The Journal of
the Korean Journal of Metals and Materials

The Journal of
the Korean Journal of Metals and Materials

Monthly
  • pISSN : 1738-8228
  • eISSN : 2288-8241

Editorial Office


  1. 부산대학교 재료공학부 (School of Materials Science and Engineering, Pusan National University, Busan 46241, Republic of Korea)
  2. 부산대학교 소재기술연구소 (Institute of Materials Technology, Pusan National University, Busan 46241, Republic of Korea)



Aluminum alloy, Aluminum nitride, Composite, Contact angle, Microstructure, Wettability

1. 서 론

지난 수십년간 액상 금속과 세라믹 기판 간의 젖음성은 금속-세라믹 브레이징 및 복합재료 제조 분야에서 중요하게 간주되어 왔다[1,2]. 특히 금속기지 복합재료의 경우, 기계적 및 열적 특성은 금속/세라믹 간의 계면에서의 하중전달 및 열전달에 의해 크게 좌우되며 이는 곧 계면결합의 강도와 연관이 있다[1,3]. 알루미늄(Al)은 낮은 용융점과 우수한 연성, 그리고 높은 열전도 특성을 가져 금속 복합재료의 기지소재로써 주목받아 왔다. 하지만 순수한 Al은 Al2O3, SiC와 같이 강화재로 사용되는 세라믹 소재와의 젖음성이 매우 좋지 못한 것으로 알려져 있다[4-10]. 젖음성은 금속-세라믹 간의 접착력을 반영하는 특성으로, 금속기지 복합재료를 제조할 때 특히 중요하게 고려되는 변수로 알려져 있다[11]. 예를 들면, Al 기지 복합재료를 교반주조(stir casting) 법으로 제조하는 경우, 강화재의 상분율은 30 vol.% 이하로 제한되며 60–80 vol.%로 고분율의 강화재를 얻기 위해서는 최대 300 MPa의 매우 높은 침투압력이 요구되고 있는 실정이다[12]. 세라믹 소재에 대한 Al의 젖음성은 1000 °C 이상의 온도에서 상당 수 개선되는 것으로 알려져 있으나, 이처럼 고온의 환경에 액상 Al이 장시간, 반복적으로 노출될 경우 금형의 열화 또는 강화재의 손실이 발생할 가능성이 높아진다.

질화알루미늄(AlN)은 높은 열전도도, 낮은 열팽창계수, 우수한 치수 안정성을 보이는 세라믹 재료로써 전자 패키징, 방열기판과 같은 열관리 소재로 주목받고 있다[13]. 특히 경량 금속이면서 AlN과의 반응성이 낮은 Al과 혼합되어 복합재료를 형성하는 경우, 기계적 특성과 열전도 특성이 동시 향상되는 방열복합 신소재가 될 수 있음이 보고된 바 있다[14-20]. 지금까지 Al/AlN 복합재료는 분말야금, 교반주조, 가압침투 방식으로 제조되어 왔지만, 고비용의 원소재, 제조공정의 복잡성 등과 같은 현실적인 제약이 존재하며 특히 Al과 AlN 간의 열악한 젖음성은 복합재료 개발의 원천적인 문제점으로 간주되고 있다. 젖음성이 우수한 금속-세라믹 조합일수록 세라믹 강화재가 액상 금속에 의해 잘 적셔져, 기공 발생률을 줄이고 우수한 계면 결합을 갖는 것이 가능하다. 따라서 Mg, Cu와 같은 이종원소를 첨가하여 AlN에 대한 Al 합금의 젖음성을 향상시키고자 하는 연구가 있었으나, Mg 첨가는 Al 합금의 열전도도를 심각하게 저하시키며[15] Cu 첨가는 오히려 Al 합금의 젖음성을 악화시키는 것으로 보고된 바 있다[21].

액상 Al과 AlN 간의 열악한 젖음성을 극복하기 위해, 불활성 가스 분위기에서 전기 아크를 사용하여 금속을 용해하는 아크용해법을 적용하여 Al/AlN 복합재료를 제조하는 방안이 보고된 바 있다[14-16]. 아크용해법은 아크전류의 제어를 통해 Al 합금을 기화점에 가까운 온도까지 가열시키는 것이 가능한데, 특히 불활성 가스에 질소(N2)를 혼합하는 경우 아크 플라즈마에 의해 Al-N 간의 반응이 촉진되어 액상 Al에 AlN을 자발적으로 형성시키는 것이 가능하다[22]. 특히 아크용해를 이용하는 경우 Al과 AlN 간의 젖음성이 좋아지는 1000 °C 이상으로 Al 용탕을 가열하는 것이 가능해짐에 따라, 금속-세라믹 간 강한 계면 결합이 이루어져 열전도 특성이 우수한 복합재료를 제조하는 것이 가능하다[14-16].

