The Journal of
the Korean Journal of Metals and Materials

The Journal of
the Korean Journal of Metals and Materials

Monthly
  • pISSN : 1738-8228
  • eISSN : 2288-8241

Editorial Office





Austenitic stainless steel, Vacuum hot pressing, Ball milling, zirconia, Transmission electron microscopy, Vickers hardness

1. INTRODUCTION

Austenitic stainless steels (ASSs) are an excellent choice to fulfill the requirement of stainless steel that can resist corrosion. Numerous fields employ ASSs, including applications involving chemicals, petrochemicals, nuclear power, oceanography, and biomedical implants[1,2]. In particular, ASS 316 has excellent resistance to oxidation and corrosion, but its modest strength limits its practical utilization[3]. Substructure modification, which requires the addition of oxide particles to steels or severe plastic deformation, can increase the strength of ASS 316[4]. Furthermore, the finely distributed oxide particles that serve as obstacles to dislocation motion can be utilized to obstruct the dislocation[57]. Oxide dispersion-strengthened (ODS) alloys are a relatively new category of materials offer with high-temperature characteristics. Nuclear fission and fusion reactors as well as ultra-supercritical steam turbines are the primary application fields for ODS alloys within the nuclear industry[8]. Numerous studied on ODS ASSs produced by Y2O3 and Ti dispersion have been reported[917]. In recent decades, there has been rising interest research on alternative dispersoids for ODS steels. Among the dispersoids that have been investigated, La2O3, CeO2, MgO2, and ZrO2 have been utilized, and encouraging outcomes have been reported[1820].

K.G. Raghavendra et al.[5] synthesized 9Cr ferritic steel with ZrO2 dispersion and examined its milled-powder behavior and heat-treatment conditions after annealing an the axially pressed milled powder into 10-mm-diameter pellets. After optimal milling for 100 h, the authors observed that a thermally stable phase emerged with the addition of 0.35 wt.% of monoclinic ZrO2 to 9Cr ferritic steel. It is believed that 9Cr ferritic steel may achieve high-temperature strength using ZrO2 dispersoids and FeO precipitates, which provide a twofold strengthening factor.

Because the oxide particles in ODS steels are not uniformly distributed throughout the steel matrix, traditional casting processes are not appropriate for their preparation. The ingot surface is surrounded by oxide particles because of the density mismatch between the oxide particles and the steel matrix[21]. Advances in mechanical alloying have seen it become an excellent processing technique for ODS steel preparation that resolves these problems. Mechanical alloying occurs by repeatedly welding and rewelding powder particles because of the rotational movement of the container [22,23]. Various processes, including spark plasma sintering (SPS)[24,25], hot extrusion[26], laser deposition [27], and hot isostatic pressing, are used to consolidate ODS steel particles. Another way to prepare ODS steels in bulk is via vacuum hot-pressing (VHP). In VHP, as in the SPS process, compaction and sintering are performed in one step. Full densification may be accomplished in VHP by subjecting the powder particles to high temperatures and pressures.

In the current study the interaction mechanisms between ZrO2 and ASS 316 are extensively investigated by employing advanced characterization techniques, including transmission electron microscopy (TEM), scanning electron microscopy (SEM) and X-ray diffraction (XRD). Additionally, the microhardness of ASS 316 reinforced with varying weight percentages of ZrO2 is explored, utilizing vacuum hot pressing as a novel consolidation method. VHP offers the dual advantages of achieving full densification through simultaneous application of heat and pressure, while also maintaining a uniform distribution of oxide particles within the steel matrix. The results indicate that ZrO2 dispersion effectively enhances the hardness and strength of ASS 316. The interaction mechanisms, including grain boundary pinning, dislocation blocking by nanoscale oxides, and the potential synergistic effects of ZrO2 with Cr oxides formed during the milling process, collectively contribute to the observed mechanical enhancements.

