2Sn(at.%) 합금의 어닐링 조건이 형상기억특성 및 texture에 미치는 영향을 체계적으로 조사하였다.

2. 실험 방법

본 연구에서 사용된 합금은 진공 아크 용해로를 사용하여 제작하였다. 시료는 스펀지 Ti(순도 99.8%), 괴상 Zr(순도 99.9%), pellet Nb(순도 99.95%), pellet Mo(순도 99.95%), 괴상 Sn(순도 99%)을 사용하였다. 실험에 사용된 시료는 합금을 제조하기 전에 순도를 높이기 위하여 진공 아크 용해로에서 4회 용해 후 Ingot으로 제작하여 사용하였다. 고순도 합금 제작을 위하여 1.8 × 10-5 Torr의 진공도에서 Ar 분위기로 치환하여 합금을 용해하였으며, 챔버 내에 잔류하는 O2와 N2를 제거하기 위하여 Ti getter를 합금 용해 전후로 용해하였다. 또한 균질 용해를 위하여 Ingot을 상하로 뒤집어가며 8회 용해하였다. 용해된 Ingot은 최종압연율 98%(0.4 mm ± 0.05 mm)로 냉간압연하여 wire 방전가공을 통해 시편을 제작하였다. 절단된 시편은 산세척(HF : HNO3 : H2O = 1 : 4 : 5)한 후 Ar 분위기의 석영관에 봉입하여 650~900°C의 다양한 온도 범위에서 어닐링하였다. 어닐링 후 표면의 산화막 제거를 위하여 산세척(HF : HNO3: H2O = 1 : 4 : 5)을 하였다. 인장 시험은 ㈜알엔비 사의 Helio-X 2007 모델을 사용하였고, 인장 속도는 5.0 × 10-4/s로 설정하였다. 시편은 1 × 40mm 크기로 커팅하였으며, 표점거리는 20 mm이다. XRD 측정은 Rigaku 사의 radiation shield 모델을 사용하였으며, 시편은 7 × 10 mm 크기로 커팅하였다. 시험은 실온에서 θ-2θ법 및 Cu-Kα선(40 kV, 40 mA)을 이용하여 측정하였다. 측정 범위는 30~80°, 측정 속도는 1°/min로 설정하였다. 또한 각 합금의 어닐링 온도에 따른 재결정 조직의 우선방위의 영향을 조사하기 위하여 EBSD 측정을 하였다. 시편은 10×12 mm 크기로 커팅하였다. 시편 표면의 산화막을 제거하기 위하여 -25°C에서 전해연마(perchloric acid:methanol=1:9)를 수행하였다. 이후 OIM program을 통하여 결정립 및 역극점도에 대한 분석을 진행하였다.

3. 결과 및 고찰

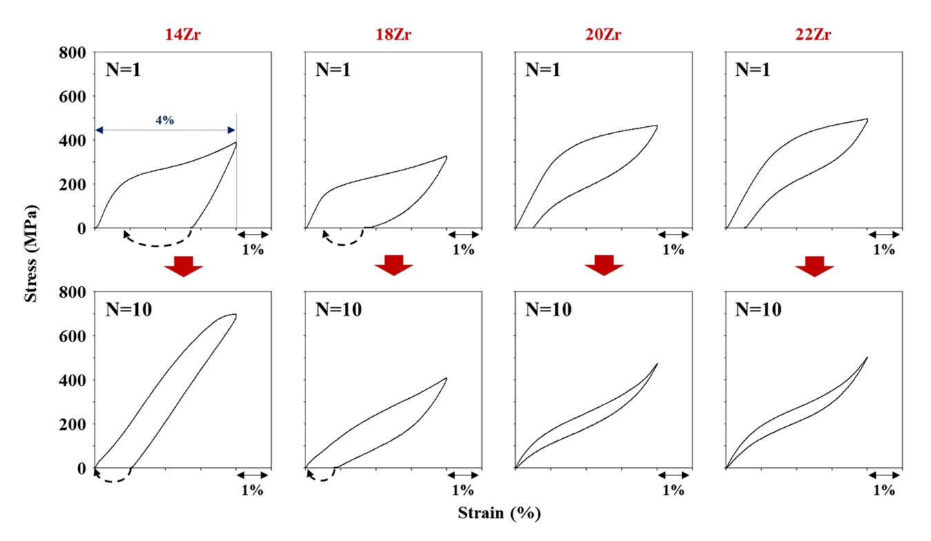
실온에서의 형상기억특성과 초탄성특성을 조사하기 위해 700°C에서 1시간동안 어닐링한 Ti-(14-22)Zr-6Nb-2Mo-2Sn(at.%) 합금의 사이클 시험을 수행하였다. 그림 1은 각 합금의 첫 번째 사이클과 열 번째 사이클 시험 결과를 나타낸 것이다. 각 사이클은 4% 변형률에 도달할 때까지 하중을 가한 뒤 하중을 제거하였다. 이후 최대 200°C까지 가열하였으며, 이때 회복된 변형률을 점선 화살표로 표시하였다. Ti-(14, 18)Zr-6Nb-2Mo-2Sn(at.%) 합금은 하중 제거 후에도 잔류 변형이 남아 최대 200°C까지 가열하여 회복되었다. 첫 번째 사이클에서는 가열 후에도 약 0.6%의 소성변형률로 불완전한 형상기억특성을 나타내었으며, 열 번째 사이클에서는 거의 완전한 형상기억효과를 나타내었다. 4% 변형률에서의 응력은 사이클 수가 증가함에 따라 증가하였다. 이는 하중 제거 후 최대 200°C까지 가열하는 동안 형성된 ω상에 의한 것으로 사료된다. Ti-(20, 22)Zr-6Nb-2Mo-2Sn(at.%) 합금은 첫 번째 사이클에서 약 0.5%가 회복되지 않고 불완전한 초탄성특성을 보였다. 한편 열 번째 사이클에서는 4%의 변형이 초탄성 회복되었으며 좁은 응력 히스테리시스가 관찰되었다. 결론적으로 Ti-(14-22)Zr-6Nb-2Mo-2Sn(at.%) 합금은 실온에서 안정한 형상기억 및 초탄성특성을 나타내었다.

