이성호
(Seong Ho Lee)
1
김상훈
(Sang-Hoon Kim)
2
이종수
(Chong Soo Lee)
3
이태경
(Taekyung Lee)
1,*
-
부산대학교 기계공학부
(School of Mechanical Engineering, Pusan National University, Busan 46241, Republic
of Korea)
-
국방과학연구소 제3기술연구원 6부
(3rd R&D Institute — 6th Directorate, Agency for Defense Development, Daejeon 34186,
Republic of Korea)
-
포항공과대학교 친환경소재대학원
(Graduate Institute of Ferrous Technology, Pohang University of Science and Technology,
Pohang 37673, Republic of Korea)
Copyright © The Korean Institute of Metals and Materials
Keywords
Titanium, Hot deformation, Constitutive analysis, Optimization, Regression
1. 서 론
Grade 4 상용 순수 타이타늄 합금은 높은 비강도, 고온 강도와 탁월한 내식성, 생체적합성 등으로 항공, 해양, 의료 산업 등 다양한 분야에서
폭넓게 사용되고 있다[1,
2]. Grade 4 합금은 상용 순수 타이타늄 합금 중 가장 높은 불순물 함량을 가짐에 따라 비교적 높은 강도를 나타낸다[3,
4]. 합금 내 미세조직을 효율적으로 제어하여 상황에 맞는 물성을 확보하고 복잡한 제품 형상을 구현하기 위해 적절한 열간 단조가 요구된다. 따라서 타이타늄
합금의 열간 변형 거동을 정확하게 이해 및 예측하는 것은 소재와 제품 성능을 동시에 향상하는 데 있어 필수적이다. 이를 위한 전통적인 접근법은 다양한
재료 모델을 활용하는 것으로[5-9], 특히 Zener–Hollomon 구성방정식은 변형 온도와 변형 속도의 영향을 통합 지표로 표현 가능한 강점을 가지고 있어 타이타늄 합금의 열간
변형 거동을 분석하는 데 널리 적용되어 왔다[10,
11]. 예를 들어 Fan 등[11]은 Ti-7333 합금에 Zener–Hollomon 구성방정식을 적용하여 활성화 에너지를 계산하고 이를 미세조직 분석 결과와 연계하여 고온 변형 거동을
해석한 바 있다. 해당 연구에 따르면 이 합금의 (α + β) 변형은 334kJ/mol의 활성화 에너지를 가지는데 이는 self-diffusion
확산 에너지보다 높아 동적 재결정이 활성화되고, β 변형 시에는 그 2/3 수준인 214kJ/mol의 활성화 에너지를 가지므로 동적 회복 현상이 지배적이다.
한편, 최근 들어 기계학습을 포함한 다양한 인공지능 기술이 급격히 발전함에 따라 상대적으로 적은 양의 실험 데이터를 인공지능에 학습시켜 다양한 변형
조건에서 금속 소재의 거동을 정밀하게 예측하는 모델들이 연구되고 있으며[12], 많은 모델이 핵심 물리 정보로 Zener–Hollomon 구성방정식을 활용하는 점에 주목할 필요가 있다[13,
14]. Liu 등[13]은 Zener–Hollomon 구성방정식과 인공신경망(artificial neural network, ANN) 을 결합한 하이브리드 모델을 통해 무방향성
전기강판의 고온 변형 거동을 성공적으로 예측하였으며, 해당 모델이 구성방정식 단일 모델 대비 예측 오차를 8.09% 감소시켰다고 보고한 바 있다.
Long 등[14] 또한 유사한 하이브리드 모델을 구축하여 AQ80 합금의 고온 변형 거동을 성공적으로 예측하였다.
그러나 그간 수행된 연구들을 살펴보면 인공지능 학습의 토대가 되는 Zener-Hollomon 구성방정식을 구축하는 데 있어 각 매개변수에 대한 최적화를
간과한 부분이 있다. 예를 들어 상술한 선행 연구[13,
