The Journal of
the Korean Journal of Metals and Materials

The Journal of
the Korean Journal of Metals and Materials

Monthly
  • pISSN : 1738-8228
  • eISSN : 2288-8241

Editorial Office


  1. 서울시립대학교 신소재공학과 (1Department of Materials Science and Engineering, University of Seoul, 163, Seoulsiripdea-ro, Dongdaemun-gu, Seoul 02504, Republic of Korea)
  2. 엠케이전자(주) 기술연구소 (2MK Electron, R&D Center, 405, Geumeo-ro, Pogok-eup, Cheoin-gu, Yongin-si, Gyeonggi-do, 17030, Republic of Korea)



Au alloy wire, Pd contents, bonding wire, High-temperature reliability, Al pad thickness

1. 서 론

본딩 와이어 (bonding wire)는 반도체 소자 패키지 공정의 하나로 와이어로 칩의 금속 패드와 리드 사이의 전기적인 신호 연결을 위해 사용된다. 금 본딩 와이어는 초창기 금의 뛰어난 우수한 연성, 전성 및 내산화 특성으로 초기의 반도체 패키지 분야에 채용되어 왔다[1-4].

최근 들어 차량용 전장부품에 사용되는 반도체 칩의 종류 및 수량이 급속도로 늘어나면서 신뢰성 면에서 우수한 금 본딩 와이어가 많이 사용되고 있다. 차량용 반도체 패키지는 오작동하는 경우 심각한 인명사고로 이어질 수 있으므로 기존에 사용하면서 신뢰성이 검증된 금 본딩 와이어가 많이 쓰이고 있고 최근에는 신뢰성 요구 수준이 더욱 높아지면서 금 본딩 와이어의 고습 및 고온신뢰성에 관한 연구가 필요하다.

Breach 등[5]은 금 본딩 와이어는 금 재료 고유의 우수한 내식성으로 반도체 패키지에서 주로 요구되는 고습신뢰성에 대해서는 매우 우수한 특성을 보임을 보고하였다. 그러나 최근 자동차용 반도체 패키지에서 요구되는 고온신뢰성 수준에 대해서는 아직 많은 보고가 없다. 자동차용 패키지에서 금 본딩 와이어를 채용한 경우의 고온신뢰성 기준을 나타내는 Automotive Electronics Counsel (AEC) Q100에 의하면 가장 가혹한 grade 0의 경우 차량용 반도체 와이어본딩 패키지는 175°C 고온 가속 환경에서 1,000시간 이상에서 파괴가 일어나지 않아야 하는 기준이 요구되고 있다[7]. 따라서 바람직한 차량용 소자의 패키지 신뢰성 확보를 위해서는 175°C 고온 가속 환경으로 1,000시간 이상에서도 문제가 없는지 확인하는 연구가 필요하다.

금 본딩 와이어를 사용 시 발생할 수 있는 고온신뢰성 문제점은 Au & Al bonding system에서 형성되는 AuxAly (Intermetallic compound, IMC 이하 금속간 화합물) 형성 시 발생하는 보이드 (voids)에 의해 접합 계면이 취약해 파괴가 일어나는 것이다. 금 본딩 와이어를 알루미늄 패드에 접합하면 금의 빠른 확산 속도에 의해 접합공정 중에 AuxAly 금속간 화합물이 형성된다. 이후 소자를 계속 사용하게 되면 알루미늄 패드의 알루미늄 금속이 모두 소진되더라도 AuxAly 금속간 화합물을 형성하게 되면 Au-rich 한 금속간 화합물로 상변화가 일어나고, 이때 계속된 금의 확산이동 때문에 Kirkendall void가 발생한다. 이러한 확산이동은 알루미늄 패드가 소진된 이후부터 급속하게 일어나며 이 Kirkendall void가 연결되며 계면의 crack 형성을 유발하며 궁극적으로 파괴가 일어나는 것으로 보고되었다[8-11].

