The Journal of
the Korean Journal of Metals and Materials

The Journal of
the Korean Journal of Metals and Materials

Monthly
  • pISSN : 1738-8228
  • eISSN : 2288-8241

Editorial Office


  1. 인하대학교 제조혁신전문대학원 첨단소재공정공학과 (Department of Advanced Materials Processing and Engineering, Inha Manufacturing Innovation School, Incheon 21999, Republic of Korea)



Aluminum alloy, Strengthening, Precipitates, Pre-strain, Microstructure

1. 서 론

항공용 구조 소재는 비행시 발생하는 진동이나 기체의 하중을 견디기 위해서 높은 항복 강도가 요구된다. 그러나 강도를 위해 무거운 소재를 사용하거나 많은 양의 소재를 사용할 경우 기체의 무게가 증가하며, 이는 연료의 소모량 증가를 야기한다. 따라서 높은 항복 강도를 가짐에도 무게 가 가벼운 소재가 필요하다. 이를 만족하는 항공용 금속 소재는 Al, Ti, Ni 합금 등이 있으며, 특히 Al은 준수한 물성과 낮은 비중으로 인한 가벼운 무게로 인해 항공용 구조재로 사용되어 왔다. 또한 비교적 가격이 저렴하기 때문에 2000년대 이후 항공 산업계의 주요 이슈인 경제성 측면에서도 유효한 소재이다.

2xxx계 합금은 Al에 Cu와 Mg 및 기타 원소를 첨가한 합금이며, 시효 처리를 통한 석출 강화가 가능한 합금이다. 이를 통해 고온에서 충분한 가공성을 확보하고 시효를 통한 추가적인 물성 향상을 통해 사용 환경에서의 필요 강도를 만족시킬 수 있다. 소재의 추가적인 강화를 통해 물성을 향상시킨다면 필요 강도를 만족시키기 위해 요구되는 소재의 양을 줄임으로써 경량화에 기여할 수도 있다. 이로 인해 소재의 물성 향상을 위한 연구는 과거부터 최근까지도 계속해서 진행되고 있다.

과거에는 단순한 알루미늄 합금에서 시효 강화 효과의 향상을 위해 초음파를 통한 시효나 석출물 형성 거동에 대한 연구가 진행되었다[1-3]. 최근에는 더 복잡한 알루미늄 합금에서 석출 메커니즘의 규명을 위한 연구가 진행되고 있다. 특히 합금 조성뿐 아니라 가공에 의한 전위나 재결정, 결정립 미세화 등의 현상이 석출과 물성에 미치는 영향에 대한 연구가 활발하게 진행되었다[4-10]. 또한 복잡한 알루미늄 합금에서 관찰되는 석출물 생성 메커니즘과 종류에 대한 연구를 기반으로 냉간 가공이나 열처리와 같은 공정이 석출에 미치는 영향에 대한 연구가 진행되고 있다[11-16]. 전위와 석출물 생성의 상관관계를 규명한 연구 결과는 석출 강화형 알루미늄 합금의 물성을 더욱 향상시킬 방법을 제시한다[17-19]. 기존 연구 결과들에 따르면 전위는 용질 원자의 이동 통로로 작동할 뿐 아니라 높은 에너지로 인해 석출물의 핵생성 사이트로 작동한다. 이로 인해 시효 속도와 석출물의 크기 및 분포에 영향을 준다고 알려져 있다. J.L. García-Hernández 등의 연구에 따르면 소성 변형으로 인한 전위의 분포는 석출상의 크기와 빈도, 부피 분율에 영향을 준다[20]. 해당 연구에서는 변형량이 클수록 석출물의 빈도가 높아지며, 크기가 작아지는 것으로 확인되었다. 반면에 S.P. Ringer 등에 따르면 Al-Cu-Mg 합금에서 6%의 냉간 변형 후 자연 시효시 과도한 전위의 소멸로 인해 공공이 사라지며, 이로 인해 GP zone의 생성이 늦어져 강화 효과가 낮아질 수 있다고 언급하였다[21].

석출 강화의 효과는 시효 조건에 따라서 크게 달라질 수 있다. 따라서 시효 조건이 석출 강화 효과에 미치는 영향에 대한 연구도 활발하게 진행되었다[22-25]. Y.F. Song 등은 Al-Cu-Mg 합금의 2단 시효를 통해 시효 과정에서 소재에 일어나는 현상을 조사하였다[26]. 해당 연구에서 시효 시간이 증가함에 따라 소재가 강화되었다가 열화되는 것을 확인하였다. 또한 시효 단계에서 석출물의 형성 및 전위와 에너지의 해소 등 다양한 안정화 메커니즘이 진행되는 것을 확인하였다.

항공용 알루미늄 합금 구조재는 압출 공정을 통해 생산된다. 압출 공정 중에는 높은 변형률로 인해 소재가 휘어지거나 비틀릴 수 있으며, 잔류 응력이 발생하여 사용 중에 변형을 유발할 수 있다. 이를 해결하기 위해 압출품의 끝단을 당겨 균일 소성 변형을 가함으로써 수치를 교정하고 잔류응력을 해소하는 스트레칭 공정을 진행한다[27,28]. 일반적으로 스트레칭 공정은 탄성 변형 영역을 약간 넘는 정도로 진행하며, 과한 변형은 오히려 잔류 응력을 발생시킬 수 있어 0.5~3% 정도만 진행된다. 그러나 석출 강화형 소재는 시효 과정에서 원자의 확산과 함께 안정화되므로 잔류 응력을 포함한 내부 결함을 회복할 수 있다. 또한 스트레칭 공정의 변형량을 증가시킬 경우, 소재 내부에 전위를 증가시켜 석출 강화 효과의 향상을 기대할 수 있다. 본 연구에서는 스트레칭 공정에서의 변형을 모사할 수 있도록 AA 2026 압출재에 대해 냉간 인장을 통한 사전 변형을 진행하였으며, 변형량이 시효 및 기계적 특성에 미치는 영향을 확인하고자 하였다. 사전 변형 및 시효에 따른 변화를 확인하기 위해 미세 조직 분석 및 물성 평가를 진행하였으며, 이를 기반으로 압출된 AA 2026의 석출 강화 효과를 향상시키기 위한 사전 변형 및 시효 조건을 확보하고자 하였다.