실온에서의 각 합금 별 구성 상 확인을 위해 XRD 측정을 하였다. 그림 2에 700°C에서 1시간동안 어닐링한 Ti-(14-22)Zr-6Nb-2Mo-2Sn(at.%) 합금의 XRD 측정 결과를 나타내었다.

모든 합금에서 α상 피크는 관찰되지 않았다. 즉, α/β 온도는 700°C 미만일 것으로 사료된다. Ti-14Zr-6Nb-2Mo-2Sn(at.%) 합금은 β상과 α"상 피크가 함께 관찰되었다. 이는 Ti-14Zr-6Nb-2Mo-2Sn(at.%) 합금의 마르텐사이트 변태 개시 온도(MS)가 실온보다 높음을 의미한다. 한편 Zr 함량이 증가함에 따라 α"상은 관찰되지 않고 Ti-(18-22)Zr-6Nb-2Mo-2Sn(at.%) 합금에서 β상 피크만 관찰되었다. 이는 해당 시편의 MS가 실온 이하임을 의미하며, Zr의 첨가로 MS가 감소한 것으로 사료된다. 이러한 XRD 측정 결과는 그림 1에서 나타낸 인장 시험 결과와 일치한다.

실온에서의 형상기억특성을 정량적으로 평가하기 위해 700°C에서 1시간동안 어닐링한 Ti-(14-22)Zr-6Nb-2Mo-2Sn(at.%) 합금의 변형률 증가 사이클 시험을 수행하였다. 그림 3은 Ti-22Zr-6Nb-2Mo-2Sn(at.%) 합금의 각 사이클을 나타낸 것이다.

동일한 시편에 대해 변형률을 2.5%부터 사이클마다 0.5%씩 증가시켜가며 파단이 일어날 때까지 인장 시험을 진행하였다. 가열 후에도 영구히 남아있는 변형률을 소성변형률(εP), 하중 제거 후 탄성 회복된 변형률을 초탄성 회복변형률(εSE), 가열에 의한 회복변형률과 초탄성 회복변형률을 총칭하여 총 회복변형률(εTot)로 정의하였다.

그림 4그림 3에서 측정한 εP, εSE, εTot을 응력에 대해 나타낸 것이다.

총 회복변형률의 최댓값을 최대 변태변형률( ε T o t max ), 초탄성 회복변형률의 최댓값을 최대 초탄성 회복변형률( ε S E max ), 각 사이클에서 소성변형률이 0.5%에 교차하는 응력을 슬립임계응력(σS)이라고 정의하였다. 모든 합금에 대해 동일한 측정을 하였고, 그 결과를 그림 5에 나타내었다.