이러한 기존의 연구는 일반적으로 많이 쓰이는 1 μm 이하의 얇은 알루미늄 패드 두께에 대해서 보고된 것이 대부분이다. 알루미늄 패드가 얇을 경우는 제한된 알루미늄의 공급으로 금속간 화합물 상의 변화가 일어나며 Kirkendall void가 가속화된다. 이러한 Kirkendall void의 성장 및 연결에 의해 계면 crack이 발생하는 문제가 있었다[11].

Noolu 등[12]은 A u/Al 접합부에서 Au4Al, Au8Al3, Au2Al이 형성되고 Au8Al3가 주요 금속간 화합물 상으로 형성될 수 있으며 알루미늄 패드의 크기 및 두께의 한계로 인한 공급이 제한적일 경우 Au4Al 상으로 안정화된다. 그리고 금속간 화합물 간 상변화에 의해 접합 네킹부에 Kirkendall void가 형성되며 이들이 성장하면 결국 crack이 발생하고 전파될 수 있음을 보고하였다. Lall 등[13]에 의하면 초기에 Au4Al, Au8Al3 두 상이 형성되고 시간이 지나며 모든 금속간 화합물이 Au4Al 상으로 변환되지만 결국 금속간 화합물 성장과 상변태로 인해 Kirkendall void가 형성되고 이러한 보이드 형성으로 전기 저항 증가와 기계적 강도 저하를 유발함을 보고하였다.

이들 연구는 모두 1 μm 정도의 상대적으로 얇은 알루미늄 패드에 대해서 보고한 것으로 아쉽게도 5 μm 정도로 상대적으로 두꺼운 알루미늄 패드와 접합한 경우에 대해서는 충분한 보고가 없었다. 그러나 최근 일부 차량용 소자의 패키지의 경우 배선 층이 복잡해지고 신뢰도 향상을 위해 알루미늄 패드 두께를 기존보다 3~5배 정도 두껍게 사용하는 경우가 많아지고 있다. 알루미늄 패드가 이 정도로 두꺼울 경우 알루미늄의 공급이 제한적이지 않기 때문에 발생하는 금속간 화합물의 상과 종류는 얇은 알루미늄 패드의 경우와 다를 수 있다.

한편 Bahi 등[14]은 팔라듐을 포함한 여러 가지 첨가 원소가 들어가면 금속간 화합물 성장에 큰 영향을 미침을 보였다. 얇은 알루미늄 패드와의 접합에서 금 본딩 와이어에 팔라듐을 첨가할 경우 팔라듐이 1st bonded ball과 금속간 화합물 계면 사이 1st bonded ball 바닥 부분으로 몰리면서 확산을 지연시키는 층을 형성하는 것으로 알려졌다. 밀집된 팔라듐층을 뚫고 금이 1st bonded ball에서 알루미늄 패드 쪽으로 이동해야 하므로 이러한 팔라듐 확산 지연층의 존재에 따라 Kirkendall void의 성장 속도와 형성되는 금속간 화합물 상의 차이가 발생한다[15,16]. 따라서 두꺼운 알루미늄 패드와의 접합에서 팔라듐 첨가에 따른 금 본딩 와이어의 고온신뢰성도 정밀한 확인이 필요하다.

본 연구는 알루미늄 패드 두께에 따라 4N급 순금과 1% 팔라듐이 첨가된 2N급 금 본딩 와이어의 접합부를 AEC Q100 grade 0 기준으로 고온신뢰성을 확인하고 시간별로 미세구조와 금속간 화합물 변화를 확인하였다.

2. 실험 방법

금 본딩 와이어는 99.99 wt% Au (이하 4N, 전기비저항 2.3 μΩ·cm)과 1wt% Pd & 99wt% Au (이하 2N, 전기비저항 2.9 μΩ·cm) 2종을 준비하였다. 이때 모든 금 본딩 와이어는 직경 15.3 μm 의 굵기로 동일한 인발 공정으로 제작되었다. 130 mm × 35 mm 크기의 PCB 기판 위에 알루미늄 패드의 크기가 65 μm × 65 μm 가 되도록 하였고 이때 알루미늄 패드의 두께는 1, 5 μm 두 가지로 준비하였다.