2. 실험 방법

2.1 사용 재료

본 연구에 사용된 소재는 균질화 열처리 후 압출된 AA 2026로 합금 조성은 표 1에 제시하였다. 해당 소재는 Cu/Mg가 약 3으로 S Phase의 생성이 우세하다[20,29]. 따라서 해당 소재의 석출 시퀀스는 다음과 같다.

SSSS → GPB zone → S”/GPB2 → S’ → S

SSSS는 과포화 고용체(Supersaturated solid solution), GPB는 Guinier-Preston-Bagaryatsky에 의해 규명된 Cu 및 Mg의 단거리 배열, S Phase는 Al2CuMg 석출물을 의미한다[30].

실험은 그림 1에 나타낸 것과 같이 용체화 처리 후 냉간 인장을 통한 사전 변형을 진행하고 자연 시효 및 인공 시효를 진행하였다. 시편 형태는 이후 인장 시험을 진행하기 위해 ASTM E8/E8M의 Subsize Specimen 규격으로 가공하였다. 용체화 처리는 500°C에서 4 hr동안 진행하였으며 상온의 물에 수냉하였다. 사전 변형은 용체화 처리 직후 AGS-X 장비를 통해 상온에서 진행되었다. 변형량은 인장 시편의 게이지 길이로부터 각각 0%, 3%, 5%, 10%로 설정하였다. 0%를 기준으로 3%는 일반적인 스트레칭 공정의 변형량, 5%와 10%는 소성 변형의 영향을 확인하기 위해 설정하였다. 변형 속도의 영향을 최소화하기 위해 1 mm/min의 속도로 고정하여 진행하였다. 시효 조건의 경우 문헌 조사와 사전 실험을 통해 결정하였다. 자연 시효는 상온에서 168 hr 이내에 시효가 완료되는 것으로 알려져 있기 때문에 이를 기준으로 상온에서 168 hr 이상 시효 처리하였다[31]. 그림 2는 압출된 AA 2026 소재의 인공 시효 조건을 확인하기 위해 진행된 사전 실험 결과이다. 용체화 처리된 AA 2026 압출재를 190°C에서 32 hr까지 시효 처리하며 경도를 측정하였다. 경도 측정은 마이크로 경도기(HMV-G 21ST)를 통해 진행하였으며, 19.61N의 힘으로 10초 동안 유지하여 각 12회 측정하였다. 해당 결과에서는 8 hr 시효시 최적 시효가 되는 것으로 확인되었다. 본 연구에서는 전위에 의한 시효 가속 효과를 확인하기 위해 아시효 단계에 해당하는 4 hr과 최적 시효 시간인 8 hr에 대한 인공 시효를 각각 진행하였다.

2.2 분석 방법

변형 후 또는 시효 처리 후 소재에 대한 각 분석을 상온에서 진행하였다. 각 조건에서 변형 및 시효에 따른 전위 밀도의 분석을 위해 X-선 회절분석기(XRD, Pro MRD)를 통한 전위밀도 계산을 진행하였다. 소재의 기계적 특성 확인을 위해서 재료시험기(AGS-X)를 통해 1mm/min의 속도로 냉간 인장 시험을 3회씩 진행하였다. 시편 규격은 ASTM E8/E8M의 Subsize Specimen를 참고하였다. 사전 변형이 시효에 미친 영향과 기계적 특성 변화의 원인을 규명하기 위해 투과전자현미경(TEM, Transmission Electron Microscope, JEM-F200)과 HR-TEM(JEM-ARM200F) 을 통한 미세 조직 분석을 진행하였으며 미세 석출물의 규명을 위해 EDS(Aztec X-Max) 분석을 진행하였다.

3. 결과 및 고찰

3.1 사전 변형에 따른 특성 변화

3.1.1 사전 변형에 의한 가공 경화

금속은 변형시 소재 내부에 전위가 발생 및 이동한다. 변형량이 증가함에 따라 전위의 양이 많아지며, 결정립계나 석출물 등에 의해 전위의 이동이 방해받을 경우 소재의 변형이 어려워진다. 즉, 변형량이 증가함에 따라 소재의 강도가 증가하는 가공 경화 현상이 발생한다. 그림 3에는 소재가 0%, 3%, 5%, 10%만큼 변형되었을 때의 강도를 Stress-Strain Curve로 나타내었다. 용체화 직후 시편의 항복 강도는 275.9 MPa이며, 변형량이 커짐에 따라 가공 경화가 발생하며 강도가 증가하여 3%, 5%, 10%에서 각각 362.9 MPa, 413.4 MPa, 500.0 MPa까지 도달하였다. 가공 경화에 의해 강화된 소재의 강도는 변형되었을 때 도달한 강도와 같다. 즉 3% 변형될 때의 응력이 362.9 MPa에 도달한 소재는 특별한 연화나 강화 처리를 하지 않고 다시 시험할 경우 362.9 MPa에 해당하는 항복 강도를 가지게 된다. 이는 변형시 가해준 힘을 제거했을 때 소성 변형에 의한 가공 경화 효과는 유지되고 탄성 변형만이 회복되기 때문이다.