14]에서 실험 데이터를 Zener-Hollomon 구성방정식에 맞추기 위해 사용한 변형률 간격(strain interval) 조건은 각각 0.025 및
0.020으로 이는 경험적 수치를 단순 차용한 것으로 판단된다. 이러한 문제는 단순히 인공지능-구성방정식 하이브리드 모델 뿐 아니라 전통적인 Zener-Hollomon
구성방정식 연구[15-18]에서도 간과된 부분인데, 인공지능 기반 모델링이 대두되기 전에는 이것이 예측 정확도에 큰 영향을 주지 못하는 인자였기 때문인 것으로 사료된다. 하지만
상술한 바와 같이 인공지능-구성방정식 하이브리드 모델의 예측 정확도가 급격히 증가함에 따라 입력 데이터에 대한 전처리 최적화의 중요도 또한 급격히
상승하고 있다. 지금까지의 선행 연구는 하이브리드 모델이 주어진 실험 데이터 상에서의 최종 응력을 얼마나 잘 예측하는지에 초점을 맞추었을 뿐, 데이터
가공을 어떻게 최적화해서 예측 정확도를 추가로 향상할 수 있는지에 대한 전략을 고려한 적은 없다.
본 연구는 Grade 4 상용 순수 타이타늄 합금의 고온 응력 데이터를 확보 후 이를 통해 Zener–Hollomon 구성방정식을 적용하여 응력거동을
예측하는 과정에서, 구성방정식의 핵심 매개변수인 변형률 간격과 다항회귀 차수(polynomial regression order)가 모델의 성능에 미치는
영향을 체계적으로 분석하였다. 이를 통해 Zener–Hollomon 구성방정식 단일 모델의 예측 성능을 극대화하였을 뿐 아니라, 향후 인공지능-구성방정식
하이브리드 모델에도 확장 가능한 매개변수 최적화 전략을 제안하였다.
2. 실험 과정
본 연구에 사용된 재료는 plasma arc melting 장비를 활용하여 제조한 Grade 4 상용 순수 타이타늄 합금이다. 고온 변형 거동을 분석하기
위해 FUJI Electronic Industrial Co.에서 제작한 주조·고온성형 모사 장치(Caster & Thermomechanical Simulator)를
사용하여 고온 압축시험을 수행하였다. 해당 시험을 위한 시편은 직경 8mm, 높이 12mm의 원통형 모양으로 가공하였다. 고온 압축 시험은 동일 장비를
사용한 선행 연구 조건을 참고하여 수행하였다[19]. 구체적으로, 변형 중 마찰에 의한 응력 간섭을 최소화하기 위해 각 시험 전 시편과 지그 사이에 운모를 부착하였다. 목표온도 도달 후에는 2분 간
열적 안정화를 수행한 후 일축 압축변형을 가하였다. 데이터베이스 구축을 위해 시험에 적용한 변형 온도는 600, 650, 700, 750, 800,
850 oC이며, 변형 속도는 0.001, 0.01, 0.1, 1, 10/s이다. 모든 시험은 공칭변형률 기준 0.7까지 진행하였다.
Zener–Hollomon 구성방정식 매개변수 및 그에 따른 고온 변형 거동의 예측 정확도를 정량적으로 평가하기 위하여, 본 연구에서는 평균 절대
상대 오차(average absolute relative error, AARE)를 도입하였다. AARE는 실험값과 예측치 사이의 상대 편차를 백분율로
표현함으로써 모델이 다양한 변형 조건에서 재료 거동을 얼마나 정확히 재현하는지를 평가하는 지표이다[20]. AARE의 수학적 정의를 식 (1)에 나타내었다:
여기서 $E_i$와 $P_i$는 각각 $i$번째 데이터의 실험값과 예측치를 의미하며, $n$은 하나의 응력곡선이 가지는 총 데이터 개수를 나타낸다.
AARE는 실험값의 절대 크기에 대한 의존성이 낮으므로 본 연구와 같이 변형 온도 및 속도가 order 단위로 상이한 조건에서도 각 예측 모델을 일관적으로
평가하는 데 적합할 것으로 판단하였다. 구체적으로, 변형률 간격 0.001–0.01 범위와 다항회귀 차수 1–10 범위에서 총 100종의 Zener-Hollomon
모델을 구축하고, 각 모델별로 30가지 유동응력 곡선을 예측하도록 하였다. 이후 실험값과 예측치를 비교하여 모델 별 AARE를 산출함으로써 각 모델의
성능을 정량적으로 비교 분석하였다.
3. 결과 및 고찰
3.1. 고온 변형 거동
