The Journal of
the Korean Journal of Metals and Materials

The Journal of
the Korean Journal of Metals and Materials

Monthly
  • pISSN : 1738-8228
  • eISSN : 2288-8241

Editorial Office


  1. 경북대학교 수소 및 신재생에너지학과 (Department of Hydrogen and Renewable Energy, Kyungpook National University, Daegu 41556, Republic of Korea)
  2. 서울시립대학교 신소재공학과 (Department of Material Science and Engineering, University of Seoul, Seoul 02504, Republic of Korea)
  3. 나노재료연구본부, 한국재료연구원 (Nano Materials Research Division, Korea Institute of Materials Science, Changwon 51508, Republic of Korea)
  4. 경북대학교 나노신소재공학과 (School of Nano and Materials Science and Engineering, Kyungpook National University, Gyeongsangbuk-do 37224, Republic of Korea)



Bi0.4Sb1.6Te3, Bipolar effect, Chemical bath deposition, Lattice thermal conductivity, SnO2, Thermoelectric

1. 서 론

열전재료는 열에너지를 전기에너지로, 또는 전기에너지를 열에너지로 직접 변환할 수 있는 특성을 지니며, 전 세계적인 청정에너지 수요 문제 해결에 기여할 잠재력을 가진다. 이러한 열전 효과는 제벡(Seebeck) 효과와 펠티어(Peltier) 효과에 기반하며, 주로 고체 상태 냉각(solid-state cooling)과 발전(power generation) 장치에 활용된다[1-3]. 열전 재료의 에너지 변환 효율은 무차원 성능지수 $zT = S^2 \sigma T / \kappa$로 정의되며, 여기서 $S$는 제벡계수(Seebeck coefficient), $\sigma$는 전기전도도, $\kappa$는 총 열전도도, $T$는 절대온도를 의마한다. 총 열전도도 $\kappa$는 일반적으로 전자 기여분 ($k_e$), 격자 기여분 ($k_l$), 그리고 양극성 기여분 ($k_{bp}$)으로 구성된다. 높은 파워팩터 ($S^2 \sigma$)와 낮은 열전도도($\kappa$)를 동시에 달성해야 높은 $zT$ 값을 얻을 수 있으나, 이러한 열전 매개변수들은 서로 밀접하게 연관되어 있어, 한 요소를 향상시키면 다른 특성이 저하되는 경향이 있다. 따라서, $zT$와 변환 효율을 동시에 극대화하는 것은 여전히 도전적인 과제로 남아 있다.

다양한 열전재료 중에서도 비스무트 텔루라이드 (Bi2Te3) 기반 합금은 상온 근처에서 가장 우수한 열전 성능을 나타내는 대표적인 물질로 알려져 있다[4-5]. Bi2Te3의 $zT$ 향상을 위해 텍스처링(texturing), 에너지 필터링 (energy filtering effect), 내재적 결함 제어 (intrinsic point defect engineering), 다중 스케일 미세구조 형성 (multi-scale microstructuring), 계면 제어(interface engineering) 등 다양한 접근법이 제안되어 왔다[6-10]. 예를 들어, Hwang et al.은 SnTe 표면에 Cd를 코팅하여 계면에서의 에너지 필터링 효과를 통해 파워 팩터를 향상시키는 동시에 격자 열전도도를 감소시켰으며[11], Sharief et al.은 무전해 도금법(electroless coating)을 이용해 Bi0.5Sb1.5Te3 분말 표면에 Sn, Pd, Cu를 코팅함으로써 격자 열전도도를 크게 낮추고 약 102%의 $zT$ 향상을 달성하였다[12]. 또한, Kim et al.은 원자층 증착법 (Atomic Layer Deposition, ALD)을 이용해Bi0.4Sb1.6Te3 표면에 고융점 ZnO 박막을 균일하게 형성함으로써 전기적 특성을 최적화하고, 나노구조화를 통해 격자 열전도도를 효과적으로 감소시켰다[13]. 이와 같은 방법들은 높은 성능을 달성하였으나, 대부분 고비용 및 장시간 공정이라는 한계를 가진다. 특히, Bi2Te3 기반 재료는 600 °C의 낮은 융점을 가져 입계 제어 (grain boundary engineering)가 어렵다. 따라서, 고융점을 갖는 나노박막층을 Bi2Te3 계면에 도입하는 것은 구조적 불안정성을 완화하고, 나아가 입계 제어 및 설계를 가능하게 하는 효과적인 접근법이 될 수 있다. 한편, 화학 용액 증착법(Chemical Bath Deposition, CBD)은 자가 제한적 반응(self-limiting mechanism)을 기반으로 한 박막 성장 기술로, 나노미터 수준의 두께를 정밀하게 제어할 수 있으며, 공정이 간단하고 대량생산에 적합하다는 장점을 지닌다[14-15].

