The Journal of
the Korean Journal of Metals and Materials

The Journal of
the Korean Journal of Metals and Materials

Monthly
  • pISSN : 1738-8228
  • eISSN : 2288-8241

Editorial Office


  1. 부산대학교 재료공학과 (1Department of Materials Science and Engineering, Pusan National University, Busan 46241, Republic of Korea)
  2. 한국재료연구원 극한재료연구소 (2Extreme Materials Research Institute, Korea Institute of Materials Science, Changwon 51508, Republic of Korea)



Duplex stainless steel, Pitting corrosion, General corrosion, Manganese, Nonmetallic inclusion

1. 서 론

2상 스테인리스강(duplex stainless steel, DSS)은 페라이트(ferrite, α)와 오스테나이트(austenite, γ)의 두 상으로 구성된 스테인리스강(stainless steel, SS)으로, 각 상의 장점이 발현되어 기계적 강도와 연성 및 내식성의 조합이 우수한 특징을 가진다. 또한 DSS는 대등한 내식 수준을 가지는 단상 γSS에 비하여 Ni 사용량이 절반 수준이므로, γSS 대비 경제성과 가격안정성이 높다. 따라서 DSS는 각종 플랜트, 해양용 구조재료 등으로 수요가 확장되고 있고 향후 시장 성장세가 큰 SS로 분류된다[1,2].

DSS의 물리적, 화학적 성능을 결정하는 조직적 특성 중 하나는 α:γ 상분율이며, 따라서 DSS의 성능 최적화를 위해서는 α와 γ 상의 부피분율을 유사하게 유지하는 것이 중요하다[2-9]. 용접용 DSS의 경우, 용접 후 빠른 냉각으로 인해 α 상 분율이 과하게 높아질 우려가 있으므로 이를 방지하기 위해 γ 상 안정화 원소가 모재 대비 높게 첨가되는 것이 특징이다[6,7,10]. 이에 더하여, 용접재는 모재에 비하여 전기화학적으로 귀한(noble) 상태를 유지하는 것이 모재-용접재 접합부의 내식성 측면에서 유리하다[10-12]. γ 상 안정화와 동시에 모재를 noble 하게 하는 목적으로는 Ni 합금화가 효과적이며, 이러한 이유로 DSS의 용접재는 일반적으로 모재보다 2–4 wt 정도 높은 Ni 함량을 갖도록 설계된다[6-8,13,14]. 따라서 standard DSS (UNS S32205)의 용접재로 사용되는 UNS S39209 (ER2209)는 S32205의 기지 조성(Fe-(22–23)Cr-(4.5–6.5)Ni-(2.5–3.5)Mo, wt%)에 비하여 Ni 함량이 높은 조성(Fe-(21.5–23.5)Cr-(7.5–9.5)Ni-(2.5–3.5)Mo, wt%)을 가진다.

그러나 Ni은 고가이고 2000년 이후 급격한 가격 변동을 보였기 때문에, Ni을 필수적으로 활용하는 γSS 및 Ni 함량이 높은 일부 DSS의 경제성을 악화시키는 원인이 되었다[2-5,7,15-17]. 또한 Ni은 그 자체로 인체에 유해하고, 과민반응을 유발하는 문제가 있어서[11,12], γSS 및 DSS의 Ni 의존도를 줄이는 연구가 광범위하게 이루어졌다. 저원가형 SS의 중요한 개발 방향 중 하나는, Ni 사용량을 줄이는 대신 저가의 γ 안정화 원소인 Mn을 활용한 연구이다[5,7,18-20].

Ni 대체를 위한 합금원소로서 Mn의 활용을 위해서는, SS 의 성능 변화에 미치는 Mn의 영향과 역할을 이해하는 것이 중요하다. 특별히, 내식성의 관점에서 Mn의 역할에 대한 다양한 연구가 이루어졌다. Ihsan-ul-Haq 등은[21] Fe-16Cr-1Mo-1Si-0.22N (wt%) 기지의 DSS에 Mn 함량을 4–6 wt%로 변화시킨 합금에 대하여 생체 모사 용액 내에서 내식성을 평가한 결과, Mn 함량 증가에 따라 내식성이 저하됨을 관찰하였고 이의 주요 원인을 비금속 개재물 (nonmetallic inclusion, NMI)인 MnS로 지목하였다. Yang 등은[5] Fe-19Cr-1.6Ni-1Mo-0.2N-(4–8)Mn (wt%) DSS에 대하여 3.5 wt% NaCl 용액 내에서 내식성을 연구하였다. 이들은 Mn의 함량이 증가할수록 공식전위(pitting potential, Epit)의 감소를 확인하였으며, 이들 역시 내식성 감소의 원인을 MnS로 판단하였다. Szummer 등은[22] Fe-(17–18)Cr-(12-15)Ni-(2.6–2.8)Mo-(1.4–2.0)Mn (wt%) 조성의 SS와 상용 UNS S30400 SS에 대한 공식부식저항성을 0.5 M NaCl 용액에서 조사하였다. 이들은 Mn의 함량이 높은 시편에서만 MnS 등의 NMI가 형성됨을 확인하였고, NMI와 모재 간 경계에서 부동태피막의 불연속이 형성되고, 이 부분에 대한 Cl–의 선택적 공격으로 인하여 공식이 발생해 이로부터 공식부식저항성이 감소된다고 설명하였다. An 등은[23] Mo와 Mn의 조성을 각각 다르게 한 Fe-18Cr-9Ni-0.25Nb-1.3Si-0.3C-(0.3–1.5)Mo-(1.8–3.3)Mn (wt%) SS 5종을 제조하고 6 wt% FeCl3과 3.5 wt% NaCl 용액을 사용하여 이들의 내식성을 평가하였다. 그 결과, 이들은 Mn의 함량이 높고 Mo의 함량이 적을수록 Epit이 낮아짐을 확인하였고 이는 부동태가 형성되는 안정적인 전위 조건에서 MnS가 용해되어 공식이 개시된다는 기구를 제시하였다. Pardo 등은[24] Mn 함량을 변화시킨 UNS S30400 및 S31600 γ SS의 내식성을 3.5 wt% NaCl 용액에서 평가한 결과, Mn 증가에 따른 Epit 감소를 확인하였다. 이들은 Mn 함량이 증가할수록 MnS의 양이 증가하고, 열역학적으로 불안정한 MnS가 우선적으로 용해되어 공식의 예민도를 증가시켜 결과적으로 공식부식저항성을 저하시킨다고 보고하였다.