그림 5에 700°C에서 1시간동안 어닐링한 Ti-(14-22)Zr-6Nb-2Mo-2Sn(at.%) 합금의 σS(a), ε S E max (b), ε T o t max (b)을 Zr 함량에 따라 plot 하였다. σS은 Ti-14Zr-6Nb-2Mo-2Sn(at.%) 합금은 519 MPa, Ti-22Zr-6Nb-2Mo-2Sn 합금은 568 MPa로 Zr 함량이 증가함에 따라 다소 증가하였다. ε S E max ε T o t max 은 Ti-14Zr-6Nb-2Mo-2Sn(at.%) 합금에서 각각 3.35%, 5.26%, Ti-22Zr-6Nb-2Mo-2Sn(at.%) 합금에서 각각 4.92%, 5.62%로 Zr 함량 증가에 따라 증가하였다. 이는 Zr 첨가에 따른 격자상수의 변화 때문인 것으로 사료된다[16]. 즉, Ti-Zr-Nb-Mo-Sn 5원계 합금에서도 Ti-Nb-Zr 3원계 합금과 유사하게 Zr의 첨가는 변태온도를 감소시키고 변태변형률을 증가시키는 데 효과적인 방법이라는 것을 의미한다.

어닐링 온도에 따른 형상기억특성과 초탄성특성을 조사하기 위해 Ti-22Zr-6Nb-2Mo-2Sn(at.%) 합금을 650°C, 700°C, 750°C에서 1시간, 900°C에서 30분동안 어닐링하여 사이클 시험을 수행하였다. 이 때 첫 번째 사이클과 열 번째 사이클 결과를 그림 6에 나타내었다.

각 사이클은 4% 변형률에 도달할 때까지 하중을 가한 뒤 하중을 제거하였다. 사이클 시험 결과, 모든 어닐링재에서 초탄성특성이 발현됨을 확인하였다. 첫 번째 사이클에서는 어닐링 온도가 증가함에 따라 잔류 소성량이 미소 증가하였고, 열 번째 사이클에서는 4%의 변형이 모두 초탄성 회복되어 거의 완벽한 초탄성특성을 나타내었다. 또한 각 사이클의 마르텐사이트 변태 시 응력과 역변태 종료 시 응력의 차이를 응력 히스테리시스(△σ)로 정의하였다.

어닐링 온도에 따른 각 합금 별 구성 상 확인을 위해 실온에서 XRD 측정을 하였다. 그림 7은 650°C에서 900°C까지 어닐링한 Ti-22Zr-6Nb-2Mo-2Sn(at.%) 합금의 XRD 측정 결과이다.

측정 결과, 어닐링 온도에 따라 β상 피크의 상대적 강도는 변화했지만, 모든 어닐링재에서 β상 피크만 관찰되었다. 이는 α↔β 변태온도가 650°C 미만임을 의미한다.

그림 8은 650°C에서 900°C까지 어닐링한 Ti-22Zr-6Nb-2Mo-2Sn(at.%) 합금의 첫 번째 사이클과 열 번째 사이클에서의 응력 히스테리시스를 어닐링 온도 별로 나타낸 것이다.

첫 번째 사이클과 열 번째 사이클을 비교해보았을 때, 사이클 수가 증가함에 따라 응력 히스테리시스는 감소하였다. 또한 응력 히스테리시스는 어닐링 온도가 증가함에 따라 증가하였고, 650°C 1 hr 어닐링재에서 가장 작은 응력 히스테리시스를 보였다. 이처럼 작은 응력 히스테리시스는 상변태 시 에너지 손실이 적기 때문에 초탄성 합금에서 높은 회복력을 얻는데 이점으로 작용한다.

Ti-22Zr-6Nb-2Mo-2Sn(at.%) 합금의 어닐링 온도에 따른 형상기억특성을 정량적으로 평가하기 위해 변형률 증가 사이클 시험을 하였다. 그림 9σS(a), ε S E max (b), ε T o t max (b)을 어 닐링 온도 별로 나타낸 것이다. σ

σS은 650°C 1 hr 어닐링재에서 592 MPa, 900°C 1 hr 어닐링재에서 530 MPa로 어닐링 온도가 증가함에 따라 감소하였다. ε S E max ε T o t max 은 650°C 1 hr 어닐링재에서 각각 4.87%, 5.83%의 최댓값을 나타내었고, 어닐링 온도가 증가할수록 ε S E max ε T o t max 모두 감소하였다. 이는 어닐링 온도의 증가로 전위가 회복되고 재결정 및 결정립 성장이 진행되어 형상기억특성이 저하된 것으로 사료된다.

그림 10은 Ti-22Zr-6Nb-2Mo-2Sn(at.%) 합금의 어닐링 온도 별 EBSD 측정 사진이다.