본 연구에서는 CBD 공정을 이용하여 p형 Bi0.4Sb1.6Te3 (BST) 분말 표면에 고융점 산화물인 SnO2를 코팅함으로써 열전 특성을 향상시키고자 하였다. 실험 결과, SnO2 코팅 시간에 따라 BST 매트릭스 내 전하 운반자 산란을 크게 유발하지 않으면서도 넓은 온도 범위에서 격자 열전도도가 현저히 감소하였다. 그 결과, 최대 $zT$ 값은 1.27로, 기존 BST 시료 대비 약 49% 향상되었으며, 303-483 K 구간에서의 평균 $zT$ 값은 1.15로 계산되었다. 이는 기존에 보고된 BST 기반 복합체들보다 우수한 열전 성능을 나타낸다.

2. 실험 방법

Bi0.4Sb1.6Te3 (BST) 합금은 순도 99.999%의 Bi, Sb, Te 금속 원소를 정밀 계량하여 준비하였다. 혼합된 원소는 진공 상태의 석영관(quartz tube)에 밀봉한 후, 1273 K에서 12시간 동안 용융하여 잉곳(ingot)을 제작하였다. 이후 잉곳을 수동 분쇄(hand-grinding) 및 체거름(sieving) 과정을 통해 균일한 분말로 제조하였다.

BST 분말 표면에 SnO2를 코팅하기 위해 화학 용액 증착(Chemical bath deposition, CBD)을 적용하였다. 용매로는 탈이온수 (DI water) 120 mL를 사용하였으며, 전구체로 염화주석 이수화물(SnCl2·2H2O)을 사용하였다. 증착 공정은 중탕 처리된 1 L 비커 내에서 수행되었고, 0.0028 M 농도의 전구체 용액이 담긴 200 mL 비커에 제조된 BST 분말을 첨가하였다. 이후, 자력 교반기(magnetic stirrer)를 이용하여 300 rpm의 속도로 교반 하였다. 반응이 완료된 후, 분말을 여과하여 잔여 용액을 제거하고 오븐에서 완전히 건조하였다. 건조된 복합 분말은 직경 10.4 mm의 흑연 몰드(graphite mold)에 충전한 후, 480 °C, 45 MPa의 진공 분위기에서 10분간 스파크 플라즈마 소결(spark plasma sintering)을 수행하여 펠렛(pellet) 형태의 벌크 시편을 제작하였다.

벌크 시료의 상(phase) 조성은 Cu Kα선을 이용한 X-선 회절 (X-ray diffraction, XRD, Rigaku Ultima IV/ME 200DX, Japan) 분석을 통해 확인하였다. 미세조직(microstructure) 및 조성 분석 (compositional analysis)은 에너지 분산형 X-선 분광기(EDS, X-Max 50, Oxford Instruments, UK)가 장착된 전계방출형 주사전자현미경(FE-SEM, JEOL IT-500, Japan)을 사용하여 수행하였다. 온도 의존적 전기전도도($\sigma$)와 제벡 계수 ($S$)는 헬륨(He) 분위기에서 상용 측정 시스템(ZEM-3, Ulvac, Japan)을 이용하여 303–483 K 범위에서 측정하였다. 홀 캐리어 농도($n_H$)와 이동도($\mu_H$)는 van der Pauw 방식을 적용하여 홀 효과 측정 시스템 (ezHEMS, Nanomagnetics Instruments, UK)으로 측정하였다. 총 열전도도($k_{tot} = \rho_s C_p \lambda$)는 아래와 같이 구하였다. $\lambda$는 레이저 플래시법(Laser Flash Method, LFA-457, Netzsch, Germany)으로 측정한 열확산계수이며, $C_p$는 0.192 Jg-1K-1로 가정하였다. $\rho_s$는 아르키메데스 법으로 측정한 시료의 밀도이다. 모든 샘플의 열확산계수 측정은 303–483 K 온도 범위에서 수행되었다.

3. 결과 및 고찰

그림 1은 본 연구에서 합성된 Bi0.4Sb1.6Te3 (BST)/x SnO2 (x = 90, 150, 210, 270초) 소결체의 X선 회절 (XRD) 패턴을 나타낸 것이다. 모든 시료는 (Bi,Sb)2Te3의 표준 회절 패턴 (JCPDS #01-072-1836)과 일치하는 피크를 보였으며, 불순물 상은 관찰되지 않았다. 그림 1(b)는 주요 회절 피크 영역을 확대한 것으로, SnO2 코팅 시간이 증가함에 따라 회절피크가 고각 방향으로 이동하는 경향이 확인된다. 이러한 피크 이동은 Sn (151 pm)의 이온 반경이 Bi (155 pm)보다 작기 때문에, Sn 이온이 Bi 위치를 치환하면서 결정격자 수축을 유도한 결과로 해석된다[16].