상기와 같이, 관련 주제에 대한 기존 문헌 검색 결과, Mn 함량에 따른 SS 내식성의 저감의 원인을 MnS로 지목한 연구가 많다. 이 외 다른 관점에서의 연구를 탐색하였다. Ihsan-ul-Haq 등은[25] Mn의 함량을 달리한 200계 SS의 내식성을 0.5 M NaCl 용액에서 조사한 결과, Mn 함량이 증가할수록 공식저항성이 낮아지는 경향을 보였으며, 이는 Mn, Cr, Fe의 산화물 NMI가 공식 개시에 기여하였기 때문임을 확인하였다. Park 등은[26] Fe-18Cr-(0, 6, 12)Mn (wt%) 모델 SS에 대해 0.1 M NaCl 용액에서 내공식성을 평가한 결과, NMI의 수와 크기에 공식저항성이 관련이 있고, Mn이 포함된 산화물이 공식의 시작점으로 작용하여 내식성이 저하된다고 설명하였다. MnS 또는 MnO로 인해 공식부식저항성이 감소하는 이유에 대해서는 Chiba [27], Muto [28] 등이 NMI과 모재의 경계가 Cl- 에 의해 공격받아 우선적으로 pit을 형성하기 때문이라고 설명하고 있다.

이와 같이 Mn 합금화에 의한 SS 내식성 저하가 여러 문헌에서 보고되었는데[5,21-28], 기존 연구의 상당수는 이 현상을 NMI와 연계하여 이해하고 있으며 특히 MnS를 내식성 저하의 원인으로 지목하고 있는 것이 주목할 점이다[5,21-24,27,28]. 탈황기술의 발전으로 S 함량을 극저(0.003 wt% 이하)로 제어가 가능해진 최근에는 MnS의 위험은 낮아졌으며, 또한, Mn 함량에 따른 SS의 내식성의 변화에는 고용상 Mn의 역할 또한 고려되어야 한다. 따라서 본 연구에서는 ER2209 기지 조성(Fe-22Cr-9Ni-3Mo, wt%)의 DSS에 Mn의 함량을 0, 2, 4 wt%로 달리한 3 종류의 모델 합금을 제조한 후, Mn의 첨가에 따른 공식부식저항성의 변화에 대해 연구하였고 이를 조성 및 조직적 특성 변화와 연계하여 해석하였다.

2. 실험 방법

본 연구에 사용된 합금은 Fe-22Cr-9Ni-3Mo (wt%) 기지에 Mn 함량을 0, 1.91, 4.01 wt%로 변화시킨 DSS 3종이다. 제조 합금 3 종은 Mn 함량에 따라 각각 0Mn, 2Mn, 4Mn으로 표기하였다(표 1). 소형 가압유도용해로 (VTC-200V, Indutherm)를 사용하여 각 합금별 1 kg의 강괴를 주조하고 1200°C에서 2 시간 균질화 열처리한 후, 1050–1200°C에서 40 mm 두께의 주괴를 4 mm 판재로 압연하고 수냉하였다. 이후, 각 열연 판재를 1100–1120°C에서 1 시간 고용화 열처리하고 수냉하였다. 제조 합금 3종의 상세 조성과 각 고용화 열처리 온도를 표 1에 나타내었다. 합금의 조성은 발광분광분석기(optical emission spectroscopy, QSN 750-II, PANalytical)를 이용하여 분석하였다.

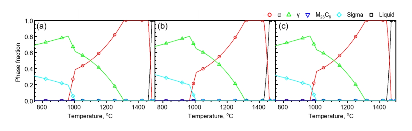
각 합금의 균질화 열처리, 열간 압연, 고용화 열처리를 위한 온도는 합금별 구성상의 평형 상분율 예측 결과에 기초하여 결정하였다. 그림 1은 각 합금 내 액상, α, γ, sigma (σ), M23C6 (M: metal, 주로 Cr) 상의 온도에 따른 상분율 변화를 Thermo-Calc software (version 2021a, TCFE10 database)를 이용하여 계산한 결과이다. 세 합금에서는 약 1000°C 이하에서 Cr, Mo 농축상인 σ가 석출되기 쉬우므로, 열간 압연을 포함한 모든 후속 열처리 공정은 1050°C 이상에서 수행하였다. 또한 상분율을 1:1로 조정하기 위해, 0Mn은 1100°C, 그리고 2Mn 및 4Mn은 1120°C 를 고용화 열처리 온도로 결정하였다. 광학현미경(light optical microscope, LOM, DM2700M, Leica)과 주사전자현미경 (scanning electron microscope, SEM, JSM-IT300, JEOL)을 활용하여 제조 합금의 미세조직을 관찰하였다.

관찰된 이미지를 분석하여, 상분율, 결정립 크기, 2차상 (석출상, NMI)의 측면에서 제조재의 미세조직을 정성·정량적으로 조사하였다. 먼저 제조재의 상분율 측정을 위해, 각 합금의 샘플(12×15×3 mm3) 표면을 SiC 연마지를 이용하여 2400 grit까지 기계적으로 연마하고 입자 지름 1 μm의 다이아몬드 현탁액을 이용하여 폴리싱한 후 80 g KOH + 100 ml deionized water 용액(25°C±1)에서 전해 에칭(4 V, 200–220 s)하였다. 에칭된 샘플을 LOM을 이용하여 관찰하였고, LOM 사진을 Image-Pro Analyzer 7.0 (Media Cybernetics) 프로그램을 이용하여 분석함으로써 상분율을 정량적으로 측정하였다. 다음으로 제조재의 결정립 크기 측정을 위해, 폴리싱된 샘플을 10 g oxalic acid + 100 ml deionized water (25°C±1) 용액에서 전해 에칭(4 V, 180–200 s)한 후 LOM을 이용하여 관찰하였다. 측정된 LOM 사진에 대해, 미국시험재료협회(American society for testing materials, ASTM)의 표준 규격인 ASTM-E112 [29]의 planimetric 방법을 활용하여 결정립 크기를 측정하였다. 석출상 분석을 위해서는 폴리싱 된 샘플을 30 ml HCl + 20 ml HNO3 + 50 ml ethanol (25°C±1) 용액에 40–60s 침지하여 에칭하였고 SEM을 이용하여 석출상 형성 여부를 조사하였다. NMI는 SEM의 후방산란전자(backscattered electrons, BSE)모드를 이용하여 관찰하였으며, 에칭하지 않은 폴리싱 샘플에 대해 측정한 SEM-BSE 사진을 Image-Pro Analyzer 7.0을 이용하여 분석하여 NMI의 분율을 정량화하였다. 마지막으로, 제조재의 구성상(α, γ, NMI)의 조성은 SEM에 부착된 에너지 분산형 분광 (energy dispersive spectroscopy, EDS)을 이용하여 분석하였다.

