The Journal of
the Korean Journal of Metals and Materials

The Journal of
the Korean Journal of Metals and Materials

Monthly
  • pISSN : 1738-8228
  • eISSN : 2288-8241

Editorial Office


  1. 한국재료연구원 경량재료연구본부 (Light Metal Division, Korea Institute of Materials Science, Changwon, 51508, Republic of Korea)
  2. 한국재료연구원 극한재료연구소 (Materials Processing Innovation Research Division, Korea Institute of Materials Science, Changwon, 51508, Republic of Korea)
  3. 부산대학교 재료공학부 (Department of Materials Science and Engineering, Pusan National University, Busan 46269, Republic of Korea)
  4. 한양대학교 신소재공학부 (Division of Materials Science and Engineering, Hanyang University, Seoul 04763, Republic of Korea)



Al–Mg–Si alloy, Scrap recycling, Fe-rich intermetallics, Precipitation hardening, Mechanical properties

1. 서 론

열처리형 Al-Mg-Si 합금은 우수한 성형성, 높은 비강도, 그리고 우수한 내식성을 바탕으로 자동차 및 항공기 등 수송 분야에서 널리 사용되고 있다[1-3]. 최근 전 세계 알루미늄 생산량의 약 35%가 스크랩(secondary aluminum) 재활용에 기반하고 있으며, 나머지 65%는 여전히 1차 지금(primary aluminum)을 통해 생산되고 있다[4, 5]. 알루미늄 1톤을 1차 지금으로 생산할 경우 약 12–16.5톤의 온실가스(GHG, Greenhouse Gas)가 배출된다는 점을 고려할 때, 스크랩 기반 생산 공정은 에너지 절감뿐만 아니라 온실가스 저감 측면에서도 필수적이다[6-8]. 따라서 스크랩 활용 기술은 자원 순환과 지속가능한 제조 공정 실현을 위한 핵심 과제로 부상하고 있다[9, 10].

그러나 스크랩 재활용 과정에서는 기계적 체결 부품(나사, 볼트, 리벳 등)을 완전히 분리하는 것이 어렵고, 이러한 부품은 대부분 철계 재질로 구성되어 있기 때문에 재활용 합금 내 Fe 함량은 필연적으로 증가한다[11]. 특히 분류 및 해체 공정의 수준에 따라 자동차용 스크랩의 Fe 함량이 0.6–0.7 wt.% 수준까지 증가할 수 있음을 보고하고 있다[12]. 재활용을 반복적으로 수행함에 따라 Fe 함량은 점차 누적되지만, Fe는 Al 기지 내 고용도가 매우 낮기 때문에 다양한 Fe-rich 2차상(secondary phases)을 형성한다[13-18]. 대표적인 상으로는 α상(Al8Fe2Si 또는 Al12(Fe,Mn)3Si)과 β상(Al5FeSi)이 보고되고 있으며, 이들의 형상과 분율은 합금 조성, 냉각 속도, 합금원소 첨가량 등에 따라 달라진다[19-23]. 일반적으로 α상은 Chinese-script 형태로 나타나며, β상보다 상대적으로 기계적 특성에 영향이 적은 것으로 알려져 있다[17, 23]. 반면, Fe-β상은 침상(needle-like) 또는 판상(plate-like) 형태로 존재하며, 이들은 주로 균열의 핵생성 지점으로 작용하기 때문에 스크랩 활용 합금의 연성을 현저히 저하시킨다[18, 24-26].

Al-Mg-Si계 합금은 주로 용체화 처리(solution treatment) 후 인공시효(artificial aging)를 거치는 T6 열처리를 통해 기계적 특성을 향상시킨다[27]. 용체화 처리에 의해 과포화 고용체(supersaturated solid solution, SSSS) 상태로 존재하는 용질 원자들은 급랭(quenching) 후 시효 과정에서 나노 크기의 석출물로 성장하며, 이는 전위 이동을 억제하는 장벽 역할을 수행하여 강도를 증가시킨다[28]. 따라서 석출물의 크기, 분포, 조성, 기지와의 계면 특성 등은 합금의 기계적 특성을 결정하는 핵심 인자로 작용한다[29-31]. 일반적인 Al-Mg-Si 합금의 시효 석출 순서는 다음과 같다:

과포화 고용체(Super-saturated solid solution, SSSS) → 원자 클러스터 → GP 영역 → β″ → β′, U1, U2, B′ → β +Si[32]

Table 1에는 Al-Mg-Si 합금에서 흔히 관찰되는 석출상들에 대한 정보가 제시되어 있다. 주 강화상인 β″ 상은 침상 형태를 띠고 있으며, 그 조성은 Mg5Si6로 알려져 있다. β″ 상과 Al 기지와의 방위관계는 (001)Al//(010)β″, [310]Al//[001]β″으로 알려져 있으며, Al-Mg-Si 합금의 기계적 강도를 향상시키는 핵심적인 강화상으로 알려져 있다[33-35].