최근에는 이종원소 Si의 첨가를 통해 Al/AlN 복합재료의 기계적 특성 및 열적 특성을 보다 더 향상시키고자 하는 연구가 보고되었다[16]. Si의 첨가는 Al 금속 기지에 공정 Si의 형성을 유발하여, Al 기지 복합재료의 강도를 향상시키는 것이 가능하다. 특히 Si 첨가량을 공정조성 이상으로 높인 과공정 Al-Si 합금을 이용한다면, 초정 Si의 낮은 열팽창계수(~ 2×10-6/K)로 인해 열팽창을 더욱 감소시킬 수 있어 Al/AlN 복합재료를 고부가가치 방열소재로 적용시킬 가능성이 보다 높아질 수 있다. 그림 1a-c는 아크용해법으로 제조된 AlN 강화 복합재료의 미세조직이며 금속 기지의 조성은 각각 Al, Al-20Si, Al-40Si (at.%)이다. 세 복합재료 모두 밝은 색의 Al 기지 내부에 어두운 색의 AlN이 라멜라와 같은 연속적인 형태로 존재하는데, 특히 미세한 라멜라 틈새에 Al 기지와 초정 Si가 균일하게 분포하고 있다(그림 1d). 이와 같은 미세구조는 과공정 Al-Si 용탕의 우수한 유동성에 기인하는 것으로 생각할 수도 있겠으나, Si의 함량이 18 at.%를 초과하는 경우 과도한 초정 Si의 형성으로 인해 Al-Si 합금의 주조성은 오히려 악화된다[23]. 따라서 Al과 N2 간의 자발반응으로 미세 라멜라 구조의 형성이 가능함을 설명하기 위해 AlN과 과공정 Al-Si 합금 간의 젖음성에 대한 논의가 필요하나, 이에 대한 연구가 체계적으로 보고된 바는 아직 없다.

Fig. 1. (a) OM micrographs of (a) Al/AlN, (b) Al-20Si/AlN, (c) Al-40Si/AlN composites fabricated by arc melting. (d) SEM image and elemental maps of Al, Si, and N for Al-20Si/AlN composites (marked by yellow box in (b)).

../../Resources/kim/KJMM.2026.64.2.126/fig1.png

본 연구에서는 정적법(sessile drop method)으로 AlN 기판과 순수 Al 및 과공정 Al-Si 합금 간의 젖음성을 평가하였다. 이를 위해 약 10-3 Pa의 고진공 분위기에서 850–1100 °C로 승온되어 용융된 Al-Si 금속방울(액적)의 접촉각 변화를 시간에 따라 측정하였다. 순수 Al 액적의 젖음성 평가 결과를 바탕으로, Si가 첨가된 액적에서 AlN과의 접촉각과 표면장력 및 접착력에 대한 온도 의존성을 논의하였다. 주사전자현미경을 이용하여 온도 상승에 따른 액적과 기판 간의 계면구조 및 액적 표면의 산화층 두께 변화를 분석함으로써, AlN 기판에 대한 Al-Si 합금의 비반응성 젖음거동을 확인하였다. 이를 통해 액상 공정을 이용한 AlN 강화 Al-Si 합금기지 복합재료의 제조 가능성을 고찰하였다.

2. 실험 방법

본 연구에서 사용된 Al, Al-Si(Al-20, 40Si at.%) 합금은 순도 99.999%의 Al, Si 모원소 펠렛을 아르곤 가스 분위기에서 3번 이상 아크 용해하여 제조하였다. 아크 용해를 통해 얻은 버튼에서 5×5×6 mm 치수의 육면체 시편(약 0.4 g)을 절단하였고, 시편의 표면은 SiC 사포(2000 grit)를 이용하여 연마하였다. 접촉각 측정 실험에 사용된 AlN 기판(20×20×1 mm, 3 wt.% Y2O3 소결제 첨가)의 표면은 0.05 μm 실리카 현탁액으로 연마하여 접촉각에 대한 표면 거칠기의 영향을 최소화하고자 하였다. 표면 연마가 완료된 Al 합금 및 AlN 기판은 산화를 방지하기 위해 즉시 진공 보관되었다.

세라믹 AlN에 대한 액상 Al 합금의 젖음성을 평가하기 위해 고진공 분위기에서 정적법(sessile drop test) 실험이 가능한 고온 접촉각 측정기(OCA25-HTV 1800, NFEC-2025-05-306146, DataPhysics Instruments GmbH)를 사용하였다. 그림 2a-b는 본 연구에서 사용된 접촉각 측정기의 전반적인 모식도와 가열부의 내부 사진을 보여준다. 액적의 접촉각 측정을 위해 Al 합금과 AlN 기판을 올려놓은 알루미나(Al2O3) 캐리어를 알루미나 튜브의 정중앙에 배치하였으며, 탈산제(getter) 역할을 위한 타이타늄 스펀지를 캐리어 옆에 장입하였다. 액적 형상의 촬영을 위한 캐리어/CCD 카메라 간의 수평과 조명의 밝기는 수작업으로 맞춰졌다. 알루미나 튜브의 배기에는 터보분자펌프가 사용되었다. 시편 장입 이후 알루미나 튜브 내 공기를 배기하고 아르곤 가스를 100 L/h의 유량으로 30초 간 주입하는 작업을 2 차례 반복함으로써, 알루미나 튜브 내 불순물 농도를 낮추고자 하였다. 아르곤 가스가 대기압까지 채워진 알루미나 튜브는 다시 터보분자펌프에 의해 배기되어 약 10-3 Pa의 고진공 상태로 유지되었으며, 이 때부터 5 °C/min로 승온되어 실험 온도에 도달하도록 가열되었다. Al 합금의 접촉각은 850–1100 °C 구간에서 등온으로 유지된 상태로 측정되었으며, 실험 온도에서 5 시간 유지하며 접촉각의 변화를 관찰하였다. 알루미나 튜브 내 액적의 모습은 CCD 카메라를 이용하여 0.18 fps(frame per second)의 속도로 촬영되었으며, 접촉각은 액적의 좌, 우측에서 각각 측정된 두 각도의 평균값으로부터 도출되었다.