2. EXPERIMENTAL

2.1. Initial Powders and Alloy Synthesis

Prealloyed 316 austenitic steel powder (purity of 98.9 % and particle size of 7 μm) was used as the matrix (Make: Parshwamani Metals). Partially stabilized zirconia (ZrO2) with a purity of 99.4 % and particle size of 1.2 μm was purchased from Sigma Aldrich. The prepared alloy composition, milling duration, and consolidation temperature are given in Table 1. Mechanical alloying of the 316 austenitic steel powder with ZrO2 (1, 2, and 3 wt.%) was performed in a ball mill (Retsch PM400). Milling was carried out for 30 h, and the rotational speed of the ball mill was kept constant at 300 rpm. Steel balls of 10-mm diameter were used and the ball-to-powder weight ratio was 10:1. Toluene was used as the process control agent during the milling to prevent cold welding of particles. The ZrO2-dispersed ASS316 steel powders were combined in a VHP furnace (VB Ceramic Consultancy, India) with varying weight percentages (0, 1, 2, and 3 wt.%). Sintering was performed at 1100°C for 30 min while maintaining the peak temperature for all the mechanically alloyed powders. All the samples were subjected to a pressure of 35 MPa and a heating rate of 30°C/min while they were sintered in the VHP. A graphite die with an inner diameter of 20 mm was used for sintering.

2.2. Microstructural, Physical and Mechanical Characterization

The phase evolution and particle morphology during the milling were observed using XRD and SEM. XRD characterization was performed using a PANAlytical X’Pert with Cu Kα radiation (λ = 0.154 nm). XRD measurements were carried out for 20°–90° with a step size of 0.02° and a scan rate of 1 s per step. The XRD patterns were indexed and analyzed using X’Pert HighScore Plus software. SEM and energy-dispersive X-ray spectroscopy (EDS) characterizations of the milled powder and sintered pellets were performed by using SEM (JSM-7900F JEOL, Japan). A high-resolution TEM (HR-TEM) analysis of the milled powder was conducted using a JEM-2100F (JEOL, Japan). The hardness behavior of the sintered alloys was studied under a load of 200 gf for 15 seconds using a micro-Vickers hardness tester (HM-200 Mitutoyo, Japan). The density of the sintered alloys was measured based on Archimedes' principle, using distilled water as the immersion medium. The samples were mechanically ground and polished to attain a mirror-like surface finish . An electronic balance with a precision of 0.0001 g was employed to record the initial weight of each sample. The theoretical density was determined through the rule-of-mixtures as shown in eq. (1).

(1)
d c = d m × V m × d f + V f

Here, dc, dm, and df denote the densities of the composite, dispersed phase, and matrix, respectively, while Vm, and Vf are the volume fractions of the matrix and dispersed phase.

3. RESULTS AND DISCUSSION

3.1. Powder Characterization

The powder was characterized using SEM upon being received. According to the scanning electron micrographs, the average size of the particles in the ASS 316 powder was approximately 6.56 μm, whereas in the ZrO2 powder it was 1.17 μm. Fig 1(a–d) present SEM images together with the pertinent particle size distribution. In contrast to the polygonal aggregate morphology seen in the ZrO2 powder particles (Fig 1 (c)), a rounded/irregular shape of ASS 316 particles (Fig 1 (a)) is prominent. Particle size was estimated using ImageJ (open-source image processing software developed at the National Institutes of Health). The dissemination histogram of supported particle sizes is shown in Fig 1(b, d).