본 연구에서는 Al-Mg-Si 합금에서 Fe 함량 변화가 시효 거동 및 석출 특성에 미치는 영향을 체계적으로 고찰하였다. 특히 스크랩 재활용 기반 Al-Mg-Si 합금의 산업적 응용 가능성을 검토하기 위하여, Fe함량에 따른 2차상 형성거동, 시효석출 및 기계적 특성 변화를 정밀하게 분석하였다.

2. 실험방법

Al-Mg-Si계 알루미늄 합금에 Al–10Fe(wt. %) 모합금을 사용하여, 유도 용해로에서 850 oC로 가열된 용탕을 200 oC로 예열된 몰드에 부어 as-cast 합금을 제작하였다. 제조된 합금의 화학적 조성은 유도결합 플라즈마 분광 분석기(Inductively Coupled Plasma–Optical Emission Spectroscopy, ICP-OES, Spectro ARCOS EOP, SPECTRO) 방법으로 측정되었으며 각 합금의 성분분석 결과는 Table 2에 나타내었으며, 첨가된 Fe 함량에 따라 Base, 0.4Fe, 0.6Fe로 명명하여 구분하였다. 이후 as-cast 합금을 550 oC에서 24시간동안 균질화 처리한 뒤, 520 oC의 예열온도에서 두께감소율 88%로 열간 압연을 수행하였다. 열간압연 판재를 550 oC에서 4시간동안 용체화처리 한 뒤 수냉 하였으며, 이후 175 oC에서 100시간까지 인공 시효 하였다. 시효 거동을 분석하기 위해 비커스 경도기 (Vickers hardness tester, FALCON 500, FALCON Instruments)를 이용하여 기지 경도를 측정하였으며, 하중 0.1 kgf, 유지 시간 10 초 조건에서 총 10번 측정하여 평균값을 나타내었다. 시효경화능을 정량적으로 평가하기 위하여 다음 식을 이용하여 시효 경도 증가량(ΔHV)을 산출하였다:

$\Delta HV = HV_{peak} - HV_{solution}$

여기서 HVpeak는 인공 시효 중 최대 경도이며, HVsolution은 용체화 직후 시편의 경도이다. 이 값을 통해 각 합금의 시효에 따른 경화 능력을 비교하였다. 또한 60 kHz의 주파수 조건에서 시그마스코프(Sigmascope SMP1, Fischer Technology)를 이용하여 인공시효 중 전기전도도 변화를 측정하였다. 각 시편당 10회 측정 후 평균과 표준편차를 산출하여 전기전도도 값을 평가하였다. 석출을 정밀하게 분석 하기 위해 시차 주사 열량계 시차 주사 열량계(Differential Scanning Calorimetry, DSC, DSC 8000, PerkinElmer)를 활용하였다. DSC 분석은 Ar을 퍼지 가스로 설정하고 20 psi의 압력 조건에서 30–550 oC 온도 범위를 20 oC/min의 승온 속도로 설정하여 수행하였다. 미세조직 및 2차상을 분석하기 위해 광학현미경(Optical Microscope, OM, MA200, Nikon), 주사전자현미경(Scanning Electron Microscope, SEM, IT-300, JEOL)과 에너지 분산형 X선 분광기(Energy Dispersive X-ray Spectroscopy, EDS)를 사용하였으며, 15 kV의 가속 전압 조건 하에서 분석을 수행하였다. 기지 내 합금 원소의 고용도 및 2차상 형성 거동을 열역학적으로 분석하기 위해 Thermo-Calc (version 2025b) 및 Pandat 2024 소프트웨어를 사용하였다. 또한, 석출물 구조를 정밀하게 분석하기 위해 투과전자현미경(Transmission Electron Microscopy, TEM, JEM-F200, JEOL)을 활용하여 명시야상(Bright field) 이미지, 고각 환상 암시 주사 투과 전자현미경 (High-Angle Annular Dark-Field Scanning Transmission Electron Microscopy, HAADF-STEM) 이미지를 [001]Al 정대축에서 얻었다. 전해 연마기(Twin-jet Electro Polisher, TenuPol-5, Struers)을 통해 TEM시편을 준비했으며, 1,000 ml Ethanol 용액과 20 ml Perchloric acid 용액을 사용하여 -15 oC의 온도, 40 V의 전압 및 22 mA의 전류 조건에서 전해연마를 진행하였다. 마지막으로 Fe 함량변화에 따른 기계적 특성 변화를 측정하기 위하여 인장시험을 수행하였다. ASTM E8/E8M 규격에 따라 인장시험편을 가공하고 만능 재료 시험기(Universal Testing Machine, UTM, Instron 4206, Instron)를 활용하여, 상온에서 시험 속도는 초기 0.5 mm/min에서 1.8 mm/min으로 증가시키는 방식으로 인장시험을 수행하였다. 항복강도는 0.2% 오프셋 기준으로 산출하였으며, 인장강도 및 연신율과 함께 기계적 특성을 평가하였다.