Fig. 2. (a) Schematic of high-temperature contact angle analyzer and (b) a photo showing the measurement of contact angle at elevated temperature in an alumina tube.

../../Resources/kim/KJMM.2026.64.2.126/fig2.png

접촉각 측정실험 이후 기판과 접합된 합금의 단면을 관찰하기 위해, 실험이 종료된 시편은 진공 분위기를 유지한 채로 알루미나 튜브 내에서 노냉되었다. 상온까지 냉각된 시편으로부터 금속/세라믹 접합부의 수직단면을 얻기 위해 다이아몬드 와이어 절단기(Well 3500, Well, Swiss)를 사용했으며, 0.05 μm 실리카 현탁액으로 미세연마된 절단면의 미세조직은 광학현미경과 에너지 분산 X선 분석기(EDS)가 장착된 주사전자현미경(SEM; Mira 3, Tescan, Czech Republic)으로 분석하였다. X선 회절 분석기(XRD; Miniflex600, Rigaku)로 Cu Kα선을 40 kV, 15 mA 조건에서 2°/min의 속도로 주사하여 시편의 결정 구조를 분석하였다. Al-Si 합금 액적과 AlN 기판 간의 반응성을 분석하기 위해, 합금이 접합된 기판을 HCl 용액으로 24시간 동안 산세 처리하여 Al-Si 합금을 제거한 AlN 기판에 대해 x선 분석을 진행하였다.

3. 결과 및 고찰

그림 3a-c는 850–1100 °C에서 AlN 기판 위에 놓인 Al, Al-20Si, Al-40Si 합금의 접촉각을 5 시간 동안 측정한 결과를 보여준다. 세 합금은 모두 850 °C에서 AlN 기판을 적시지 못하였으며, 특히 순수 Al의 경우는 융점보다 약 190 °C 높은 온도임에도 140°로 매우 큰 접촉각을 보였다. 온도가 950 °C로 높아진 경우, 시간이 지남에 따라 세 합금 모두 접촉각이 점진적으로 감소하는 결과가 나타났다. 하지만 접촉각이 90° 이하로 낮아져야 액상의 응집력보다 고상/액상 간의 부착력이 커져 액적이 기판 위에서 퍼질 수 있다는 점을 감안하면[24], 세 합금 모두 950 °C에서 젖음성이 개선되지 못했음을 알 수 있다. 액적의 온도가 1000 °C 이상 높아지는 경우, 세 합금의 접촉각이 90° 이하로 현저하게 감소하여 젖음성이 크게 개선됨을 볼 수 있다. 그림 3d는 세 합금이 실험 온도에서 5 시간 유지 후 측정된 최종 접촉각을 정리한 결과로, 1000 °C 이상으로 가열된 액적은 모두 최종 접촉각이 50° 수준으로 감소하였다.

Fig. 3. Variation in contact angles of (a) Al, (b) Al-20Si, (c) Al-40Si alloys on an AlN substrate during isothermal holding at 850–1100 ℃, (d) Final contact angles obtained from the isothermal regime, and (e) appearance of the alloys after wetting experiments.

../../Resources/kim/KJMM.2026.64.2.126/fig3.png

그림 3e는 실험이 종료된 시편의 모습을 보여주는 사진으로, 모든 실험에서 Al-Si 합금 액적이 AlN 기판에 잘 부착되었음을 볼 수 있다. 기판 위에서 응고된 합금의 외관을 보면, 850 °C에서 유지되었던 합금 시편은 표면이 탁한 어두운 색을 띄어 표면 산화막이 남아있는 상태로 보였다. 반면 950 °C에서 유지되었던 합금은 순수 Al과 Si의 광택(밝은 회색과 짙은 회색)이 일부 드러났는데, 이는 실험 이후 표면 산화막이 일부 제거되었음을 의미한다. 시편의 광택은 1000 °C 이상에서 유지되었던 합금 표면에서 더욱 선명하게 관찰되었다. 이는 정적법 실험 이후 산화막이 제거된 합금 시편에서 표면 광택이 드러나는 반면 산화막이 잔존하는 시편에서는 광택이 사라지는 선행문헌에서의 결과[6]와 일치한다. 이는 고진공 분위기의 고온에서 액적의 표면 산화막이 제거됨으로써 기판과의 직접적인 접촉이 가능해졌음을 의미한다. 따라서 정적법 실험 이후 나타나는 시편 표면의 선명한 광택은 산화막 제거에 따른 젖음성 향상의 지표로 이해할 수 있다. 본 연구의 정적법 실험에서, 그림 3e에서 보이는 1050, 1100 °C의 순수 Al 액적처럼 기판의 모서리부에 치우쳐진 상태로 액적이 응고된 시편이 일부 존재하였다. 이는 알루미나 튜브 내부로 Al 합금과 AlN 기판의 장입하는 과정이 수작업으로 이루어지면서, 지면과 평행하게 배치되지 않은 액적이 중력에 의해 기판의 중심에서 모서리 방향으로 흘러내린 것으로 추정된다.