타이타늄 합금은 낮은 열전도도와 높은 변형 저항 특성으로 인해 소성 변형 과정에서 발생한 가공 열을 외부로 효과적으로 방출하지 못하고 재료 내부에
축적하려는 경향이 있다. 특히 변형 속도가 증가하면 열전달 시간이 짧아져 단열 상태에 가까운 조건이 형성되며, 이로 인해 내부 온도가 급격히 상승하여
열 연화(thermal softening)를 유발하므로 실제 측정된 유동 응력치에 오차가 발생한다. 따라서 타이타늄 합금의 정확한 고온 유동 거동을
해석하기 위해서는 고온 압축 시험 후 단열 가열(adiabatic heating) 효과에 대한 보정이 필수적이다[21,
22]. 본 연구에서는 유동응력 곡선의 왜곡을 제거하고 고온 변형 거동을 정확히 파악하기 위해, 단열 가열에 따른 온도 및 응력 보정 식을 적용하였다.
이는 각각 식 (2) 및 식 (3)과 같다[23,
24].
$\Delta T$는 변형 과정에서 발생한 단열 가열에 의한 상승 온도를 나타내며, $\Delta\sigma$는 단열 가열 효과에 따라 감소한 유동응력을
보상하기 위한 응력 보정치이다. $\int \sigma d\varepsilon$는 유동응력 곡선의 내부 면적이며, $\rho$와 $C_P$는 각각
타이타늄의 밀도(4,530kg/m3)와 비열(528J/kg·oC)을 의미한다[23]. $\sigma$와 $\varepsilon$은 실험에서 측정된 진응력 및 진변형률이다. $T$는 외부에서 제어한 변형 온도를 의미한다. $\eta$는
단열 가열 보정 계수로, 본 연구에 적용한 변형 속도 0.001, 0.01, 0.1, 1, 10/s에 대해 각각 0, 0.25, 0.5, 0.75,
1의 수치를 가진다[24]. 소성 변형 과정에서 기계적 일과 열 에너지의 전환 효율을 반영하기 위해, 금속 고온 변형 거동 연구[24]에서 일반적으로 사용되는 보정 수치인 0.95를 적용하였다. $Q$는 고온 변형에 대한 활성화 에너지로 회귀 분석을 통해 도출되며 이는 3.2절에
상세히 기술하였다.
그림 1은 단열 가열 보정을 적용한 Grade 4 상용 순수 타이타늄 합금의 고온 압축 거동을 나타낸 결과이다. 유동응력은 변형 조건에 강하게 의존하며 온도가
상승하거나 변형 속도가 감소할 수록 모든 변형률에서 일관되게 하락하는 경향을 보인다. 이는 온도가 증가할수록 원자 확산을 촉진시켜 동적 회복 및 동적
재결정 등의 열적 활성화를 유도하고, 변형 속도가 감소할수록 연화 메커니즘이 활성화될 충분한 시간을 제공하여 유동 응력 변화에 대한 저항을 감소시키기
때문이다[25,
26]. 한편 모든 곡선은 초기 변형 단계에서 응력이 급격히 상승하는 경화 현상을 보인 후, 동적 연화 과정과의 경쟁 관계에 의해 응력이 평탄한 정상 상태를
형성한다. 이때 모든 온도 조건에서 변형 속도가 증가할 수록 최대 응력 및 평탄화 구간 도달까지의 변형률이 증가하는 현상이 공통적으로 관찰된다. 이는
높은 변형 속도에서 변형 시간이 제한됨에 따라 동적 회복 및 재결정이 전위 축적에 따른 경화 효과를 상쇄하기 위해 보다 높은 변형 에너지를 요구하기
때문이다. 즉, 시간적 제약으로 인해 전위 소멸 및 재배열 속도가 전위 생성 속도를 따라잡지 못하여 최대 응력까지 도달하는 변형률이 보다 높은 값에서
나타나게 된다[26-28]. Zhang 등[27]은 타이타늄 합금에 대한 고온 유동응력 곡선을 조사하여 이와 일치하는 결과를 보고한 바 있다. 연구에 따르면, 변형 속도 0.01/s 이하에서는 모든
유동응력 곡선에서 최대 응력 이후 지속적인 연화 과정이 나타난 반면, 변형 속도 0.1/s 이상에서는 상대적으로 경화 영역이 활성화되었다. 결과적으로
타이타늄 합금의 고온 변형 조건은 시간적·열적 환경을 바꾸며, 이에 따라 동적 경화 및 연화의 상대적 활성화 수준이 조절됨으로써 상이한 변형 거동을
나타내게 된다.
Fig. 1. Flow stress curves of Grade 4 titanium alloy obtained from hot compression