Fig. 1. (a) Room temperature XRD patterns of BST/x SnO2 (x = 0, 90, 150, 210, and 270 sec) samples. (b) Enlarged XRD patterns showing the systematic shift of the (015) peak.

../../Resources/kim/KJMM.2026.64.2.100/fig1.png

그림 2(a–c)는 SnO2가 코팅된 BST 분말의 표면 및 조성 분석 결과를 보여준다. 약 40 $\mu$m 크기의 BST 입자 표면 전반에 걸쳐 Sn과 O 원소가 균일하게 분포하는 것이 확인되어, SnO2가 BST 입자 전체에 균일하게 코팅되었음을 알 수 있다. SnO2 코팅이 결정립 성장에 미치는 영향을 평가하기 위해 벌크 시편의 파단면을 관찰하였으며, 그림 2(d)에 제시된 순수 BST 시료와 비교할 때 SnO2가 코팅된 시료 (그림 2(e))에서 결정립 크기가 현저히 감소하였다. 이와 같은 구조적 변화는 ZnO/BST 복합체 연구에서도 유사하게 보고된 바 있으며, 고융점 및 고안정성을 가진 ZnO 산화물이 결정립계를 고정(pinning)시켜 입자 성장을 효과적으로 억제하는 것으로 나타났다[13]. 따라서 본 연구에서 관찰된 결정립 크기의 감소는, 유사하게 고융점 (약 1620 °C)을 가지는 SnO2가 입계에 존재함으로써 결정립 성장을 억제하고, 결과적으로 미세구조 제어에 기여했음을 시사한다[17].

Fig. 2. (a-c) FE-SEM and EDS mapping images for powder of x = 210 sec sample, respectively. (d-e) Fracture surface of bulk pristine BST and x = 210 sec sample.

../../Resources/kim/KJMM.2026.64.2.100/fig2.png

이러한 결과를 바탕으로, SnO2 코팅이 미세구조 및 계면 구조에 미치는 영향을 보다 정밀하게 확인하기 위해 TEM, HRTEM, 및 EDS 원소 맵핑 분석을 수행하였으며, 그 결과를 그림 3에 나타내었다. 그림 3(a)(b)는 각각 순수 BST와 BST/SnO2복합체 분말의 저배율 TEM 이미지로, BST 입자 표면에 SnO2가 코어-셸(core-shell) 구조로 형성되어 있음을 보여준다. 그림 3(c)그림 3(b)의 붉은색 박스 영역을 확대한 고배율 HRTEM 이미지로, SnO2 결정의 (220)과 (110) 면이 각각 0.236 nm와 0.335 nm의 격자 간격을 나타내며, SnO2가 결정성을 유지한 채 코팅되어 있음을 확인할 수 있다. 또한, 그림 3(d)는 HAADF-STEM 이미지와 함께 Bi, Sb, Te, Sn, O 원소에 대한 EDS 맵핑 결과를 제시한 것으로, SnO2가 BST 입자 표면에 성공적으로 코팅되었으며 명확한 계면 구조가 형성되었음을 뒷받침한다.

Fig. 3. (a-b) Low-TEM images for powder of BST and x = 210 sec sample, respectively. (c) High-resolution TEM image magnified from the red dotted region in Fig. 3(b). (d) HAADF-STEM and EDS mapping images for blue dotted region in Fig. 3(b).