알루미늄 패드 두께 및 금 본딩 와이어의 조성에 따른 고온신뢰성 특성을 확인하기 위해 와이어 본더 (Kulicke & Soffa, RAPID pro)를 사용하여 대기 상태에서 Free Air Ball (FAB)을 제조하였다. 와이어 직경의 2배 크기의 FAB을 제작하였으며, 본딩 시 PECO사의 캐필러리를 사용하였다. 알루미늄 패드와 lead finger 부분에 각각 1st ball bond와 2nd stitch bond를 형성하였다.

FAB 및 1st ball bond는 고배율 광학현미경 (Olympus STM7)을 사용하여 관찰하였다. 형성된 FAB을 위쪽에서 빛을 비추어준 상태에서 구형도 및 표면을 확인하였다. 1st ball bond도 마찬가지로 위쪽에서 빛을 비추어준 상태에서 ball의 구형도 및 중심의 치우침 정도를 관찰하였다.

초기 접합의 안정성 평가를 위해 각 시료에 대해 1st ball bond에 대한 접합성 평가를 진행하였다. 평가는 Dage-4000 장비를 활용하여 ball shear test (BST)와 bond pull test (BPT)를 진행하였다. BST 파단모드는 ball의 단위면적 당 접합력을 평가하는 방법으로 1st ball bond의 단위면적을 파단 하중(gr)으로 나눈 단위를 일반적인 패키지 공정에서 사용한다. 마찬가지로 BPT 파단모드는 접합 와이어의 1st ball bond 부근에서 와이어를 당겼을 때 파단되는 하중(gr)으로 일반적인 패키지 공정에서 사용한다.

AEC Q100 grade 0 기준에 맞춘 고온신뢰성 평가를 위해 175°C의 고온챔버 (성호시그마사, SOF-105)를 사용하여 1,000시간까지 고온신뢰성 평가를 진행하였다. 이때 0, (2, 100), 250, 500, 1,000시간에서 시편을 꺼내 각 시간에서 미세구조와 금속간 화합물 성장 및 계면 구조를 확인하였다. 고온신뢰성 시간에 따른 접합부 관찰을 위해 본딩된 시료를 에폭시 레진 (epoxy resin)으로 고정하고 기계적 연마와 ion polishing (Hitachi, IM-4000)을 하여 단면을 확보하였다. 1st b al과l 알루미늄 패드 사이 계면을 Field Emission-Scanning Electron Microscopy (FE-SEM, Thermo-fisher, Apreo 2 S)과 Energy Dispersive X-ray Spectroscopy (Oxford, Ultim Extreme)로 미세구조와 금속간 화합물을 관찰하였다.

3. 결과 및 고찰

그림 1은 FAB 형상을 광학현미경을 사용하여 관찰한 이미지이다. 4N과 2N 시료 모두 직경 31.5μm의 구형 FAB 모양이 확인된다. 1% 수준의 팔라듐이 합금 형태로 들어간 2N의 결과에 근거하여 팔라듐의 첨가가 FAB의 형상에는 영향을 주지 않는 것을 알 수 있다.

그림 2는 접합의 안정성 확인을 위해 1st ball bond 모양을 관찰한 광학현미경 이미지이다. 와이어의 조성이나 알루미늄 패드의 두께와 관계없이 4조건 모두 특이사항은 관찰되지 않았으며, 1st ball bond의 크기는 42~43 μm 로 유사한 크기를 보여주며 모양이 정상적으로 형성된 것을 알 수 있다.

그림 3은 1st ball bond 이후 SEM으로 접합부의 수직 단면을 관찰한 경우 size, height, C-H height의 위치를 보여준다. 1st ball bond의 size는 볼의 원형 형상의 가장 큰 지름을 나타내고 height는 가장 큰 원의 높이를, 마지막으로 C-H height는 캐필러리의 chamfer와 hole에 의해 형성된 높이를 나타낸다. 앞의 그림 보다 더 정밀한 차원적인 크기 변화를 확인할 수 있다.