3.1.1. XRD Analysis of the Powder

Fig 2(a) provides the XRD patterns of the as-received ASS 316 powder and 1 wt.% ZrO2 dispersed ASS 316 at various milling durations. In the as-received ASS 316 powder, γ-Fe peaks are clearly visible. Moreover, when 1 wt.% ZrO2 was added, the ZrO2 peak could be observed at 2θ = 31.431°. The presence of cubic stabilizers such as Y2O3, MgO, and CeO2 has been shown to stabilize the cubic structure of ZrO2 at room temperature[28, 29]. A noticeable peak of ZrO2 is visible in the diffraction pattern of alloy A1 after 10 min of milling as illustrated in Fig 2 (a). With the Fm3m space group, the cubic crystal structure with PDF # card 89-9069 was identified for this peak. The ZrO2 peak reflection decreased after 10 h of milling, and after increasing the milling duration to 30 h, the peak related to ZrO2 disappeared. The XRD pattern showed a declining peak for ZrO2, possibly because ZrO2 dissociated during milling. Dissociation of oxide particles during milling has also been reported previously[30]. ASS 316 elementals can also react with dissociated ZrO2 to produce intermetallic compounds or Zr-rich precipitates. In contrast to alloy A1, the ZrO2 peaks in the XRD patterns seen in Fig 2 (b) became more noticeable after 10 min of milling in the alloy system A2. However, additional Zr phase diffraction patterns became apparent in this alloy system following 30 h of milling. With a cubic crystal structure belonging to the space group Fd-3m, the peak was identified as Fe1.2Ni0.8Zr1 (PDF# card 98-3578). Fig 2 (c) shows that after 30 h of milling, the Zr phase grew to be more prominent in alloy A3. The d-spacing value of the Zr phase obtained from the XRD analysis was 2.478 Å corresponding to the (220) plane.

The Debye–Scherrer equation and the Williamson–Hall approach[31] were used to estimate the crystallite size and lattice strain of the milled powders after removing instrumental broadening represented by equations (2) and (3), respectively. Fig 3 shows the fluctuation of these parameters with milling time for alloys A1, A2, and A3.

(2)
D = 0.94 λ β cos θ
(3)
β cos θ = 0.94 λ D + 4 ε sin θ

where symbols have their standard meanings

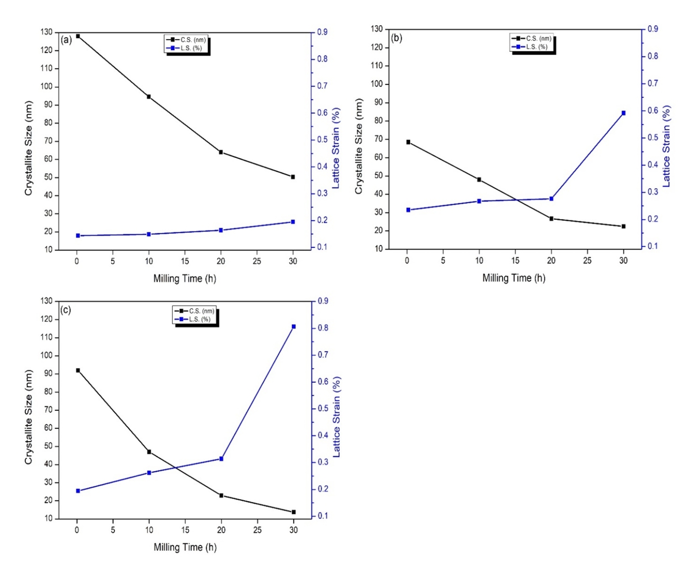
Fig 3(a) shows that the addition of 1 wt.% ZrO2 to ASS 316 during 30 h of MA reduced the crystallite size from 128 to 50.4 nm. In addition, there was an even greater decrease in crystallite size after milling when the ZrO2 content was increased to 2%. One possible explanation for this is that the high hardness of the oxide particles facilitates powder fracturing. When the ZrO2 concentration was increased to 3 wt.%, the crystallite size decreased sharply from 92 to 13.7 nm (10 min to 30 h correspondingly) and the lattice strain value increased from 0.194% to 0.807% as shown in Fig 3(c).