그림 4a-l은 950–1100 °C에서 AlN 기판 위에 놓인 Al, Al-20Si, 40Si 합금의 접촉각과 액적 지름비(D/D0)를 나타낸 결과이며, 초기 지름(D0)은 액적이 실험 온도에 도달했을 때의 접촉각(θ0)을 측정하던 순간의 액적 지름 값을 의미한다. 시간이 지남에 따라 액적의 접촉각이 최종 접촉각(θ2)에 수렴하는 1000–1100 °C 결과와 달리, 950 °C의 결과(그림 4a-c)에서는 접촉각이 계속 감소하고 액적 지름비는 계속 증가하는 것을 볼 수 있다. 이는 950 °C에서 5 시간을 유지하더라도 순수 Al 및 Al-Si 액적과 AlN 간의 접합은 평형상태에 도달하지 못했음을 의미한다.

Fig. 4. Variation in contact angles and normalized droplet diameters (D/D0) of Al, Al-20Si, Al-40Si alloys on an AlN substrate during isothermal heating at (a-c) 950 ℃, (d-f) 1000 ℃, (g-i) 1050 ℃, and (j-l) 1100 ℃.

../../Resources/kim/KJMM.2026.64.2.126/fig4.png

그림 4d-l의 1000–1100 °C 정적법 실험 결과에서, 액적 지름비의 기울기가 급격하게 전이되는 시간(t1)에서의 접촉각인 θ1을 기준으로 볼 때 접촉각의 변화는 단계 1과 단계 2로 구분하여 설명하는 것이 가능하다. 그림 4e를 예로 들면, 단계 1은 액적이 실험 온도에 도달한 이후 접촉각이 θ1에 이르는 과정을 의미한다. AlN 기판 위에서 Al-Si 액적이 신속하게 퍼지는 결과는 액적의 탈산 반응(deoxidation, 4Al(l) + Al2O3(s) → 3Al2O(g))에 의해 액적 표면의 산화층이 제거되어 액상 금속과 AlN 기판 간의 실질적인 접촉이 이루어짐에 기인한다. 이러한 반응은 본 연구에서와 같은 고온, 고진공 분위기에서 국부적으로 Al2O의 증기압이 O2의 증기압보다 더 높을 수 있다는 열역학 계산 결과에 따른 것으로[25], 이를 부연하면 Al 액적의 열팽창에 의해 표면 산화층에 균열이 생겨 순수 액적이 표면에 노출되면서, 액적과 산화층 간의 반응(4Al(l) + Al2O3(s) → 3Al2O(g))에 의해 Al2O3가 기화되면서 산화층이 제거되는 것이다[21]. 이는 1000 °C 이상에서 표면 산화층의 제거가 충분히 진행됨으로써 Al-Si 합금의 광택이 선명하게 드러난 본 연구의 실험결과(그림 3e)와 대응되는 것으로, 표면 산화층의 제거가 Al 액적의 젖음성에 큰 영향을 미친다는 선행 문헌과 일치하는 결과이다[25]. 1000–1100 °C 결과에서 온도가 증가함에 따라 t1은 Al 및 Al-Si 합금에서 모두 감소하였는데, 이는 실험 온도의 증가로 인해 액적의 탈산 반응이 더욱 가속되었기 때문이다.

단계 1에서의 접촉각 감소(θ0 - θ1)는 약 60°로 컸던 반면, 접촉각이 θ1에 도달한 이후인 단계 2에서 접촉각 감소(θ1 - θ2)는 1000, 1050, 1100 °C에서 각각 4°, 11°, 12°로 작게 관찰되었다. 단계 2에서 Al 및 Al-Si 액적의 젖음 속도는 급격하게 감소하는 경향이 나타났는데, 이는 AlN 기판 역시 대기 중에서 산화되어 AlOxNy 피막을 형성하고 있으며 이 산화막이 액적의 젖음성에 영향을 미치기 때문으로 알려져 있다[28]. 이를 부연하면, 액적과 기판, 그리고 기체 상이 한 지점에서 만나는 삼중점(triple point)에서 Al 액적은 SiOxCy 또는 AlOxNy과 같이 수 nm 두께의 산화 피막을 형성하는 비산화물 세라믹 기판의 표면에서 탈산 반응을 일으키는 것으로 알려져 있다(2xAl(l) + AlOxNy(s) → xAl2O(g) + 0.5yN2(g)) [21]. 따라서 1000 °C와 비교했을 때 1050 °C 이상의 온도에서 단계 2의 접촉각 감소가 소폭 더 크게 나타난 것은, AlN의 탈산 반응 역시 온도 증가에 의해 가속되기 때문인 것으로 짐작된다.