표 1에는 그림 3의 1st ball bond 부분의 size, height, 그리고 C-H height를 측정한 결과를 나타내었다. 조건별 1st bonded ball의 size는 앞서 보인 그림 2의 결과와 동일한 결과를 보였고, height 및 C-H height는 알루미늄 패드의 두께와 큰 관계없이 비슷한 수준의 값을 나타내었다.

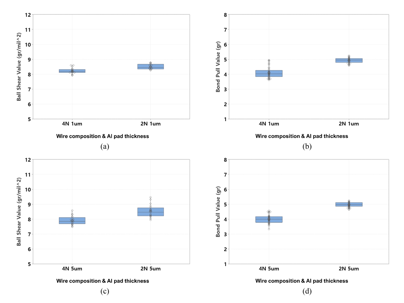
그림 4에는 1 μm 두께의 알루미늄 패드 두께를 갖는 기판에 본딩 초기 접합의 안정성을 확인하는 BST와 BPT 결과를 나타내었다. 그래프에서 원형 마커는 개별 데이터 들이고, 상자는 상자중심 데이터의 중앙값을 중심으로 ±25% 범위를 나타낸다. BST 파단모드는 접합 볼 부분에서, BPT 파단모드는 ball neck 및 span에서 파괴가 일어나 알루미늄 패드 두께와 금 본딩 와이어 순도와 관계없이 모두 건전한 접합이 이루어짐을 알 수 있다. 특히 전 조건에서 팔라듐이 혼입된 2N 경우가 4N보다 BST에서는 약 6%, BPT에서는 20% 정도 향상된 결과를 보여 팔라듐 첨가가 초기 본딩 직후의 접합에는 강도 향상에 긍정적인 역할을 하였다.

그림 5 (a)~(d)는 1 μm의 알루미늄 패드 위에 형성된 4N 금 본딩 와이어의 1st ball bond 접합부들이 175°C에서 1,000시간까지 유지된 경우 시간별 조건에서의 접합부와 금속간 화합물의 형성과정을 나타낸 SEM 수직단면 결과이다.

(a) 접합 직후에는 알루미늄 패드의 일부에 매우 미세한 금속간 화합물이 형성되며 Karpel 등[11]이 보고한 경우와 동일한 접합부를 보인다.

(b) 250시간에는 약 2 μm의 금속간 화합물이 생성되며 초기 접합부의 측면부위로도 금속간 화합물이 성장한다. 각 방향으로 3 μm 정도의 덧살형 금속간 화합물이 생성되고 이때 금과 금속간 화합물 계면 양 끝에 Kirkendall void가 생성된다. 이러한 형상은 Noolu 등[12]이 보고한 것과 일치한다. 이미 250시간 정도의 어닐링에서 금 직하부의 알루미늄은 전부 소진되었다.

(c) 500시간에서는 시간이 지나면서 형성된 금속간 화합물 측면부의 알루미늄과 금 부분이 확산반응하면서 금속간 화합물의 측면성장과 금 접합부의 높이가 낮아지는 특징을 보이고 있다. 이때 형성된 Kirkendall void의 큰 크기 변화는 없었다.

(d) 1,000시간에는 계속 금속간 화합물의 측면성장이 일어났고 접합부 금은 측면 금속간 화합물 생성에 소진되고 이에 대해 왼쪽 볼 부의 2차 Kirkendall void 형성이 보였다. 이와 같이 4N 접합부는 1,000시간까지도 금속간 화합물의 측면성장 때문에 Kirkendall void가 크게 성장하지 않고 건전한 접합이 유지되며 이때 생성되는 Kirkendall void도 그 크기로 보아 기계적 강도 변화나 전기적 특성에 영향을 미치지 않을 것으로 예상되었다.