어닐링 온도가 감소함에 따라 결정립 크기가 감소하였으며, 상대적으로 많은 결정립들이 <110> 방위로 배열되어 있음을 확인하였다. 그림 10 결과에 따른 역극점도를 그림 11에 나타내었다.

<110> texture 강도는 650°C 및 700°C 1 hr 어닐링재에서 최댓값을 나타내었고, 해당 어닐링 온도에서 <110> β 방향이 압연방향과 우선적으로 평행하게 정렬됨을 알 수 있었다. 이후 어닐링 온도가 증가함에 따라 <110> texture 강도는 감소하였다. 결과적으로 어닐링 온도 별 <110> texture 강도와 ε T o t max 을 함께 비교해보았을 때, ε T o t max 은 압연 방향의 <110> texture 강도 의존성을 가지며 이러한 집합 조직으로 인해 양호한 형상기억특성을 나타낸다고 사료된다.

4. 결 론

생체용 Ti-(14-22)Zr-Nb-Mo-Sn(at.%) 합금의 Zr 조성 및 어닐링 조건이 형상기억특성 및 texture에 미치는 영향을 조사하여 다음과 같은 결론을 얻었다.

1. Ti-(14-22)Zr-6Nb-2Mo-2Sn(at.%) 합금은 실온에서 안정한 형상기억 및 초탄성특성을 나타내었다.

2. Zr 함량이 증가함에 따라 ε S E max ε T o t max 은 증가하여 Ti-22Zr-6Nb-2Mo-2Sn(at.%) 합금의 700°C 1 hr 어닐링재에서 각각 4.92%, 5.62%의 최댓값을 나타내었다. 이는 Zr의 첨가가 변태온도를 감소시키고 변태변형률을 증가시키는데 효과적인 방법임을 의미한다.

3. Ti-22Zr-6Nb-2Mo-2Sn(at.%) 합금의 어닐링 조건에 따른 형상기억특성 조사 결과, ε S E max , ε T o t max σS은 어닐링 온도가 감소함에 따라 증가하여 650°C 1 hr 어닐링재에서 각각 4.87%, 5.83%, 592 MPa의 최댓값을 나타내었다.

4. Ti-22Zr-6Nb-2Mo-2Sn(at.%) 합금의 {001}β<110>β texture 강도는 650°C 1hr 어닐링재에서 최댓값을 나타내었다. 650°C 1 hr 어닐링재에서 나타난 높은 ε S E max ε T o t max 은 잘 발달된 {001}β<110>β 재결정 texture에 의한 것으로 사료된다.

REFERENCES

1 
Kim W. S., Kim N. Y., Kim J. I., Korean J. Met. Mater,62, 251 (2024)Google Search
2 
Shabalovskaya S., Proceedings of the First International Conference Shape Memory and Superelastic Technologies, 209ASM International (1994)Google Search
3 
Baker C., Metal. Sci. J,5, 92 (1971)Google Search
4 
Kim H. Y., Satoru H., Kim J. I., Hosoda H., Miyazaki S., Mater. Trans,45, 2443 (2004)Google Search
5 
Kim J. I., Kim H. Y., Inamura T., Hosoda H., Miyazak S., I, Mater. Trans,47, 505 (2006)Google Search
6 
Kim J. I., Kim H. Y., Inamura T., Hosoda H., Miyazaki S., Mater. Sci. Eng. A,403, 334 (2005)Google Search
7 
Takahashi E., Sakurai T., Watanabe S., Masahashi N., Hanada S., Mater. Trans,43, 2978 (2002)Google Search
8 
Wang B. L., Zheng Y. F., Zhao L. C., Mater. Sci. Eng. A,486, 146 (2008)Google Search
9 
Kim H. Y., Hashimoto S., Kim J. I., Inamura T., Hosoda H., Miyazaki S., Mater. Sci. Eng. A,417, 120 (2006)Google Search
10 
Kim H. Y., Sasaki T., Okutsu K., Kim J. I., Inamura T., Hosoda H., Miyazaki S., Acta Mater,54, 423 (2006)Google Search
11 
Tahara M., Kim H. Y., Hosoda H., Miyazaki S., Funct. Mater. Lett,2, 79 (2009)Google Search
12 
Al-Zain Y., Kim H. Y., Hosoda H., Nam T. H., Miyazaki S., Acta Mater,58, 4212 (2010)Google Search
13 
Al-Zain Y., Kim H. Y., Koyano T., Hosoda H., Nam T. H, Miyazaki S., Acta Mater,59, 1464 (2011)Google Search
14 
Kim J. I., Kim H. Y., Hosoda H., Miyazaki S., Mater. Trans,46, 852 (2005)Google Search
15 
Fukui Y., Inamura T., Hosoda H., Wakashima K., Miyazaki S., Mater. Trans,45, 1077 (2004)Google Search
16 
Kim H. Y., Fu J., Kim J. I., Miyazaki S., Shap. Mem. Superelasticity,1, 107 (2015)Google Search
17 
Xiong C., Yao L., Yuan B., Qu W., Li Y., Mater. Sci. Eng. A,658, 28 (2016)Google Search
18 
Zhang F., Yu Z., Xiong C., Qu W., Yuan B., Wang Z., Mater. Sci. Eng. A,679, 14 (2017)Google Search
19 
Fu J., Yamamoto A., Kim H. Y., Hosoda H., Miyazaki S., Acta Biomater,17, 56 (2015)Google Search
20 
Wei L. S., Kim H. Y., Koyano T., Miyazaki S., Scripta Mater,123, 53 (2016)Google Search
21 
Kuroda P. A. B., Buzalaf M. A. R., Grandini C. R., Mater. Sci. Eng. C,67, 511 (2016)Google Search
22 
Miyazaki S., Shap. Mem. Superelasticity,3, 279 (2017)Google Search