그림 5a-c는 각각 850, 950, 1050 °C에서 AlN 기판 위에 5 시간 동안 유지된 후 냉각된 순수 Al의 단면을 전자현미경으로 관찰한 결과이다. 앞서 단계 1에서의 접촉각 변화를 기술했던 대로, 850 °C에서 유지되었던 Al 액적은 두께 약 10 μm의 Al2O3 층을 표면에 갖는 것이 확인되었다(그림 5d). 이 표면 산화층은 액적의 유동을 억제함으로써, 즉 순수 Al과 AlN 간의 직접적인 접촉을 방해하여 140°의 큰 접촉각(그림 3a)을 야기한 주 요인으로 볼 수 있다. 한편, 삼중점에 근접한 Al 액적의 표면에서는 Al2O3 층이 분해된 것과 같은 모습이 발견되었다. 이러한 국부적인 탈산 반응은 액적의 바닥면 중심부에서 이루어진 Al/AlN 기판 간의 직접적인 접촉을 가능하게 한 원인으로 보이며, 이로 인해 접촉각이 매우 큰 850 °C에서도 순수 Al과 AlN 기판이 강하게 결합(그림 3e)될 수 있음을 짐작케 한다. 그림 5g-h는 Al/AlN 계면에서의 원소분포를 분석한 EDS 결과를 보여준다. 950과 1050 °C에서 유지된 두 액적은 모두 Al/AlN 계면에서 반응층을 형성하지 않았다.

Fig. 5. Cross-sections of Al droplets on an AlN substrate at triple point and SEM images showing oxide films on the droplet surface after isothermal heating at (a, d) 850, (b, e) 950, (c, f) 1050 ℃. EDS analysis of Al/AlN interface at (g) 950 and (h) 1050 ℃, respectively.

../../Resources/kim/KJMM.2026.64.2.126/fig5.png

850 °C와 달리 950 °C에서 유지되었던 Al 액적은 삼중점 부근에서 접촉각이 90° 이하로 감소된 모습을 보여준다(그림 5b). 액적의 상부에서 관찰된 Al2O3 층은 2 μm 이내로 두께가 얇아지고 균열이 발생한 것으로 보아, 앞서 언급한 것과 같은 표면 산화층의 제거 반응(4Al(l)+Al2O3(s) → 3Al2O(g))에 의해 산화층이 박리[28]되고 기화[6]되는 것으로 짐작할 수 있다. 액적의 삼중점에서는 Al2O3 층이 사라진 모습도 볼 수 있었다(그림 5e). 이러한 결과는 950 °C가 Al2O3 산화층이 액적으로부터 제거되기 시작하는 온도임을 보인다[21]. 1050 °C의 경우, 앞서 두 온도와 달리 최종 접촉각이 50°로 감소하여 Al 액적의 젖음성이 크게 향상된 결과가 나타났다. 삼중점 및 액적의 표면에서 모두 산화층이 제거된 것으로 보아(그림 5f), 액적 표면에서의 탈산 반응이 본 연구의 Al/AlN 간 젖음성 향상에 주요한 요인임을 확인할 수 있다.

그림 6a-c는 1100 °C에서 AlN 기판 위에 놓인 Al, Al-20Si, Al-40Si 합금의 액적 지름(D), 높이(H), 그리고 접촉각을 나타낸 결과이다. 세 시편 모두 액적 높이와 접촉각은 완만하게 감소하는 반면, 액적 지름은 5 시간이 지나서도 일정한 수준으로 유지되었다. 특이하게도, 순수 Al 액적의 경우 3 시간 유지 이후 액적의 높이와 접촉각이 급격하게 감소하는 결과가 나타났다. CCD 카메라로 확인한 결과 순수 Al 액적은 약 2 시간 이후부터 액적을 촬영한 사진이 현저히 어두워졌으며(그림 6d), 이는 액적의 기화로 인해 튜브 내부가 오염되었음을 의미한다. Al-20, 40Si 합금의 경우 액적의 높이가 매우 완만하게 감소하여, 순수 Al과 같은 급격한 기화가 관찰되지 않았다. 이는 Al 보다 증기압이 낮은 Si의 첨가로 인해 Al-Si 합금의 증기압이 순수 Al보다 낮아져 동일 온도에서 기화가 지연되기 때문이다[28,29].

Fig. 6. Variation of contact angles, contact diameter, and drop height for (a) Al, (b) Al-20Si, (c) Al-40Si alloys on an AlN substrate at 1100 ℃. (d) A series of photographs showing the melting and evaporation of the droplets.