그림 6 (a)~(d)는 1 μm의 알루미늄 패드 위에 형성된 2N (1% 팔라듐 첨가) 금 본딩 와이어의 1st ball bond 접합부들이 175°C에서 1,000시간까지 유지된 경우 각 조건에서의 SEM 수직단면 이미지이다. (a) 접합 직후는, 앞의 4N과 동일하며, (b) 250시간 지난 후에는 2.5 μm 두께의 금속간 화합물이 형성되었다.

(c) 500시간의 이미지는 4N의 경우와 비슷하게 이후 측면 금속간 화합물이 접합부의 양측 금과 반응하여 성장하고, (d) 1,000시간에는 측면부로 금속간 화합물이 성장을 이어가지만 더 이상의 Kirkendall void 생성은 없었다.

1 μm 알루미늄 패드 위에 형성된 4N, 2N 금 본딩 와이어의 1st ball bond 계면의 금속간 화합물 형성 및 성장 양상은 와이어에 포함된 팔라듐의 함량에 관계 없이 유사한 경향을 보였다. 성장된 금속간 화합물 형상에서 1,000시간까지 Kirkendall void의 성장이 크기 않아 4N, 2N 모두 AEC Q100 grade 0 기준을 만족하는 고온신뢰성이 가능하였다.

그림 7 (a)~(d)에는 5 μm의 두꺼운 알루미늄 패드에 형성된 4N 금 본딩 와이어 접합부들이 시간에 따라 금속간 화합물을 형성시키며 변화하는 SEM 수직단면 이미지를 나타내었다.

(a) 접합 직후는 앞서 보인 1 μm 알루미늄 패드의 경우와 비슷한 모습을 보였다. 알루미늄 패드의 2 μm 깊이까지 변형되며 접합되고 계면에 1 μm 알루미늄 패드보다 두꺼운 약 0.5 μm 두께의 금속간 화합물이 보였다. 이후 (b) 250시간에는 앞서 보인 1 μm 알루미늄 패드에 비해 측면보다는 주로 본딩 방향으로 12 μm 두께의 금속간 화합물이 성장하였고, C-H부 측면과 금속간 화합물 측면부에 Kirkendall void가 생겼다. 한편 접합부 바닥 쪽의 알루미늄은 모두 소모된 것을 볼 수 있다.

(c)의 500시간에는 C-H 부위 금이 확산반응에 기여하면서 ball neck 근처까지, 그리고 접합 측면부로도 금속간 화합물이 계속 성장하였다. (d) 1,000시간에는 C-H 부에 금은 남지 않고 측면성장이 진행되어 ball neck과 금속간 화합물이 만나게 되고 ball neck 부에 금 확산이동에 수반되는 Kirkendall void가 보인다.

결국 5 μm 두께의 알루미늄 패드의 경우에는 1 μm 두께의 알루미늄 패드와 달리 알루미늄이 충분히 공급되면서 금속간 화합물의 수직 방향 성장이 가능하여 와이어 ball neck 부까지 금속간 화합물이 성장할 수 있고, 이때 ball neck 부에 생성되는 crack은 기계적, 전기적 관점에서 1 μm 두께의 알루미늄 패드의 경우보다 불리할 수 있었다.

그림 8 (a)~(d)는 5 μm의 두꺼운 알루미늄 패드에 형성된 2N (1% 팔라듐 첨가) 금 본딩 와이어 접합부들의 시간에 따른 SEM 수직단면 이미지이다.

(a)의 접합 직후는 4N의 경우와 비슷하였으나 접합 중심부는 상대적으로 얇게 접합되고 접합 직경은 작게 형성되는 특징이 있었다. (b) 250시간은 수직 방향으로 4N과 비슷한 12 μm 정도의 금속간 화합물 성장을 보였고 4N과 달리 측면부의 성장은 관찰되지 않았다. 또한 접합부 양쪽 끝부분 금속간 화합물 계면 부에는 보이드가 형성되었고, 접합부의 기저 면에는 큰 보이드가 형성되었다. 이러한 하부의 큰 보이드는 기계적 신뢰성 관점에서 불리할 것이 예상되었다.