3.1.2 사전 변형에 의한 전위 밀도 변화

결정성 소재에 X선이 조사될 경우, X선은 소재의 격자에 의해 회절된다. 이때 격자에 전위와 같은 결함이 있으면 회절각에 영향을 주며, 이를 통해 소재의 결함에 대한 정보를 얻을 수 있다. 사전 변형에 의한 전위 밀도 변화는 XRD 분석을 통해 확인하였다(그림 4(a)). XRD 그래프의 피크를 확인한 결과 모든 변형 조건에서 베이스 메탈인 Al의 피크가 관찰되었으며 S Phase 석출물(Al2CuMg)의 피크는 거의 나타나지 않았다. 이는 용체화 처리로 인해 석출물이 분해되어 Al matrix에 고용되었기 때문이다. XRD 결과에서 주요 Peak인 (111), (200), (220), (222) 면의 피크 위치와 Full Width at Half Maximum(FWHM)를 활용하여 전위 밀도를 계산했다. Sherrer equation과 Bragg’s Law로부터 D(Crystallite size), ε (micro strain), b(Burgers vector)를 얻을 수 있다.

Sherrer equation:

(1)
D = K λ β cos θ
(2)
ε = β 4 tan θ

Bragg’s Law:

(3)
d = n λ 2 sin θ
(4)
a = d h 2 + k 2 + l 2
(5)
b = α 2

이때 K는 형상 계수, λ는 X선의 파장, β는 FWHM, θ는 피크 위치로부터 확인할 수 있는 X선의 입사각이다.

전위 밀도는 다음의 식을 통해 계산할 수 있다[32].

(6)
ρ = 3 2 π ε 2 1 / 2 / D b

계산 결과 변형되지 않은 시편(0%)의 전위 밀도는 1.85×1014/m2로 계산되었으며, 3% 변형시 5.62×1014/m2, 5% 변형시 9.53×1014/m2, 10% 변형시 17.11×1014/m2인 것으로 계산되었다(그림 4(b)).

3.1.3 전위 밀도와 강도의 상관 관계

실험을 통해 측정된 전위 밀도와 강도는 그림 5와 같이 선형 관계를 가졌으며, 이에 근사하여 도출된 해당 소재의 전위 밀도와 항복 강도의 관계식은 다음과 같다.

(7)
σ = 168.7 + 80.1 ρ 1 2

식 7은 전위 밀도와 강도의 선형관계에 대해 근사하여 얻은 경험식이다. 알루미늄 합금의 항복 강도는 소재의 강화 기구에 따른 강도의 합으로도 표현할 수 있다[33,34]. 이는 이론식으로부터 각 강화 기구의 영향을 도출하여 구할 수 있다. 본 연구에서 사용된 AA 2026의 항복 강도는 소재 자체의 강도, 가공 경화에 의한 강도, 용체화 처리에 의한 강도, 석출상에 의한 강도에 의해 결정된다.

우선 가공 경화에 의한 강화 효과는 전위 밀도를 통해 구할 수 있다. 일반적으로 변형에 의한 전위 밀도의 변화와 항복 강도의 상관 관계는 Taylor equation을 통해 표현된다.

Taylor equation:

(8)
σ = σ 0 + a M G b ρ 1 2

여기서 σ0는 전위 밀도와 무관한 강도, α는 0.2~0.5 범위의 경험 상수, M은 Taylor 계수, G는 전단 탄성 계수, b는 버거스 벡터, ρ는 전위 밀도이다. 식 8을 통해 전위 밀도의 제곱근과 항복 강도는 선형 관계를 가짐을 알 수 있다. 식 8에서 σ0는 전위 밀도가 아닌 요소로부터 결정된 항복 강도이며, 해당 소재는 용체화 처리된 후 시효 처리 되지 않은 소재이므로 고용 강화 효과를 포함하고 있다. 따라서 다음의 식을 통해 구할 수 있다.

(9)
σ 0 = σ i + σ S S
(10)
σ S S = Σ i k i C i 2 / 3

σi는 10 MPa이며, 알루미늄 고유 강도이다. k는 고용된 합금 원소의 강화 효과에 대한 상수로 Cu, Mg, Si에 대해 각각 kCu = 46.4 MPa/wt%2/3, kMg = 29.0 MPa/wt%2/3, kSi = 66.3 MPa/wt%2/3이며 C는 각 합금 원소의 농도이다[35].

식 8-10을 통해 계산된 σ0와 a, M, G, b의 값은 표 2에 기재하였으며, a의 값은 식 7에서 구한 aMGb 값으로부터 구한 값이다. 해당 상수는 0.2-0.5의 범위를 가지는데 계산을 통해 구한 결과 0.352로 범위 내에 포함되는 것을 알 수 있다. M은 FCC 다결정 구조에 대한 테일러 상수이며 G는 인장 시험, b는 XRD를 통해 도출되었다. 실험 데이터로부터 도출된 근사식의 각 항이 기존에 알려진 식을 통한 계산 결과와 일치하므로 식 7이 유효함을 알 수 있다.