3.1.2. Scanning Electron Micrography of the Milled Powder

Fig 4(a–f) depict scanning electron micrographs of the milled powder for alloys A1, A2, and A3. These images show the powder particle shape and size after 10 min and 30 h of milling. Fig 4(a) displays a micrograph of alloy A1 after 10 minutes of milling, revealing very large and irregularly shaped particles. Fig 4(b) shows that the particles became more uniform after 30 h of milling. Similar observations were made for the alloy systems A2 and A3. Histograms of particle size are shown in Fig 5(a–f), which corresponds to Fig 4(a–f). The addition of ZrO2 to ASS 316 also caused work hardening and deformation, which resulted in a smaller particle size as seen in Figs 5(a–f). Initially, after 10 min of milling, the particle size of alloy A1 was 8.2 ± 1.6 μm. After 30 h of milling, the particle size decreased to 7.3 ± 1.8 μm. The estimated particle size of alloy A2 after 30 h of milling was 6.8 ± 1.5 μm, while it was 7.2 ± 1.9 μm after 10 min. Similarly, the particle size of alloy A3 was 7.5 ± and 3.3 ± 0.9 μm after 10 min and after 30 h of milling, respectively. It is evident from Fig 4 that for alloy A2, the particle size did not change significantly compared to alloys A1 and A3. Note that the particle size analysis was conducted using the average size of 80 particles, ensuring statistical reliability.

3.1.3. Transmission Electron Micrography of the Milled Powder

TEM and HR-TEM images of alloy A3 after 30 h of milling are shown in Fig 6(a–c). The region near the lattice fringe displayed in Fig 6(b) is represented by the selected area diffraction pattern (SAD) in Fig 6(a). The obtained ring pattern further confirms that the alloy is polycrystalline. The rings are associated with the (111), (200), and (220) planes. Fig 6(b) displays the HR-TEM lattice fringe, where the interplanar spacing is 2.565 Å corresponding to the (220) plane. This is comparable with the d-spacing value of the Zr-rich phase as determined by the XRD study. This indicates that the Zr phase exists in the ASS 316 matrix. Fig 6(c) presents a bright-field image of alloy A3 after 30 h of milling.

3.2. XRD Analysis of Vacuum Hot-Pressed Samples

As seen in Fig 7, the XRD peaks in the VHP samples show an overall reduction in peak width (FWHM). In the sintering process, the lattice strain was released, resulting in a decrease of the FWHM[32]. The Zr phase is readily noticeable in the XRD patterns of alloys A1, A2, and A3 after sintering. In addition to the FCC and Zr phases, all four alloy systems showed additional peaks of Cr-O. For each of the four alloys, the Cr-O peak was located at 2θ = 40.36° and 44.87°. Chromium oxide forms when chromium reacts with oxygen due to its strong affinity for it[33]. Additionally, as demonstrated in Fig 7, the peak corresponding to the Zr phase becomes more noticeable as the ZrO2 content in the sample increases. Specifically, when comparing alloys A1 and A2, the peak intensities of alloy A3 are noticeably higher. The results indicate that the Fe1.2Ni0.8Zr1 intermetallic formation is improved with an increase in ZrO2 nanoparticles. As seen in Fig 7, alloy A3 demonstrates a distinct shift of the diffraction peak of the Fe1.2Ni0.8Zr1 intermetallic towards lower angles when contrasted with alloys A1 and A2. This change is because the intermetallic phase lattice parameter expanded as a result of lattice distortion brought about by the ZrO2 enrichment.

3.2.1. SEM Analysis of Vacuum Hot-Pressed Samples

SEM images of alloys A0, A1, A2, and A3 after the VHP are displayed in Figs 8(a–d). Phase identification has been accomplished using Energy Dispersive X-ray Spectroscopy (EDS) results. Fig 8(a) shows that the alloy A0 has FCC phase along with Cr oxide. In the base ASS 316 shown in Fig 8(a), a homogeneous distribution of fine, equiaxed grains is observed. The base FCC matrix is represented by the light gray phase in Fig 8(a), whereas the Cr-oxide phase is indicated by the dark gray phase. Furthermore, the black spots show the porosity created during the sintering process. With the introduction of 1 wt.% ZrO2 Fig 8(b), the grain structure remains largely unchanged, suggesting limited ZrO2 dispersion. However, at 2 wt.% ZrO2 in Fig 8(c), discrete ZrO2 particles are evident, appearing as brighter phases within the matrix. Interestingly, at 3 wt.% ZrO2, it is observed in Fig 8(d) that the morphology of the ZrO2 particles, which are white in color, has transitioned to a more elongated, acicular structure. This indicates a potential interaction between ZrO2 and the matrix during solidification. The corresponding EDS analysis confirms the presence of ZrO2 in the modified alloys. Overall, the SEM images demonstrate that ZrO2 addition to ASS 316 leads to a gradual refinement of the microstructure and the formation of a Zr-rich phase. Furthermore, the microstructural analysis presented in Fig 8 demonstrates a notable reduction in porosity with the incorporation and increase of ZrO2 content. In Fig 8(c, d), the white ZrO2 particles are visibly dispersed within the FCC matrix, contributing to densification by filling voids and minimizing the overall porosity in the alloy. The black regions, indicative of porosity, are more prominent in Fig 8(a, b), where ZrO2 content is lower or absent. As the ZrO2 content increases, these particles likely act as nucleation sites, promoting better packing and reducing the volume fraction of pores during the alloy sintering process.