tests conducted at (a) 600 oC, (b) 650 oC, (c) 700 oC, (d) 750 oC, (e) 800 oC, and (f) 850 oC, at various strain rates.
3.2 Zener–Hollomon 구성방정식 구축
본 연구는 Arrhenius 식 기반 Zener-Hollomon 구성방정식을 도입하여 타이타늄 합금의 고온 변형 거동을 해석 및 예측하였다. Zener–Hollomon
구성방정식의 핵심 변수 $Z$는 변형 온도와 변형 속도의 복합적인 영향을 통합하는 매개변수로 식 (4)와 같이 표현된다[29]:
여기서 $\dot{\varepsilon}$는 변형 속도, $R$은 기체 상수를 의미한다. $Z$와 고온 유동 응력($\sigma$) 간 관계는 전체
응력 범위에 걸쳐 가장 예측이 정확한 쌍곡선 사인방정식 형태로 식 (5)와 같이 표현된다[30]:
여기서 $A$, $\alpha$, $n$은 그림 1에서 획득한 실험 결과로부터 선형 회귀법을 통해 구할 수 있다. 이를 구체적으로 설명하고자 그림 2에 진변형률 0.5 조건에서 재료 상수를 도출하는 과정을 대표적으로 도시하였다. 먼저, $\ln \sigma$ 및 $\sigma$ 변수가 $\ln
\dot{\varepsilon}$ 변수에 미치는 영향을 도시한다(그림 2a 및 그림 2b). 최소자승법을 활용하여 각 도표의 데이터를 변형 온도 별로 선형 회귀하고, $\ln \dot{\varepsilon}$ vs. $\ln \sigma$과
$\ln \dot{\varepsilon}$ vs. $\sigma$ 직선의 기울기를 구한 후 이를 평균하여 각각 $n_1$ 및 $\beta$ 상수로
정의하였다. 식 (5)의 상수 $\alpha$는 이들 두 변수의 비율로 정의된다(i.e., $\alpha = \beta / n_1$). 이와 유사한 방법으로 각 변형 온도
별 $\ln \dot{\varepsilon}$ vs. $\ln \sinh(\alpha \sigma)$ 직선의 평균 기울기를 계산하여 변수 $n$으로
정의하였다(그림 2c). 마지막으로 각 변형 속도 별 $\ln \sinh(\alpha \sigma)$ vs. $1000/T$ 직선의 평균 기울기를 계산하여 변수 $Q$로
정의하였다(그림 2d). 이 수치를 식 (4)와 식 (5)를 결합하여 정리한 다음 식 (6)에 대입함으로써 진변형률 0.5에 해당하는 유동 응력 예측치를 산출하였다[30].
Fig. 2. Determination of the material constants in the Zener–Hollomon constitutive
equation at a true strain of 0.5. The slopes of each plot correspond to (a) $n_1$,
(b) $\beta$, (c) $n$, and (d) $Q$.
3.3 변형률 간격 및 다항회귀 차수 탐색
3.2절에서는 특정 진변형률에서 유동 응력을 예측하는 방법을 설명하였다. 해당 방법을 각 변형률에 반복 적용하여 전체 유동 응력 곡선을 계산하게 되는데,
이때 예측 성능의 추가 향상을 위해 선행연구에서 간과되어 왔던 구성방정식 매개변수를 고려할 필요가 있다. 본 연구에서 주목한 구성방정식 매개변수는
크게 두 가지이다. 먼저 각 매개변수를 추출하는 변형률 간격을 고려해야 한다. 예를 들어 변형률 간격이 0.01이라면 진변형률 0.5의 유동 응력을
예측한 후 다음 계산은 진변형률 0.51에 대해 수행하게 된다. 다음으로 고려한 구성방정식 매개변수는 변형률에 따른 각 상수($n_1$, $\beta$,
$n$, $Q$) 변화를 모사하기 위한 다항회귀 차수이다.
그림 3는 변형률 간격 0.001–0.01과 다항회귀 차수 1–10 범위에서 총 100가지 Zener-Hollomon 모델의 예측 정확도를 평가한 결과로,
상술한 두 종류의 매개변수를 변화시키는 데이터 전처리 과정이 모델 성능에 상당한 영향을 미칠 수 있음을 보여준다. 먼저 눈에 띄는 것은 다항회귀 차수가