../../Resources/kim/KJMM.2026.64.2.100/fig3.png

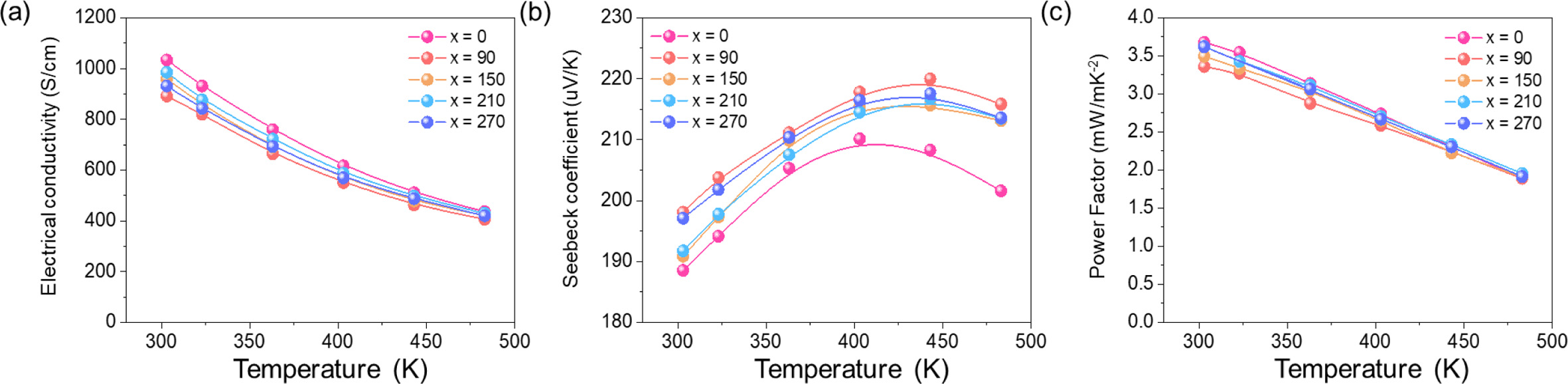
그림 4는 BST/x SnO2 (x = 0, 90, 150, 210, 270초) 시료의 온도에 따른 전기적 특성 변화를 나타낸 것이다. 그림 4(a)의 전기전도도 ($\sigma$)는 온도 상승에 따라 감소하는 경향을 보이며, 이는 전형적인 반도체적 거동을 의미한다. SnO2 코팅 시료의 경우, 전기전도도는 x = 90초에서 일시적으로 감소하였으나, 코팅 시간이 증가함에 따라 다시 증가하는 경향을 나타냈다. 그림 4(b)는 온도에 따른 제백계수 ($S$)를 나타낸다. x = 90초 시료에서 $S$ 값이 증가하였으나, 코팅 시간이 더 길어진 시료에서는 점차 감소하였다. 특히 주목할 점은, 순수 BST 시료가 403 K에서 최대 제백계수 ($S_{max}$)를 나타낸 반면, SnO2 코팅 시간이 증가함에 따라 $S_{max}$가 고온 영역으로 이동했다는 것이다. 이는 고유 여기 (intrinsic excitation)가 억제되었음을 시사한다. 전기전도도의 감소는 파워 팩터($PF$)의 감소로 이어졌으며, 303 K에서의 $PF$는 순수 시료의 3.72 mWm-1K-2에서 x = 90초 시료의 x = 3.36 mWm-1K-2 로 감소하였다(그림 4(c)).

그러나 코팅 시간이 더 긴 x = 210초 및 270초 시료에서는 $PF$가 순수 BST 시료와 유사한 수준을 유지하였다.

전기적 수송 거동을 보다 정밀히 분석하기 위해, 상온에서 Hall 캐리어 농도 ($n_H$)와 이동도 ($\mu_H$)를 측정하였으며 그 결과를 그림 5(a)에 제시하였다. 캐리어 농도는 SnO2 코팅 시간이 증가함에 따라 점차 감소하였고, 이는 전기전도도의 감소로 이어졌다. 이러한 현상은 Sn4+이온이 Bi3+또는 Sb3+자리를 치환하면서 전자 (electron)를 생성하고, 결과적으로 정공 (hole) 농도를 감소시킨 결과로 해석된다. 이는 XRD 분석에서 주요 회절 피크가 고각 방향으로 이동한 결과 와도 일치한다. 하지만, Sn의 산화 상태는 합성 환경에 따라 달라질 수 있으므로, 소량의 Sn2+가 존재했을 가능성을 완전히 배제할 수 없다. Hu et al.은 Sn이 BiSbTe 시스템 내에 도핑 될 경우, antisite 결함을 형성하고, 이로 인해 정공 농도가 증가한다고 보고하였다[16]. 그러나 본 연구에서는 오히려 정공 농도가 감소하는 현상이 관찰되었으며, 이는 단순한 Sn 치환 메커니즘만으로는 설명하기 어렵다. 이러한 비정형적 거동은 SnO2/BST 계면에 형성된 전위 장벽이 저 에너지 정공을 선택적으로 차단함으로써 발생하는 에너지 필터링 효과에 기인할 수 있다(그림 5(f)). 한편, 캐리어 이동도는 대부분의 시료에서 캐리어 농도와 역의 상관관계를 보였다. 이는 캐리어 간 산란보다는, 그림 5(f)에 제시된 바와 같이 계면 산란 또는 에너지 필터링 효과가 주요 전하 수송 메커니즘으로 작용하고 있음을 시사한다. 특히, x = 90초 시료에서는 캐리어 농도와 이동도가 동시에 감소하는 비정상적인 거동이 나타났다. 이는 SnO2가 짧은 코팅 시간 동안 BST 표면에 불연속적인 island(섬) 형태로 존재하여 산란 중심으로 작용했기 때문이다. 그러나, 코팅 시간이 증가함에 따라 SnO2는 보다 정합된 연속 코팅층을 형성하게 되고, 이에 따라 계면 거칠기가 감소하고 전하 이동 경로가 정렬되며, 불연속 도메인에 의한 산란 감소도 줄어들어 결과적으로 이동도가 증가할 수 있다. 뿐만 아니라 이러한 이동도의 증가는 단순한 계면 산란 억제보다는, 에너지 필터링 효과에 의해 고에너지 정공의 평균 이동도가 향상된 결과로 해석될 수 있다. 그림 5(b)는 상온에서의 제백계수와 전기전도도 간의 상관관계를 나타낸 것이다. 유효질량 ($m^*$), 캐리어 평균 자유 행로 ($\lambda$), 및 페르미 에너지 ($E_F$)는 다음의 관계식을 이용하여 계산하였다[18-19].