../../Resources/kim/KJMM.2026.64.2.126/fig6.png

그림 7a-c는 1050 °C에서 AlN 기판 위에 5 시간 동안 놓였던 Al, Al–20Si, Al–40Si 합금의 단면을 삼중점에서 관찰한 사진들을 보여준다. 삼중점에서 측정된 금속/기판 간 각도는 세 합금 모두 약 40°로 나타나, 고온 접촉각 측정기에서 측정된 액적/기판 간 최종 접촉각(~ 50°)과 유사한 수치를 보였다. Al 또는 Si의 얇은 막이 삼중점 바깥 AlN 표면에 형성되지 않은 점에서, 액상의 Al과 Si는 AlN 표면에 흡착(adsorption)되지 않음 알 수 있었다[30,31]. 그림 7d-f는 금속/기판 간 계면을 관찰한 사진으로, 균열이나 기공이 없는 계면에서 순수 Al과 Al-Si 합금 모두 AlN 기판과 강한 결합을 유지하는 것으로 확인되었다. 이와 더불어, 계면의 AlN 부분에서 보이는 지름 10 μm 미만의 미세 요철로 Al-Si 합금이 침투된 흔적이 관찰되었다. 이는 최종 접촉각이 90° 이하로 낮은 1050 °C에서 Al-Si 액적에 모세관력이 작용하여 표면의 요철을 따라 액상 금속이 자발적으로 스며든 결과이다[32,33].

Fig. 7. Optical micrographs of the cross-sections and metal/ceramic interfaces for (a, d) Al, (b, e) Al-20Si and (c, f) Al-40Si alloys on an AlN substrate after isothermal heating at 1050 °C for 5 h.

../../Resources/kim/KJMM.2026.64.2.126/fig7.png

그림 8a-c는 1050 °C에서 5 시간 유지된 후 냉각된 Al, Al-20Si 및 Al-40Si 합금이 AlN 기판과 이루는 계면을 후방전자산란모드(BSE)로 촬영한 사진과 Al, Si, N, O, Y 원소 맵핑 결과를 보여준다. AlN 기판에서 밝은 흰색으로 보이는 입자는 AlN 기판의 제조과정 중 첨가된 Y2O3 소결제로 인해 형성된 Y3Al5O12 또는 Y4Al2O9 상과 같은 Y계 산화물로써, Y의 큰 원자번호에 의해 BSE 사진에서 밝게 관찰되었다. Y계 산화물은 기판 내부에 불연속적으로 분산되어 있는 반면, 금속/기판 계면에서는 전혀 관찰되지 않았다. 이는 계면에 존재하던 Y계 산화물이 액적과 접촉한 이후 고용되어 액적 내부로 확산되었기 때문이다. 따라서 Y2O3 소결제로 인한 소량의 Y계 산화물은 본 연구의 젖음성 평가에 큰 영향을 미치지 못했다. 세 합금 시편 모두 계면에서 Al, Si 이외의 반응층을 형성하지 않았으며, Al-Si 합금의 경우 Al, Si 상이 AlN과 상간 계면을 가져 안정적인 계면결합을 보였다. 즉, TiAl/Y2O3 간 계면에서 보고된 계면부식 현상[34]과 달리, AlN 기판에 놓인 순수 Al과 Al-Si 액적은 반응 층의 형성이 없는 비반응 젖음(non-reactive wetting) 거동을 보이는 것으로 확인되었다.

그림 8d는 1050 °C에서 수행된 정적법 시험 전과 후의 AlN 기판들에 대한 X선 회절분석 결과를 보여준다. 순수 Al이 산세 처리에 의해 제거된 AlN 기판의 경우는 시험 이전의 AlN 기판과 동일한 회절패턴을 보였다. 반면 Al–20Si 및 Al–40Si 합금이 제거된 기판의 경우, Si의 결정 피크가 약 27°에서 새롭게 관찰되었다. 이는 Al–Si 합금에 의해 적셔진 기판 표면에서 AlN과 결합된 Si가 산세 처리 이후에도 기판 표면에 잔류했음을 나타내며, 이는 Si/AlN 간의 결합이 화학적으로 안정함을 의미한다.

그림 8e는 Al 및 Al-Si 합금의 표면장력을 온도의 함수로 나타낸 결과이며, 다음의 수식을 이용하여 계산하였다.

(1)
$\gamma = \gamma_L + \gamma_T(T - T_L)$

(1)에서 TL은 합금의 액상선 온도에 해당하고, γT와 γL은 각각 온도계수와 액상선 온도에서의 표면장력을 의미하며 이 세 수치는 Al-Si 합금에서 전자기 부양법(electromagnetic levitation)으로 측정된 결과[35]를 이용하였다. 위 방식으로 계산된 순수 Al의 표면장력은 실험으로 측정된 표면장력 값[36]과 매우 유사하여, 본 연구의 표면장력 계산은 신뢰할 수 있는 수준임을 확인하였다. Al에 첨가된 Si는 액적의 액상-기상 계면에 일정 수준 농축되어 표면장력을 낮추는 것으로 알려져 있는데[37], 계산된 Al-Si 합금의 표면장력 역시 Si의 첨가에 의해 순수 Al의 표면장력보다 낮은 값을 보이는 것으로 나타났다.

그림 8f는 Al 및 Al-Si 합금과 AlN 기판 간의 접착력(work of adhesive, Wad)을 온도의 함수로 나타낸 결과이며, 다음의 수식[24]을 이용하여 계산하였다.