제조 합금의 부식거동은 동전위분극시험(potentiodynamic polarization (PDP) test)을 이용하여 평가하였다. 전기화학시험을 위해 기준 전극(포화 칼로멜 전극(saturated calomel electrode, SCE)), 대전극(Pt plate), 작동 전극(제조 합금)으로 구성된 3 전극 전기 화학 시스템을 이용하였고, potentiostat (Reference600+, GAMRY Instruments Inc.)를 이용하여 전위를 제어하고 전류를 측정하였다. 작동 전극으로 사용된 시편(12×15×3 mm3)은 구리 도선을 연결하고 epoxy resin을 이용하여 cold mounting한 후 전기화학 시험용 표면을 SiC 연마지를 이용하여 1500 grit까지 연마하였다. 작동 전극의 반응 면적은 도금테이프 (electroplating tape 470, 3M)를 이용하여 지름 5 mm 원형(0.2 cm2)으로 조절하였다. 제조재의 공식부식저항성은 중성의 염화물 용액에서 PDP 시험으로 평가하였다. 15±1°C의 2 M NaCl 용액에서는 ASTM G5 [30]에 따른 전위주사속도 0.2 mV s–1로 전위를 상승시키면서 PDP 시험을 수행하였고 PDP 곡선으로부터 안정한 공식이 발생하기 시작하는 전위인 Epit을 측정하였다. 각 합금별 반복 시험 결과로부터 실험의 재현성을 확인하였고 Epit의 평균값을 계산하였다. 일반부식 저항성은 20±1°C의 1 M HCl 용액에서 전위주사속도 1mV s–1 [31-33] 로 PDP 시험을 수행하여 평가하였다. 일반부식시험은 임계전류밀도(critical current density, icrit)의 측정을 주요 목적으로 하므로, 전위주사속도의 제곱근과 전류밀도의 비례관계[34]를 고려하여 전위주사 속도를 1 mV s–1로 빠르게 설정하여 금속 용해 속도 측정을 용이하게 하였다. 각 합금별로 반복 시험을 통해 재현성을 검증하고 icrit의 평균값을 측정하였다. 마지막으로, 제조재의 공식 발생 위치를 관찰하기 위하여 PDP 시험을 이용해 각 합금에 공식을 발생시켰다. 본 시험을 위해, 샘플 표면은 다이아몬드 현탁액(입자 직경 1 μm)을 이용하여 연마하였고 도금테이프를 이용하여 반응 면적을 지름 6 mm 원형(0.3 cm2)으로 조절하였다. 공식을 용이하게 발생시키기 위해 동전위 분극시험 대비 보다 부식성이 강한 환경이 필요하였으며, 따라서 0Mn의 경우 35±1°C의 4 M NaCl 용액에서, 그리고 2Mn 및 4Mn 합금의 경우 20±1°C의 4 M NaCl 용액에서 PDP 시험을 수행하였고, 공식이 발생한 샘플 표면을 SEM을 이용하여 관찰하였다.

3. 결 과

3.1 Mn 함량에 따른 미세조직 거동

그림 2는 제조재의 미세조직을 보여주는 LOM (그림 2(a1)2(c1))과 SEM (그림 2(a2)2(c3)) 사진으로, 그림 2(a1)2(c2)에 나타난 바와 같이, 세 합금은 α와 γ로 이루어진 전형적인 DSS 조직을 가진다. 그림 2(a1)2(c1)의 LOM 사진에서 어둡게 나타나는 상이 α, 그리고 밝은 상이 γ이다. LOM 사진으로부터 각 합금별 상분율을 측정한 결과, 0Mn, 2Mn, 4Mn 합금의 α상 부피분율은 각각 49.3, 51.5, 52.5 vol% (표 2)로, 세 합금이 유사한 상분율을 나타내었다.

그림 2(a2)2(c3)의 SEM 사진에서, 두 상 중 에칭으로 인한 용해가 더 빠른 상이 α로 나타났다. 각 상의 조성을 EDS로 분석한 결과(표 3), α 내 세 원소의 함량은 (25.5–25.7)Cr-(6.5–6.7)Ni-(3.9–4.1)Mo (wt%), γ상의 경우 (19.9–20.3)Cr-(10.7–10.8)Ni-(2.4–2.5)Mo (wt%)로, α 상에는 Cr 및 Mo가, γ 상에는 Ni이 농축되었고, 세 합금 간의 α와 γ상의 Cr, Ni, Mo의 조성은 유사하였다. 2Mn 및 4Mn 합금에 추가된 1.91, 4.01 wt%의 Mn은 α 상 대비 10–15 % 정도 높게 γ 상에 농축되었다. 그림 2(a3)2(c3)의 고배율 SEM 사진은 세 합금의 결정립계 및 α/γ 상경계를 확대하여 보여준다. 세 합금 모두에서 고용화 열처리 후 결정립계 및 상경계에 석출은 발생하지 않았다.

그림 3은 세 합금의 LOM 사진으로, 옥살산에서 전해 에칭한 샘플의 표면을 보여준다. 그림 3에서 어닐링 트윈이 관찰되는 상대적으로 밝은 상이 γ 상이다. 각 합금별 LOM 사진에 대해 ASTM-E112에 준하여 결정립 크기를 측정한 결과, 0Mn의 결정립 크기는 평균 10.7 μm였으며, 2Mn과 4Mn은 이보다 약간 큰 12.3, 12.2 μm를 각각 나타내었다(표 2). 2Mn 및 4Mn에 비해 0Mn의 결정립 크기가 작은 것은, 2Mn 및 4Mn의 고용화 열처리 온도 (1120°C)에 비해 0Mn의 고용화 열처리 온도가 1100°C로 낮았기 때문으로 보인다(표 1).

3.2 Mn함량에 따른 NMI의 거동

그림 4는 세 합금의 NMI의 분포를 보여주는 SEM-BSE 사진이다. 모든 합금에서 대체로 둥근 형태의 NMI가 관찰되었다. 0Mn, 2Mn, 4Mn 합금의 NMI 크기는 평균 4.4, 4.3, 5.6μm로 나타났으며, 세 합금 모두에서 NMI의 최대 크기는 약 8–9 μm 정도로 조사되었다 (표 2). SEM-BSE 이미지에 기반하여 NMI의 부피분율을 측정한 결과, 0Mn 및 2Mn의 경우 NMI 부피분율은 각각 0.21vol%, 0.17 vol%였으며, 4Mn의 경우 0.27 vol%으로 나타났다(표 2).