Fig. 4. Temperature-dependent electronic transport properties for all samples. (a) Electrical conductivity, (b) Seebeck coefficient, (c) Power factor, respectively.

../../Resources/kim/KJMM.2026.64.2.100/fig4.png
(1)
$m^* = \frac{h^2}{2k_B T} \left[ \frac{n}{4\pi F_{1/2}(\eta)} \right]^{2/3}$
(2)
$\lambda = \left( \frac{\mu}{e} \right) (2E_F m^*)^{1/2}$
(3)
$E_F = (r + 3/2) \frac{\pi^2 k_B^2 T}{3eS}$

여기서 $h$, $k_B$, $n$, $F_n$, $\eta$는 각각 플랑크 상수, 볼츠만 상수, 캐리어 농도, n차 페르미 적분, 화학 퍼텐셜을 의미하며, $\mu$, $E_F$, $m^*$, $r$, $e$, $S$, $T$는 각각 캐리어 이동도, 페르미 에너지, 유효질량, 산란계수 (여기서는 음향 포논 산란에 대해 r = -1/2), 전하량, 제백계수, 그리고 절대온도 (303 K)를 의미한다. 그림 5(d)에 제시된 평균 자유행로의 변화는 전기전도도와 유사한 경향을 나타내며, 제백계수 역시 페르미 에너지의 변화와 밀접한 상관관계를 보인다. 이는 SnO2 코팅시간이 증가함에 따라 유효질량과 페르미 에너지가 감소하고, 그 결과 에너지 필터링 효과가 강화되었음을 보여준다. 낮은 페르미 에너지는 페르미 준위 근처의 상태밀도(Density of states) 비대칭성이 증가시켜 제백계수를 향상시키며, 동시에 평균 자유 행로가 짧아지면서 캐리어 산란이 강화되어 전기전도도와 열전도도가 함께 감소하게 된다[20]. 앞서 그림 4(b)에서 확인된 $S_{max}$의 고온 이동 현상을 정량적으로 분석하기 위해 Goldsmid-Sharp 관계식을 적용하여 복합체들의 밴드갭 ($E_g$)을 계산하였다(그림 5(e))[21]. 그 결과, SnO2 코팅 시간이 증가할수록 $E_g$가 점진적으로 증가하는 경향을 나타냈다. 이는 도입된 SnO2가 밴드갭 확장을 유도하여, 고온 영역에서의 양극성 효과(bipolar effect)를 효과적으로 억제함을 의미한다.

Fig. 5. Electronic transport parameters for all samples at room temperature (a) Hall carrier concentration ($n_H$) and mobility($\mu_H$), (b) Seebeck coefficient ($S$) and electrical conductivity ($\sigma$), (c) Effective mass ($m^*$), (d) Mean free path ($\lambda$) and Fermi energy ($E_F$), and (e) Band gap ($E_g$) for BST/x SnO2 samples (x = 0, 90, 150, 210, and 270 sec). (f) Schematic of band diagram between SnO2 and BST matrix.