Table 1. Overview of precipitate structures in the Al-Mg-Si alloy

Phase Structure Lattice parameter (Å) Composition Reference
β″ Monoclinic a = 15.16, b = 4.05, c = 6.74, β = 105.3o Mg5Si6 [36]
β′ Hexagonal a = 7.15, c = 12.15, γ = 120o Mg9Si5
U1 Trigonal a = b = 4.05, c = 6.74, γ = 120o MgAl2Si2
U2 Orthorhombic a = 6.75, b = 4.05, c = 7.94 Mg2Al2Si2
B′ Hexagonal a = 10.4, c = 4.05, γ = 120o Mg9Al3Si7
β Cubic a = 6.34 Mg2Si

Table 2. Chemical compositions of the alloys. (wt. %)

Alloys Si Mg Mn Fe Cu Cr Zn Ti Al
Base 0.88 0.71 0.57 0.19 0.16 0.15 0.018 0.013 Bal.
0.4Fe 0.88 0.67 0.55 0.36 0.15 0.15 0.018 0.013 Bal.
0.6Fe 0.88 0.68 0.54 0.52 0.15 0.14 0.017 0.012 Bal.

3. 결과 및 고찰

그림 1은 175 oC에서 인공 시효 도중 Base, 0.4Fe 및 0.6Fe 합금의 경도 변화를 나타낸다. 과시효 구간까지의 석출 거동을 확인하기 위해 시효경도는 최대 100시간까지 측정하였다. Base 합금은 24시간 시효 시 최대 경도인 128.1 HV에 도달하였으며, 0.4Fe 합금과 0.6Fe 합금은 각각 8시간 시효에서 125.6 HV, 120.8 HV로 최고 경도에 도달하였다. Fe 함량이 증가할수록 최대 경도 값은 점차 감소하는 경향을 보였다. 시효 100시간에서의 경도는 Base 합금이 약 120 HV로 가장 높았으며, 0.4Fe 및 0.6Fe 합금은 모두 약 115 HV로 유사한 값을 나타냈다. 각 합금의 시효 전후 경도 증가량(ΔHV)은 Base 합금 64.3 HV, 0.4Fe 합금 63.7 HV, 0.6Fe 합금 58.2 HV로, Fe 함량이 많을수록 시효 경화능이 저하하였다.

그림 2는 175 oC에서 열처리한 Base, 0.4Fe 및 0.6Fe 합금의 시효 시간에 따른 전기전도도(International Annealed Copper Standard, % IACS) 변화를 나타낸다. 용체화처리 직후 전기전도도는 Base 합금 42.9 % IACS, 0.4Fe 합금 43.6 % IACS, 0.6Fe 합금 43.7 % IACS로, Fe 함량이 증가할수록 초기 전기전도도가 높게 나타났다. 시효가 진행됨에 따라 모든 합금에서 전기전도도는 점진적으로 증가하였고, 특히 시효 1시간 이후부터는 급격한 상승을 보였다. 그러나 과시효 구간(시효 24시간 이후)에서는 석출이 포화상태에 도달하여 전기전도도 변화가 완만하게 증가하였다. 인공시효 전 구간에서 전기전도도는 Fe 함량에 비례하여 증가하였으며, 이는 Fe가 Al-Mg-Si 합금의 시효경화능을 감소시킴을 의미한다.

그림 3(a), (b)은 Base, 0.4Fe 및 0.6Fe 합금의 인장시험 결과를 나타낸다. 항복강도는 Base 합금이 299 MPa로 가장 높았고, 0.4Fe 및 0.6Fe 합금은 각각 286 MPa, 283 MPa로 소폭 감소하였다. 인장강도의 경우 Base 합금은 336 MPa, 0.4Fe 합금은 321 MPa, 0.6Fe 합금은 312 MPa로 각각 측정되어 항복강도와 마찬가지로 Fe 함량 증가에 따라 감소하는 것을 확인할 수 있다. 통상적으로 강도가 감소하면 연신율은 증가하지만, Fe 함량이 증가하면 연신율도 강도와 함께 감소하는 경향을 보였다. 연신율은 Base 합금이 14%로 가장 높았고, 0.4Fe 및 0.6Fe 합금은 각각 12%, 11%로 나타났다. 따라서 Fe 함량이 증가할수록 Al-Mg-Si 합금의 강도와 연신율이 동시에 감소하는 것을 확인할 수 있다.