그림 5는 세 합금별 NMI와 주변부 모재의 합금원소 분포를 조사한 SEM-EDS 사진으로, 이로부터 각 합금별 NMI의 구성 원소를 확인할 수 있다. 0Mn의 NMI에서는 Cr과 O만 검출되었으며(그림 5(a)) 2Mn 및 4Mn의 NMI에서는 Cr과 O 외에 Mn이 같이 검출되었다(그림 5(b), 5(c)).

NMI 각각의 화학조성을 SEM-EDS로 분석한 결과를 표 4에 나타내었다. 0Mn의 NMI 조성은 37.6Cr-60.6O (at%)였으며, 2Mn의 NMI 조성은 27.2Cr-12.0Mn-59.1O (at%), 4Mn의 경우 NMI는 26.3Cr-12.9Mn-59.1O (at%)의 조성을 보였고, 각각의 합금별로 존재하는 NMI들은 조성 편차가 상당히 작다. 세 합금 모두에서 금속(Cr 또는 Cr+Mn) 대비 O의 원자 비율은 2:3을 나타냈으므로 0Mn의 NMI는 Cr2O3, 그리고 2Mn과 4Mn의 NMI는 (Cr,Mn)2O3로 판단된다. 2Mn 내 NMI의 Mn/Cr 값은 0.44였고, 4Mn 내 NMI의 경우 Mn/Cr은 0.49로, 모재 내 Mn 함량이 더 높아지면 NMI를 구성하는 금속 원소 중 Mn의 비율도 소폭 상승하였다.

3.3 Mn함량에 따른 공식저항성 거동

세 합금의 공식저항성을 15±1°C의 2 M NaCl 용액에서 PDP시험을 통해 평가하였다. 그림 6(a)6(c)는 각 합금의 PDP 곡선이며, 그림 6 (d)는 세 합금의 대표적인 PDP 곡선을 비교하여 보여준다. 해당 시험 조건(2 M NaCl, 15±1°C)에서 세 합금의 부식전위(corrosion potential, Ecorr)는 약 –0.17 VSCE로 유사한 값을 나타냈으며, 세 합금 모두 Ecorr에서 부동태 상태를 유지한다. 0Mn의 경우(그림 6(a)), 전위를 증가시켜도 낮은 부동태 전류밀도(1 μA cm–2 이하)를 보이는 안정한 부동태 상태를 유지하며, 준안정 공식을 의미하는 전류 스파이크도 거의 관찰되지 않는다. 1 VSCE 이상의 전위에서는 전류밀도가 증가하는데, 이는 금속의 용해 반응이 아닌 물분해로 인한 산소발생 반응에 의한 현상이다[35-38]. 즉, 그림 6 (a)은 0Mn 합금이 해당 시험 조건에서 공식이 발생하지 않았음을 보여준다. 이에 비해 2Mn의 경우(그림 6(b)), –0.1 VSCE 이하에서부터 준안정 공식이 발생하기 시작하고 전위 증가에 따라 전류 스파이크가 빈번하게 나타난다. 2Mn의 부동태 전류밀도는 0Mn에 비하여 약간 높으며 (그림 6(d)), 전위를 더욱 증가시키면 0.5–0.6 VSCE 정도에서 안정한 공식이 발생한다. 안정한 공식의 발생으로 인해 불연속적이고 비가역적인 전류의 증가가 일어나기 시작하는 전위를 Epit으로 결정하며, 2Mn의 경우 Epit의 평균값은 0.528 VSCE였다. Mn 함량이 더욱 증가한 4Mn 합금에서는(그림 6(c)), PDP 곡선의 개형은 2Mn과 유사하고 부동태 전류밀도도 2Mn 합금과 거의 같으나(그림 6(d)), 4Mn 합금의 경우 2Mn의 PDP 곡선에 비하여 PDP 곡선상의 전류 스파이크의 크기가 보다 크고 평균 Epit은 더욱 낮은 0.347 VSCE을 나타내었다. 측정된 Epit의 평균값(0Mn의 경우에는 물이 안정한 전위 영역에서는 공식발생이 없으므로 산소 발생 전위인 1 VSCE으로 Epit을 지정함)을 Mn 함량에 따라 도시(그림 6 (e))한 결과, Mn 함량 증가에 따라 공식저항성이 감소하는 것이 명확하다. 이 때, 0Mn과 2Mn의 Epit 높이차(ΔEpit=0.472 V)는 2Mn과 4Mn 합금간 Epit 차이(ΔEpit=0.181 V)보다 크다는 점이 주목할 점이다.

4. 고 찰

Mn 함량이 증가하면 Fe-22Cr-9Ni-3Mo 기지 DSS의 공식저항성은 감소하였다(그림 6). D SS의 각 미세조직적 특성(상분율[39-43], 석출상[44-46], 결정립크기[47-50], NMI [44,51-54]등)은 모두 공식저항성에 영향력을 가지는 인자이다. 따라서 DSS의 공식저항성을 저하시키는 Mn 합금화의 역할을 이해하기 위해서는 Mn 함량 증가에 따른 조직적 특성 각각의 변화에 대한 이해가 필요하다. 고용화 열처리 후, 0Mn, 2Mn, 4Mn 합금은 모두 DSS의 건전한 미세조직을 나타내었고(그림 2, 3) (1) α 분율 49.3–52.5 vol%로 상분율이 서로 유사했으며(그림 2(a1)2(c1), 표 2) (2) 각 상의 Cr, Ni, Mo의 함량 또한 거의 동일하였다(표 3). (3) 모든 합금에서 석출상은 관찰되지 않았으며 (그림 2(a3)(c3)), (4) 결정립 크기는 10.7–12.3 μm로(그림 3, 표 2), 세 합금 간 결정립 크기 차이는 최대 1 .6 μm 정도이므로 공식저항성에 유의미한 영향을 미칠 수준은 아닌 것으로 판단된다. (5) NMI의 크기는 4.36–5.60 μm였고 부피분율은 0.167–0.270 vol% 이었으며 (그림 4, 표 2) 2Mn이 다른 두 합금에 비해 약간 낮은 값을 보였다. 그러나 공식저항성 평가 결과(그림 6)를 고려하면, 2Mn이 0Mn에 비해 더 낮은 공식저항성을 나타내므로 NMI 크기 또는 분율의 세 합금간 차이는 Mn 함량 증가에 따른 공식저항성 저하를 설명할 수 있는 주요 원인은 아닌 것으로 판단된다.