3.2 시효 처리 후 미세 조직

3.2.1 자연 시효 처리한 AA 2026의 미세 조직

그림 6은 자연 시효 후 소재의 미세 조직에서 나타난 변화를 보여준다. 그림 6(a)는 Al의 격자 구조인 FCC[011]의 원자 배열을 보여준다. 그러나 그림 6(b)에서는 BCC[011]의 원자 배열이 관찰되었다. 이는 합금 원소인 Cu와 Mg가 GPB zone-S’을 형성하여 Al 격자의 변형을 유발했기 때문이다. 이로 인해 SAED Pattern에서 Al의 다결정 피크가 확인되었으며, 피크 주위에 흐릿한 GPB 피크가 확인되었다(그림 6(c)). 이러한 미세 석출 구조의 생성은 AA 2024를 비롯한 석출 강화형 알루미늄 합금의 주요 강화 메커니즘으로 알려져 있다[30,36-38].

그림 7(a-d)는 0-10% 사전 변형 후 자연 시효처리 하였을 때의 미세 조직이다. 사전 변형 없이 시효 처리된 소재에서는 결정립 내부에 이전 공정에서 발생한 전위가 일부 관찰되었으나 분포에 경향성을 확인하기 어렵다(그림 7(a)). 그러나 3% 변형 후 시효한 소재에서는 결정립계 주위에서 전위가 얽혀있는 것을 관찰하였다(그림 7(b)). 5% 이상 변형 후 시효한 소재에서는 입계 주위로 전위가 집적되어 있는 것을 확인하였다(그림 7(c-d)). 자연 시효의 경우 상온에서 진행되기 때문에 시효에 따른 전위의 해소가 거의 진행되지 않았다. 따라서 냉간 변형시 발생한 전위가 남아있는 것을 확인할 수 있으며, 변형량이 커짐에 따라 입계에서 집적되는 것을 관찰하였다.

3.2.2 인공 시효 처리한 AA 2026의 미세 조직

그림 8은 190°C에서 4 hr 인공 시효된 AA 2026의 미세 조직 변화이다. 사전 변형을 진행하지 않은 경우 S Phase 석출물이 형태를 갖추지 못한 것을 볼 수 있다(그림 8(a)). 그러나 사전 변형을 가한 시편에서 자연 시효시에는 확인되지 않던 바늘 형태의 석출물이 관찰되었다(그림 8(b)). 해당 석출물의 EDS 성분 분석 결과 Al-Cu-Mg로 구성된 S Phase로 규명되었다. 사전 변형에 따라 석출물의 성장 정도가 차이나는 것은 사전 변형으로 인해 발생한 전위가 합금 원소의 확산을 가속하여 석출물의 핵생성과 성장 속도를 빠르게 했기 때문이다. 또한 변형량이 증가함에 따라 석출물의 크기가 작아지고 빈도가 높아지는 것을 볼 수 있다(그림 8(b-d). 이는 전위가 핵생성 사이트로 작동함에 따라 석출물의 생성 빈도가 높아졌고, 이로 인해 Al matrix에 고용된 합금 원소의 고갈이 빨라져 석출물의 길이 방향 성장이 비교적 덜 되었기 때문이다. 그림 9는 190°C에서 8 hr 시효된 미세 조직이다. 변형되지 않은 조직에서는 석출물이 4 hr에서보다 성장하였다(그림 9(a)). 이는 용체화 처리를 통해 Al matrix에 고용되었던 합금 원소가 시효 처리로 인해 석출되었기 때문이다. 그러나 사전 변형이 진행된 미세 조직의 경우 4 hr 시효시보다 석출물의 길이가 짧아졌다(그림 9(b-d)). 시효 시간이 증가함에도 석출물이 더 이상 성장하지 않고 오히려 짧아진 것은 Al 매트릭스에 고용된 용질 원소의 고갈과 S Phase의 성장으로 인한 두께 증가가 원인이다. 따라서 석출물의 길이는 사전 변형량이 클수록 짧아졌으며, 시효 시간이 길어짐에 따라 짧아졌다. 사전 변형 및 시효 시간에 따른 석출물의 길이 변화는 그림 10에서 확인할 수 있다. 3%, 5%, 10%의 사전 변형 소재에 대해 4 hr 시효시 석출물의 평균 길이는 각각 109.9 nm, 79.0 nm, 60.1 nm이며, 8 hr 시효시에는 89.4 nm, 65.9 nm, 47.8 nm이다.

3.3 시효 처리 후 전위 밀도 및 기계적 특성 변화

3.3.1 시효 처리로 인한 전위 밀도의 변화

그림 11은 시효 처리된 AA 2026에 대한 XRD 분석 결과를 기반으로 식 1-6을 통해 계산된 전위

밀도의 변화이다. 0%, 3%, 5% 사전 변형 후 자연 시효 처리된 소재의 전위 밀도는 각각 2.68×1014/m2, 6.24×1014/m2, 10.81×1014/m2로 냉간 변형 직후보다 증가하였다. 이는 과포화된 용질 원자가 시효로 인 해 GPB zone을 형성하는 과정에서 격자 변형을 야기했기 때문으로 사료된다. 하지만 10% 변형 조건에서는 16.02×1014/m2로 전위 밀도가 감소하였다. 이는 용질 원자의 응집 과정에서 과도하게 생성된 전위들이 소멸하였기 때문으로 사료된다. 이러한 현상은 인공 시효시 더욱 뚜렷하게 관찰되었다. 4 hr 시효시 0~3%의 저변형 조건에서는 석출물의 생성에 의한 격자 변형으로 전위 밀도가 2.83×1014/m2, 6.46×1014/m2로 증가하였고, 5-10%의 고변형 조건에서는 원자의 확산에 의한 전위의 해소로 전위 밀도가 8.35×1014/m2, 14.01×1014/m2로 감소하였다. 시효 시간이 8 hr까지 증가할 경우 0%는 전위 밀도가 3.89×1014/m2로 증가하였고 3%, 5%에서는 6.45×1014/m2, 8.32×1014/m2로 거의 변하지 않았다. 10%에서는 11.80×1014/m2로 시효 시간의 증가에 따라 전위 밀도가 크게 감소하였다.