../../Resources/kim/KJMM.2026.64.2.100/fig5.png

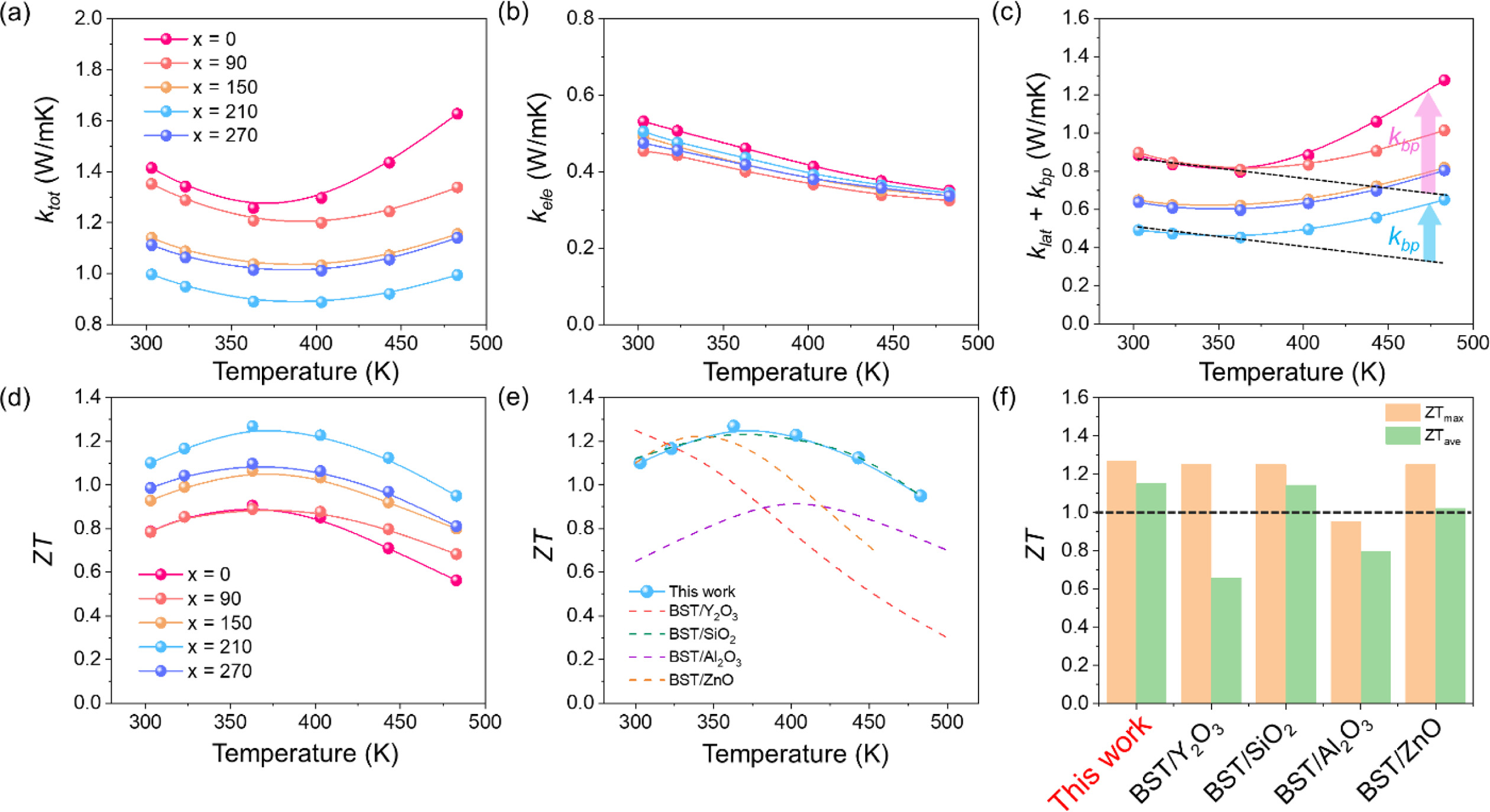
그림 6(a)는 BST/x SnO2 (x = 0, 90, 150, 210, 270초) 시료의 온도에 따른 총 열전도도 ($k_{tot}$)를 나타낸 것이다. 모든 시료는 온도 상승에 따라 초기에는 열전도도가 감소하다가, 고온 영역에서 다시 증가하는 경향을 보였다. 이는 양극성 열전도도 ($k_{bp}$)의 기여에 기인한 결과로 해석된다. 순수 BST 시료와 비교할 때, 모든 SnO2 코팅 시료에서 총 열전도도 값이 감소하였으며, 특히, x = 210초 시료에서 가장 낮은 값을 나타냈다. 전자 열전도도 ($k_{ele}$)는 Wiedemann-Franz 법칙 ($k_{ele} = L\sigma T$)에 따라 계산하였으며, 다음의 관계식으로 계산되었다[22].

(4)
$L = \left( \frac{k_B}{e} \right)^2 \frac{3F_0(\xi_F)F_2(\xi_F) - 4F_1^2(\xi_F)}{F_0^2(\xi_F)}$
(5)
$S = \frac{k_B}{e} \left( \frac{2F_1}{F_0} - \eta \right)$
(6)
$F_j(\eta) = \int_0^\infty \frac{\epsilon^j}{1 + \exp(\epsilon - \eta)} d\epsilon$

여기서 $L$, $F_j$, $\eta$, $\epsilon$는 로렌츠 수, 차수 페르미 적분, 환산 에너지 (에너지를 $k_B T$로 나눈 값), 무차원 페르미 준위를 의미한다. 이후 총 열전도도에서 전자 열전도도를 제외하여 격자 및 양극성 열전도도 ($k_l + k_{bp}$)를 분리하였으며, 그 결과를 그림 6(c)에 제시하였다.