따라서 연구 대상 합금 3종에서 관찰된 공식저항성의 감소는 상분율, 석출상, 결정립 크기, NMI의 크기와 분율 이외의 다른 원인에 의한 결과로 판단해야 한다. Fe-22Cr-9Ni-3Mo (wt%) DSS에 첨가된 Mn은, (1) NMI 조성을 변화(Cr2O3 (0Mn 합금)→(Cr,Mn)2O3 (2Mn, 4Mn 합금), 그림 5, 표 4)시켰고 (2) 기지 내 고용상의 Mn 함량을 증가시켰으므로 공식저항성의 감소는 이 두 요소에 의한 변화로 이해하는 것이 합리적이라 판단하였다.

먼저, 공식의 개시를 지배하는 요인을 조사하였다. 그림 7은 PDP 시험으로 공식을 일으킨 후 공식발생처를 조사한 SEM 사진이다. 세 합금 모두에서 공식을 강제로 발생시키기 위해 그림 6의 시험 조건(2 M NaCl, 15±1°C)보다 부식성이 높은 조건(0Mn의 경우 35±1o C의 4 M NaCl, 2Mn 및 4Mn의 경우 20±1o C의 4 M NaCl)을 택하여 PDP 시험을 수행하였다. 2Mn (그림 7(b)) 및 4Mn (그림 7(c))에서는 (Cr,Mn)2O3에 인접한 모재의 선택적 용해로 인해 공식이 개시되었으며(그림 7(b1), 7(c1)), 발생한 공식은 (Cr,Mn)2O3 주변부로 확장되며 lace-type [52,55,56]의 안정한 공식으로 성장하였다(그림 7(b2), 7(b3), 7(c2), 7(c3)). 공식이 발생한 2Mn 및 4Mn 합금 내 NMI는 주로 2 μm 정도로, 이는 해당 합금의 NMI 평균 크기인 4–5 μm 보다 작다. 따라서 2Mn 및 4Mn 합금의 (Cr,Mn)2O3 경우에는, 이들의 공식 유발 경향이 NMI 크기 증가에는 크게 의존하지 않는 것으로 판단된다. Mn 포함 합금에서 (Cr,Mn)2O3이 공식 개시처로 거동한다는 이 결과는 그림 6의 PDP 곡선에서 2Mn 및 4Mn 합금이 준안정 공식 개시 전위가 거의 같은(약 –0.1 VSCE) 것과, 또한 0Mn 합금 대비 2Mn 및 4Mn 합금이 빈번한 준안정 공식거동을 보이는 양상을 잘 설명한다.

이에 비해, 0Mn 합금은 Mn을 포함하는 합금과 다른 공식 개시 거동을 보였다(그림 7(a)). 0Mn에서 발견되는 Cr2O3와 이의 주변부 모재는 35±1°C의 4 M NaCl 용액에서의 PDP 시험 후에도 대부분 부식 발생없이 형태를 유지하며(그림 7(a1)), 0Mn 합금에서 발생하는 공식은 주로 etch pit [57,58]형태로 시작(그림 7(a2))되고 성장(그림 7(a3))하였다. 그림 7(a3)에서 관찰되는 Cr2O3 또한 부식에 관여하지 않은 상태로 유지되고 있는 것이 주목할 점이다.

그림 7은 Fe-22Cr-9Ni-3Mo DSS에서 공식의 시작을 지배하는 인자를 보여준다. 4 M NaCl 용액에서 PDP 시험으로 공식을 일으키면, 0Mn 합금에서 Cr2O3는 공식 발생처로 거동하지 않았으나, 2Mn 및 4Mn 합금의 (Cr,Mn)2O3 주변부 모재는 공식의 개시처로 작용하였다. 그림 7의 결과로부터, Mn 포함 합금들(2Mn, 4Mn)은 0Mn 합금 대비 NMI에 의한 공식 개시 빈도가 더 높을 것으로 예상할 수 있고 이는 Mn 포함 합금의 공식저항성 저하로 귀결된다. 0Mn 합금의 Cr2O3과 2Mn, 4Mn의 (Cr,Mn)2O3의 부식 양상이 다른 이유로는, NMI와 모재 사이의 미세 틈[59,60], NMI 주변 기지조직의 응력의 집중[61-63], 또는 NMI에 의한 부동태 피막의 불연속적 형성[27,28,60] 등을 고려할 수 있다. 이에 더하여, 나노 크기의 pit이 발생한 경우 모재 내 고용상의 Mn으로 인한 pit 성장의 가속화 또한 원인이 될 수 있다. 이 현상에 대한 해석은 상기 관점에 기초하여 추가적인 조사가 진행중이다.

다음으로, 공식 성장 거동에 주목하였다. SS에 공식이 발생하면, 공식 내부에 갇힌 용액은 산성화되고 염화이온의 농도도 상승한다. 따라서, 공식 외부 환경이 중성의 염화물 수용액이라도 공식 내부는 HCl에 가까운 환경이 조성된다[64]. 이 조건에서는 공식 내부의 금속 기지가 HCl과 직접 반응하여 용해되는 일반부식이 일어나며, 이 때의 금속의 용해속도는 발생한 공식의 성장 속도와 연계된다. 따라서 공식 내부 용액 환경을 모사하기 위해 1 M의 HCl 용액을 사용하였고 PDP 시험을 통해 세 합금의 용해 속도를 측정하였다.

그림 8(a)8(c)는 20±1°C의 1 M HCl 용액에서 측정한 0Mn–4Mn 합금의 PDP 곡선이다. 중성의 염화물 용액에서 의 분극거동(그림 6)과 달리, 강산성의 1 M HCl 용액에서는 세 합금은 모두 active-passive 천이를 보인다. 세 합금은 Ecorr (약 –0.39 VSCE)에서 일반용해 상태를 나타내며, 인가전위가 증가할수록 용해속도는 증가한다. 인가전위가 약 –0.28 VSCE 이상이 되면 부동태 피막이 형성되면서 전류밀도가 급감하며, 전위를 더욱 증가시키면 공식 발생으로 인해 전류밀도가 다시 증가한다. 그림 8(d)는 세 합금의 대표적인 PDP 곡선을 비교하여 보여준다. Mn 함량 증가에 따라 Epit이 감소하는 경향은 HCl 용액에서도 동일하게 관찰되며, 0Mn, 2Mn, 4Mn의 평균 Epit은 각각 0.204, 0.039, -0.027 VSCE로 나타났다(그림 8(e)). 그림 6 (e)의 결과와 유사하게, 0Mn과 2Mn 간 ΔEpit는 0.165 VSCE로, 2Mn과 4Mn 간 ΔEpit 값인 0.065 VSCE에 비하여 크다. 이에 더하여, 부동태 피막 형성 직전에 관찰되는 금속의 최대 용해속도인 icrit 또한 Mn 함량 증가에 따라 영향을 받는다. 세 합금의 icrit의 평균값을 측정하여 그림 8(f)에 나타내었다. 0Mn, 2Mn, 4Mn 합금의 icrit 값은 각각 260, 370, 495 μA cm–2로, Mn 함량 증가에 따라 선형적으로 증가하는 경향을 보여준다. 모재 내 Mn 함량 증가 시 HCl 용액에서 icrit의 증가는, 발생한 공식이 성장하는 단계에서의 공식 내부 금속의 용해속도가 증가하는 것을 의미하며, 따라서 모재 내 Mn 함량이 증가할수록 발생한 공식의 성장이 촉진될 수 있음을 시사한다.