그림 4는 최대 경도 조건에 도달한 Base, 0.4Fe 및 0.6Fe 합금의 광학현미경 이미지를 보여준다. Fe 함량이 증가함에 따라 연한 회색으로 나타나는 α상이 Chinese-script 형태로[21, 37] 점차 증가하는 것이 관찰되며, 이는 응고 과정 중 형성된 2차상으로 해석된다. 한편, 일반적으로 알려진 침상 또는 판상의 β 상은 모든 조성에서 관찰되지 않았다. 이러한 관찰 결과는 그림 5의 정량 분석 결과를 통해 뒷받침된다. Fe 함량이 증가할수록 α상의 부피 분율은 비교적 선형적으로 증가하였으며, Base 합금에서 약 0.008에서 시작하여 0.6Fe 합금에서는 약 0.015까지 증가하였다. 반면, Si상의 부피 분율은 세 조성 모두에서 거의 일정하게 유지되었다.

그림 6은 0.4 wt% Fe 합금이 최고 경도에 도달했을 때의 EDS mapping 결과를 나타낸다. (a)에 보이는 Chinese-script 형태의 2차상에는 Fe와 함께 Mn이 공존하는 것으로 나타나, 해당 상이 α상임을 확인할 수 있다. 반면, 침상 또는 판상 형태의 β상은 관찰되지 않았다. (b)에서는 Si가 소수의 단일상(single phase) 형태로 존재하며, 주로 α상 주변에 분포하는 경향을 보였다. 그림 7은 0.6 wt% Fe 합금의 동일 조건에서의 EDS mapping 결과를 제시한 것이다. 모든 2차상에서 Fe와 함께 Mn이 확인되었으며 침상형태의 2차상이 발견되지 않았기 때문에, Fe 함량이 증가함에도 불구하고 모든 Fe상이 α상으로 형성되었음을 확인할 수 있다.

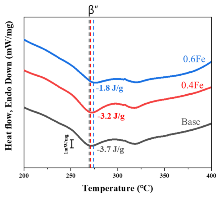
그림 8은 용체화처리 직후 각 합금에 대해 측정한 DSC 곡선을 나타낸 것이다. β″ 석출 피크 온도는 Base, 0.4Fe, 0.6Fe 합금에서 270 oC, 271 oC, 273 oC로 각각 확인되었으며, 이는 Fe 함량 증가에 따라 피크 온도가 소폭 상승함을 나타낸다. 마찬가지로 β″ 석출에 따른 엔탈피 변화량(ΔH)은 Base, 0.4Fe, 0.6Fe 합금에서 –3.7 J/g, –3.2 J/g, –1.8 J/g으로 각각 측정되었으며, Fe 함량이 증가할수록 ΔH가 점진적으로 감소하는 경향을 보였다. 이와 유사하게 β′ 석출에 따른 ΔH 역시 Base, 0.4Fe, 0.6Fe 합금에서 –0.98 J/g, –0.78 J/g, –0.56 J/g으로 각각 측정되었으며, Fe 함량 증가에 따라 감소하는 추세를 보였다. 이는 Fe 함량 증가에 따라 Al-Mg-Si 합금의 시효경화능이 감소함을 의미한다.

그림 9그림 10은 최대 경도를 보이는 Base, 0.4Fe 및 0.6Fe 합금의 TEM bright-field 이미지와 각 이미지에서 측정된 석출물의 평균 길이와 직경을 나타낸 그래프를 나타낸다. Fe 함량이 증가함에 따라 전반적으로 석출물의 길이가 감소하는 경향을 나타났지만, 직경은 세 합금 간 큰 차이를 보이지 않았다. 그림 11은 각 합금의 HRTEM 이미지와 이에 대응하는 FFT 패턴을 보여준다. 모든 조성에서 주요 석출상은 β″ 상으로 확인되었다.