2 이하일 경우 AARE가 급증하는 경향인데, 이는 해당 조건에서 모델 성능이 현저하게 악화됨을 의미한다. 이는 일차함수 혹은 이차함수 형태로는 각
매개변수의 복잡한 비선형 변화를 충분히 근사하지 못하는 까닭이다. 실제로 다항회귀 차수 6 이하의 영역에서는 차수가 증가함에 따라 동일 변형률 간격에서
예측 정확도가 뚜렷하게 개선됨을 확인할 수 있다. 단, 다항회귀 차수가 7 이상이 되면 예측 성능은 수렴하는 경향을 보인다. 해당 매개변수 최적화에
따른 성능 향상은 최대 7.19%-point의 AARE 감소로 정량화된다. Cheng 등[31] 또한 GH4169 초합금 대상으로 다항회귀 차수가 3에서 10으로 증가 시 AARE가 0.65%-point 감소하는 유사한 결과를 보고한 바 있다.
변형률 간격의 경우 0.005–0.007 범위에서 가장 낮은 AARE를 보이나 전체 탐색범위 내에서 비교해 보면 그 차이는 다항회귀 차수 대비 상대적으로
제한되었다. 그러나 변형률 간격이 0.001에 도달하는 순간 예측 정확도가 급격히 악화되며, 이러한 결과는 다항회귀 차수와 무관하게 확인되었다. 이는
변형률 간격이 지나치게 좁아지면 모델이 실험 데이터에 민감하게 반응하여 예측이 더욱 불안정해지는 과적합 문제(overfitting)가 발생할 수 있음을
시사한다. 그림 4는 변형 온도 600 oC에서 진변형률 0.01까지의 응력경화 거동을 확대하여 나타낸 것이다. 실제 실험 데이터에는 국부적인 노이즈 및 미세한 측정 오차가 존재하며, 이는
그림 4 내 변형 속도 0.01/s의 변형률 0.002–0.003 구간 및 1/s의 0.004 구간 등에서 명백히 확인된다. 변형률 간격이 지나치게 좁아질
경우 이러한 오차들까지 모두 구성방정식에 반영되므로 해당 모델의 예측 정확도를 심각하게 열화시키게 된다. 따라서 구성방정식 구축을 위한 데이터 전처리
조건을 경험적 수치에 의존해 온 기존 방법은 잠재적 리스크가 크며, 반대로 데이터 전처리 최적화를 통한 예측 정확도의 추가 향상 여지도 존재함을 알
수 있다.
Fig. 3. Variation of the mean AARE values of thirty estimations as a function of polynomial
regression order (vertical axis) and strain interval (horizontal axis). The red box
indicates the optimum condition with the lowest mean AARE.
Fig. 4. Magnified view of the flow stress curves for Grade 4 titanium alloy at 600
oC at various strain rates in the strain range up to 0.01.
3.4 데이터 최적 전처리를 통한 예측 정확도 향상
3.3절의 추론을 입증하기 위해, 그림 3에서 가장 우수한 예측 정확도(AARE 10.79%)를 나타낸 최적 데이터 전처리 조건(변형률 간격 0.006 및 다항회귀 차수 10)으로 Zener-Hollomon
구성방정식을 구축하여 추가 분석을 진행하였다. 그림 5는 이 모델로 최저 변형 온도(600 oC) 및 최고 변형 속도(10/s)에서 변형률에 따른 각 상수 변화를 예측한 결과를 대표적으로 나타낸다. 이러한 극한 조건은 단순 내삽(interpolation)만으로
예측이 어려우며 따라서 모델의 예측 정확도를 평가하는 데 적절하다. 변형 초기 탄성 영역에서는 실험값이 예측치보다 더 높은 경향을 보이나 평탄화 구간에
들어서면서 두 값이 매우 정확하게 일치함을 확인할 수 있다. 물리적 의미를 지니는 활성화 에너지(그림 5d) 측면에서 이를 좀더 자세히 분석하면 다음과 같다. 먼저 초기 탄성 영역에서는 급격한 경화로 인해 전위 축적 속도가 가장 우세하며, 동적 연화 과정에