그림 12는 인장 시험을 통해 측정된 소재의 사전 변형량에 대한 항복 강도, 인장 강도, 연신율을 보여준다. 자연 시효된 소재의 항복 강도는 0%, 3%, 5%, 10%의 사전 변형량에 따라 각각 358. 1MPa, 424.1 MPa, 470.4 MPa, 522.5 MPa로 선형적으로 증가하였으며, 연신율은 이와 반비례하게 18.9%, 15.5%, 13.9%, 7.8%로 감소하였다(그림 12(a)). 인장 강도는 사전 변형을 하지 않은 소재가 643.4 MPa로 가장 높았으며, 이는 높은 연신율로 인해 더 많이 변형되었기 때문으로 사료된다. 3%, 5%, 10% 사전 변형 시편에서는 각각 607.1 MPa, 618.2 MPa, 606.7 MPa로 소폭 감소하였으나 변형량에 따른 차이는 크지 않았다.

변형하지 않은 시편을 4 hr 인공 시효 처리했을 때의 항복 강도는 356.9 MPa로 자연 시효한 것과 큰 차이가 나지 않았다(그림 12(b)). 이는 미세 조직에서 확인하였듯이 아직 S Phase 석출물이 형성되지 않고 GPB zone의 형태로 석출되었기 때문으로 사료된다. 다만 자연 시효한 것에 비해 인장 강도와 연신율이 각각 614.6 MPa, 17.8%로 소폭 감소하였는데, 이는 비교적 고온에 노출되어 GPB zone의 생성보다 성장이 더 빨라졌기 때문으로 보인다. 3%, 5%, 10% 사전 변형한 소재의 항복 강도는 524.7 MPa, 561.3 MPa, 582.3 MPa로 자연 시효한 소재에 비해 큰 폭으로 증가하였다. 이는 GPB로 인한 강화 효과보다 S Phase로 인한 강화 효과가 더 크다는 것을 의미한다. 다만 연신율이 각각 10%, 9.5%, 8.2%까지 크게 감소하였다. 인장 강도는 3%에서는 582.7 MPa로 가장 낮았고 5%, 10%에서는 각각 606.1 MPa, 617.4 MPa로 사전 변형량이 클수록 높아졌다. 3%와 5%에서 인장 강도가 낮아진 것은 석출상의 생성으로 인해 연신율이 크게 감소했기 때문이다. 일반적으로 석출물의 양이 많을수록 소성 변형에 대한 저항이 커져서 인장 강도가 증가한다. 따라서 사전 변형량이 커짐에 따라 인장 강도가 증가한 것은 Fig 6-Fig. 7.8에서 확인하였듯이 사전 변형량이 커질수록 석출물의 크기가 작아지고 빈도가 높아졌기 때문이다. 8 hr 인공시효한 결과, 사전 변형하지 않은 소재는 항복 강도가 419.5 MPa까지 크게 증가하고 인장 강도와 연신율이 585.3 MPa, 13.7%로 감소하였다(그림 12(c)). 3%에서는 항복 강도, 인장 강도, 연신율이 각각 519.4 MPa, 580.4 MPa, 9.3%로 거의 유지되었고, 5-10%의 고변형 조건에서는 각각 535 MPa, 585.9 MPa, 8.8%와 546.1 MPa, 593.2 MPa, 8.2%로 모두 소폭 감소하였다.