그림 4, 그림 6, 그리고 그림 7의 결과에서 확인할 수 있듯이, 모든 합금에서는 Fe가 포함된 2차상이 침상 또는 판상의 β상이 아닌, Chinese-script 형태의 α상으로 관찰되었다. Base, 0.4Fe, 0.6Fe 합금 모두 Mn 함량이 0.54 wt.% 이상으로 첨가되어, β상의 형성이 억제된 것으로 판단되며, 이는 기존 문헌의 보고와도 일치한다[38, 39]. 또한, 미량 존재할 수 있는 β상조차도 열간 압연 과정 중 발생한 입자 간 응력 집중에 의해 판상 구조가 파쇄(fragmentation)되어 미세화되었을 가능성이 높다[40, 41]. 이렇게 형성된 α상은 그림 5에서 확인할 수 있듯이, Fe 함량이 증가함에 따라 부피 분율이 증가하는 경향을 보였다. 이러한 Chinese-script 형태의 α상은 Si와 Mn을 2차상의 형태로 고정하여, 용체화처리 온도에서도 안정적으로 존재하는 것으로 알려져 있다. 따라서, Fe 함량과 함께 증가한 α상은 기지내 Si 용질을 감소시킬 수 있다[38, 42].

실제로 그림 2의 전기전도도 측정결과는 Fe 함량이 증가할수록 전기전도도가 증가함을 나타낸다. 이는 기지 내에 고용된 용질 원자의 함량이 Fe 함량 증가에 따라 상대적으로 감소했음을 시사하며, 이는 위에서 예측한 Si 용질 감소와 일치하는 결과이다. 또한, 그림 12의 열역학 계산 결과에 따르면 Fe 함량이 증가함에 따라 α상의 몰분율(Mole fraction)이 뚜렷하게 증가하는 경향을 보였으며, 이는 Fe 함량 변화가 α상 형성에 직접적인 영향을 미침을 시사한다. 이렇게 형성된 α상은 Zhang 등의 연구에 따르면, Si–Mn 결합의 강화로 인해 열적 안정성이 향상된다고 보고되었다[43-45]. 이러한 높은 열적 안정성으로 인해, 응고 과정에서 형성된 α상 내부에 Si 은 재분해 되기 어려워 고온 열처리 과정에서도 기지로의 확산이 억제되는 것으로 해석된다.

Fe 함량이 증가함에 따라 시효경화능은 감소하였으며 (그림 1), 강도와 연신율 모두 감소하였다. 앞서 언급한 바와 같이, 모든 합금에서 Mn 함량은 유사한 수준으로 유지되었기 때문에, 이러한 시효 경화능 저하 및 기계적 특성 변화는 Mn 효과보다는 Fe 함량 증가에 따른 α상 분율 증가와 이에 따른 기지 내 Si 고갈 효과에 기인한 것으로 판단된다. 시효경화능의 감소는 균질화처리 및 용체화처리 중 형성되는 α상의 양이 Fe함량이 높을 때 증가하여 더 많은 Si 원자가 Fe상에 고정되기 때문으로 설명할 수 있다. 그림 8의 DSC분석 결과에서 β″ 형성 엔탈피가 Fe 함량 증가할 때 감소하는 사실은 Fe첨가에 의해 시효경화능이 감소하여 총 석출물 분율이 감소함을 의미한다. TEM 분석(그림 10)에서 확인된 석출물의 길이 감소 또한 이러한 Si 고갈 효과와 시효경화능 감소를 뒷받침한다[46-48].

Thermo-Calc 계산 결과(Table 3)에 따르면, 550 oC에서 평형 상태 기준으로 Al 기지 내 Si의 고용도는 Fe 함량 증가에 따라 Base 합금의 0.64 wt.%에서 0.6Fe 합금의 0.54 wt.%로 단계적으로 감소하는 경향을 보였다. 이는 Fe 함량 증가 시 Fe-rich α상의 형성으로 인해 Si가 기지로 부터 소모될 가능성을 시사하며, 이러한 열역학적 예측은 전기전도도 측정 결과(그림 2)에서도 뒷받침된다. 용체화 처리 직후 0.6Fe 합금의 전도도(43.7 %IACS)는 Base 합금(42.9 %IACS)보다 높게 나타났으며, 이는 응고 과정에서 형성된 조대한 Fe-α 상에 의해 초기 Si 고용도가 이미 낮아진 상태임을 시사한다.