Fe-22Cr-9Ni-3Mo 기지의 DSS에 Mn이 첨가되면 공식저항성이 저하되며, 이는 공식의 개시와 공식의 성장이 모두 촉진되기 때문으로 확인되었다. Mn 합금화에 의해 NMI의 조성은 Cr2O3에서 (Cr,Mn)2O3으로 변화하였고, 0Mn의 Cr2O3는 공식발생처로 거동하지 않았으나 2Mn 및 4Mn의 (Cr,Mn)2O3에 인접한 주변 기지는 우선적으로 용해되어 공식을 일으켰다. 또한 모재 내 고용상의 Mn 함량 증가는 산성용액에서 기지의 일반부식속도를 증가시켰고 이는 발생한 공식의 성장 속도 증가를 의미한다. 이 때, 0Mn과 2Mn간 Epit 감소는 상기 두 원인이 복합적으로 작용한 결과이며, 2Mn과 4Mn 합금 간의 Epit 감소는 주로 고용상 Mn에 의한 용해속도 증가에 기인한 결과이므로, 0Mn과 2Mn간 ΔEpit이 2Mn과 4Mn간 ΔEpit에 비하여 큰 현상(그림 6(e), 8(e))을 이해할 수 있다.

5. 결 론

본 연구는 Fe-22Cr-9Ni-3Mo 기지 조성에 Mn 함량을 0, 1.91, 4.01 wt%로 변화시킨 DSS 3종에 대해, Mn 함량 증가에 따른 미세조직과 공식저항성의 변화에 주목한 연구이며, 조직 분석 결과에 기초하여 공식저항성 변화를 해석하였다. 본 연구의 주요 결과는 다음과 같다.

(1) 주조 후 열간압연 및 고용화 열처리(1100–1120°C)를 거친 세 합금은 석출물이 없는 건전한 2상 구조를 가지며, α 분율(49.3–52.5 vol%) 및 결정립 크기(10.7–12.3 μm) 측면에서 서로 유사하였다. NMI 크기는 0Mn, 2Mn, 4Mn 각각 4.36, 4.28, 5.60 μm였고, 부피 분율의 경우 0Mn, 2Mn, 4Mn 각각 0.21, 0.17, 0.27 vol%를 나타내어 2Mn이 다른 두 합금에 비해 약간 낮은 NMI 분율을 보였으나, 이는 공식저항성 평가 결과와 연계하여 고려할 때 합금간 NMI 크기 및 분율 차이는 공식저항성의 결정 요인은 아닌 것으로 판단된다. 0Mn의 주요 NMI는 Cr2O3 였으며 2Mn 및 4Mn의 경우 (Cr,Mn)2O3의 NMI가 발견되었다. 따라서, 세 합금의 공식저항성 변화는, NMI 형성에 관여하지 않은 고용상의 Mn 함량과 NMI의 조성 변화를 고려하여 해석하는 것이 타당하다.

(2) 2 M NaCl 용액에서 PDP 시험을 통해 세 합금의 공식저항성을 평가한 결과, 0Mn 합금은 해당 용액에서 공식이 발생하지 않은 반면 2Mn 및 4Mn 합금에서는 안정한 공식이 발생하였다. Mn 함량 증가에 따라 Epit은 감소하는 것으로 나타났다.

(3) 공식 개시 거동을 조사하기 위해, 4M NaCl 용액에서 PDP 시험을 통해 공식을 발생시킨 후 공식발생처를 관찰하였다. 0Mn 합금의 Cr2O3는 공식 발생처로 거동하지 않았으나, 2Mn 및 4Mn 합금의 (Cr,Mn)2O3 주변부 모재는 공식의 개시처로 작용하였다.

(4) 공식 성장 거동을 연구하기 위해, 1 M HCl 용액에서 PDP 시험으로 일반부식저항성을 평가하였다. 시험 결과, 기지 내 고용상의 Mn 함량 증가에 따라 icrit이 선형적으로 증가하였다. 산성 용액에서의 icrit 증가는 공식의 성장 시 공식 내부에서 금속의 용해속도가 증가하는 것으로 해석할 수 있다. 따라서 모재의 고용상 Mn 함량의 증가로 인해 공식의 성장이 촉진되었다.

(5) 결론적으로, Fe-22Cr-9Ni-3Mo DSS에 Mn이 첨가되면 공식저항성이 저하되며, 이는 공식의 개시와 공식의 성장이 모두 촉진되기 때문으로 밝혀졌다. 2Mn, 4Mn 합금의 (Cr,Mn)2O3 은 더 많은 공식개시처를 제공했으며, 모재 내 고용상의 Mn 함량 증가는 발생한 공식의 성장을 촉진하였다.

Notes

[1] 감사의 글

본 연구는 대한민국 과학기술정보통신부의 재원으로 한국연구재단의 지원(No. RS-2025-00555370) 및 대한민국산업통산자원부의 재원(No. RS-2024-00432862)으로 수행된 연구입니다. 연구비 지원에 감사드립니다.