따른 미세조직 변화에 필요한 높은 에너지가 요구된다[32]. 이후 경화 및 연화 효과가 평형을 이루어 평탄화 구간이 전개되면 활성화 에너지 역시 안정화되어 상대적으로 예측 난도가 감소한다. 이와 같은 양상은
다른 상수에도 동일하게 적용된다. 예측 난도가 높은 탄성 영역을 포함하였음에도 불구하고 모든 매개변수의 AARE값이 2.24%–3.21%로 매우 작은
오차를 나타냈음에 주목할 필요가 있다. 즉, 본 연구에서 주목한 데이터 전처리 최적화 공정이 구성방정식 기반 모델의 실질적 성능 향상에 유의미한 영향을
미쳤음을 정량적으로 입증하였다.
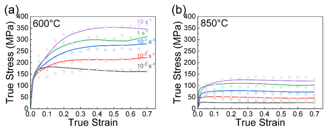
그림 6는 최적화된 Zener–Hollomon 구성방정식 모델을 사용하여 최저 온도(600 oC)와 최고 온도(850 oC)에서 Grade 4 타이타늄의 고온 변형 거동을 각각 예측하고, 이를 실제 실험 데이터와 비교하여 평가한 결과를 나타낸다. 이 모델은 대부분의
변형 온도 및 변형 속도에서 유동 응력 곡선의 개형을 일관성 있게 예측하였다. 상술한 대로, 초기 탄성 영역에서는 예측 오차가 상대적으로 크게 나타나는
경향이 있으며 이는 해당 구간에서 전위 밀도가 급격히 증가하는 반면 동적 연화 및 미세조직 변화에 요구되는 활성화 에너지가 높기 때문이다. 이후 평탄화
구간이 전개됨에 따라 예측 난도가 감소하며 전반적인 예측 정확도가 크게 증가하였다. 이러한 경향성은 시험 온도와 무관하게 유사하였으며, Zener-Hollomon
상수 예측에서 확인한 경향(그림 5)과도 일치한다. 본 연구에서 제안한 데이터 전처리 최적화를 통해 매개변수에 대한 예측 정확도를 향상하면 그것이 곧 고온 변형 거동 예측 정확도 향상에도
직접적으로 기여한다는 사실을 재차 입증한다.
본 연구에서 최적화한 구성방정식은 전반적인 고온 변형 조건에서 응력 거동을 잘 예측했으나, 변형 속도 10−3/s 조건의 탄성 구간에서 유동 응력 곡선 형태가 예측치와 다소 다른 모습이 확인되었다. 이는 해당 조건의 항복점 근방 변형 거동이 다른 조건과 차별화되는
점에 기인한다. 해당 조건에서는 낮은 변형 속도로 인해 두드러지게 강한 연화 현상이 발생하였는데[27], 전통적인 Zener-Hollomon 구성방정식은 이러한 독특한 변형 거동을 예측하는 데 있어 근본적인 한계가 있다. 최근 이러한 한계를 극복하기
위한 인공지능-구성방정식 하이브리드 모델이 유력한 대안으로 부상하고 있다. 본 연구진은 Zener-Hollomon 구성방정식을 ANN 혹은 extreme
gradient boosting과 결합한 물리 기반 하이브리드 모델링 전략을 최근 제안하였다[19]. 해당 전략은 구성방정식의 매개 변수가 변형 조건에 따라 변화하는 양상을 기계학습을 활용하여 정밀하게 추적하도록 설계되었다. 그 결과 최적화된 하이브리드
모델 사용시 가장 예측 난도가 높은 고온 변형 조건에서도 종래 접근법 대비 예측 오차가 44% 감소하였다. 본 연구에서 제시한 매개변수 최적화 전략은
인공지능-구성방정식 하이브리드 모델의 데이터 전처리 작업에도 동일하게 적용 가능하다. 특히 인공지능 기반 모델에 있어 훈련 데이터의 분포와 품질이
성능에 민감한 영향을 미치는 점을 고려하면, 이와 같은 전처리의 중요도가 매우 높다 할 수 있다.
추가로 강조하고 싶은 점은, 본 연구에서 제시한 매개변수 최적화 전략이 Grade 4 타이타늄 합금에 한정되지 않는다는 것이다. 해당 전략을 통해
변형률 간격 및 회귀 차수를 체계적으로 탐색하고 최적화하는 프레임워크는 그 내부에 소재 변수를 포함하지 않으므로, Zener–Hollomon 구성방정식을
적용할 수 있는 다양한 금속 합금계에 적용 가능하다. 일례로 최근 본 연구진은 S355NL강에 동일한 전략을 적용하여 인공지능 학습에 필요한 데이터
전처리 조건을 성공적으로 최적화 가능함을 보고한 바 있다[33]. 결론적으로, 본 연구에서 제안한 구성방정식 매개변수 최적화 방법론은 전통적인 구성방정식 뿐 아니라 인공지능을 활용한 하이브리드 모델의 성능 향상에