한가지 흥미로운 점은 Fe함량이 높을 때 강도와 함께 연신율 또한 감소한 것이다. 이는 충분한 양의 Mn 첨가로 인해 취성이 강한 β상이 거의 형성되지 않았음에도 불구하고 α상 분율이 과도하게 증가할 경우에도 Al-Mg-Si 합금의 연신율에 악영향을 미칠 수 있음을 암시한다. 선행연구에 따르면, Fe 함량 증가로 형성된 조대한 Fe-α 상은 국부 응력 집중을 유발하여 공극 형성 및 조기 파단을 촉진함으로써 연신율 저하를 초래할 수 있으며[49], 이는 본 연구에서 관찰된 Fe-α상 증가에 따른 연신율 감소 경향과 일치한다. 따라서 반복적인 재활용으로 인해 Fe함량이 크게 증가할 경우 Mn 첨가량을 제한하고 연성을 개량할 열처리 또는 소성변형 공정을 고안하는 것이 제안된다.

결과적으로, Fe의 증가는 α상 형성 → Si 고정화 → β″ 석출 억제 → 시효경화능 저하 → 강도 및 연신율 감소로 이어지는 연속적인 열역학적·미세조직적 경로를 따른다. 이러한 메커니즘은 스크랩 기반 6000계 합금에서 Fe 관리가 왜 중요한지를 명확히 보여주며, Mn/Fe 비율의 제어, 용체화 조건 최적화, 그리고 미량원소 첨가를 통한 2차상 핵생성 촉진 전략이 향후 공정개선 방향으로 제시될 수 있다.

Fig. 1. Hardness variation of Base, 0.4Fe, and 0.6Fe during artificial-aging at 175 oC.

../../Resources/kim/KJMM.2026.64.3.177/fig1.png

Fig. 2. Variations in electrical conductivity of Base, 0.4Fe, and 0.6Fe alloys during artificial aging at 175 oC. The measurements were performed at a frequency of 60 kHz.

../../Resources/kim/KJMM.2026.64.3.177/fig2.png

Fig. 3. Tensile properties of Base, 0.4Fe, and 0.6Fe alloys after artificial aging at 175 oC for 8 hours: (a) stress–strain curves, (b) Comparison of yield strength (YS), ultimate tensile strength (UTS), and elongation

../../Resources/kim/KJMM.2026.64.3.177/fig3.png

Fig. 4. Optical micrographs of Base, 0.4Fe, and 0.6Fe alloys after artificial aging at 175 oC for 8 h. The left images show low magnification and the right images show high magnification. Light gray regions correspond to Fe-α phases, while black particles represent Si phases.

../../Resources/kim/KJMM.2026.64.3.177/fig4.png

Fig. 5. Area fraction of Fe-α and Si phases in Base, 0.4Fe, and 0.6Fe alloys after artificial aging at 175 oC for 8 h.

../../Resources/kim/KJMM.2026.64.3.177/fig5.png

Fig. 6. EDS mapping of a typical region of the 0.4Fe alloy after artificial aging at 175 oC for 8 h: (a) Fe-α phases, (b) Si phases.

../../Resources/kim/KJMM.2026.64.3.177/fig6.png

Fig. 7. EDS mapping of a typical region of the 0.6Fe alloy after artificial aging at 175 oC for 8 h

../../Resources/kim/KJMM.2026.64.3.177/fig7.png

Fig. 8. DSC heating curves of the solution-treated Base, 0.4Fe, and 0.6Fe alloys

../../Resources/kim/KJMM.2026.64.3.177/fig8.png

Fig. 9. Bright-field (BF) images of the peak-aged (a) Base, (b) 0.4Fe, and (c) 0.6Fe alloys after artificial aging at 175 oC for 8 h.

../../Resources/kim/KJMM.2026.64.3.177/fig9.png

Fig. 10. Average precipitate length and diameter of the peak-aged Base, 0.4Fe, and 0.6Fe alloys.

../../Resources/kim/KJMM.2026.64.3.177/fig10.png

Fig. 11. (a) High-resolution transmission electron microscopy (HR-TEM) image of β″ precipitates in the peak-aged 0.6Fe alloy (aged at 175 oC for 8 h) along the [001]Al zone axis; (b, c) corresponding fast Fourier transform (FFT) patterns of the observed precipitates. The yellow circles in the FFT patterns indicate the fundamental diffraction spots of the Al matrix, such as (200)Al and (220)Al. The red circles indicate additional superlattice reflections and characteristic streaks attributed to the monoclinic β″ phase, which is known to be coherent with the Al matrix.

../../Resources/kim/KJMM.2026.64.3.177/fig11.png

Fig. 12. Thermodynamic calculations of phase mole fractions for (a) Base, (b) 0.4Fe, and (c) 0.6Fe alloys under equilibrium solidification conditions, performed using Pandat.

../../Resources/kim/KJMM.2026.64.3.177/fig12.png

Table 3. Equilibrium solubility of alloying elements in the aluminum matrix at 550 oC for 0.4Fe and 0.6Fe alloys, calculated using the Thermo-Calc thermodynamic software (wt.%).