3.3.2 시효 처리로 인한 기계적 특성의 변화

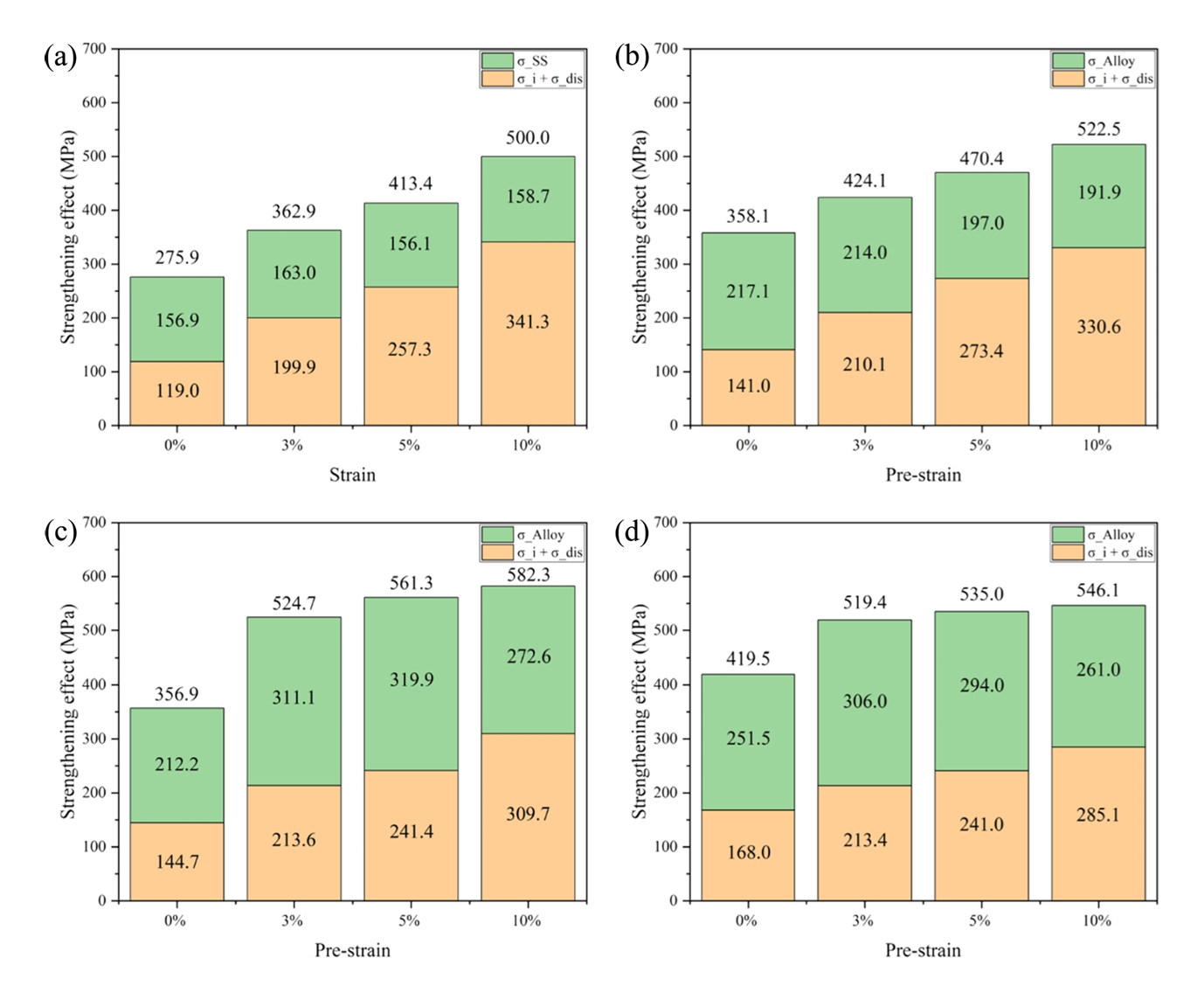
그림 13은 강화 기구가 항복 강도의 증가에 미친 영향을 보여준다. σi는 소재로부터 결정된 값이고 σdis는 식 8의 전위 밀도 항으로부터 계산된 값이다. σAlloy는 인장 시험을 통해 측정된 항복 강도에서 σi + σdis를 뺀 값이다. 즉, 소재로부터 기인한 강도와 전위로 인한 가공 경화 효과를 제외하여 합금 원소로부터 기인한 강화 효과만을 계산한 값이다. 이를 통해 시효에 따른 석출 강화 효과를 확인할 수 있다.

자연 시효 처리된 소재에서 사전 변형 0%, 3%, 5%에 따른 σi + σdis는 각각 141.0 MPa, 210.1MPa, 273.4 MPa로 냉간 변형 직후에 비해 각각 22.1 MPa, 10.1 MPa, 16.1 MPa 증가하였고 10%에서는 330.6 MPa로 10.7 MPa 감소하였다(그림 13(a-b)). 전위로 인한 항복 강도의 변화량이 크지 않기 때문에 가공 경화 효과가 유지된다고 볼 수 있다. σAlloy는 0%, 3%, 5%, 10%에서 각각 217.1 MPa, 214.0 MPa, 197.0 MPa, 191.9MPa로 시효 처리 전의 σSS에 비해 각각 60.2 MPa, 51.0 MPa, 40.9 MPa, 33.2 MPa 증가하였다. 사전 변형량이 클수록 석출 강화 효과가 작아지는 것을 볼 수 있는데, 이는 시효 처리 후에도 존재하는 과도한 전위들이 시효 과정에서 소멸하며 GPB zone의 형성을 방해하여 강화 효과를 낮추었기 때문이다[21]. 또한 전위들에 의해 이미 격자가 변형되어 GPB zone의 격자 변형 효과가 감소되었을 가능성도 있다.

190°C에서 4 hr 인공 시효 처리 후 σi + σdis는 0%, 3%에서 144.7 MPa, 213.6 MPa로 25.7 MPa, 13.7 MPa 증가하였고 5%, 10%에서 241.4 MPa, 309.7 MPa로 15.9 MPa, 31.5 MPa 감소하였다(그림 13(a, c). 저변형 조건에서는 석출에 따른 격자 변형으로 인해 전위로부터 기인한 강도가 증가하였으며, 고변형 조건에서는 전위의 해소로 인해 가공 경화 효과가 감소하는 것을 확인하였다. σAlloy는 0%, 3%, 5%, 10%에서 각각 212.2 MPa, 311.1 MPa, 319.9 MPa, 272.6 MPa로 시효 처리 전의 σSS에 비해 각각 53.5 MPa, 152.4 MPa, 161.2 MPa, 113.9 MPa 증가하였다. 강화 효과의 증가량은 3%와 5%에서 가장 높았고 0%와 10%에서는 비교적 낮았다. 이는 4 hr 인공 시효 처리시 0%에서는 석출물이 충분히 생성 및 성장하지 못했고 3%와 5%는 석출물의 계면이 정합(coherency)를 이루며 격자 변형을 야기하여 강화 효과가 높지만 10%에서는 과시효로 인해 석출물과 매트릭스의 계면이 부정합(Incoherency)을 이룸에 따라 격자 변형 효과가 감소했기 때문이다.