이러한 현상의 발생원인은 4N과 같이 금속간 화합물을 형성하는 상호확산이 일어나다가 시간이 지나면 팔라듐이 확산을 방해하며 양측 부의 금속간 화합물이 상대적으로 적게 형성된다. 초기 금의 우선 확산에 의해 양측 부에 Kirkendall void가 먼저 생성되다가 시간이 지나면 팔라듐 첨가 효과로 금의 확산 속도가 저하되며 Al-rich 상이 형성되며 급격한 수축에 의해 결과적으로 하부 중심부에 큰 Kirkendall void가 형성되었다.

(c)의 500시간 이후에는 1st ball의 옆면을 따라 금속간 화합물의 측면성장이 관찰되었고, 4N에 비해 C-H부 하단까지만 금속간 화합물이 형성되는 특징이 있었다. (d)의 1,000시간의 경우에는 4N의 경우와 비교하여 금속간 화합물 형성이 C-H 부까지만 형성되고 측면성장이 감소하지만 하부와 측면부에 큰 보이드가 형성되는 특징을 보였다.

결국 5 μm 알루미늄 패드와의 접합에서 1% 팔라듐의 첨가는 금의 확산을 지연시켜 금속간 화합물의 생성을 억제하지만 상대적으로 활성화된 알루미늄에 의해 250시간부터는 접합부 하부에 큰 보이드를 형성시켜 1 μm 알루미늄 패드와의 접합의 경우와는 달리 고온신뢰성 면에서 매우 불리하였다.

표 2에는 고온신뢰성 시간대별 EDS 결과에 의한 금속간 화합물의 종류를 나타내었다. 1 μm 알루미늄 패드의 경우는, 4N과 2N 금 본딩 와이어 모두 1,000시간이 되면 Au4Al + Au8Al3 상으로 안정화 되었다. Noolu 등에[10] 의하면 특히 Kirkendall void의 형성은 Au4Al 상에서 주로 합쳐지고 성장하는 것으로 알려져 있으나 앞서 보인 미세구조의 양측 부에서만 한정되어 생성되어 전체적인 본딩에는 큰 영향을 미치지 않는 것으로 보인다. 알루미늄 패드의 두께가 1 μm인 경우의 시간에 따른 금속간 화합물 상변화는 기존 문헌에서[9,10] 보고한 바와 잘 일치하였다.

5 μm 알루미늄 패드의 경우는 4N의 경우 250시간에서 이미 Au8Al3로 안정화되어 건전한 접합이 1,000시간까지 가능한 것으로 보인다. 마찬가지로 2N의 경우도 250시간에서 동일하게 Au8Al3로 상이 안정화 되는 양상을 보여준다.

그림 9에는 5 μm 알루미늄 패드 2N의 경우 (a) 2시간과 (b) 100시간에서의 우상단 inset 표시부의 계면 근처의 확대된 SEM 미세구조와 해당 부분에서의 EDS 결과를 나타내었다.

(a)에서는 어닐링이 진행된 상대적으로 매우 짧은 시간인 2시간에서 AuAl2 상이 형성되고 나머지 부분에서는 명확히 Au2Al 상이 생성되었음을 보인다.

(b)의 100시간에서는 이미 계면 부에 10 μm에 이르는 보이드가 형성되고 AuAl2가 Au2Al 상으로 변화하였고 다시 주변부는 Au8Al3 상으로 변화하였음을 보이고 있다. 이러한 결과의 의미는 초기에 이미 생성된 AuAl2가 Au2Al로 상변화 하는 과정에서 계면 부는 약 22%의 거대 부피 수축 응력이 발생하고 이러한 수축 응력에 의해 계면 부에 거대한 보이드의 성장으로 진행이 가능하였다[8,11].

이러한 현상은 알루미늄 패드 두께가 얇거나 팔라듐이 함유되지 않은 경우에서는 보고되지 않은 것으로, 5 μm 두께의 상대적으로 두꺼운 알루미늄 패드가 채용되는 경우 2N의 팔라듐이 고온 어닐링과정에서 계면에서 금의 이동 확산을 지연시켜 Au-rich 상인 Au8Al3이 형성되는 것을 지연시키고 대신 초기에 AuAl2를 생성시키고 Au2Al, Au8Al3 단계별로 상변화 함으로써 계면에 큰 보이드 생성을 유도하는 특이성을 보였다.