(2)
$W_{ad} = \gamma(1+\cos\theta)$

접착력의 온도 별 계산을 위해 각 온도에서의 표면장력 계산 결과와 최종 접촉각 수치를 식(2)에 대입하였다. Al-Si 합금의 경우 순수 Al 대비 약 10% 감소한 접착력을 보였는데, 이는 단순히 표면장력 값의 차이(약 10%, 그림 8e)에 기인하였다. 액적의 온도가 증가함에 따라 소폭 감소하는 경향을 보였던 표면장력과 달리, 감소 폭이 컸던 최종 접촉각(그림 3a-c)에 의해 Al-Si 합금과 AlN 기판 간의 접착력은 크게 증가하는 것을 볼 수 있다. 이와 같은 접착력의 증가로부터, 순수 Al 및 과공정 Al-Si 합금을 기지로 갖는 AlN 강화 복합재료가 최종 접촉각이 낮은 1000 °C 이상의 온도에서 액상공정으로 제조되는 경우 금속/세라믹 계면에서 강한 결합을 얻을 수 있을 것으로 보인다. 강한 계면결합은 계면에서의 하중 전달 및 열 전달에 매우 큰 이점으로 작용하므로, Al-Si/AlN 복합재료가 향후 고강도 및 고방열 신소재로써 주목받을 수 있음을 시사한다.

Fig. 8. Cross-sections and elemental maps of Al, O, N, Y at the metal/ceramic interface after isothermal heating at 1050 ℃ for 5 h for (a) Al, (b) Al–20Si, and (c) Al–40Si alloys on an AlN substrate. (d) XRD patterns of AlN substrates before and after wetting experiments. (e) Calculated surface tension [35] and (e) work of adhesion with AlN of liquid Al, Al-20Si, and Al-40Si alloys.

../../Resources/kim/KJMM.2026.64.2.126/fig8.png

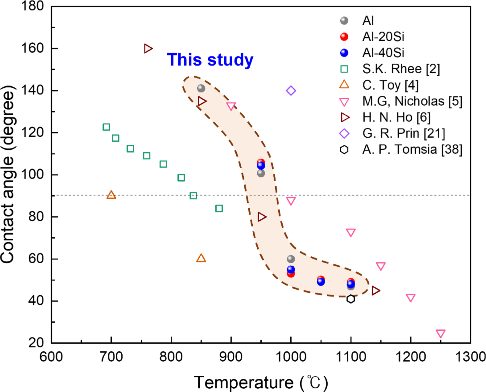
그림 9는 본 연구에서 수행한 순수 Al 및 Al-Si 합금과 AlN 기판 간의 접촉각 측정 결과를 나타내며, 기존 문헌에서 순수 Al과 AlN 기판 사이에서 측정된 접촉각들과 비교한 결과를 보여준다[2,4-6,21,37]. 850 °C에서 약 140°로 높은 접촉각을 보였던 본 연구와는 달리, Ho의 결과[6]에서는 약 60°로 상당히 접촉각이 낮았다. 이는 두 연구기관이 수행한 액적법에서 기판에 액적을 공급하는 방식에서 나타난 차이에 기인한다. 본 연구에서는 기판 위에 올려진 합금 시편을 가열하여 액적을 얻은 반면, Ho의 결과[6]에서는 실린더 내부에서 용융된 금속에 압력을 가하여 기판 위로 액적을 투여(dosing)하였다. 즉, 표면 산화층이 없는 액적이 기판에 바로 투여됨으로써 단계 1(그림 4e)이 생략됨에 따라 접촉각이 크게 낮아진 것으로 보인다. 한편, 1000 °C에서 Al 및 Al-Si 합금이 약 50°로 작은 접촉각을 보이는 본 연구와는 달리, Toy[4]와 Tomsia[38]의 결과는 각각 90°, 140°로 큰 접촉각을 보였다. 1000 °C는 Al 액적의 탈산 반응이 활발하게 이루어지는 온도임을 감안할 때(그림 5), 기존 문헌에서 1000 °C에서 보인 큰 접촉각은 챔버 내 공기의 배기가 불완전했거나 실험 도중 가스 리크가 존재했을 것으로 짐작된다. 본 연구에서 측정된 접촉각은 약 10-3 Pa의 진공도에서 정적법 실험이 진행된 Nicholas의 결과[5]와 가장 유사하게 나타났다. 이러한 결과는 고온 접촉각 측정에서 1) 외부 산소의 유입 방지 및 챔버 내 불순물 농도의 제어를 위해 고진공 분위기를 유지하는 것이 중요하며, 2) 금속 액적의 표면 산화층이 젖음성에 큰 영향을 미치는 점을 시사한다.

Fig. 9. Final contact angles of Al, Al-20Si, Al-40Si alloys on an AlN substrate in this study and collected equilibrium contact angles for the Al/AlN system [2, 4-6, 21, 38] as a function of temperature.

../../Resources/kim/KJMM.2026.64.2.126/fig9.png

4. 결 론

20, 40 at.% Si의 첨가는 Al 액적의 접촉각을 증가시키지 않아 40 at.% 이내의 조성에서 AlN에 대한 Al의 젖음성에 미치는 Si의 영향은 작은 것으로 보였다. 순수 Al 및 Al–Si 합금은 모두 950 °C 이하에서 AlN 기판을 적시지 못한 반면, 1000 °C 이상에서는 AlN을 잘 적셨으며 이 때 최종 접촉각은 약 50°의 낮은 값을 보였다. 이에 따라 아크용해법에 의한 Al-Si/AlN 복합재료의 형성은 1000 °C 이상에서부터 나타나는 Al-Si 합금 액적의 우수한 젖음성에 기인하는 것으로 보인다.