Fig 9 presents the EDS mapping results. With increasing ZrO2 content, Zr-rich regions become more prominent. These regions are associated with the ZrO2 particles or the formation of precipitates. The distribution of Cr and O elements appears to be altered in the vicinity of these Zr-rich zones, suggesting segregation of elemental Cr near the austenitic grain boundary. The white particles observed in the backscattered electron (BSE) images (A0–A3) of the samples containing ZrO2 appear to represent regions with distinct elemental compositions, as confirmed by the elemental mapping. These particles are rich in zirconium (Zr) and oxygen (O), as shown in the corresponding elemental maps, indicating they likely correspond to ZrO2 phases. Their brighter appearance in the mapping images suggests a higher atomic number contrast relative to the surrounding matrix, possibly due to the presence of denser or more crystalline ZrO2 regions. Moreover, the presence of white particles in alloy A2 indicates a significant contrast between Zr and C, together with a small amount of oxygen. During alloy production, ZrC can be formed due to the strong affinity of Zr and C, particularly in reducing environments or with enough carbon present. In both Fig 8 and Fig 9, the white particles are confirmed to be ZrO2. The EDS mapping in Fig 9 (for alloys A2 and A3) shows a strong overlap of zirconium and oxygen in the regions corresponding to the white particles, which aligns with the identification of ZrO2. While the distribution of Zr and O might vary slightly due to phase boundaries or matrix effects, the combined elemental maps consistently indicate that the white particles represent ZrO2 across alloys A1, A2 and A3.

3.2.2. Density, Porosity and Microhardness of Vacuum Hot-Pressed Samples

Fig 10 displays the alloys theoretical and measured densities. When ZrO2 nanoparticles are added to the alloys, both their theoretical as well as actual densities increased. With a measured density of 7.03 g/cm³ and a theoretical density of 7.78 g/cm³, the A0 alloy achieves a relative density of 90.38 %. This indicates that the alloy density is close to the predicted level, but that gas entrapment or porosity reduced its actual density. When 3% ZrO2 is added to ASS 316, the measured density is 7.724 g/cm³, whereas the theoretical density is 7.94 g/cm³. This alloy has a relative density that is 97.2% higher than the average value. The ZrO2 particles may be responsible for this phenomenon because they can fill the spaces between the metal powder particles, making the packing process more efficient and decreasing the porosity of the finished alloy.

Fig 11 presents the estimated values of hardness at room temperature for alloys A0, A1, A2, and A3. The results of the experimental study revealed that the hardness values of A0, A1, A2, and A3 are 502.65 ± 7.97, 512.3 ± 9.5, 526.42 ± 6.85, and 642.22 ± 12.22 HV. According to the findings of a previous investigation conducted by K. Saeidi et. al.[34], the hardness of austenitic steel produced through a laser-melting technique was 325 HV, while alloy A3, containing 3 wt.% ZrO2, showed a maximum hardness of 642.22 HV, which is nearly 28% higher than that of ASS 316 without ZrO2. The results of the SEM and XRD analyses further validated that the increase in the hardness value from 502 ± 7.97 to 642 ± 12.22 HV was caused by the chromium oxide and Zr phase present in the alloy A3. Furthermore, alloy A0, which lacks ZrO2 reinforcement, demonstrates a surprisingly high hardness value, suggesting that mechanisms beyond ZrO2 dispersion contribute significantly to the strengthening. One probable rationale is the formation of Cr oxide during the ball milling and sintering processes, as the oxygen introduced during these stages reacts with Cr to form hard oxide particles that act as secondary strengthening phases. Additionally, grain size refinement induced by the mechanical alloying process could play a critical role, as smaller grain sizes enhance strength through the Hall-Petch relationship. These factors, combined with the ZrO2 dispersion in the other alloys, collectively enhance hardness, but the non-negligible contribution of oxide formation and grain refinement must also be considered as dominant strengthening mechanisms in this study.