Alloys Si Mg Mn Fe
Base 0.64 0.73 0.06 8.19 × 10-6
0.4Fe 0.59 0.62 0.12 2 × 10-3
0.6Fe 0.54 0.71 0.11 3 × 10-3

4. 결 론

본 연구에서는 불순물로 포함된 Fe 함량이 Al-Mg-Si 계 합금의 석출거동에 미치는 영향을 분석하였으며, 다음과 같은 결론을 얻었다.

1. Fe 함량이 증가함에 따라 α상분율이 증가하였고, 해당 상은 OM과 SEM 분석을 통해 확인하였다. 또한 Mn 첨가는 β상의 형성을 억제하여 α상 중심의 미세조직 형성에 기여하였다.

2. Cα상은 Si와 높은 결합 에너지로 인해 Si를 우선적으로 소모하며, 이로 인해 용체화 온도(550 oC)에서 유효 Si이 일부 고갈되었다. 결과적으로 석출경화의 핵심상인 β″ 상의 형성이 감소했다.

3. 유효 Si 감소와 함께 β″ 석출이 억제되었고, 이에 따라 용체화 후 시효경도 증가량(ΔHV)이 감소하였다. 이러한 시효 경도 저하는 DSC, 전기전도도, TEM 분석 결과와도 일관성을 보였다.

감사의 글

본 연구는 산업통상자원부의 재원으로 한국산업기술평가관리원(KEIT)이 추진하는 소재부품기술개발사업(과제번호 : RS-2024-00419664, 사용후 스크랩 90% 사용 모빌리티, 그린빌딩 및 전기전자용 알루미늄 압출재 부품화 기술개발)의 지원을 받아 수행되었습니다.