Figures

Fig. 1.

Stress-Strain curves obtained by repeated loading to the maximum strain of 4% followed by unloading for Ti-(14~22)Zr-6Nb-2Mo-2Sn alloys annealed at 700°C for 1 hr.

../../Resources/kim/KJMM.2024.62/kjmm-2024-62-12-989f1.jpg
Fig. 2.

XRD profiles of Ti-(14~22)Zr-6Nb-2Mo-2Sn alloys.

../../Resources/kim/KJMM.2024.62/kjmm-2024-62-12-989f2.jpg
Fig. 3.

Stress-Strain curves obtained by cyclic loading-unloading tensile test for Ti-22Zr-6Nb-2Mo-2Sn alloy annealed at 700? for 1 hr.

../../Resources/kim/KJMM.2024.62/kjmm-2024-62-12-989f3.jpg
Fig. 4.

Plastic strain (εP), total recovery strain (εTot) and superelastic recovery strain (εSE) plotted against tensile stress for Ti-22Zr-6Nb-2Mo-2Sn alloy annealed at 700°C for 1 hr.

../../Resources/kim/KJMM.2024.62/kjmm-2024-62-12-989f4.jpg
Fig. 5.

Annealing temperature dependence of (a) critical stress for slip (σS), (b) maximum superelastic recovery strain ( ε S E max ) and maximum total recovery strain ( ε S E max ) for Ti-(14~22)Zr-6Nb-2Mo-2Sn alloys annealed at 700°C for 1 hr.

../../Resources/kim/KJMM.2024.62/kjmm-2024-62-12-989f5.jpg
Fig. 6.

Stress-Strain curves obtained by repeated loading to the maximum strain of 4% followed by unloading for Ti-22Zr-6Nb-2Mo-2Sn alloys annealed at temperatures between 650°C and 900°C.

../../Resources/kim/KJMM.2024.62/kjmm-2024-62-12-989f6.jpg
Fig. 7.

XRD profiles measured at room temperature for Ti-22Zr-6Nb-2Mo-2Sn alloys annealed at temperatures between 650°C and 900°C.

../../Resources/kim/KJMM.2024.62/kjmm-2024-62-12-989f7.jpg
Fig. 8.

Annealing temperature dependence of stress hysteresis (△σ).

../../Resources/kim/KJMM.2024.62/kjmm-2024-62-12-989f8.jpg
Fig. 9.

Annealing temperature dependence of (a) critical stress for slip (σS), (b) maximum superelastic recovery strain ( ε S E max ) and maximum total recovery strain ( ε T o t max ) for Ti-22Zr-6Nb-2Mo-2Sn alloys annealed at temperatures between 650°C and 900°C.

../../Resources/kim/KJMM.2024.62/kjmm-2024-62-12-989f9.jpg
Fig. 10.

EBSD micrographs for Ti-22Zr-6Nb-2Mo-2Sn alloys annealed at temperatures between 650°C and 900°C.

../../Resources/kim/KJMM.2024.62/kjmm-2024-62-12-989f10.jpg
Fig. 11.

Inverse pole figures of the rolling direction Ti-22Zr-6Nb-2Mo-2Sn alloys annealed at temperatures between 650°C and 900°C.

../../Resources/kim/KJMM.2024.62/kjmm-2024-62-12-989f11.jpg