있어서도 핵심 요인으로 작용할 것으로 기대된다.
Fig. 5. Variation of the material constants in the Zener–Hollomon constitutive equation
as a function of true strain at 600 oC and 10/s. The prediction was made under the optimized regression conditions (i.e.,
strain interval of 0.006 and polynomial regression order of 10) as indicated by the
red box in Fig. 3.
Fig. 6. Comparison between the experimental (lines) and predicted (dots) flow stress
curves at (a) 600 oC and (b) 850 oC at various strain rates.
4. 결 론
본 연구는 Grade 4 상용 순수 타이타늄 합금의 고온 응력 거동을 예측하는 Zener-Hollomon 구성방정식 구축에 대해, 그간 간과되어 온
두 종류의 매개변수가 예측 정확도에 미치는 영향을 체계적으로 분석하였다.
(1) 변형 온도 600 oC–850 oC 및 변형 속도 0.001–10/s 범위에서 고온 압축시험을 수행하여 데이터를 수집하였다. 타이타늄 합금의 유동 응력은 변형 온도에 반비례, 변형
속도에 비례하였으며 이는 동적 경화 및 연화를 통해 설명된다. 또한, 변형 속도의 증가는 동적 연화에 필요한 구동력을 제한하여 응력 평탄화를 지연하였다.
(2) 상기 데이터를 활용하여 구성방정식을 구축하는 과정에서 다항회귀 차수 및 변형률 간격이 모델 성능에 미치는 영향을 분석하였다. 다항회귀 차수의
경우 6차수까지는 차수 증가에 따라 모델 성능이 현저하게 개선된다. 변형률 간격은 0.005–0.007 구간에서 모델 성능을 향상시키지만 그 정도는
상대적으로 제한된다. 그러나 변형률 간격이 0.002 미만이 될 경우 과적합이 발생하여 모델 성능이 극단적으로 악화된다.
(3) 본 연구에서 도출한 최적 매개변수는 변형률 간격 0.006 및 다항회귀 차수 10의 조합이다. 이 조건에서 최적화된 구성방정식은 Zener-Hollomon
상수 변화를 예측함에 있어 AARE 2.24%–3.21%의 매우 낮은 오차를 나타내었으며 대부분의 변형 조건에서 고온 응력 거동을 잘 예측하였다.
(4) 본 연구에서 제안한 매개변수 최적화 방법론은, 전통적인 구성방정식 기반 예측 모델 뿐 아니라 인공지능-구성방정식 하이브리드 모델에서 더욱 유용하게
활용 가능할 것으로 기대된다.
감사의 글
This research was financially supported by the Institute of Civil Military Technology
Cooperation funded by the Defense Acquisition Program Administration and Ministry
of Trade, Industry and Energy (MOTIE) of Korean government (Grant No. 22-CM-21). It
was also supported by the Renewable Energy Program of the Korea Institute of Energy
Technology Evaluation and Planning, which received financial support from the Ministry
of Trade, Industry, and Energy, Republic of Korea (Grant No. RS-2023-00301857)
REFERENCES
Whelchel R. L., Mehoke D. S., Iyer K. A., Sanders T. H., Thadhani N. N., J. Appl.
Phys., 119, 115901 (2016)