REFERENCES

1 
Ehlers F. J. H., Dumoulin S., J. Alloys Compd., 591, 329 (2014)DOI
2 
Wang X., Poole W. J., Esmaeili S., Lloyd D. J., Embury J. D., Metall. Mater. Trans. A, 34, 2913 (2003)DOI
3 
Marceau R. K. W., de Vaucorbeil A., Sha G., Ringer S. P., Poole W. J., Acta Mater., 61, 7285 (2013)DOI
4 
Bertram M., Ramkumar S., Rechberger H., Rombach G., Bayliss C., Martchek K. J., Müller D. B., Liu G., Resour. Conserv. Recycl., 125, 48 (2017)Google Search
5 
Raabe D., Tasan C. C., Olivetti E. A., Nature, 575, 64 (2019)DOI
6 
Daehn K., Basuhi R., Gregory J., Berlinger M., Somjit V., Olivetti E. A., Nat. Rev. Mater., 7, 275 (2022)Google Search
7 
Kotadia H. R., Bareker N., Khan M. H., Ahuir-Torres J. I., Das A., Mater. Today Sustain., 30, 101119 (2025)DOI
8 
Lian X., Gao H., Shen L., Yu Y., Wang Y., Peng Z., Processes, 13, 419 (2025)DOI
9 
Cui J., Roven H. J., Trans. Nonferrous Met. Soc. China, 20, 2057 (2010)DOI
10 
Raabe D., Ponge D., Uggowitzer P. J., Roscher M., Paolantonio M., Liu C., Antrekowitsch H., Kozeschnik E., Seidmann D., Gault B., Prog. Mater. Sci., 128, 100947 (2022)DOI
11 
Vicent Fanconi M. M., Gil Fernández-Marcote I., Ruiz-Bustinza Í., Metals, 13, 2014 (2023)DOI
12 
Krall P., Weißensteiner I., Pogatscher S., Resour. Conserv. Recycl., 202, 107370 (2024)DOI
13 
Soo V. K., Peeters J., Paraskevas D., Compston P., Doolan M., Duflou J. R., J. Clean. Prod., 178, 119 (2018)Google Search
14 
Das S. K., Green J., Kaufman J. G., JOM, 59, 47 (2007)DOI
15 
Gesing A., Berry L., Dalton R., Wolanski R., TMS 2002 Annual Meeting: Automotive Alloys and Aluminum Sheet and Plate Rolling and Finishing Technology Symposia, 1 (2002)Google Search
16 
De Caro D., Tedesco M. M., Pujante J., Bongiovanni A., Sbrega G., Baricco M., Rizzi P., Materials, 16, 6778 (2023)DOI
17 
Duan S., Tang M., Chen W., Huang C., Du J., J. Mater. Res. Technol., 39, 202 (2025)Google Search
18 
Svobodova J., Lunak M., Lattner M., Manuf. Technol., 19, 1041 (2019)DOI
19 
Que Z., Mendis C. L., Intermetallics, 127, 106960 (2020)DOI
20 
Que Z., Wang Y., Mendis C. L., Fang C., Xia J., Zhou X., Fan Z., Metals, 12, 1677 (2022)DOI
21 
Verma A., Kumar S., Grant P., O’Reilly K., J. Alloys Compd., 555, 274 (2013)DOI
22 
Kakitani R., Rodrigues A. V., Silva C., Garcia A., Cheung N., J. Alloys Metall. Syst., 1, 100005 (2023)DOI
23 
Que Z., Wang Y., Fan Z., Metall. Mater. Trans. A, 49, 2173 (2018)DOI
24 
Pranav K. J., Sibi S. P., Jana P. P., J. Alloys Compd., 1042, 184101 (2025)DOI
25 
Zhang S.-Y., Wang X., Liu X., Mo Y.-T., Wang C., Cheng T., Ivasishin O., Wang H.-Y., J. Mater. Res. Technol., 16, 922 (2022)Google Search
26 
Kuchariková L., Medvecká D., Tillová E., Belan J., Kritikos M., Chalupová M., Uhríčik M., Materials, 14, 1943 (2021)DOI
27 
Son H. W., Koo T. M., Cho Y. H., Lee J. M., Korean J. Met. Mater., 61, 472 (2023)DOI
28 
Kim J., Jung J., Cheon H. S., Kim B., Lim C. Y., Kim S. H., Choi Y. S., Korean J. Met. Mater., 62, 132 (2024)Google Search
29 
Edwards G. A., Stiller K., Dunlop G. L., Couper M. J., Acta Mater., 46, 3893 (1998)DOI
30 
Tsao C. S., Chen C. Y., Jeng U. S., Kuo T. Y., Acta Mater., 54, 4621 (2006)DOI
31 
Lee J. S., Kim Y. Y., Euh K., Lee W., Son H. W., J. Alloys Compd., 1010, 177199 (2025)DOI
32 
Su Y., He S., Wang J., Zhang D., Wu Q., Materials, 16, 3897 (2023)DOI
33 
Zandbergen H. W., Andersen S. J., Jansen J., Science, 277, 1221 (1997)DOI
34 
Andersen S. J., Marioara C. D., Torsæter M., Bjørge R., Ehlers F. J. H., Holmestad R., Reiso O., Røyset J., Proc. 12th Int. Conf. Aluminium Alloys, 1 (2010)Google Search
35 
Andersen S. J., Marioara C. D., Friis J., Wenner S., Holmestad R., Adv. Phys. X, 3, 1479984 (2018)DOI
36 
Chen J., Costan E., Van Huis M., Xu Q., Zandbergen H., Science, 312, 416 (2006)DOI
37 
Kral M., McIntyre H., Smillie M., Scripta Mater., 51, 215 (2004)DOI
38 
Mohammed W., Chen X., Ponge D., Raabe D., Acta Mater., 289, 120932 (2025)DOI
39 
Becker H., Bergh T., Vullum P. E., Leineweber A., Li Y., Materialia, 5, 100198 (2019)DOI
40 
Aryshenskii E., Hirsch J., Konovalov S., Metals, 11, 507 (2021)DOI
41 
Trink B., Weißensteiner I., Uggowitzer P. J., Strobel K., Hofer-Roblyek A., Acta Mater., 257, 119160 (2023)DOI
42 
Peng S., Bahl S., Shyam A., Haynes J. A., Shin D., Acta Mater., 196, 747 (2020)DOI
43 
Shakiba M., Parson N., Chen X.-G., Mater. Sci. Eng. A, 619, 180 (2014)DOI
44 
Radetić T., Popović M., Alil A., Markoli B., Naglič I., Romhanji E., J. Alloys Compd., 902, 163719 (2022)DOI
45 
Zhang X., Wang D., Zhou Y., Chong X., Li X., Zhang H., Nagaumi H., J. Alloys Compd., 876, 160022 (2021)DOI
46 
Chang C., Banhart J., Metall. Mater. Trans. A, 42, 1960 (2011)DOI
47 
Jiang S., Wang R., J. Mater. Sci. Technol., 35, 1354 (2019)Google Search
48 
Ma L., Tang J., Tu W., Ye L., Jiang H., Zhan X., Zhao J., Materials, 13, 913 (2020)DOI
49 
Österreicher J. A., Arnoldt A. R., Gneiger S., Kunschert G., Metall. Mater. Trans. A, 54, 4472 (2023)DOI