REFERENCES

1 
Chail G., Kangas P., Procedia Struct. Integr,2, 1755 (2016)Google Search
2 
Francis R., Byrne G., Metals,11, 836 (2021)Google Search
3 
Potgieter J.H., Olubambi P.A., Cornish L., Machio C.N., Sherif E.-S. M., Corros. Sci,50, 2572 (2008)Google Search
4 
Fedorov A.S., Zhitenev A. I., Metall,68, 1809 (2025)Google Search
5 
Yang Y., Cao J., Gu Y., Mater. Des,83, 820 (2015)Google Search
6 
Karlsson L., Weld. Int,14, 5 (2000)Google Search
7 
Lee Y., Lee J. H., Moon J., Lee T.-H., Lee C., Met. Mater. Int,28, 1971 (2022)Google Search
8 
Liu J., Niu H., He Y., Zhang Y., Sun X., Proc. AMTEI-2022, J. Phys.: Conf. Ser., 012007IOP Publishing (2023)Google Search
9 
Jang Y. S., Park J. S., Hong S. G., Kim S. J., Korean J. Met. Mater,61, 830 (2023)Google Search
10 
Lu Y., Jing H., Han Y., Feng Z., Xu L., Appl. Surf. Sci,389, 609 (2016)Google Search
11 
Kim Y. H., Frankel G., Lippold J., Guaytima G., Corrosion,62, 44 (2006)Google Search
12 
Platt J. A., Guzman A., Zuccari A., Thornburg D. W., Rhodes B. F., Oshida Y., Moore B. K., Am. J. Orthod. Dentofac. Orthop,112, 69 (1997)Google Search
13 
Verma J., Taiwade R. V., J. Manuf. Process,25, 134 (2017)Google Search
14 
Maurya A. K., Pandey C., Chhibber R., Int. J. Press. Vessels Pip,192, 104439 (2021)Google Search
15 
Han Y., Liu Z.-H., Wu C.-B., Zhao Y., Zu G.-Q., Zhu W.-W., Ran X., Tungsten,5, 419 (2023)Google Search
16 
Toor I.-u.-H., Park J. H., Kwon H. S., Corros. Sci,50, 404 (2008)Google Search
17 
Kim Y.-K., Lim K.-R., Na Y.-S., Korean J. Met. Mater,61, 389 (2023)Google Search
18 
Liljas M., Johansson P., Liu H.-P., Olsson C.-O. A., Steel Res. Int,79, 466 (2008)Google Search
19 
Yang Y., Qian H., Su Y., Mater. Charact,145, 606 (2018)Google Search
20 
Yang Y., Pan X., Mater. Sci. Eng. A,835, 142676 (2022)Google Search
21 
Toor I.-u.-H., (in press), J. Mater. Eng. Perform., (2025)Google Search
22 
Szummer A., Janik-Czachor M., Corros. Sci,35, 317 (1993)Google Search
23 
An L.-c., Cao J., Wu L.-c., Mao H.-h., Yang Y.-t., J. Iron Steel Res. Int,23, 1333 (2016)Google Search
24 
Pardo A., Merino M.C., Coy A.E., Viejo F., Arrabal R., Matykina E., Corros. Sci,50, 1796 (2008)Google Search
25 
Toor I.-u.-H., IJMR,105, 386 (2014)Google Search
26 
Park K., Kwon H., Electrochim. Acta,55, 3421 (2010)Google Search
27 
Chiba A., Muto I., Sugawara Y., Hara N., J. Electrochem. Soc,160, C511 (2013)Google Search
28 
Muto I., Ito D., Hara N., J. Electrochem. Soc,156, C55 (2008)Google Search
29 
ASTM E112-13, Standard Test Methods for Determining Average Grain Size,1-13, ASTM International (2021)Google Search
30 
ASTM G5-14(2021), Standard Reference Test Method for Making Potentiodynamic Anodic Polarization Measurements,1-5, ASTM International (2021)Google Search
31 
Ha H.-Y., Lee T.-H., Bae J.-H., Chun D. W., Metals,8, 653 (2018)Google Search
32 
Ha H.-Y., Kang J.-Y., Yim C. D., Yang J., You B. S., Corros. Sci,89, 275 (2014)Google Search
33 
Gudić S., Vrsalović L., Matošin A., Krolo J., Oguzie E. E., Nagode A., Appl. Sci,13, 4366 (2023)Google Search
34 
Bari B., Tyagi P., Udeochu U., Sci. Rep,15, 13365 (2025)Google Search
35 
Higareda A., Hernández-Arellano D. L., Ordoñez L. C., Barbosa R., Alonso-Vante N., Catalysts,13, 1346 (2023)Google Search
36 
Raveendran A., Chandran M., Dhanusuraman R., RSC Adv,13, 3843 (2023)Google Search
37 
Wu C., Tang Y., Zou A., Li J., Meng H., Gao F., Wu J., Wang X., DeCarbon,8, 100108 (2025)Google Search
38 
Yu K.P., Chen X.L., Ye K.Q., Huang M.X., Corros. Sci,246, 112756 (2025)Google Search
39 
Guo L.Q., Li M., Shi X.L., Yan Y., Li X.Y., Qiao L.J., Corros. Sci,53, 3733 (2011)Google Search
40 
Tan H., Jiang Y., Deng B., Sun T., Xu J., Li J., Mater. Charact,60, 1049 (2009)Google Search
41 
Ha H.-Y., Jang M.-H., Lee T.-H., Moon J., Corros. Sci,89, 154 (2014)Google Search
42 
Ha H.-Y., Jang M.-H., Lee T.-H., Moon J., Mater. Charact,106, 338 (2015)Google Search
43 
Ha H.-Y., Lee T.-H., Lee C.-G., Yoon H., Corros. Sci,149, 226 (2019)Google Search
44 
Zhang B., Ma X.L., J. Mater. Sci. Technol,35, 1455 (2019)Google Search
45 
Ha H.-Y., Lee T.-H., Kim S.-J., Metall. Mater. Trans. A,43, 2999 (2012)Google Search
46 
Ha H.-Y., Kwon H., Electrochim. Acta,52, 2175 (2007)Google Search
47 
Ralston K.D., Birbilis N., Corrosion,66, 075005 (2010)Google Search
48 
Ralston K.D., Birbilis N., Davies C.H.J., Scripta Mater,63, 1201 (2010)Google Search
49 
Ha H.-Y., Jang J. H., Lee T.-H., Kim S.-D., Lee C.-H., Moon J., Corros. Sci,192, 109798 (2021)Google Search
50 
Ha H.-Y., Kang J.-Y., Lee T.-H., Park H., Kim H., Steel Res. Int,94, 2200227 (2023)Google Search
51 
Park J. H., Kang Y., Steel Res. Int,88, 1700130 (2017)Google Search
52 
Byeon D., Ha H.-Y., Kim S.-D., Jo H.-H., Lee J., Jang J. H., Lee T.-H., Shin J.-H., Kang N., Metals,11, 1124 (2021)Google Search
53 
Ha H.-Y., Park C. J., Kwon H. S., Corros. Sci,49, 1266 (2007)Google Search
54 
Ha H.-Y., Park C., Kwon H., Scripta Mater,55, 991 (2006)Google Search
55 
Laycock N., White S., Noh J., Wilson P., Newman R., J. Electrochem. Soc,145, 1101 (1998)Google Search
56 
Tromans D., Sato A., Corrosion,57, 126 (2001)Google Search
57 
Kimura M., Yamaguchi K., Hayakawa M., Kobayashi K., Matsuoka S., Takeuchi E., Metall. Mater. Trans. A,35, 1311 (2004)Google Search
58 
Hisamatsu Y., Ichikawa K., Boshoku Gijutsu,23, 117 (1974)Google Search
59 
Liu Q., Yang S., Zhao M., Zhu L., Li J., Metals,7, 347 (2017)Google Search
60 
Sun Y., Tan X., Lan R., Ran G., Li J., Jiang Y., J. Mater. Sci. Technol,168, 143 (2024)Google Search
61 
Liu P., Zhang Q., Li X., Hu J., Cao F., J. Mater. Sci. Technol,64, 99 (2021)Google Search
62 
Liu P., Zhang Q.-H., Watanabe Y., Shoji T., Cao F.-H., npj Mater. Degrad,6, 81 (2022)Google Search
63 
Kayani S. H., Ha H.-Y., Cho Y.-H., Son H.-W., Lee J.-M., Corros. Sci,221, 111372 (2023)Google Search
64 
Laycock N. J., Krouse D. P., Hendy S. C., Williams D. E., Electrochem. Soc. Interface,23, 65 (2014)Google Search