Raab G.I., Kodirov I.S., Aksenov D.A., Valiev R.Z., J. Alloys Compd., 922, 166205
(2022)

Islamgaliev R.K., Kazyhanov V.U., Shestakova L.O., Sharafutdinov A.V., Valiev R.Z.,
Mater. Sci. Eng. A, 493, 190 (2008)

Choi S.-W., Jeong J.S., Won J.W., Hong J.K., Choi Y.S., J. Mater. Sci. Technol., 66,
193 (2021)

Sellars C.M., McTegart W. J., Acta Metall., 14, 1136 (1966)

Johnson G.R., Proceedings of the 7th International Symposium on Ballistics, ADPA,
The Hague, Netherlands (1983)

Zerilli F.J., Armstrong R.W., J. Appl. Phys., 61, 1816 (1987)

Rajput S.K., Chaudhari G., Nath S.K., J. Mater. Process. Technol., 237, 113 (2016)

Yang S.Y., Park J.W., Yoon J.S., Lee K.S., Lee D.-G., Shin D.S., Korean J. Met. Mater.,
62, 81 (2024)

Fan J., Kou H., Lai M., Tang B., Chang H., Li J., Mater. Sci. Eng. A, 584, 121 (2013)

Fan J., Kou H., Lai M., Tang B., Chang H., Li J., Mater. Des., 49, 945 (2013)

Kim K., Park J.-G., Yang H.W., Heo U., Kang N., Korean J. Met. Mater., 62, 524 (2024)

Liu Y., Zhang Z., Zhao F., Wang Z., Liu X., Li Y., J. Mater. Res. Technol., 32, 1971
(2024)

Long J., Deng L., Jin J., Zhang M., Tang X., Gong P., Wang X., Xiao G., Xia Q., J.
Magnes. Alloys., 12, 3003 (2024)

Ji G., Li F., Li Q., Li H., Li Z., Mater. Sci. Eng. A, 528, 4774 (2011)

Xiao X., Liu G., Hu B., Zheng X., Wang L., Chen S., Ullah A., Comput. Mater. Sci.,
62, 227 (2012)

Li H.-Y., Li Y.-H., Wang X.-F., Liu J.-J., Wu Y., Mater. Des., 49, 493 (2013)

Han Y., Qiao G., Sun J., Zou D., Comput. Mater. Sci., 67, 93 (2013)

Lee S.H., Lee C., Ro Y., Park S.H., Jo J.W., Lee C.S., Lee T., J. Mater. Res. Technol.,
39, 5487 (2025)

Willmott C.J., Matsuura K., Clim. Res., 30, 79 (2005)

Seshacharyulu T., Medeiros S.C., Frazier W.G., Prasad Y.V.R.K., Mater. Sci. Eng. A,
325, 112 (2002)

Kim G., Lee T., Shams S.A.A., Kim J.N., Choi S.W., Hong J.K., Lee C.S., J. Mater.
Res. Technol., 22, 181 (2023)

Dadras P., Thomas J., Metall. Mater. Trans. A, 12, 1867 (1981)

Goetz R., Semiatin S., J. Mater. Eng. Perform., 10, 710 (2001)

Zhang X., Zhou G., Zhang H., Zhang S., Ma X., Gan B., Chen L., JOM, 76, 3872 (2024)

Luo Y., Heng Y., Wang Y., Yan X., Adv. Mater. Sci. Eng., 1, 413143 (2014)

Zhang Z., Qu S., Feng A., Shen J., Chen D., J. Alloys Compd., 718, 170 (2017)

Lee S.H., Park D.J., Song J.H., Lee C.H., Lee J.M., Lee T., Trans. Mater. Process.,
33, 348 (2024)

Medina S.F., Hernandez C.A., Acta Mater., 44, 137 (1996)

Chen G., Chen L., Zhao G., Zhang C., Cui W., J. Alloys Compd., 710, 80 (2017)

Cheng X., Wang R., Chen X., Jin S., Qian Q., Wu H., Materials, 17, 3400 (2024)

Shi C., Mao W., Chen X.-G., Mater. Sci. Eng. A, 571, 83 (2013)

Lee J., Yu J., Cheon S., Lee S.H., Park D.J., Lee J.M., Lee C., Lee T., Fall Conf.
Korean Inst. Met. Mater. Gwangju, Korea, 47 (2025)