4. CONCLUSIONS

This study investigated the synthesis of ZrO2-dispersed ASS 316 alloy powder by ball milling followed by further consolidation by vacuum hot-pressing. After 30 hours of milling, alloys with 2 and 3 wt.% ZrO2 exhibited additional Zr phase diffraction patterns alongside the FCC phase. The identified peak, Fe1.2Ni0.8Zr1 (PDF# card 98-3578), has a cubic crystal structure with a d-spacing value of 2.478 Å. This Zr phase likely formed due to interactions between nanocrystalline ZrO2 and ASS 316. The particle sizes of the alloys decreased with increased ZrO2 content. The reduction in particle size is attributed to the addition of ZrO2, which facilitate particle fragmentation. TEM analysis of alloy A3 showed an interplanar spacing of 2.565 Å for the (220) plane, which closely matches the d-spacing of the Zr-rich phase identified in the XRD study. Following the VHP of alloy powder, Cr-O peaks were observed at 2θ = 40.36° and 44.87°, along with FCC and Zr phases. Alloy A3, containing 3 wt.% ZrO2, achieved the highest hardness of 642.22 HV, approximately 28% higher than ASS 316 without ZrO2.

Notes

[1] ACKNOWLEDGEMENT

This work was supported by the National Research Foundation of Korea (NRF) grant funded by the Korean government (MSIT) (2021R1A2C1005478).