순수 Al 및 Al–Si 액적과 AlN 간의 접촉은 두 단계로 이루어졌으며, 이는 액적과 AlN의 탈산반응과 연관이 있었다. 등온 유지 실험 이후, Al 및 Al–Si 합금 모두 AlN과 강한 결합을 보였으며, 이는 액적과 기판 간의 강한 접착력에 기인하였다.

AlN 기판 위에 놓인 순수 Al 및 Al–Si 액적은 비반응성 젖음 거동을 보이는 것으로 확인되었다. 계면화합물을 형성하지 않으면서도 강한 계면결합을 가질 수 있음을 의미하는 이 결과는, 고온 액상공정인 아크용해법을 통해 제조된 Al-Si/AlN 복합재료가 미세구조의 열화 없이 우수한 기계적, 열적 특성을 동시에 보유할 수 있음을 시사한다.

감사의 글

This study was supported by the National Research Foundation of Korea (NRF), funded by the Korean government (MSIT) (RS-2024-00408948) and by the Technology Innovation Program (RS-2024-00449360) funded by the Ministry of Trade, Industry & Energy (MOTIE, Korea).

REFERENCES

1 
Saiz E., Cannon R. M., Tomsia A. P., Annu. Rev. Mater. Res., 38, 197 (2008)Google Search
2 
Rhee S. K., J. Am. Ceram. Soc., 53, 639 (1970)Google Search
3 
Shon I., Korean J. Met. Mater., 61, 324 (2023)DOI
4 
Toy C., Scott W., J. Mater. Sci., 32, 3243 (1997)Google Search
5 
Nicholas M., J. Mater. Sci., 25, 2679 (1990)Google Search
6 
Ho H. N., Wu S. T., Mater. Sci. Eng. A, 248, 120 (1998)Google Search
7 
Laurent V., Chatain D., Chatillon C., Eustathopoulos N., Acta Metall., 36, 1797 (1988)Google Search
8 
An Q., Cong X., Shen P., Jiang Q., J. Alloys Compd., 784, 1212 (2019)Google Search
9 
Ferro A. C., Derby B., Acta Metall. Mater., 43, 3061 (1995)Google Search
10 
Shon I., Korean J. Met. Mater., 56, 505 (2018)DOI
11 
Malaki M., Tehrani A. F., Niroumand B., Gupta M., Metals, 11, 7 (2021)Google Search
12 
Mizuuchi K., Compos. Part B Eng., 43, 1557 (2012)Google Search
13 
Werdecker W., Aldinger F., IEEE Trans. Compon. Hybrids Manuf. Technol., 7, 399 (1984)Google Search
14 
Lee J. I., Park E., J. Mater. Res., 32, 217 (2017)Google Search
15 
Lee J. I., Park E., J. Alloys Compd., 729, 171 (2017)Google Search
16 
Jeong S., Kim T., Lee J. I., Metals, 13, 1967 (2023)Google Search
17 
Balog M., J. Alloys Compd., 883, 160858 (2021)Google Search
18 
Balog M., J. Alloys Compd., 909, 164720 (2022)Google Search
19 
Chen M., Korean J. Met. Mater., 62, 367 (2024)DOI
20 
Park B., Korean J. Met. Mater., 63, 264 (2025)DOI
21 
Prin G. R., Mater. Sci. Eng. A, 298, 34 (2001)Google Search
22 
Ageorges H., Plasma Chem. Plasma Process., 13, 613 (1993)Google Search
23 
Tenekedjiev N., Gruzleski J. E., Cast Met., 3, 96 (1990)Google Search
24 
Kaplan W. D., J. Mater. Sci., 48, 5681 (2013)Google Search
25 
Chase M. W., J. Phys. Chem. Ref. Data, 7, 793 (1978)Google Search
26 
Laurent V., Rado C., Eustathopoulos N., Mater. Sci. Eng. A, 205, 1 (1996)Google Search
27 
Saiz E., Tomsia A. P., Suganuma K., J. Eur. Ceram. Soc., 23, 2787 (2003)Google Search
28 
Mondal B., Materials, 16, 1 (2023)Google Search
29 
Liu K., J. Min. Metall. Sect. B-Metall., 50, 171 (2014)Google Search
30 
Eustathopoulos N., Metals, 5, 350 (2015)Google Search
31 
Shen P., J. Am. Ceram. Soc., 94, 2162 (2011)Google Search
32 
Wat A., Nat. Commun., 10, 961 (2019)Google Search
33 
Dang Q., Ceram. Int., 51, 23895 (2025)Google Search
34 
Kobatake H., J. Mater. Sci., 50, 3351 (2015)Google Search
35 
Molina J. M., Int. J. Adhes. Adhes., 27, 394 (2007)Google Search
36 
Shen P., Fujii H., Nogi K., Mater. Trans., 45, 2857 (2004)Google Search
37 
Tomsia A. P., Pask J. A., Loehman R. E., Ceram. Eng. Sci. Proc., 10, 1631 (1989)Google Search