SnO2가 코팅된 모든 시료는 순수 BST 시료에 비해 $k_l + k_{bp}$ 값이 현저히 낮은 값을 나타냈다. 특히 x = 210초 시료의 경우, 363 K에서 0.81 W m-1K-1에서 0.45 W m-1K-1로 약 44% 감소하였다. 또한, 고온 영역에서도 순수 BST 시료에 비해 $k_l + k_{bp}$의 증가 폭이 작게 나타났으며, 이는 양극성 열전도도 억제 효과에 기인한 결과로 해석된다. 이러한 경향은 SnO2 코팅에 의해 생성된 결함과 계면 산란이 포논(phonon) 산란을 효과적으로 강화했을 뿐만 아니라, 밴드갭 증가에 따른 전자 및 정공 쌍의 억제 효과도 열전도도 저감에 기여했음을 시사한다. 즉, SnO2 도입은 전하 운반지 뿐만 아니라 포논의 수송 거동에도 복합적인 영향을 미친 것으로 판단된다. 그림 6(d)는 BST/x SnO2 (x = 0, 90, 150, 210, 270초) 시료의 온도에 따른 열전 성능지수 ($zT$)의 변화를 나타낸 것이다. 총 열전도도의 큰 감소 효과로 인해 SnO2가 코팅된 모든 시료는 순수 BST 시료에 비해 향상된 $zT$ 값을 보였으며, 특히 x = 210초 시료에서 최대 $zT$ = 1.27을 기록하여 약 49%의 개선을 달성하였다. 그림 6(e)(f)는 기존에 보고된 산화물 기반 BST 복합체의 $zT$ 향상 사례들을 비교한 것으로, 본 연구에서 얻은 결과가 문헌에 보고된 값보다 우수한 열전 성능을 나타냄을 확인할 수 있다[23-26]. 특히, x = 210초 시료는 303–483 K 구간에서 평균 $zT$ ($zT_{ave}$) = 1.13을 기록하였다. 이러한 최대 및 평균 $zT$의 향상은 고효율 열전 소자 개발에 크게 기여할 수 있을 것으로 기대되며, 나아가 화학 용액 증착법을 기반으로 한 표면 공정이 다양한 열전 소재 시스템에도 확장 적용될 수 있음을 보여준다.

Fig. 6. Temperature-dependent thermal transport properties and $zT$ for all samples. (a) total thermal conductivity ($k_{tot}$), (b) electrical thermal conductivity ($k_{ele}$), (c) sum of lattice and bipolar thermal conductivity ($k_l + k_{bp}$), and (d) $zT$, respectively. (e) Comparison with previously reported oxide- incorporated BST composites for $zT$, and (f) maximum $zT$ ($zT_{max}$) and average $zT$ ($zT_{ave}$) across the 303–483 K temperature range.

../../Resources/kim/KJMM.2026.64.2.100/fig6.png

4. 결 론

본 연구에서는 화학 용액 증착법을 이용하여 SnO2가 표면에 균일하게 코팅된 Bi0.4Sb1.6Te3(BST) 복합체를 합성하고, 그 열전 수송 특성에 미치는 영향을 체계적으로 분석하였다. SnO2 코팅은 밴드갭을 증가시켜 고온 영역에서의 양극성 효과 (bipolar effect)를 효과적으로 억제하였으며, 미세구조 분석을 통해 SnO/BST 계면에서의 포논 산란 강화가 격자 열전도도를 저감의 주요 원인임을 확인하였다. 그 결과, 최적의 코팅 조건 (x = 210초)에서 363 K에서 최대 $zT$ = 1.27, 303–483 K 구간에서 평균 $zT$ = 1.13의 우수한 열전 성능을 달성하였다. 본 연구는 화학 용액 증착법을 활용한 표면 개질이 Bi2Te3 기반 열전 소재의 성능 향상에 효과적인 접근법임을 제시하였으며, 나아가 본 전략이 다양한 열전 소재 시스템에도 확장 적용될 수 있음을 시사한다.

감사의 글

이 논문은 2023학년도 경북대학교 연구년 교수 연구비에 의하여 연구되었음(This research was supported by Kyungpook National University Research Fund, 2023).