REFERENCES

1 
Sun G., Du L., Hu J., Zhang B., Misra R.D.K., Mater. Sci. Eng. A,746, 341 (2019)Google Search
2 
Pachla W., Skiba J., Kulczyk M., Przybysz S., Przybysz M., Wróblewska M., Diduszko R., Stepniak R., Bajorek J., Radomski M., Fafara W., Mater. Sci. Eng. A,615, 116 (2014)Google Search
3 
Chen X.H., Lu J., Lu L., Lu K., Scr. Mater,52, 1039 (2005)Google Search
4 
Singh R., Goel S., Verma R., Jayaganthan R., Kumar A., IOP Conf. Ser. Mater. Sci. Eng,330, 012017 (2018)Google Search
5 
Raghavendra K.G., Dasgupta A., Ghosh C., Jayasankar K., Srihari V., Saroja S., Powder Technol,327, 267 (2018)Google Search
6 
Karak S.K., Chudoba T., Witczak Z., Lojkowski W., Manna I., Mater. Sci. Eng. A,528, 7475 (2011)Google Search
7 
Lee E. S., Heo Y. J., Kim J. Y., Lee Y.-I., Suk M.-J., Oh S.-T., Korean J. Met. Mater,61, 170 (2023)Google Search
8 
Unocic K.A., Hoelzer D.T., J. Nucl. Mater,479, 357 (2016)Google Search
9 
Miao Y., Mo K., Zhou Z., Liu X., Lan K.C., Zhang G., Miller M.K., Powers K.A., Almer J., Stubbins J.F., Mater. Sci. Eng. A,625, 146 (2015)Google Search
10 
Phaniraj M.P., Kim D.I., Shim J.H., Cho Y.W., Acta Mater,57, 1856 (2009)Google Search
11 
Susila P., Sturm D., Heilmaier M., Murty B.S., Subramanya Sarma V., J. Mater. Sci,45, 4858 (2010)Google Search
12 
Kim T.K., Bae C.S., Kim D.H., Jang J., Kim S.H., Lee C.B., Hahn D., Nucl. Eng. Technol,40, 305 (2008)Google Search
13 
Wang M., Sun H., Zou L., Zhang G., Li S., Zhou Z., Powder Technol,272, 309 (2015)Google Search
14 
Zhou Z., Yang S., Chen W., Liao L., Xu Y., J. Nucl. Mater,428, 31 (2012)Google Search
15 
Miao Y., Mo K., Zhou Z., Liu X., Lan K.C., Zhang G., Miller M.K., Powers K.A., Mei Z.G., Park J.S., Almer J., Stubbins J.F., Mater. Sci. Eng. A,639, 585 (2015)Google Search
16 
Zhang H.K., Yao Z., Zhou Z., Wang M., Kaitasov O., Daymond M.R., J. Nucl. Mater,455, 242 (2014)Google Search
17 
Oka H., Watanabe M., Ohnuki S., Hashimoto N., Yamashita S., Ohtsuka S., J. Nucl. Mater,447, 248 (2014)Google Search
18 
Pasebani S., Charit I., Wu Y.Q., Butt D.P., Cole J.I., Acta Mater,61, 5605 (2013)Google Search
19 
Raghavendra K.G., Dasgupta A., Bhaskar P., Jayasankar K., Athreya C.N., Panda P., Saroja S., Subramanya Sarma V., Ramaseshan R., Powder Technol,287, 190 (2016)Google Search
20 
Hoffmann J., Rieth M., Lindau R., Klimenkov M., Möslang A., Sandim H.R.Z., J. Nucl. Mater,442, 444 (2013)Google Search
21 
Oke S.R., Ige O.O., Falodun O.E., Okoro A.M., Mphahlele M.R., Olubambi P.A., Int. J. Adv. Manuf. Technol,102, 3271 (2019)Google Search
22 
Dewangan S.K., Kumar D., Samal S., Kumar V., J. Mater. Eng. Perform,30, 4421 (2021)Google Search
23 
Park B.-S., Lee J.-H., Park J.-C., Hong S.K., Park H-K., Korean J. Met. Mater,62, 163 (2024)Google Search
24 
Zhou X., Ma Z., Yu L., Huang Y., Li H., Liu Y., Met. Mater. Int,25, 168 (2019)Google Search
25 
Kumar A., Jayabalan B., Singh C., Jain J., Mukherjee S., Biswas K., Singh S.S., Met. Mater. Int,29, 1067 (2023)Google Search
26 
Kim I.S., Choi B.Y., Met. Mater. Int,8, 265 (2002)Google Search
27 
Euh K., Arkhurst B., Kim I.H., Kim H.G., Kim J.H., Met. Mater. Int,23, 1063 (2017)Google Search
28 
Xia X., Oldman R., Catlow R., Chem. Mater,21, 3576 (2009)Google Search
29 
Gupta T.K., Bechtold J.H., Kuznicki R.C., Cadoff L.H., Rossing B.R., J. Mater. Sci,12, 2421 (1977)Google Search
30 
Karak S.K., Dutta Majumdar J., Witczak Z., Lojkowski W., Manna I., Mater. Sci. Eng. A,580, 231 (2013)Google Search
31 
Rao K.R., Dewangan S.K., Seikh A.H., Sinha S.K., Ahn B., Met. Mater. Int,30, 726 (2024)Google Search
32 
Zhenhua Y., Weihao X., Bin H., Qingqing Y., Jiang J., J. Nucl. Mater,461, 95 (2015)Google Search
33 
Patel B., Inam F., Reece M.J., Edirisinghe M., Bonfield W., Huang J., Angadji A., Adv. Eng. Mater,13, 411 (2011)Google Search
34 
Saeidi K., Gao X., Zhong Y., Shen Z.J., Mater. Sci. Eng. A,625, 221 (2015)Google Search

Figures and Table

Fig. 1.