따라서 두꺼운 알루미늄 패드를 채용하는 경우는 4N의 순도이거나 초기에 AuAl2 금속간 화합물을 생성하지 않은 정도의 극소량의 팔라듐만을 함유시키는 것이 유리하였다.

4. 결 론

알루미늄 패드 두께에 따라 4N과 1% 팔라듐이 혼입된 2N 미세 금 본딩 와이어 접합을 진행하였다. 모든 와이어는 우수한 FAB 특성과 접합 직후에는 동일한 정도의 접합 강도와 특성을 보였으나 고온신뢰성 면에서는 생성되는 금속간 화합물에 따라 서로 다른 특성을 보였다.

1 μm의 얇은 알루미늄 패드에 접합된 4N과 2N 와이어 모두 AEC Q100 grade 0 조건으로 175 °C - 1,000 hrs를 만족하였고 2N이 초기 접합 강도 면에서 유리하였다.

그러나 5 μm의 두꺼운 알루미늄 패드에서는 4N은 1,000시간 조건에서 1st ball neck 부분에 crack이 관찰되었다. 2N은 2시간 만에 알루미늄 패드 기저부에 팔라듐 혼입으로 인한 금의 확산 속도 저하로 인해 AuAl2 상의 형성과 Au2Al 상전이가 일어나 계면 부에 급격한 수축 발생에 의한 거대 보이드가 생성되는 문제가 있었다. 따라서 5 μm의 두꺼운 알루미늄 패드에 접합하는 경우에는 팔라듐 함량을 억제하는 것이 유리하였다.

REFERENCES

1 
Gan C. L., Classe F., Chan B. L., Hashim U., Microelectronics Int,31, 121 (2014)Google Search
2 
Yoo Y. R., Kim G. B., Jeon S. M., Park H. J., Seo W. W., Moon J. T., Kim Y. S., 7275, Mat,16, 1 (2023)Google Search
3 
Rosli M. S. A. M., Rusdi M. S., Hassan M. H., Seman S. A. H. A., Rohseli S., Jamaludin N., Rahman O. A., Int. J. Nanoelectronics and Mat,16, 405 (2023)Google Search
4 
Kim S. Y., Jeon S. M., Park H. J., Kim S. H., Shin J. J., Song O. S., Korean J. Met. Mater,62, 9 (2024)Google Search
5 
Breach C. D., Shen N. H., Mun T. W., Lee T. K., Holyday R., 2010 11th International Conference on Electronic Packaging Technology & High Density Packaging (ICEPT-HDP 2010), https://www.proceedings.com/09423.html, (2010)Google Search
6 
Kim H. J., Kim G. H., Ko Y. H., Baek C. M., Park J. H., Park Y. B., Korean J. Met. Mater,62, 9 (2024)Google Search
7 
Automotive Electronics Council, AEC Q100, http://www.aecouncil.com/AECDocuments.html (2023),
8 
Zhou H. L., Zhang Y. C., Cao J., Su C. H., Li C., Chang A., An B., Micromachines 14,432, 1 (2023)Google Search
9 
Choi Y. C., Teck S. C., Poh L. T., Hoon H. P., Diong S., Int. Electronic Manufacturing Technol,Putrajaya (2006)Google Search
10 
Xu H., Liu C., Silberschmidt V. V., Pramana S. S., White T. J., Chen Z., Acoff V. L., Scripta Materialia,65, 642 (2011)Google Search
11 
Karpel A., Gur G., Atzmon Z., Kaplan W. D., J. Mater. Sci,42, 2347 (2007)Google Search
12 
Noolu N. J., Murdeshwar N. M., Ely K. J., Lippold J. C., Baeslack W. A., J. Mater. Res,19, 1374 (2004)Google Search
13 
Lall P., Deshpande S., Comparison of Reliability of Copper, Gold, Silver, and PCC Wirebonds Under Sustained Operation at 200 °C, https://www.circuitinsight.com/pdf/comparison_reliability_copper_gold_siler_pcc_wirebonds_smta.pdf, (2018)
14 
Bahi M. A., Lecuyer P., Gentil A., Fremont H., Landesman J. P., Christien F., Electronics Packaging, Technol. Conf., 800IEEE (2008)Google Search
15 
Hwang J. S., Kumar B. S., Moon J. T., Uhm C., Kim Y. N., Sivakumar M., Yew S. K., Electronics Packaging, Technol. Conf., 795IEEE (2008)Google Search
16 
Chang H. S., Hsieh K. C., Martens T., Yang A., J. Electronics Mater,32, 1182 (2003)Google Search