REFERENCES

1 
Lee J., Park H., Kim J., Seo W.-S., Kim S., Kim H.-S., Korean J. Met. Mater., 62, 550 (2024)DOI
2 
Mun H., Lee K., Kim S., Kim J.-Y., Lee J., Lim J.-H., Park H., Roh J., Kim S., Materials, 8, 959 (2015)Google Search
3 
Kang J.-W., Hwang S.-M., Kim S.Y., Lee C., Seo W.-S., Kim S., Kim H.-S., Korean J. Met. Mater., 62, 787 (2024)DOI
4 
Kim G., Lee K., Shin H., Kim J., Chang J., Roh J. W., Lee W., Appl. Phys. Lett., 120 (2022)Google Search
5 
Lee N., Ye S. W., Park J., Seo S., Kang M., Kim H.-S., Kim S., Kim J. Y., Cho Y., Nam W. H., Roh J. W., ACS Appl. Energy Mater., 7, 8807 (2024)Google Search
6 
Wang H., Luo G., Tan C., Xiong C., Guo Z., Yin Y., Yu B., Xiao Y., Gu H., Liu G., Tan X., Noudem J. G., Jiang J., ACS Appl. Mater. Interfaces, 12, 31612 (2020)Google Search
7 
Lee K., Kim G., Ye S. W., Kim J., Roh J. W., Lee W., ACS Appl. Energy Mater., 7, 9300 (2024)Google Search
8 
Tian Z., Jiang Q., Li J., Kang H., Chen Z., Guo E., Wang T., Chem. Eng. J., 494, 152954 (2024)Google Search
9 
Zhang Y., Jia X., Sun H., Sun B., Liu B., Liu H., Kong L., Ma H., J. Electron. Mater., 2, 316 (2016)Google Search
10 
Jo S., Park S. H., Ban H. W., Gu D. H., Kim B.-S., Son J. H., Hong H.-K., Lee Z., Han H.-S., Jo W., Lee J. E., Son J. S., J. Alloys Compd., 689, 899 (2016)Google Search
11 
Hwang J., Kim H., Han M.-K., Hong J., Shim J.-H., Tak J.-Y., Lim Y. S., Jin Y., Kim J., Park H., Lee D.-K., Bahk J.-H., Kim S.-J., Kim W., ACS Nano, 13, 8347 (2019)Google Search
12 
Sharief P., Madavali B., Dharmaiah P., Song J. W., Gian-Song S. Y., Han J. H., Song S. H., Hong S.-J., J. Eur. Ceram. Soc., 42, 3473 (2022)Google Search
13 
Kim K.-C., Lim S.-S., Lee S. H., Hong J., Cho D.-Y., Mohamed A. Y., Koo C. M., Baek S.-H., Kim J.-S., Kim S. K., ACS Nano, 13, 7146 (2019)Google Search
14 
Hodes G., Phys. Chem. Chem. Phys., 9, 2181 (2007)Google Search
15 
Nair P., Sol. Energy Mater. Sol. Cells, 52, 313 (1998)Google Search
16 
Hu X., Xiang Q., Kong D., Fan X., Feng B., Pan Z., Liu P., Li R., Li G., Li Y., J. Solid State Chem., 277, 175 (2019)Google Search
17 
Gaillard-Allemand B., Podor R., Vilasi M., Rapin C., Maı̂tre A., Steinmetz P., J. Eur. Ceram. Soc., 22, 2297 (2002)Google Search
18 
Kim J. H., Back S. Y., Yun J. H., Lee H. S., Rhyee J.-S., Materials, 14, 1564 (2021)Google Search
19 
Zhu T., Gao H., Chen Y., Zhao X., J. Mater. Chem. A, 2, 3251 (2014)Google Search
20 
Kumar A., Thoravat S., Jin H. J., Park J., Jin H., Rawat P., Rhyee J.-S., J. Alloys Compd., 979, 173503 (2024)Google Search
21 
Goldsmid H. J., Sharp J. W., J. Electron. Mater., 28, 869 (1999)Google Search
22 
Kim J. H., Cho H., Back S. Y., Yun J. H., Lee H. S., Rhyee J.-S., J. Alloys Compd., 815, 152649 (2020)Google Search
23 
Madavali B., Kim H.-S., Lee K.-H., Hong S.-J., Intermetallics, 82, 68 (2017)Google Search
24 
Dou Y. C., Qin X. Y., Li D., Li L. L., Zou T. H., Wang Q. Q., J. Appl. Phys., 114 (2013)Google Search
25 
Ha J., Rathinam V., Go E., Hong S., Adv. Eng. Mater., 27 (2024)Google Search
26 
Jiang Q., Yang J., Xin J., Zhou Z., Zhang D., Yan H., J. Alloys Compd., 694, 864 (2017)Google Search