시효 시간이 8 hr로 증가할 경우 4 hr에 비해 σi + σdis는 0%에서 168.0MPa로 23.4 MPa 증가하였고, 3%와 5%는 213.4 MPa, 241.0 MPa로 거의 변하지 않았다(그림 13(c-d)). 10%에서는 285.1 MPa로 24.6 MPa만큼 감소하였다. σAlloy는 0%, 3%, 5%, 10%에서 각각 251.5 MPa, 306.0 MPa, 294.0 MPa, 261.0 MPa로 계산되었다. 0%는 시효 시간을 늘리자 석출상의 성장에 따라 석출 강화 효과가 39.2 MPa만큼 증가하였다. 그러나 변형 시편에서는 시효 시간이 증가함에 따라 강화 효과가 감소하였다. 3%에서는 4 hr 시효시에 비해 5.1 MPa만큼 감소하여 사실상 강화 효과가 유지되었다. 그러나 5%에서는 감소량이 25.9 MPa으로 강화 효과가 크게 감소하였다. 이는 과시효가 발생함에 따라 석출물의 강화 효과가 감소하였기 때문이다. 10%에서는 감소량이 11.6 MPa로 5%의 경우보다 적었는데, 이는 10% 변형 시편이 이미 4 hr 시효시에 과시효되었기 때문이다. 이를 통해 사전 변형으로 생성된 전위가 석출물의 성장을 가속하여 시효 속도를 빠르게 한다는 것을 알 수 있다.

4. 결 론

본 연구에서는 압출된 AA 2026에 대하여 용체화 처리 직후 10% 이하의 변형을 가함으로써 전위가 시효 단계에서 소재에 미치는 영향을 확인하고 다음과 같은 결론을 얻었다.

1) 용체화 직후 진행한 냉간 변형은 자연 시효 단계에서 주요 강화 메커니즘인 GPB zone의 강화 효과를 감소시켰다. 하지만 시효에 따른 전위의 해소가 거의 발생하지 않기 때문에 가공 경화 효과가 상당히 보존되었다.

2) 인공 시효의 경우 사전 변형에 의해 생성된 전위가 석출 속도를 빠르게 하여 석출물을 작고 균일하게 형성시켰다. 다만 과도한 전위는 시효 단계에서 해소되며, 이로 인해 가공 경화 효과가 감소하는 것을 확인하였다.

3) 석출 강화 효과는 석출물이 작고 균일할수록 크기 때문에 용체화 직후의 변형량이 클수록 석출 강화 효과를 높일 수 있을 것으로 기대된다. 하지만 사전 변형량이 커짐에 따라 연신율도 감소하고 석출물의 성장 속도가 빨라져 과시효가 발생하기 쉽기 때문에 균일한 물성을 확보하기에 어려움이 있다.

4) AA 2026 압출재는 용체화 처리 직후 3%의 변형을 가하고 190°C에서 4 hr 인공 시효시 사전 변형하지 않은 것에 비해 100 MPa 이상 높은 항복 강도를 확보할 수 있었다. 항복 강도와 인장 강도의 향상이 필요할 경우 10%의 사전 변형 후 4 hr 미만의 인공 시효를 하는 것이 효과적이며, 강도뿐만 아니라 연신율을 함께 고려할 경우 3-5%의 사전 변형 후 약 4 hr동안 인공시효 처리하는 것이 효과적이다.

Notes

[1] 감사의 글

이 연구는 2024년도 산업통상자원부 및 산업기술평가관리원(KEIT) 연구비 지원에 의한 연구임(20017370)

REFERENCES

1 
Rosen M., Mater. Sci. Eng,74, 1 (1985)Google Search
2 
Takeda M., Scr. Mater,39, 1295 (1998)Google Search
3 
Ryen Øyvind, Metall. Mater. Trans. A,37, 1999 (2006)Google Search
4 
Ebrahimi G. R., Ezatpour H. R., Mater. Sci. Eng. A,681, 10 (2017)Google Search
5 
Can L. I. U., Zhang Hui, Jiang Fu-lin, Trans. Nonferrous Met. Soc. China,24, 3477 (2014)Google Search
6 
Huang Xudong, Mater. Sci. Eng. A,527, 485 (2010)Google Search
7 
Kang HyeonWoo, Korean J. Met. Mater,61, 338 (2023)Google Search
8 
Mao J., Kang S. B., Park J. O., J. Mater. Process. Technol,159, 314 (2005)Google Search
9 
Zhan Xuepeng, Mater. Charact,174, 111046 (2021)Google Search
10 
Roven Hans J, Liu Manping, Werenskiold Jens C., Mater. Sci. Eng. A,483, 54 (2008)Google Search
11 
Zhang Bo, Sci. Rep,6, 39525 (2016)Google Search
12 
Li Xinyu, Mater. Sci. Eng. A,787, 139481 (2020)Google Search
13 
Lei Zhiguo, Metals,13, 751 (2023)Google Search
14 
Khan M. S., Salam A., Ikram N., Univ. Eng. Technol. Taxila Tech. J,20, 76 (2015)Google Search
15 
Samberger Sebastian, Acta Mater,253, 118952 (2023)Google Search
16 
Hashimoto Teruo, Corros. Sci,103, 157 (2016)Google Search
17 
Roopchand B. J., Morris J. G., Scr. Metall,7, 839 (1973)Google Search
18 
Quainoo G. K., Yannacopoulos S., J. Mater. Sci,39, 6495 (2004)Google Search
19 
Serrano-Munoz Itziar, Mater. Lett,337, 133978 (2023)Google Search
20 
García-Hernández J. L., J. Mater. Res. Technol,8, 5471 (2019)Google Search
21 
Ringer S. P., Muddle B. C., Polmear I. J., Metall. Mater. Trans. A,26, 1659 (1995)Google Search
22 
Pakravan K., Hosseini Monazzah A., Farahmand S., Mater. Res. Express,7, 056522 (2020)Google Search
23 
Zhao Y. L., Acta Mater,61, 1624 (2013)Google Search
24 
Xu C., J. Mater. Sci. Technol,127, 133 (2022)Google Search
25 
Lin Y. C., Mater. Sci. Eng. A,565, 420 (2013)Google Search
26 
Song Y. F., J. Alloys Compd,701, 508 (2017)Google Search
27 
Leśniak Dariusz, Materials,17, 3983 (2024)Google Search
28 
Hossain , Phys. Sci. Forum,4, 1 (2022)Google Search
29 
Zheng Yan, J. Alloys Compd,649, 291 (2015)Google Search
30 
Wang S. C., Starink M. J., Acta Mater,55, 933 (2007)Google Search
31 
Cao , Mater. Sci. Eng. A,559, 257 (2013)Google Search
32 
Mahmoodi Masoud, Naderi Ali, Dini Ghasem, J. Mater. Eng. Perform,26, 6022 (2017)Google Search
33 
Huskins E. L., Cao B., Ramesh K. T., Mater. Sci. Eng. A,527, 1292 (2010)Google Search
34 
Lan Jian, Mater. Sci. Eng. A,745, 517 (2019)Google Search
35 
Choi Seunggyu, Korean J. Met. Mater,59, 515 (2021)Google Search
36 
Ringer S. P., Acta Mater,44, 1883 (1996)Google Search
37 
Ringer Simon P., Caraher Sally K., Polmear Ian J., Scr. Mater,39, 1559 (1998)Google Search
38 
Starink M. J., Gao N., Yan J. L., Mater. Sci. Eng. A,387, 222 (2004)Google Search