Figures and Tables

Fig. 1.

FAB shape of Au bonding wires of (a) 4N and (b) 2N.

../../Resources/kim/KJMM.2025.63/kjmm-2025-63-12-946f1.jpg
Fig. 2.

1st ball bond shape of 1 μm Al pad with (a) 4N , (b) 2N, and 5 μm Al pad with (c) 4N, (d) 2N.

../../Resources/kim/KJMM.2025.63/kjmm-2025-63-12-946f2.jpg
Fig. 3.

Dimension Notation of 1st ball bond size, bonded ball and C-H height.

../../Resources/kim/KJMM.2025.63/kjmm-2025-63-12-946f3.jpg
Fig. 4.

Bondability result of 1 μm Al Pad in (a) BST, (b) BPT, and 5 μm Al Pad in (c) BST, (d) BPT.

../../Resources/kim/KJMM.2025.63/kjmm-2025-63-12-946f4.jpg
Fig. 5.

SEM cross-sectional images of 1 μm Al pad with gold wires of 4N at (a) 0 hr, (b) 250 hrs, (c) 500 hrs, (d) 1,000 hrs.

../../Resources/kim/KJMM.2025.63/kjmm-2025-63-12-946f5.jpg
Fig. 6.

SEM cross-sectional images of 1 μm Al pad with gold wires of 2N at (a) 0 hr, (b) 250 hrs, (c) 500 hrs, (d) 1,000 hrs.

../../Resources/kim/KJMM.2025.63/kjmm-2025-63-12-946f6.jpg
Fig. 7.

SEM cross-sectional images of 5 μm Al pad with gold wires of 4N at (a) 0 hr, (b) 250 hrs, (c) 500 hrs, (d) 1,000 hrs.

../../Resources/kim/KJMM.2025.63/kjmm-2025-63-12-946f7.jpg
Fig. 8.

SEM cross-sectional images of 5 μm Al pad with gold wires of 2N at (a) 0 hr, (b) 250 hrs, (c) 500 hrs, (d) 1,000 hrs.

../../Resources/kim/KJMM.2025.63/kjmm-2025-63-12-946f8.jpg
Fig. 9.

SEM cross-sectional images of 5 μm Al pad with gold wires of 2N at (a) 2 hrs, and (b) 100 hrs.

../../Resources/kim/KJMM.2025.63/kjmm-2025-63-12-946f9.jpg
Table 1.

1st ball bond size, bonded ball height and C-H height.

1 μm Al pad
5 μm Al pad
4N 2N 4N 2N
Bonded ball size (μm) 42.1 42.4 43.5 41.9
Bonded ball height (μm) 8.7 8.4 8.2 9.1
C-H height (μm) 13.2 12.9 12.8 13.4
Table 2.

Evolution of the IMC phases in the bonded balls depending on annealing time, Al pad thickness, and wire composition.

250 hrs 500 hrs 1,000 hrs
1 μm 4N Au4Al Au4Al+Au8Al3 Au4Al+Au8Al3
2N Au4Al+Au8Al3 Au4Al+Au8Al3 Au4Al+Au8Al3
5 μm 4N Au8Al3 Au8Al3 Au8Al3
2N Au8Al3 Au8Al3 Au8Al3