Figures and Tables

Fig. 1.

Equilibrium volume fractions of phases (α, γ, M23C6, sigma, and liquid) in (a) 0Mn, (b) 2Mn, and (c) 4Mn as a function of temperature calculated using Thermo-Calc software (version 2021a, TCFE10 database).

../../Resources/kim/KJMM.2025.63/kjmm-2025-63-10-767f1.jpg
Fig. 2.

LOM images of (a1) 0Mn, (b1) 2Mn, and (c1) 4Mn, SEM images of (a) 0Mn, (b) 2Mn, and (c) 4Mn taken at (a2)(b2)(c2) low and (a3)(b3)(c3) high magnifications

../../Resources/kim/KJMM.2025.63/kjmm-2025-63-10-767f2.jpg
Fig. 3.

LOM images of (a) 0Mn, (b) 2Mn, and (c) 4Mn.

../../Resources/kim/KJMM.2025.63/kjmm-2025-63-10-767f3.jpg
Fig. 4.

SEM-BSE images of (a) 0Mn, (b) 2Mn, and (c) 4Mn taken at (a1)(b1)(c1) low and (a2)(b2)(c2) high magnifications.

../../Resources/kim/KJMM.2025.63/kjmm-2025-63-10-767f4.jpg
Fig. 5.

SEM images of NMIs and their corresponding elemental distribution maps (Fe, Cr, O, and Mn) in (a) 0Mn, (b) 2Mn and (c) 4Mn.

../../Resources/kim/KJMM.2025.63/kjmm-2025-63-10-767f5.jpg
Fig. 6.

PDP curves of (a) 0Mn, (b) 2Mn, and (c) 4Mn repeatedly measured in 2 M NaCl solution at 15±1°C at a potential sweep rate of 0.2 mV s–1. (d) Representative PDP curves of the three alloys, and (e) average Epit values with standard deviations (scatter band) of the alloys.

../../Resources/kim/KJMM.2025.63/kjmm-2025-63-10-767f6.jpg
Fig. 7.

SEM images of corrosion area of (a) 0Mn, (b) 2Mn, and (c) 4Mn after PDP tests. (a1) Uncorroded Cr2O3 in 0Mn, (a2) Pit embryo and (a3) propagated pit of 0Mn. Orange arrows indicate Cr2O3 NMI. (b1) pit embryo and (b2)(b3) propagated pits in 2Mn. (c1) pit embryo and (c2)(c3) propagated pits in 4Mn. Blue arrows indicate (Cr,Mn)2O3 NMI.

../../Resources/kim/KJMM.2025.63/kjmm-2025-63-10-767f7.jpg
Fig. 8.

PDP curves of (a) 0Mn, (b) 2Mn, and (c) 4Mn repeatedly measured in 1 M HCl solution at 20±1°C at a potential sweep rate of 1 mV s–1. (d) Representative PDP curves of the three alloys, and average (e) Epit and (f) icrit values with standard deviations (scatter band) of the alloys.

../../Resources/kim/KJMM.2025.63/kjmm-2025-63-10-767f8.jpg
Table 1.

Chemical compositions and solution treatment temperatures of the investigated alloys.

Alloy Chemical composition, wt%
Solution treatment temperature, °C
Fe Cr Ni Mn Mo
0Mn Balance 21.84 8.85 - 2.94 1100
2Mn Balance 21.95 8.69 1.91 2.94 1120
4Mn Balance 22.09 8.61 4.01 3.08 1120

[i] C ≤ 0.01, Si ≤ 0.001, P ≤ 0.002, S ≤ 0.001, N ≤ 0.006

Table 2.

α fraction, grain size, and the size and phase fractions for NMIs in the investigated alloys.

Alloys α fraction, vol% Grain size, μm NMI size, μm NMI fraction, vol%
0Mn 49.3±2.1 10.7±0.6 4.36±1.86 0.21±0.10
2Mn 51.5±1.6 12.3±0.9 4.28±1.81 0.17±0.06
4Mn 52.5±1.7 12.2±0.9 5.60±2.36 0.27±0.10
Table 3.

Chemical compositions of α and γ phases of the investigated alloys.

Alloy Phase Chemical composition, wt%
Fe Cr Ni Mo Mn
0Mn α Balance 25.5±0.5 6.5±0.4 4.0±0.2 -
γ Balance 20.3±0.3 10.7±0.4 2.5±0.1 -
2Mn α Balance 25.5±0.2 6.7±0.1 3.9±0.2 1.9±0.1
γ Balance 20.0±0.1 10.8±0.2 2.4±0.2 2.2±0.1
4Mn α Balance 25.7±0.2 6.7±0.1 4.1±0.1 3.9±0.1
γ Balance 19.9±0.1 10.8±0.3 2.4±0.1 4.3±0.1
Table 4.

Chemical composition, chemical formula, and Mn/Cr ratio of NMIs.

Alloy Chemical composition of NMI, at%
Chemical formula Mn/Cr
Cr Mn O
0Mn 37.6±1.5 - 60.6±1.4 Cr2O3 -
2Mn 27.2±0.3 12.0±1.0 59.1±0.9 (Cr,Mn)2O3 0.44
4Mn 26.3±0.8 12.9±0.7 59.1±1.0 (Cr,Mn)2O3 0.49