(a) SEM image showcasing the morphology and surface characteristics of as-received ASS 316 powder, (b) particle size distribution analysis of ASS 316 powder, (c) SEM image highlighting the microstructure and features of as-received ZrO2 powder, and (d) particle size distribution of ZrO2 powder, illustrating its granular size dispersion and distribution profile.

../../Resources/kim/KJMM.2025.63/kjmm-2025-63-3-186f1.jpg
Fig. 2.

XRD patterns showing the phase evolution and crystallographic changes in alloys with varying milling durations: (a) Alloy A1, (b) Alloy A2, and (c) Alloy A3.

../../Resources/kim/KJMM.2025.63/kjmm-2025-63-3-186f2.jpg
Fig. 3.

Plots illustrating the variations in crystallite size and lattice strain of alloys as a function of milling duration: (a) Alloy A1 (b) Alloy A2, and (c) Alloy A3.

../../Resources/kim/KJMM.2025.63/kjmm-2025-63-3-186f3.jpg
Fig. 4.

Scanning electron micrographs (SEMs) depicting the microstructural evolution of ASS 316 alloy samples dispersed with ZrO2 particles under varying mechanical milling durations: (a) alloy A1, 10 min; (b) alloy A1, 30 h; (c) alloy A2, 10 min; (d) alloy A2, 30 h; (e) alloy A3, 10 min; and (f) alloy A3, 30 h.

../../Resources/kim/KJMM.2025.63/kjmm-2025-63-3-186f4.jpg
Fig. 5.

Particle size distribution histograms for ASS 316 alloy samples dispersed with ZrO2 particles, illustrating the influence of varying mechanical milling durations on particle size refinement and distribution. (a) alloy A1, 10 min; (b) alloy A1, 30 h; (c) alloy A2, 10 min; (d) alloy A2, 30 h; (e) alloy A3, 10 min; and (f) alloy A3, 30 h.

../../Resources/kim/KJMM.2025.63/kjmm-2025-63-3-186f5.jpg
Fig. 6.

Microstructural analysis of Alloy A3 after 30 hours of mechanical milling using advanced transmission electron microscopy: (a) SAD pattern corresponding to the HR-TEM illustration, (b) HR-TEM image of alloy A3 after 30 h, and (c) scattered particle observed in the brightfield image.

../../Resources/kim/KJMM.2025.63/kjmm-2025-63-3-186f6.jpg
Fig. 7.

XRD patterns for the vacuum hot-pressed samples of alloys A0, A1, A2, and A3, illustrating the crystallographic structure and phase evolution across different alloy compositions

../../Resources/kim/KJMM.2025.63/kjmm-2025-63-3-186f7.jpg
Fig. 8.

SEM images showcasing the microstructures of alloys (a) A0, (b) A1, (c) A2, and (d) A3 emphasizing the impact of ZrO2 dispersion on the surface morphology and microstructural characteristics

../../Resources/kim/KJMM.2025.63/kjmm-2025-63-3-186f8.jpg
Fig. 9.

EDS elemental mapping of the major constituent elements in alloys A0, A1, A2, and A3, illustrating the spatial distribution and interaction of key elements within the alloy matrix

../../Resources/kim/KJMM.2025.63/kjmm-2025-63-3-186f9.jpg
Fig. 10.

Comparison of theoretical and measured densities of alloys A0, A1, A2, and A3, illustrating the influence of ZrO2 dispersion on the density of the alloys

../../Resources/kim/KJMM.2025.63/kjmm-2025-63-3-186f10.jpg
Fig. 11.

Vickers hardness measurements for alloys A0, A1, A2, and A3, highlighting the effect of ZrO2 dispersion on the microhardness of the alloys

../../Resources/kim/KJMM.2025.63/kjmm-2025-63-3-186f11.jpg
Table 1.

The milling time, the temperature at which the alloy is consolidated, and the alloy compositions.

Alloys Alloy Compositions Milling Time (h) Sintering Temperature (°C)
A0 ASS 316 - 1100
A1 ASS 316 + 1 wt.% ZrO2 30 1100
A2 ASS 316 + 2 wt.% ZrO2 30 1100
A3 ASS 316 + 3 wt.% ZrO2 30 1100