Figures and Tables

Fig. 1.

Schematic diagram of heat treatment and aging process, and specimen geometry for AA 2026.

../../Resources/kim/KJMM.2025.63/kjmm-2025-63-7-531f1.jpg
Fig. 2.

Hardness as a function of aging time of extruded AA2026 artificially aged at 190 °C.

../../Resources/kim/KJMM.2025.63/kjmm-2025-63-7-531f2.jpg
Fig. 3.

Variation of strength with strain degree in AA 2026.

../../Resources/kim/KJMM.2025.63/kjmm-2025-63-7-531f3.jpg
Fig. 4.

XRD analysis results according to the degree of pre-strain in AA 2026. a) XRD patterns, b) Variation of dislocation density as a function of pre-strain.

../../Resources/kim/KJMM.2025.63/kjmm-2025-63-7-531f4.jpg
Fig. 5.

Variation of yield strength expressed as a function of dislocation density.

../../Resources/kim/KJMM.2025.63/kjmm-2025-63-7-531f5.jpg
Fig. 6.

TEM analysis of strengthening mechanism in naturally aged AA 2026.

../../Resources/kim/KJMM.2025.63/kjmm-2025-63-7-531f6.jpg
Fig. 7.

TEM micrographs of naturally aged AA 2026 after various degrees of pre-strain: (a) 0%, (b) 3%, (c) 5%, and (d) 10%.

../../Resources/kim/KJMM.2025.63/kjmm-2025-63-7-531f7.jpg
Fig. 8.

TEM micrographs of AA 2026 artificially aged at 190°C for 4 hr after pre-strain: (a) 0%, (b) 3%, (c) 5%, and (d) 10%.

../../Resources/kim/KJMM.2025.63/kjmm-2025-63-7-531f8.jpg
Fig. 9.

TEM micrographs of AA 2026 artificially aged at 190°C for 8 hr after pre-strain: (a) 0%, (b) 3%, (c) 5%, and (d) 10%.

../../Resources/kim/KJMM.2025.63/kjmm-2025-63-7-531f9.jpg
Fig. 10.

Precipitate size according to pre-strain and aging conditions: a) 3% - 4 hr, b) 5% - 4 hr, c) 10% - 4 hr, d) 3% - 8 hr, e) 5% - 8 hr, f) 10% - 8 hr

../../Resources/kim/KJMM.2025.63/kjmm-2025-63-7-531f10.jpg
Fig. 11.

Evolution of dislocation density in AA 2026 after aging treatment as a function of pre-strain.

../../Resources/kim/KJMM.2025.63/kjmm-2025-63-7-531f11.jpg
Fig. 12.

Mechanical properties of AA 2026 after various aging treatments: (a) Natural aging, (b) Artificial aging at 190°C for 4 hr, and (c) Artificial aging at 190°C for 8 hr.

../../Resources/kim/KJMM.2025.63/kjmm-2025-63-7-531f12.jpg
Fig. 13.

Contribution of various strengthening mechanisms to yield strength increase in AA 2026 under different aging conditions: a) Prestrain, b) Natural aging, c) Artificial aging for 4 hr at 190°C, d) Artificial aging for 8 hr at 190°C

../../Resources/kim/KJMM.2025.63/kjmm-2025-63-7-531f13.jpg
Table 1.

composition (wt%) of domestically produced AA 2026 used in this study

Al Si Fe Cu Mn Mg Ni Ti Zr
Bal. 0.03 0.04 3.7~3.9 0.5~0.6 1.3~1.4 0.01 0.02 0.1~0.2
Table 2.

Constants used in Taylor equation

σ0SS) (MPa) a M G (GPa) b (Å) aMGb (10-7MPa·m)
168.5 (158.5) 0.352 3.06 26 2.86 80.1